Exploring Vitamin D Trends Through Big Data Analysis
Highlights
- The number of 25(OH)D vitamin tests per year showed an increasing tendency over time; the number of tests conducted in 2020 was 25 times that in 2001. During the study period, there was a gradual increase in the number of tests per year for both sexes; an increase of 6 and 120 times was observed for women and men, respectively.
- There was a statistically significant difference between the average 25(OH)D concentrations when comparing the test results measured on the different analytical platforms; in particular, concentrations measured with HPLC were higher than with RIA and CLIA.
- Our results clearly demarcate the effect of the methodology used to determine 25(OH)D vitamin concentrations on Vitamin D status, explicitly highlighting the urgency of the standardization of various platforms used to measure this ominous analyte with grave public health importance and, therefore, consequences.
Abstract
1. Introduction
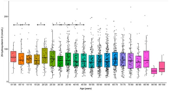
2. Materials and Results
3. Discussion
4. Limitations
5. Conclusions
Author Contributions
Funding
Institutional Review Board Statement
Informed Consent Statement
Data Availability Statement
Conflicts of Interest
Abbreviations
| 25(OH)D | 25-hydroxyvitamin D |
| CAP | College of American Pathologists |
| CLIA | Chemiluminescence immunoassay |
| DBP | Vitamin D binding protein |
| DEQAS | Vitamin D External Quality Assessment Scheme |
| F | Female |
| HPLC | High-pressure liquid chromatography |
| LC-MS/MS | Liquid chromatography mass spectrometry/mass spectrometry |
| M | Male |
| NIST | National Institute of Standards and Technology |
| RCT | Randomized controlled trials |
| RIA | Radioimmunoassay |
| RMP | Reference measurement procedures |
| VDSP | Vitamin D Standardization Program |
| VDSCP | Vitamin D Standardization-Certification Program |
References
- Satija, A.; Hu, F.B. Big data and systematic reviews in nutritional epidemiology. Nutr. Rev. 2014, 72, 737–740. [Google Scholar] [CrossRef] [PubMed]
- Gospodarska, E.; Ghosh Dastidar, R.; Carlberg, C. Intervention Approaches in Studying the Response to Vitamin D3 Supplementation. Nutrients 2023, 15, 3382. [Google Scholar] [CrossRef]
- Pilz, S.; Trummer, C.; Theiler-Schwetz, V.; Grubler, M.R.; Verheyen, N.D.; Odler, B.; Karras, S.N.; Zittermann, A.; Marz, W. Critical Appraisal of Large Vitamin D Randomized Controlled Trials. Nutrients 2022, 14, 303. [Google Scholar] [CrossRef]
- Summerhays, E.; Eliasson, M.; Lundqvist, R.; Soderberg, S.; Zeller, T.; Oskarsson, V. Time trends of vitamin D concentrations in northern Sweden between 1986 and 2014: A population-based cross-sectional study. Eur. J. Nutr. 2020, 59, 3037–3044. [Google Scholar] [CrossRef]
- Looker, A.C.; Pfeiffer, C.M.; Lacher, D.A.; Schleicher, R.L.; Picciano, M.F.; Yetley, E.A. Serum 25-hydroxyvitamin D status of the US population: 1988–1994 compared with 2000–2004. Am. J. Clin. Nutr. 2008, 88, 1519–1527. [Google Scholar] [CrossRef]
- Major, J.M.; Graubard, B.I.; Dodd, K.W.; Iwan, A.; Alexander, B.H.; Linet, M.S.; Freedman, D.M. Variability and reproducibility of circulating vitamin D in a nationwide U.S. population. J. Clin. Endocrinol. Metab. 2013, 98, 97–104. [Google Scholar] [CrossRef] [PubMed]
- Rosecrans, R.; Dohnal, J.C. Seasonal vitamin D changes and the impact on health risk assessment. Clin. Biochem. 2014, 47, 670–672. [Google Scholar] [CrossRef]
- Bonelli, P.; Buonocore, R.; Aloe, R.; Lippi, G. Blood Sampling Seasonality as an Important Preanalytical Factor for Assessment of Vitamin D Status. J. Med. Biochem. 2016, 35, 113–117. [Google Scholar] [CrossRef] [PubMed]
- Papadakis, G.; Keramidas, I.; Kakava, K.; Pappa, T.; Villiotou, V.; Triantafillou, E.; Drosou, A.; Tertipi, A.; Kaltzidou, V.; Pappas, A. Seasonal variation of serum vitamin D among Greek female patients with osteoporosis. In Vivo 2015, 29, 409–413. [Google Scholar]
- Hypponen, E.; Power, C. Hypovitaminosis D in British adults at age 45 y: Nationwide cohort study of dietary and lifestyle predictors. Am. J. Clin. Nutr. 2007, 85, 860–868. [Google Scholar] [CrossRef] [PubMed]
- Kroll, M.H.; Bi, C.; Garber, C.C.; Kaufman, H.W.; Liu, D.; Caston-Balderrama, A.; Zhang, K.; Clarke, N.; Xie, M.; Reitz, R.E.; et al. Temporal relationship between vitamin D status and parathyroid hormone in the United States. PLoS ONE 2015, 10, e0118108. [Google Scholar] [CrossRef] [PubMed]
- Lippi, G.; Montagnana, M.; Meschi, T.; Borghi, L. Vitamin D concentration and deficiency across different ages and genders. Aging Clin. Exp. Res. 2012, 24, 548–551. [Google Scholar] [CrossRef] [PubMed]
- Malyavskaya, S.; Kostrova, G.; Kudryavtsev, A.V.; Lebedev, A. Low vitamin D levels among children and adolescents in an Arctic population. Scand. J. Public Health 2023, 51, 1003–1008. [Google Scholar] [CrossRef] [PubMed]
- Yesiltepe-Mutlu, G.; Aksu, E.D.; Bereket, A.; Hatun, S. Vitamin D Status Across Age Groups in Turkey: Results of 108,742 Samples from a Single Laboratory. J. Clin. Res. Pediatr. Endocrinol. 2020, 12, 248–255. [Google Scholar] [CrossRef]
- Dawson-Hughes, B.; Heaney, R.P.; Holick, M.F.; Lips, P.; Meunier, P.J.; Vieth, R. Estimates of optimal vitamin D status. Osteoporos. Int. 2005, 16, 713–716. [Google Scholar] [CrossRef] [PubMed]
- Smirnova, D.V.; Rehm, C.D.; Fritz, R.D.; Kutepova, I.S.; Soshina, M.S.; Berezhnaya, Y.A. Vitamin D status of the Russian adult population from 2013 to 2018. Sci. Rep. 2022, 12, 16604. [Google Scholar] [CrossRef] [PubMed]
- Sarafin, K.; Durazo-Arvizu, R.; Tian, L.; Phinney, K.W.; Tai, S.; Camara, J.E.; Merkel, J.; Green, E.; Sempos, C.T.; Brooks, S.P. Standardizing 25-hydroxyvitamin D values from the Canadian Health Measures Survey. Am. J. Clin. Nutr. 2015, 102, 1044–1050. [Google Scholar] [CrossRef]
- Schleicher, R.L.; Sternberg, M.R.; Lacher, D.A.; Sempos, C.T.; Looker, A.C.; Durazo-Arvizu, R.A.; Yetley, E.A.; Chaudhary-Webb, M.; Maw, K.L.; Pfeiffer, C.M.; et al. The vitamin D status of the US population from 1988 to 2010 using standardized serum concentrations of 25-hydroxyvitamin D shows recent modest increases. Am. J. Clin. Nutr. 2016, 104, 454–461. [Google Scholar] [CrossRef]
- Rabenberg, M.; Scheidt-Nave, C.; Busch, M.A.; Thamm, M.; Rieckmann, N.; Durazo-Arvizu, R.A.; Dowling, K.G.; Skrabakova, Z.; Cashman, K.D.; Sempos, C.T.; et al. Implications of standardization of serum 25-hydroxyvitamin D data for the evaluation of vitamin D status in Germany, including a temporal analysis. BMC Public Health 2018, 18, 845. [Google Scholar] [CrossRef]
- Hoge, A.; Donneau, A.F.; Streel, S.; Kolh, P.; Chapelle, J.P.; Albert, A.; Cavalier, E.; Guillaume, M. Vitamin D deficiency is common among adults in Wallonia (Belgium, 51 degrees 30’ North): Findings from the Nutrition, Environment and Cardio-Vascular Health study. Nutr. Res. 2015, 35, 716–725. [Google Scholar] [CrossRef] [PubMed]
- Hintzpeter, B.; Mensink, G.B.; Thierfelder, W.; Muller, M.J.; Scheidt-Nave, C. Vitamin D status and health correlates among German adults. Eur. J. Clin. Nutr. 2008, 62, 1079–1089. [Google Scholar] [CrossRef] [PubMed]
- Petrenya, N.; Lamberg-Allardt, C.; Melhus, M.; Broderstad, A.R.; Brustad, M. Vitamin D status in a multi-ethnic population of northern Norway: The SAMINOR 2 Clinical Survey. Public Health Nutr. 2020, 23, 1186–1200. [Google Scholar] [CrossRef] [PubMed]
- McKenna, M.J.; Murray, B.F.; O’Keane, M.; Kilbane, M.T. Rising trend in vitamin D status from 1993 to 2013: Dual concerns for the future. Endocr. Connect. 2015, 4, 163–171. [Google Scholar] [CrossRef][Green Version]
- Nielsen, N.O.; Jorgensen, M.E.; Friis, H.; Melbye, M.; Soborg, B.; Jeppesen, C.; Lundqvist, M.; Cohen, A.; Hougaard, D.M.; Bjerregaard, P. Decrease in vitamin D status in the Greenlandic adult population from 1987–2010. PLoS ONE 2014, 9, e112949. [Google Scholar] [CrossRef] [PubMed]
- Ginde, A.A.; Liu, M.C.; Camargo, C.A., Jr. Demographic differences and trends of vitamin D insufficiency in the US population, 1988–2004. Arch. Intern. Med. 2009, 169, 626–632. [Google Scholar] [CrossRef] [PubMed]
- Herrick, K.A.; Storandt, R.J.; Afful, J.; Pfeiffer, C.M.; Schleicher, R.L.; Gahche, J.J.; Potischman, N. Vitamin D status in the United States, 2011–2014. Am. J. Clin. Nutr. 2019, 110, 150–157. [Google Scholar] [CrossRef]
- Kunz, C.; Hower, J.; Knoll, A.; Ritzenthaler, K.L.; Lamberti, T. No improvement in vitamin D status in German infants and adolescents between 2009 and 2014 despite public recommendations to increase vitamin D intake in 2012. Eur. J. Nutr. 2019, 58, 1711–1722. [Google Scholar] [CrossRef]
- Horvath, L.; Mirani, S.; Girgis, M.M.F.; Racz, S.; Bacskay, I.; Bhattoa, H.P.; Toth, B.E. Six years’ experience and trends of serum 25-hydroxy vitamin D concentration and the effect of vitamin D3 consumption on these trends. Front. Pharmacol. 2023, 14, 1232285. [Google Scholar] [CrossRef]
- Tuuminen, T.; Sorsa, M.; Tornudd, M.; Lahteenmaki, P.L.; Poussa, T.; Suonsivu, P.; Pitkanen, E.M.; Antila, E.; Jaakkola, K. Long-term nutritional trends in the Finnish population estimated from a large laboratory database from 1987 to 2020. Sci. Rep. 2022, 12, 5008. [Google Scholar] [CrossRef] [PubMed]
- Bhattoa, H.P.; Konstantynowicz, J.; Laszcz, N.; Wojcik, M.; Pludowski, P. Vitamin D: Musculoskeletal health. Rev. Endocr. Metab. Disord. 2017, 18, 363–371. [Google Scholar] [CrossRef] [PubMed]
- Muscogiuri, G.; Annweiler, C.; Duval, G.; Karras, S.; Tirabassi, G.; Salvio, G.; Balercia, G.; Kimball, S.; Kotsa, K.; Mascitelli, L.; et al. Vitamin D and cardiovascular disease: From atherosclerosis to myocardial infarction and stroke. Int. J. Cardiol. 2017, 230, 577–584. [Google Scholar] [CrossRef] [PubMed]
- Munoz, A.; Grant, W.B. Vitamin D and Cancer: An Historical Overview of the Epidemiology and Mechanisms. Nutrients 2022, 14, 1448. [Google Scholar] [CrossRef]
- Grant, W.B.; Bhattoa, H.P.; Boucher, B.J. Seasonal variations of U.S. mortality rates: Roles of solar ultraviolet-B doses, vitamin D, gene exp ression, and infections. J. Steroid Biochem. Mol. Biol. 2017, 173, 5–12. [Google Scholar] [CrossRef]
- Grant, W.B.; Fakhoury, H.M.A.; Karras, S.N.; Al Anouti, F.; Bhattoa, H.P. Variations in 25-Hydroxyvitamin D in Countries from the Middle East and Europe: The Roles of UVB Exposure and Diet. Nutrients 2019, 11, 2065. [Google Scholar] [CrossRef]
- Holick, M.F.; Binkley, N.C.; Bischoff-Ferrari, H.A.; Gordon, C.M.; Hanley, D.A.; Heaney, R.P.; Murad, M.H.; Weaver, C.M.; Endocrine, S. Evaluation, treatment, and prevention of vitamin D deficiency: An Endocrine Society clinical practice guideline. J. Clin. Endocrinol. Metab. 2011, 96, 1911–1930. [Google Scholar] [CrossRef] [PubMed]
- Demay, M.B.; Pittas, A.G.; Bikle, D.D.; Diab, D.L.; Kiely, M.E.; Lazaretti-Castro, M.; Lips, P.; Mitchell, D.M.; Murad, M.H.; Powers, S.; et al. Vitamin D for the Prevention of Disease: An Endocrine Society Clinical Practice Guideline. J. Clin. Endocrinol. Metab. 2024, 109, 1907–1947. [Google Scholar] [CrossRef] [PubMed]
- Bischoff-Ferrari, H.A.; Giovannucci, E.; Willett, W.C.; Dietrich, T.; Dawson-Hughes, B. Estimation of optimal serum concentrations of 25-hydroxyvitamin D for multiple health outcomes. Am. J. Clin. Nutr. 2006, 84, 18–28. [Google Scholar] [CrossRef]
- Priemel, M.; von Domarus, C.; Klatte, T.O.; Kessler, S.; Schlie, J.; Meier, S.; Proksch, N.; Pastor, F.; Netter, C.; Streichert, T.; et al. Bone mineralization defects and vitamin D deficiency: Histomorphometric analysis of iliac crest bone biopsies and circulating 25-hydroxyvitamin D in 675 patients. J. Bone Miner. Res. 2010, 25, 305–312. [Google Scholar] [CrossRef]
- Dobnig, H.; Pilz, S.; Scharnagl, H.; Renner, W.; Seelhorst, U.; Wellnitz, B.; Kinkeldei, J.; Boehm, B.O.; Weihrauch, G.; Maerz, W. Independent association of low serum 25-hydroxyvitamin d and 1,25-dihydroxyvitamin d levels with all-cause and cardiovascular mortality. Arch. Intern. Med. 2008, 168, 1340–1349. [Google Scholar] [CrossRef] [PubMed]
- Herrmann, M.; Sullivan, D.R.; Veillard, A.S.; McCorquodale, T.; Straub, I.R.; Scott, R.; Laakso, M.; Topliss, D.; Jenkins, A.J.; Blankenberg, S.; et al. Serum 25-hydroxyvitamin D: A predictor of macrovascular and microvascular complications in patients with type 2 diabetes. Diabetes Care 2015, 38, 521–528. [Google Scholar] [CrossRef]
- Grant, W.B.; Boucher, B.J.; Cheng, R.Z.; Pludowski, P.; Wimalawansa, S.J. Vitamin D and Cardiovascular Health: A Narrative Review of Risk Reduction Evidence. Nutrients 2025, 17, 2102. [Google Scholar] [CrossRef]
- Grant, W.B.; Wimalawansa, S.J.; Pludowski, P.; Cheng, R.Z. Vitamin D: Evidence-Based Health Benefits and Recommendations for Population Guidelines. Nutrients 2025, 17, 277. [Google Scholar] [CrossRef] [PubMed]
- Holick, M.F. Vitamin D Status: Measurement, Interpretation, and Clinical Application. Ann. Epidemiol. 2009, 19, 73–78. [Google Scholar] [CrossRef]
- Woitge, H.W.; Knothe, A.; Witte, K.; Schmidt-Gayk, H.; Ziegler, R.; Lemmer, B.; Seibel, M.J. Circaannual rhythms and interactions of vitamin D metabolites, parathyroid hormone, and biochemical markers of skeletal homeostasis: A prospective study. J. Bone Miner. Res. 2000, 15, 2443–2450. [Google Scholar] [CrossRef] [PubMed]
- Schottker, B.; Jorde, R.; Peasey, A.; Thorand, B.; Jansen, E.H.; Groot, L.; Streppel, M.; Gardiner, J.; Ordonez-Mena, J.M.; Perna, L.; et al. Vitamin D and mortality: Meta-analysis of individual participant data from a large consortium of cohort studies from Europe and the United States. BMJ 2014, 348, g3656. [Google Scholar] [CrossRef] [PubMed]
- Zittermann, A.; Ernst, J.B.; Gummert, J.F.; Borgermann, J. Vitamin D supplementation, body weight and human serum 25-hydroxyvitamin D response: A systematic review. Eur. J. Nutr. 2014, 53, 367–374. [Google Scholar] [CrossRef] [PubMed]
- Glendenning, P.; Chew, G.T.; Seymour, H.M.; Gillett, M.J.; Goldswain, P.R.; Inderjeeth, C.A.; Vasikaran, S.D.; Taranto, M.; Musk, A.A.; Fraser, W.D. Serum 25-hydroxyvitamin D levels in vitamin D-insufficient hip fracture patients after supplementation with ergocalciferol and cholecalciferol. Bone 2009, 45, 870–875. [Google Scholar] [CrossRef]
- Wamberg, L.; Pedersen, S.B.; Richelsen, B.; Rejnmark, L. The effect of high-dose vitamin D supplementation on calciotropic hormones and bone mineral density in obese subjects with low levels of circulating 25-hydroxyvitamin d: Results from a randomized controlled study. Calcif. Tissue Int. 2013, 93, 69–77. [Google Scholar] [CrossRef] [PubMed]
- Diamond, T.; Wong, Y.K.; Golombick, T. Effect of oral cholecalciferol 2,000 versus 5,000 IU on serum vitamin D, PTH, bone and muscle strength in patients with vitamin D deficiency. Osteoporos. Int. 2013, 24, 1101–1105. [Google Scholar] [CrossRef] [PubMed]
- Rybchyn, M.S.; Abboud, M.; Puglisi, D.A.; Gordon-Thomson, C.; Brennan-Speranza, T.C.; Mason, R.S.; Fraser, D.R. Skeletal Muscle and the Maintenance of Vitamin D Status. Nutrients 2020, 12, 3270. [Google Scholar] [CrossRef] [PubMed]
- Mason, R.S.; Rybchyn, M.S.; Abboud, M.; Brennan-Speranza, T.C.; Fraser, D.R. The Role of Skeletal Muscle in Maintaining Vitamin D Status in Winter. Curr. Dev. Nutr. 2019, 3, nzz087. [Google Scholar] [CrossRef] [PubMed]
- Hollis, B.W. Editorial: The determination of circulating 25-hydroxyvitamin D: No easy task. J. Clin. Endocrinol. Metab. 2004, 89, 3149–3151. [Google Scholar] [CrossRef] [PubMed]
- Makris, K.; Bhattoa, H.P.; Cavalier, E.; Phinney, K.; Sempos, C.T.; Ulmer, C.Z.; Vasikaran, S.D.; Vesper, H.; Heijboer, A.C. Recommendations on the measurement and the clinical use of vitamin D metabolites and vitamin D binding protein—A position paper from the IFCC Committee on bone metabolism. Clin. Chim. Acta 2021, 517, 171–197. [Google Scholar] [CrossRef]
- Moreau, E.; Bacher, S.; Mery, S.; Le Goff, C.; Piga, N.; Vogeser, M.; Hausmann, M.; Cavalier, E. Performance characteristics of the VIDAS(R) 25-OH Vitamin D Total assay-comparison with four immunoassays and two liquid chromatography-tandem mass spectrometry methods in a multicentric study. Clin. Chem. Lab. Med. 2016, 54, 45–53. [Google Scholar] [CrossRef]
- Depreter, B.; Heijboer, A.C.; Langlois, M.R. Accuracy of three automated 25-hydroxyvitamin D assays in hemodialysis patients. Clin. Chim. Acta 2013, 415, 255–260. [Google Scholar] [CrossRef] [PubMed]
- Heijboer, A.C.; Blankenstein, M.A.; Kema, I.P.; Buijs, M.M. Accuracy of 6 routine 25-hydroxyvitamin D assays: Influence of vitamin D binding protein concentration. Clin. Chem. 2012, 58, 543–548. [Google Scholar] [CrossRef] [PubMed]
- Cavalier, E.; Lukas, P.; Crine, Y.; Peeters, S.; Carlisi, A.; Le Goff, C.; Gadisseur, R.; Delanaye, P.; Souberbielle, J.C. Evaluation of automated immunoassays for 25(OH)-vitamin D determination in different critical populations before and after standardization of the assays. Clin. Chim. Acta 2014, 431, 60–65. [Google Scholar] [CrossRef]
- Binkley, N.; Sempos, C.T.; Vitamin, D.S.P. Standardizing vitamin D assays: The way forward. J. Bone Miner. Res. 2014, 29, 1709–1714. [Google Scholar] [CrossRef] [PubMed]
- Sempos, C.T.; Durazo-Arvizu, R.A.; Binkley, N.; Jones, J.; Merkel, J.M.; Carter, G.D. Developing vitamin D dietary guidelines and the lack of 25-hydroxyvitamin D assay standardization: The ever-present past. J. Steroid Biochem. Mol. Biol. 2016, 164, 115–119. [Google Scholar] [CrossRef]
- Cashman, K.D.; Dowling, K.G.; Skrabakova, Z.; Kiely, M.; Lamberg-Allardt, C.; Durazo-Arvizu, R.A.; Sempos, C.T.; Koskinen, S.; Lundqvist, A.; Sundvall, J.; et al. Standardizing serum 25-hydroxyvitamin D data from four Nordic population samples using the Vitamin D Standardization Program protocols: Shedding new light on vitamin D status in Nordic individuals. Scand. J. Clin. Lab. Investig. 2015, 75, 549–561. [Google Scholar] [CrossRef] [PubMed]
- Cashman, K.D.; Kiely, M.; Kinsella, M.; Durazo-Arvizu, R.A.; Tian, L.; Zhang, Y.; Lucey, A.; Flynn, A.; Gibney, M.J.; Vesper, H.W.; et al. Evaluation of Vitamin D Standardization Program protocols for standardizing serum 25-hydroxyvitamin D data: A case study of the program’s potential for national nutrition and health surveys. Am. J. Clin. Nutr. 2013, 97, 1235–1242. [Google Scholar] [CrossRef] [PubMed]
- Jakab, E.; Kalina, E.; Petho, Z.; Pap, Z.; Balogh, A.; Grant, W.B.; Bhattoa, H.P. Standardizing 25-hydroxyvitamin D data from the HunMen cohort. Osteoporos. Int. 2017, 28, 1653–1657. [Google Scholar] [CrossRef] [PubMed]
- Altieri, B.; Cavalier, E.; Bhattoa, H.P.; Perez-Lopez, F.R.; Lopez-Baena, M.T.; Perez-Roncero, G.R.; Chedraui, P.; Annweiler, C.; Della Casa, S.; Zelzer, S.; et al. Vitamin D testing: Advantages and limits of the current assays. Eur. J. Clin. Nutr. 2020, 74, 231–247. [Google Scholar] [CrossRef] [PubMed]












| Year | Sex | Vitamin D-Insufficient (<75 nmol/L) Cases | Vitamin D-Sufficient (≥75 nmol/L) Cases | ||
|---|---|---|---|---|---|
| N | 25-Hydroxyvitamin D (nmol/L) (Mean, Range) | N | 25-Hydroxyvitamin D (nmol/L) (Mean, Range) | ||
| 2000 | F | 263 (70.3%) | 48 (4–73) | 88 (23.5%) | 86 (75–100) |
| M | 17 (4.5%) | 52 (19–68) | 6 (1.6%) | 85 (75–100) | |
| 2001 | F | 827 (84.0%) | 49 (12–74) | 130 (13.2%) | 86 (75–125) |
| M | 26 (2.6%) | 47 (7–72) | 2 (0.2%) | 75 (75–75) | |
| 2002 | F | 767 (80.9%) | 47 (12–72) | 150 (15.8%) | 90 (75–150) |
| M | 27 (2.8%) | 47 (17–72) | 4 (0.4%) | 104 (80–125) | |
| 2003 | F | 822 (64.9%) | 50 (9–72) | 366 (28.9%) | 94 (75–150) |
| M | 53 (4.2%) | 45 (12–72) | 25 (2.0%) | 103.9 (77–200) | |
| 2004 | F | 623 (54.3%) | 51 (14–72) | 415 (36.2%) | 96 (75–162) |
| M | 63 (5.5%) | 52 (20–72) | 46 (4.0%) | 94 (75–125) | |
| 2005 | F | 582 (56.1%) | 48 (3–75) | 252 (24.3%) | 94 (75–182) |
| M | 136 (13.1%) | 46 (14–75) | 67 (6.5%) | 96 (75–158) | |
| 2006 | F | 391 (38.4%) | 47 (10–74) | 330 (32.4%) | 110 (75–295) |
| M | 199 (19.5%) | 44 (6–74) | 99 (9.7%) | 111 (75–260) | |
| 2007 | F | 385 (37.2%) | 49 (8–74) | 344 (33.2%) | 108 (75–248) |
| M | 145 (14.0%) | 47 (9–74) | 162 (15.6%) | 107 (75–241) | |
| 2008 | F | 335 (44.2%) | 51 (10–74) | 230 (30.3%) | 111 (75–280) |
| M | 124 (16.4%) | 47 (9–74) | 69 (9.1%) | 103 (76–195) | |
| 2009 | F | 541 (41.8%) | 48 (6–74) | 356 (27.5%) | 107 (75–267) |
| M | 238 (18.4%) | 45 (1–74) | 159 (12.3%) | 102 (75–211) | |
| 2010 | F | 576 (31.6%) | 45 (4–74) | 471 (25.8%) | 110 (75–293) |
| M | 463 (25.4%) | 45 (5–74) | 314 (17.2%) | 109 (75–287) | |
| 2011 | F | 222 (16.8%) | 51 (8–74) | 563 (42.6%) | 144 (75–296) |
| M | 161 (12.2%) | 50 (9–74) | 375 (28.4%) | 151 (75–297) | |
| 2012 | F | 474 (23.5%) | 55 (17–74) | 716 (35.4%) | 116 (75–292) |
| M | 251 (12.4%) | 56 (13–74) | 579 (28.7%) | 125 (75–300) | |
| 2013 | F | 678 (25.1%) | 54 (12–74) | 895 (33.1%) | 109 (75–258) |
| M | 443 (16.4%) | 53 (13–74) | 689 (25.5%) | 115 (75–283) | |
| 2014 | F | 989 (41.2%) | 49 (9–75) | 527 (21.9%) | 103 (75–262) |
| M | 544 (22.7%) | 52 (12–75) | 341 (14.2%) | 104 (75–229) | |
| 2015 | F | 1976 (51.0%) | 49 (10–75) | 588 (15.2%) | 93 (75–233) |
| M | 1003 (25.9%) | 48 (10–75) | 304 (7.8%) | 91 (75–208) | |
| 2016 | F | 2404 (46.4%) | 51 (10–75) | 1204 (23.2%) | 96 (75–290) |
| M | 1147 (22.1%) | 50 (10–75) | 429 8.3%) | 95 (75–229) | |
| 2017 | F | 2697 (46.7%) | 51 (10–75) | 1319 (22.8%) | 95 (75–287) |
| M | 1262 (21.9%) | 51 (6–75) | 496 (8.6%) | 94 (75–255) | |
| 2018 | F | 2899 (42.0%) | 54 (10–75) | 1778 (25.8%) | 95 (75–262) |
| M | 1476 (21.4%) | 52 (12–75) | 749 (10.8%) | 95 (75–214) | |
| 2019 | F | 3597 (47.3%) | 52 (10–75) | 1729 (22.8%) | 94 (75–240) |
| M | 1626 (21.4%) | 51 (11–75) | 645 (8.5%) | 96 (75–265) | |
| 2020 | F | 3639 (38.8%) | 52 (10–75) | 2370 (25.3%) | 99 (75–272) |
| M | 2220 (23.7%) | 52 (11–75) | 1142 (12.2%) | 99 (75–246) | |
| Study | Year of Publication | Country | Study Period | Age | Gender (Women%:Men%) | N | Method |
|---|---|---|---|---|---|---|---|
| Looker et al. [5] | 2008 | USA | 1988–1994 and 2000–2004 | 20–59 years | 18,158 + 20,289 | Radioimmunoassay | |
| Hintzpeter et al. [21] | 2008 | Germany | October 1997–March 1999 | 18–79 years | 56.3:43.7 | 4,030 | CLIA |
| Ginde et al. [25] | 2009 | USA | 1988–1994 and 2000–2004 | ≥12 years | 52.4:47.6 | 18,883 + 13,369 | Radioimmunoassay |
| Nielsen et al. [24] | 2014 | Greenland | 1987 and 2005–2010 | ≥18 years | 56.6:43.4 | 306 + 2877 | LC-MS/MS |
| McKenna et al. [23] | 2015 | Ireland | 1993–2013 | birth–105 years | 66.7:32.3 | 43,782 | Hadad and Chyu competitive radioimmunoassay (1974–1994), Incstar/Diasorin radioimmunoassay (1994–2008), Immundiagnostic Systems radioimmunoassay (2008–2011), Elecsys Vitamin D Total (2011-) |
| Sarafin et al. [17] | 2015 | Canada | 2007–2011 | 3–79 years | 52:48 | 5306 + 6030 | CLIA |
| Hoge et al. [20] | 2015 | Wallonia (Belgium) | May 2010–March 2012 | 20–69 years | 51.3:48.7 | 915 | CLIA |
| Schleicher et al. [18] | 2016 | USA | 2007–2010 | ≥1 year | 50:50 | 15,650 | LC-MS/MS |
| Rabenberg et al. [19] | 2018 | Germany | 1998–2011 | 1–79 years | 50:50 | 20,927 | Originally CLIA, reanalyzed LC-MS/MS |
| Kunz et al. [27] | 2019 | Germany | 2009–2014 | 1–17 years | 46.9:53.1 | 1929 | CLIA |
| Herrick et al. [26] | 2019 | USA | 2011–2014 | ≥1 year | 50.5:49.5 | 16,180 | Radioimmunoassay |
| Petrenya et al. [22] | 2019 | Northern Norway | 2012–2014 | 40–69 years | 54.3:45.7 | 4465 | Immunoassay (IDS-iSYS) |
| Summerhays et al. [4] | 2020 | Northern Sweden | 1986–2014 | 25–74 years | 51:49 | 11,129 | One-step immunoassay |
| Tuuminen et al. [29] | 2022 | Finland | 1987–2020 | 68:32 | 67,236 | HPLC | |
| Smirnova et al. [16] | 2022 | Russia | 2013–2018 | ≥18 years | 83:17 | 30,040 | Chemiluminescent Microparticle Assay |
| Horváth et al. [28] | 2023 | Hungary | 1 January 2015–30 June 2021 | birth–100 years | 68.4:31.6 | 45,567 | CLIA |
Disclaimer/Publisher’s Note: The statements, opinions and data contained in all publications are solely those of the individual author(s) and contributor(s) and not of MDPI and/or the editor(s). MDPI and/or the editor(s) disclaim responsibility for any injury to people or property resulting from any ideas, methods, instructions or products referred to in the content. |
© 2025 by the authors. Licensee MDPI, Basel, Switzerland. This article is an open access article distributed under the terms and conditions of the Creative Commons Attribution (CC BY) license (https://creativecommons.org/licenses/by/4.0/).
Share and Cite
Racz, S.; Emri, M.; Berenyi, E.; Horvath, L.; Toth, B.E.; Barat, S.; Kalina, E.; Jozsa, L.; Bhattoa-Buzas, A.P.; Grant, W.B.; et al. Exploring Vitamin D Trends Through Big Data Analysis. Nutrients 2025, 17, 3808. https://doi.org/10.3390/nu17233808
Racz S, Emri M, Berenyi E, Horvath L, Toth BE, Barat S, Kalina E, Jozsa L, Bhattoa-Buzas AP, Grant WB, et al. Exploring Vitamin D Trends Through Big Data Analysis. Nutrients. 2025; 17(23):3808. https://doi.org/10.3390/nu17233808
Chicago/Turabian StyleRacz, Szilvia, Miklos Emri, Ervin Berenyi, Laszlo Horvath, Bela E. Toth, Sandor Barat, Edit Kalina, Luca Jozsa, Amrit Pal Bhattoa-Buzas, William B. Grant, and et al. 2025. "Exploring Vitamin D Trends Through Big Data Analysis" Nutrients 17, no. 23: 3808. https://doi.org/10.3390/nu17233808
APA StyleRacz, S., Emri, M., Berenyi, E., Horvath, L., Toth, B. E., Barat, S., Kalina, E., Jozsa, L., Bhattoa-Buzas, A. P., Grant, W. B., & Bhattoa, H. P. (2025). Exploring Vitamin D Trends Through Big Data Analysis. Nutrients, 17(23), 3808. https://doi.org/10.3390/nu17233808

