A Two-Source Model for Estimating Evaporative Fraction (TMEF) Coupling Priestley-Taylor Formula and Two-Stage Trapezoid
Abstract
:1. Introduction
2. Methods
2.1. Model Formulation
2.1.1. Priestly-Taylor Formula and Its Extension
2.1.2. Two-Stage Trapezoid Model
- (1)
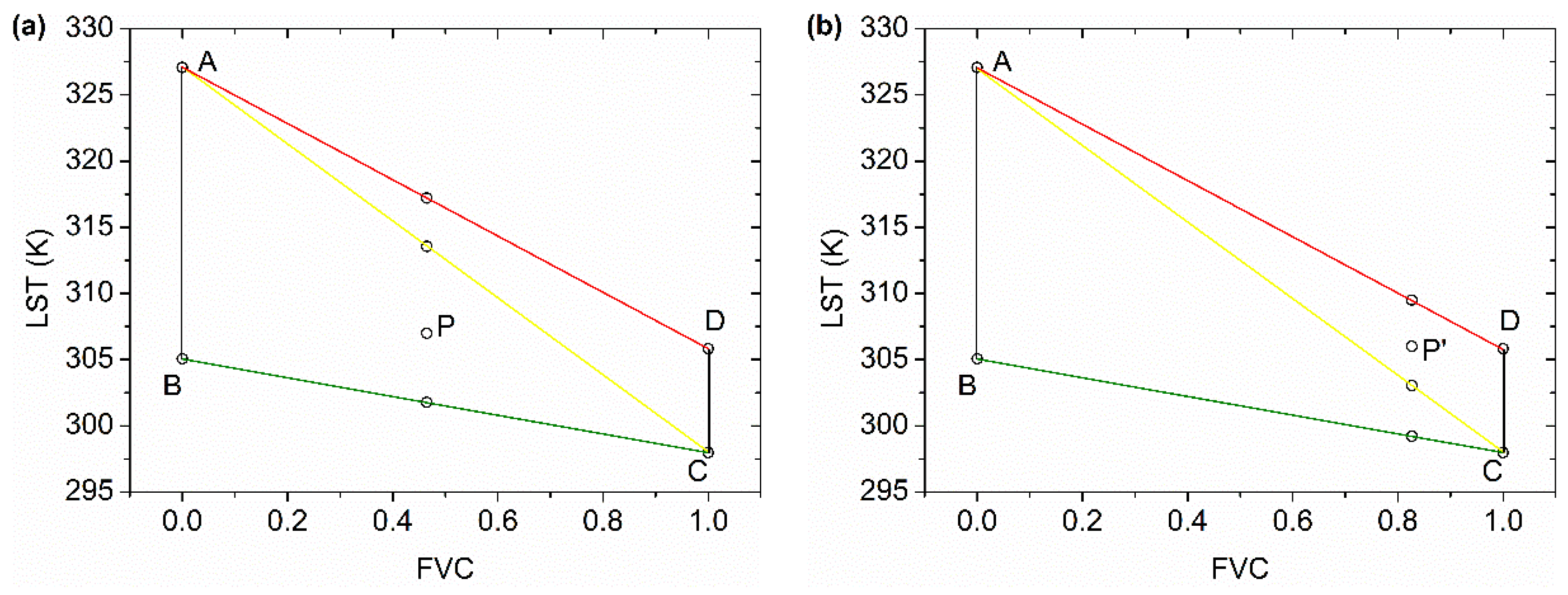
- Firstly, the isopleth of the soil moisture availability from the wet edge to the dry edge has only one variation stage in the conventional trapezoid, whereas it has two variation stages in the two-stage trapezoid. In conventional trapezoid, and change simultaneously as land surface dries. However, in two-stage trapezoid, changes in the first stage and changes in the next stage, which considers the variation speed difference between and in view of that vegetation can absorb deep soil moisture to maintain transpiration [19].
- (2)
- Secondly, the EF on the wet edge of the conventional trapezoid is set to a constant value of 1 [17]. Contrarily, the EF on the wet edge of the two-stage trapezoid is set to in this study. The EF on the dry edges are both equal to 0. Resultantly, the conventional trapezoid and the two-stage trapezoid have the same theoretical expressions for the dry edge which have been presented in previous literatures [17,26]. However, they have different expressions for the wet edge. The wet edge was usually expressed as equaling to Ta in conventional trapezoid [12,20]. In this study, we would present a theoretical expression of the wet edge in two-stage trapezoid.
2.1.3. Coupling Priestly-Taylor Formula with Two-Stage Trapezoid for Estimating EF
2.2. Model Evaluation
3. Study Area and Materials
3.1. Study Area
3.2. Study Materials
4. Results
4.1. Model Evaluation
4.2. Sensitivity Analysis
5. Discussion
6. Conclusion
Acknowledgments
Conflicts of Interest
References
- Yang, J.X.; Wang, Y.P. Estimating evapotranspiration fraction by modeling two-dimensional space of NDVI/albedo and day-night land surface temperature difference: A comparative study. Adv. Water Resour. 2011, 34, 512–518. [Google Scholar] [CrossRef]
- Wang, K.C.; Dickinson, R.E. A review of global terrestrial evapotranspiration: Observation, modeling, climatology, and climatic variability. Rev. Geophys. 2012, 50. [Google Scholar] [CrossRef]
- Tang, R.; Li, Z.-L.; Tang, B. An application of the TS-VI triangle method with enhanced edges determination for evapotranspiration estimation from MODIS data in arid and semi-arid regions: Implementation and validation. Remote Sens. Environ. 2010, 114, 540–551. [Google Scholar] [CrossRef]
- Li, Z.L.; Tang, R.L.; Wan, Z.M.; Bi, Y.Y.; Zhou, C.H.; Tang, B.H.; Yan, G.J.; Zhang, X.Y. A review of current methodologies for regional evapotranspiration estimation from remotely sensed data. Sensors 2009, 9, 3801–3853. [Google Scholar] [CrossRef] [PubMed]
- Hu, Z.; Yu, G.; Zhou, Y.; Sun, X.; Li, Y.; Shi, P.; Wang, Y.; Song, X.; Zheng, Z.; Zhang, L.; et al. Partitioning of evapotranspiration and its controls in four grassland ecosystems: Application of a two-source model. Agric. For. Meteorol. 2009, 149, 1410–1420. [Google Scholar] [CrossRef]
- Wang, K.C.; Li, Z.Q.; Cribb, M. Estimation of evaporative fraction from a combination of day and night land surface temperatures and NDVI: A new method to determine the priestley-taylor parameter. Remote Sens. Environ. 2006, 102, 293–305. [Google Scholar] [CrossRef]
- Peng, J.; Liu, Y.; Zhao, X.; Loew, A. Estimation of evapotranspiration from MODIS TOA radiances in the poyang lake basin, China. Hydrol. Earth Syst. Sci. 2013, 17, 1431–1444. [Google Scholar] [CrossRef]
- Jiang, L.; Islam, S. Estimation of surface evaporation map over southern great plains using remote sensing data. Water Resour. Res. 2001, 37, 329–340. [Google Scholar] [CrossRef]
- Cragoa, R.; Brutsaert, W. Daytime evaporation and the self-preservation of the evaporative fraction and the bowen ratio. J. Hydrol. 1996, 178, 241–255. [Google Scholar] [CrossRef]
- Ma, Y.M.; Song, M.H.; Ishikawa, H.; Yang, K.; Koike, T.; Jia, L.; Meneti, M.; Su, Z.B. Estimation of the regional evaporative fraction over the tibetan plateau area by using Landsat-7 ETM data and the field observations. J. Meteorol. Soc. Jpn. 2007, 85A, 295–309. [Google Scholar] [CrossRef]
- Jiang, L.; Islam, S.; Guo, W.; Jutla, A.S.; Senarath, S.U.S.; Ramsay, B.H.; Eltahir, E.A.B. A satellite-based daily actual evapotranspiration estimation algorithm over South Florida. Glob. Planet. Chang. 2009, 67, 62–77. [Google Scholar] [CrossRef]
- Carlson, T. An overview of the “triangle method” for estimating surface evapotranspiration and soil moisture from satellite imagery. Sensors 2007, 7, 1612–1629. [Google Scholar] [CrossRef]
- Yang, Y.T.; Long, D.; Guan, H.D.; Liang, W.; Simmons, C.; Batelaan, O. Comparison of three dual-source remote sensing evapotranspiration models during the Musoexe-12 campaign: Revisit of model physics. Water Resour. Res. 2015, 51, 3145–3165. [Google Scholar] [CrossRef]
- Jiang, L.; Islam, S. A methodology for estimation of surface evapotranspiration over large areas using remote sensing observations. Geophys. Res. Lett. 1999, 26, 2773–2776. [Google Scholar] [CrossRef]
- Stisen, S.; Sandholt, I.; Norgaard, A.; Fensholt, R.; Jensen, K.H. Combining the triangle method with thermal inertia to estimate regional evapotranspiration—Applied to MSG-SEVIRI data in the Senegal River basin. Remote Sens. Environ. 2008, 112, 1242–1255. [Google Scholar] [CrossRef]
- Nishida, K.; Nemani, R.R.; Running, S.W.; Glassy, J.M. An operational remote sensing algorithm of land surface evaporation. J. Geophys. Res.-Atmos. 2003, 108, 4270. [Google Scholar] [CrossRef]
- Long, D.; Singh, V.P. A two-source trapezoid model for evapotranspiration (TTME) from satellite imagery. Remote Sens. Environ. 2012, 121, 370–388. [Google Scholar] [CrossRef]
- Yang, Y.; Shang, S. A hybrid dual-source scheme and trapezoid framework-based evapotranspiration model (HTEM) using satellite images: Algorithm and model test. J. Geophys. Res. Atmos. 2013, 118, 2284–2300. [Google Scholar] [CrossRef]
- Sun, H. Two-stage trapezoid: A new interpretation of the surface temperature and fractional vegetation cover space. IEEE J. Sel. Top. Appl. Earth Obs. Remote Sens. 2016. In press. [Google Scholar] [CrossRef]
- Sandholt, I.; Rasmussen, K.; Andersen, J. A simple interpretation of the surface temperature/vegetation index space for assessment of surface moisture status. Remote Sens. Environ. 2002, 79, 213–224. [Google Scholar] [CrossRef]
- Priestley, C.H.B.; Taylor, R.J. On the assessment of surface heat flux and evaporation using large-scale parameters. Mon. Weather Rev. 1972, 100, 81–92. [Google Scholar] [CrossRef]
- Carlson, T.N. Triangle models and misconceptions. Int. J. Remote Sens. Appl. 2013, 3, 155–158. [Google Scholar]
- Singh, R.K.; Irmak, A. Treatment of anchor pixels in the metric model for improved estimation of sensible and latent heat fluxes. Hydrol. Sci. J.-J. Sci. Hydrol. 2011, 56, 895–906. [Google Scholar] [CrossRef]
- Eichinger, W.E.; Parlange, M.B.; Stricker, H. On the concept of equilibrium evaporation and the value of the priestley-taylor coefficient. Water Resour. Res. 1996, 32, 161–164. [Google Scholar] [CrossRef]
- Lhomme, J.-P. A theoretical basis for the priestley-taylor coefficient. Bound.-Layer Meteorol. 1997, 82, 179–191. [Google Scholar] [CrossRef]
- Long, D.; Singh, V.P.; Scanlon, B.R. Deriving theoretical boundaries to address scale dependencies of triangle models for evapotranspiration estimation. J. Geophys. Res.-Atmos. 2012, 117, 1–17. [Google Scholar] [CrossRef]
- Li, X.; Li, X.W.; Li, Z.Y.; Ma, M.G.; Wang, J.; Xiao, Q.; Liu, Q.; Che, T.; Chen, E.X.; Yan, G.J.; et al. Watershed allied telemetry experimental research. J. Geophys. Res.-Atmos. 2009, 114. [Google Scholar] [CrossRef]
- Liu, S.M.; Xu, Z.W.; Wang, W.Z.; Jia, Z.Z.; Zhu, M.J.; Bai, J.; Wang, J.M. A comparison of eddy-covariance and large aperture scintillometer measurements with respect to the energy balance closure problem. Hydrol. Earth Syst. Sci. 2011, 15, 1291–1306. [Google Scholar] [CrossRef]
- Ma, Y.F.; Liu, S.M.; Zhang, F.; Zhou, J.; Jia, Z.Z.; Song, L.S. Estimations of regional surface energy fluxes over heterogeneous oasis-desert surfaces in the middle reaches of the Heihe River during HiWATER-Musoexe. IEEE Geosci. Remote Sens. Lett. 2015, 12, 671–675. [Google Scholar]
- Xu, Z.; Liu, S.; Li, X.; Shi, S.; Wang, J.; Zhu, Z.; Xu, T.; Wang, W.; Ma, M. Intercomparison of surface energy flux measurement systems used during the HiWATER-Musoexe. J. Geophys. Res.-Atmos. 2013, 118, 13140–13157. [Google Scholar] [CrossRef]
- Liu, S.M.; Xu, Z.W.; Zhu, Z.L.; Jia, Z.Z.; Zhu, M.J. Measurements of evapotranspiration from eddy-covariance systems and large aperture scintillometers in the Hai River Basin, China. J. Hydrol. 2013, 487, 24–38. [Google Scholar] [CrossRef]
- Li, X.; Cheng, G.; Liu, S.; Xiao, Q.; Ma, M.; Jin, R.; Che, T.; Liu, Q.; Wang, W.; Qi, Y.; et al. Heihe watershed allied telemetry experimental research (HiWATER): Scientific objectives and experimental design. Bull. Am. Meteorol. Soc. 2013, 94, 1145–1160. [Google Scholar] [CrossRef]
- Xu, Z.W.; Liu, S.M.; Li, X.; Shi, S.J.; Wang, J.M.; Zhu, Z.L.; Xu, T.R.; Wang, W.Z.; Ma, M.G. Intercomparison of surface energy flux measurement systems used during the HiWATER-Musoexe. J. Geophys. Res.-Atmos. 2013, 118, 13140–13157. [Google Scholar] [CrossRef]
- Sun, H.; Chen, Y.; Gong, A.; Zhao, X.; Zhan, W.; Wang, M. Estimating mean air temperature using modis day and night land surface temperatures. Theor. Appl. Climatol. 2014, 118, 81–92. [Google Scholar] [CrossRef]
- Sun, H.; Chen, Y.; Zhan, W. Comparing surface and canopy layer urban heat islands over Beijing using MODIS data. Int. J. Remote Sens. 2015, 36, 5448–5465. [Google Scholar]
- Sun, J.; Hu, Z.-Y.; Xun, X.-Y.; Peng, W.; LÜ, B.; Xu, L.-J. Albedo characteristics in different underlying surfaces in mid and upper-reaches of Heihe and its impact factor analysis. Plateau Meteorol. 2011, 30, 607–613. (In Chinese) [Google Scholar]
- Walker, W.R.; Skogerboe, G.V. Surface Irrigation: Theory and Practice; Prentice Hall College Div: Englewood Cliffs, NJ, USA, 1987. [Google Scholar]
- Long, D.; Longuevergne, L.; Scanlon, B.R. Uncertainty in evapotranspiration from land surface modeling, remote sensing, and grace satellites. Water Resour. Res. 2014, 50, 1131–1151. [Google Scholar] [CrossRef]
- Long, D.; Yang, Y.; Wada, Y.; Hong, Y.; Liang, W.; Chen, Y.; Yong, B.; Hou, A.; Wei, J.; Chen, L. Deriving scaling factors using a global hydrological model to restore grace total water storage changes for China's Yangtze River basin. Remote Sens. Environ. 2015, 168, 177–193. [Google Scholar] [CrossRef]
- Karnieli, A.; Bayasgalan, M.; Bayarjargal, Y.; Agam, N.; Khudulmur, S.; Tucker, C.J. Comments on the use of the vegetation health index over Mongolia. Int. J. Remote Sens. 2006, 27, 2017–2024. [Google Scholar] [CrossRef]
- Karnieli, A.; Agam, N.; Pinker, R.T.; Anderson, M.; Imhoff, M.L.; Gutman, G.G.; Panov, N.; Goldberg, A. Use of NDVI and land surface temperature for drought assessment: Merits and limitations. J. Clim. 2010, 23, 618–633. [Google Scholar] [CrossRef]
- Sun, H.; Zhao, X.; Chen, Y.; Gong, A.; Yang, J. A new agricultural drought monitoring index combining MODIS NDWI and day-night land surface temperatures: A case study in china. Int. J. Remote Sens. 2013, 34, 8986–9001. [Google Scholar] [CrossRef]








| Parameters | NDVI | LST (K) | Ta (°C) | εa | Sd (W/m2) | u∗ (m/s) | 𝛼s | 𝛼v | 𝜀s | 𝜀v | hc (m) |
|---|---|---|---|---|---|---|---|---|---|---|---|
| Scene 1 | 0.65 | 307 | 22.67 | 0.63 | 798.8 | 0.24638 | 0.24 | 0.18 | 0.95 | 0.98 | 1.0 |
| Scene 2 | 0.80 | 306 |
© 2016 by the author; licensee MDPI, Basel, Switzerland. This article is an open access article distributed under the terms and conditions of the Creative Commons by Attribution (CC-BY) license (http://creativecommons.org/licenses/by/4.0/).
Share and Cite
Sun, H. A Two-Source Model for Estimating Evaporative Fraction (TMEF) Coupling Priestley-Taylor Formula and Two-Stage Trapezoid. Remote Sens. 2016, 8, 248. https://doi.org/10.3390/rs8030248
Sun H. A Two-Source Model for Estimating Evaporative Fraction (TMEF) Coupling Priestley-Taylor Formula and Two-Stage Trapezoid. Remote Sensing. 2016; 8(3):248. https://doi.org/10.3390/rs8030248
Chicago/Turabian StyleSun, Hao. 2016. "A Two-Source Model for Estimating Evaporative Fraction (TMEF) Coupling Priestley-Taylor Formula and Two-Stage Trapezoid" Remote Sensing 8, no. 3: 248. https://doi.org/10.3390/rs8030248
APA StyleSun, H. (2016). A Two-Source Model for Estimating Evaporative Fraction (TMEF) Coupling Priestley-Taylor Formula and Two-Stage Trapezoid. Remote Sensing, 8(3), 248. https://doi.org/10.3390/rs8030248