Evaluating an Enhanced Vegetation Condition Index (VCI) Based on VIUPD for Drought Monitoring in the Continental United States
Abstract
:1. Introduction
2. Materials and Methods
2.1. Study Area
2.2. Station-Based Drought Indices
2.3. Flux Tower GPP Data
2.4. Remote Sensing Data
2.5. Vegetation Condition Index
2.6. Other Data
2.7. Validation of the VIUPD-Derived VCI
3. Results
3.1. Monthly Temporal Correlations
3.2. Regional Drought Patterns Derived from NDVI and VIUPD-Derived VCI
3.3. Comparison of the Spatial Variability of the VIUPD and NDVI Derived VCIs
3.4. Comparison of the Spatial Variability of VIUPD-Derived VCI and Other Remote-Sensing-Based Single Drought Indices
4. Discussion
4.1. Consistency of GPP and VIUPD
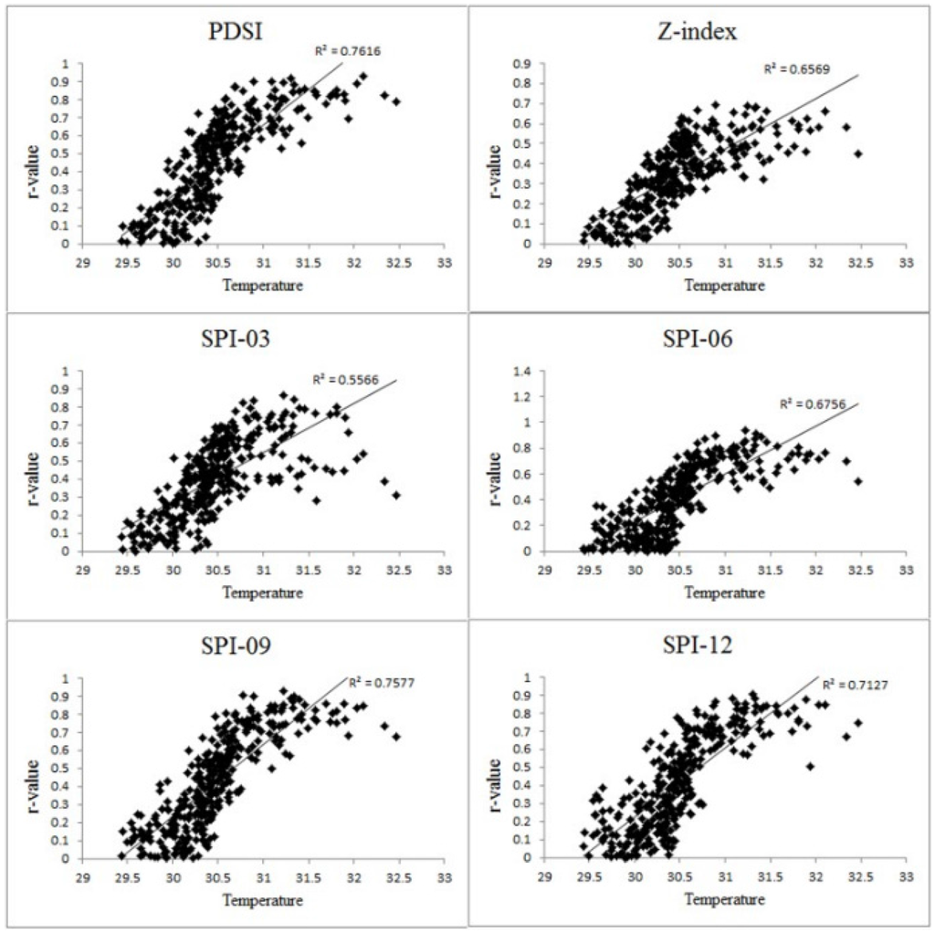
4.2. Facters Which Affect the Performance of VIUPD-Derived VCI
5. Conclusions
Acknowledgments
Author Contributions
Conflicts of Interest
Abbreviations
| NDVI | Normalized Difference Vegetation Index |
| VIUPD | Vegetation Index based on the Universal Pattern Decomposition Method |
| VCI | Vegetation Condition Index |
| TCI | Temperature Condition Index |
| PCI | Precipitation Condition Index |
| SMCI | Soil Moisture Condition Index |
| CONUS | Continental United States |
| PDSI | Palmer Drought Severity Index |
| SPI | Standardized Precipitation Index |
| EVI | Enhanced Vegetation Index |
| MCARI | Modified transformed Chlorophyll Absorption Ratio Index |
| TVI | Triangle Vegetation Index |
| TRMM | Tropical Rainfall Measuring Mission |
| NASA | National Aeronautics and Space Administration |
| MODIS | Moderate-resolution Imaging Spectroradiometer |
| GPP | Gross Primary Production |
| CD | Climate Division |
| UPDM | Universal Pattern Decomposition Method |
References
- Heim, R.R., Jr. A review of twentieth-century drought indices used in the United States. Bull. Am. Meteorol. Soc. 2002, 83, 1149–1165. [Google Scholar]
- Zhang, A.; Jia, G. Monitoring meteorological drought in semiarid regions using multi-sensor microwave remote sensing data. Remote Sens. Environ. 2013, 134, 12–23. [Google Scholar] [CrossRef]
- Ji, L.; Peters, A.J. Assessing vegetation response to drought in the northern Great Plains using vegetation and drought indices. Remote Sens. Environ. 2003, 87, 85–98. [Google Scholar] [CrossRef]
- Palmer, W.C. Meteorological Drought; US Department of Commerce, Weather Bureau: Washington, DC, USA, 1965.
- McKee, T.B.; Doesken, N.J.; Kleist, J. The relationship of drought frequency and duration to time scales. In Proceedings of the 8th Conference on Applied Climatology, Anaheim, CA, USA, 17–22 January 1993; American Meteorological Society: Boston, MA, USA; pp. 179–183.
- Rhee, J.; Im, J.; Carbone, G.J. Monitoring agricultural drought for arid and humid regions using multi-sensor remote sensing data. Remote Sens. Environ. 2010, 114, 2875–2887. [Google Scholar] [CrossRef]
- Wu, J.; Zhou, L.; Liu, M.; Zhang, J.; Leng, S.; Diao, C. Establishing and assessing the Integrated Surface Drought Index (ISDI) for agricultural drought monitoring in mid-eastern China. Int. J. Appl. Earth Obs. Geoinf. 2013, 23, 397–410. [Google Scholar] [CrossRef]
- Kogan, F.N. Droughts of the late 1980s in the United States as derived from NOAA polar-orbiting satellite data. Bull. Am. Meteorol. Soc. 1995, 76, 655–668. [Google Scholar] [CrossRef]
- Domenikiotis, C.; Spiliotopoulos, M.; Tsiros, E.; Dalezios, N. Early cotton yield assessment by the use of the NOAA/AVHRR derived Vegetation Condition Index (VCI) in Greece. Int. J. Remote Sens. 2004, 25, 2807–2819. [Google Scholar] [CrossRef]
- Kuri, F.; Murwira, A.; Murwira, K.S.; Masocha, M. Predicting maize yield in Zimbabwe using dry dekads derived from remotely sensed Vegetation Condition Index. Int. J. Appl. Earth Obs. Geoinf. 2014, 33, 39–46. [Google Scholar] [CrossRef]
- Liu, W.; Kogan, F. Monitoring Brazilian soybean production using NOAA/AVHRR based vegetation condition indices. Int. J. Remote Sens. 2002, 23, 1161–1179. [Google Scholar] [CrossRef]
- Seiler, R.; Kogan, F.; Sullivan, J. AVHRR-based vegetation and temperature condition indices for drought detection in Argentina. Adv. Space Res. 1998, 21, 481–484. [Google Scholar] [CrossRef]
- Shen, Y.; Liu, X.; Huang, Y. Impacts of crop rotation on vegetation condition index for species-level drought monitoring. In Proceedings of the Third International Conference on Agro-Geoinformatics (Agro-Geoinformatics 2014), Beijing, China, 11–14 August 2014; pp. 1–5.
- Singh, R.P.; Roy, S.; Kogan, F. Vegetation and temperature condition indices from NOAA AVHRR data for drought monitoring over India. Int. J. Remote Sens. 2003, 24, 4393–4402. [Google Scholar] [CrossRef]
- Wan, Z. NDVI anomaly patterns over Africa during the 1997/98 ENSO warm event. Int. J. Remote Sens. 2001, 22. [Google Scholar] [CrossRef]
- Quiring, S.M.; Papakryiakou, T.N. An evaluation of agricultural drought indices for the Canadian prairies. Agric. For. Meteorol. 2003, 118, 49–62. [Google Scholar] [CrossRef]
- Kogan, F.N. Global drought watch from space. Bull. Am. Meteorol. Soc. 1997, 78, 621–636. [Google Scholar] [CrossRef]
- Gitelson, A.A.; Kogan, F.; Zakarin, E.; Spivak, L.; Lebed, L. Using AVHRR data for quantitive estimation of vegetation conditions: Calibration and validation. Adv. Space Res. 1998, 22, 673–676. [Google Scholar] [CrossRef]
- Bayarjargal, Y.; Karnieli, A.; Bayasgalan, M.; Khudulmur, S.; Gandush, C.; Tucker, C. A comparative study of NOAA-AVHRR derived drought indices using change vector analysis. Remote Sens. Environ. 2006, 105, 9–22. [Google Scholar] [CrossRef]
- Quiring, S.M.; Ganesh, S. Evaluating the utility of the Vegetation Condition Index (VCI) for monitoring meteorological drought in Texas. Agric. For. Meteorol. 2010, 150, 330–339. [Google Scholar] [CrossRef]
- Dogan, S.; Berktay, A.; Singh, V.P. Comparison of multi-monthly rainfall-based drought severity indices, with application to semi-arid Konya closed basin, Turkey. J. Hydrol. 2012, 470, 255–268. [Google Scholar] [CrossRef]
- Zhang, L.; Furumi, S.; Muramatsu, K.; Fujiwara, N.; Daigo, M.; Zhang, L. A new vegetation index based on the universal pattern decomposition method. Int. J. Remote Sens. 2007, 28, 107–124. [Google Scholar] [CrossRef]
- Chen, X.; Zhang, L.; Zhang, X.; Liu, B. Comparison of the sensor dependence of vegetation indices based on Hyperion and CHRIS hyperspectral data. Int. J. Remote Sens. 2013, 34, 2200–2215. [Google Scholar] [CrossRef]
- Liu, K.; Su, H.; Zhang, L.; Yang, H.; Zhang, R.; Li, X. Analysis of the urban heat island effect in Shijiazhuang, China using satellite and airborne data. Remote Sens. 2015, 7, 4804–4833. [Google Scholar] [CrossRef]
- Jiang, H.-L.; Yang, H.; Chen, X.P.; Wang, S.D.; Li, X.K.; Liu, K.; Cen, Y. Research on accuracy and stability of inversing vegetation chlorophyll content by spectral index method. Spectrosc. Spectr. Anal. 2015, 35, 975–981. [Google Scholar]
- National Climatic Data Center. Available online: http://www.ncdc.noaa.gov (accessed on 8 March 2016).
- Brown, J.F.; Wardlow, B.D.; Tadesse, T.; Hayes, M.J.; Reed, B.C. The Vegetation Drought Response Index (VegDRI): A new integrated approach for monitoring drought stress in vegetation. GISci. Remote Sens. 2008, 45, 16–46. [Google Scholar] [CrossRef]
- Du, L.; Tian, Q.; Yu, T.; Meng, Q.; Jancso, T.; Udvardy, P.; Huang, Y. A comprehensive drought monitoring method integrating MODIS and TRMM data. Int. J. Appl. Earth Obs. Geoinf. 2013, 23, 245–253. [Google Scholar] [CrossRef]
- Guttman, N.B. Accepting the standardized precipitation index: A calculation algorithm. J. Am. Water Resour. Assoc. 1999, 35, 311–322. [Google Scholar] [CrossRef]
- AmeriFlux. Available online: http://ameriflux.lbx.gov/ (accessed on 8 March 2016).
- Land Processes Distributed Active Center (LPDAAC). Available online: http://lpdaac.usgs.gov/ (accessed on 8 March 2016).
- National Aeronautics and Space Administration’s (NASA) Earth Observing System Data and Information system (EOSDIS). Available online: http://reverb.echo.nasa.gov (accessed on 8 March 2016).
- Vrije Universtiteit Amsterdam. Available online: http://nsidc.org/ (accessed on 8 March).
- United States drought monitor (USDM). Available online: http://drought.unl/dm/ (accessed on 8 March 2016).
- Hao, C.; Zhang, J.; Yao, F. Combination of multi-sensor remote sensing data for drought monitoring over Southwest China. Int. J. Appl. Earth Obs. Geoinf. 2015, 35 Pt B, 270–283. [Google Scholar] [CrossRef]
- US National Drought Mitigation Center. Available online: http://drought.unl.edu (accessed on 8 March 2016).
- Zhang, L.; Fujiwara, N.; Furumi, S.; Muramatsu, K.; Daigo, M.; Zhang, L. Assessment of the universal pattern decomposition method using MODIS and ETM+ data. Int. J. Remote Sens. 2007, 28, 125–142. [Google Scholar] [CrossRef]
- Ceccato, P.; Flasse, S.; Tarantola, S.; Jacquemoud, S.; Grégoire, J.-M. Detecting vegetation leaf water content using reflectance in the optical domain. Remote Sens. Environ. 2001, 77, 22–33. [Google Scholar] [CrossRef]
- Chen, D.; Huang, J.; Jackson, T.J. Vegetation water content estimation for corn and soybeans using spectral indices derived from MODIS near-and short-wave infrared bands. Remote Sens. Environ. 2005, 98, 225–236. [Google Scholar] [CrossRef]
- Fensholt, R.; Sandholt, I. Derivation of a shortwave infrared water stress index from MODIS near-and shortwave infrared data in a semiarid environment. Remote Sens. Environ. 2003, 87, 111–121. [Google Scholar] [CrossRef]
- Wang, L.; Qu, J.J.; Hao, X.; Zhu, Q. Sensitivity studies of the moisture effects on MODIS SWIR reflectance and vegetation water indices. Int. J. Remote Sens. 2008, 29, 7065–7075. [Google Scholar] [CrossRef]
- Jiang, Z.; Huete, A.R.; Didan, K.; Miura, T. Development of a two-band enhanced vegetation index without a blue band. Remote Sens. Environ. 2008, 112, 3833–3845. [Google Scholar] [CrossRef]
- Kaufman, Y.J.; Wald, A.E.; Remer, L.A.; Gao, B.-C.; Li, R.-R.; Flynn, L. The MODIS 2.1-μm channel-correlation with visible reflectance for use in remote sensing of aerosol. IEEE Trans. Geosci. Remote Sens. 1997, 35, 1286–1298. [Google Scholar] [CrossRef]
- Teillet, P.M.; Staenz, K.; William, D.J. Effects of spectral, spatial, and radiometric characteristics on remote sensing vegetation indices of forested regions. Remote Sens. Environ. 1997, 61, 139–149. [Google Scholar] [CrossRef]
- Owe, M.; De Jeu, R.A.M.; Holmes, T.R.H. Multisensor historical climatology of satellite-derived global land surface moisture. J. Geophys. Res. 2008, 113, F01002. [Google Scholar] [CrossRef]
- Wang, S.; Huang, C.; Zhang, L.; Lin, Y.; Cen, Y.; Wu, T. Monitoring and assessing the 2012 drought in the great plains: Analyzing satellite-retrieved solar-induced chlorophyll fluorescence, drought indices, and gross primary production. Remote Sens. 2016, 8. [Google Scholar] [CrossRef]











| Site Name | Loc_Lat | Loc_Long | Elevation | Vegetation Type | Active or Not |
|---|---|---|---|---|---|
| US-ARM | 36.6058 | −97.4888 | 314 | crop | Active |
| US-Aud | 31.5907 | −110.51 | 1469 | grass | Active |
| US-FR2 | 29.9495 | −97.9962 | 272 | grass | Active |
| US-FR3 | 29.94 | −97.99 | 232 | grass | Active |
| US-KFS | 39.0561 | −95.1907 | 310 | grass | Active |
| US-Kon | 39.0824 | −96.5603 | 330 | grass | Active |
| US-Ro3 | 44.7217 | −93.0893 | 260 | crop | Active |
| US-Var | 38.4133 | −120.951 | 129 | grass | Active |
| Drought Index | Data Source | Method | Source |
|---|---|---|---|
| TCI | MODIS, AMSR-E | (LSTi,max − LSTijk)/(LSTi,max − LSTi,min) | [17] |
| SMCI_VUA | AMSR-E | (SMijk − SMi,min)/(SMi,max − SMi,min) | [2] |
| SMCI_NSIDC | AMSR-E | (SMijk − SMi,min)/(SMi,max − SMi,min) | [2] |
| PCI | TRMM | (TRMijk − TRMi,min)/(TRMi,max + TRMi,min) | [2] |
| Drought Indices | r (n = 24,080) | |||||||
|---|---|---|---|---|---|---|---|---|
| PDSI | Z | SPI-1 | SPI-3 | SPI-6 | SPI-9 | SPI-12 | SPI-24 | |
| VIUPD-VCI | 0.622 * | 0.313 | 0.234 | 0.564 * | 0.582 * | 0.584 * | 0.548 * | 0.390 * |
| NDVI-VCI | 0.382 | 0.284 | 0.217 | 0.354 | 0.326 | 0.344 | 0.318 | 0.237 |
| PCI | 0.440 | 0.806 | 0.865 * | 0.559 | 0.398 | 0.350 | 0.303 | 0.211 |
| TCI | 0.542 | 0.589 | 0.487 | 0.515 | 0.471 | 0.423 | 0.379 | 0.278 |
| TCI-VUA | 0.215 | 0.241 | 0.147 | 0.182 | 0.168 | 0.155 | 0.126 | 0.072 |
| SMCI-VUA | 0.370 | 0.451 | 0.426 | 0.389 | 0.331 | 0.297 | 0.259 | 0.197 |
| SMCI-NSIDC | 0.074 | 0.237 | 0.291 | 0.222 | 0.140 | 0.085 | 0.056 | 0.002 |
| Drought Indices | RMSE (n = 24,080) | |||||||
|---|---|---|---|---|---|---|---|---|
| PDSI | Z | SPI-1 | SPI-3 | SPI-6 | SPI-9 | SPI-12 | SPI-24 | |
| VIUPD-VCI | 2.658 * | 2.244 | 1.159 | 1.075 * | 1.082 * | 1.058 * | 1.068 * | 1.074 * |
| NDVI-VCI | 2.782 | 2.384 | 1.681 | 1.145 | 1.326 | 1.344 | 1.368 | 1.370 |
| PCI | 3.440 | 0.865 | 0.801 * | 2.559 | 2.598 | 2.650 | 2.703 | 2.811 |
| TCI | 2.709 | 2.289 | 1.166 | 1.145 | 1.271 | 1.223 | 1.379 | 1.278 |
| TCI-VUA | 2.774 | 2.567 | 1.026 | 1.057 | 1.071 | 1.059 | 1.085 | 1.099 |
| SMCI-VUA | 2.856 | 2.234 | 1.183 | 1.324 | 1.245 | 1.255 | 1.265 | 1.278 |
| SMCI-NSIDC | 3.374 | 3.237 | 3.291 | 3.122 | 3.140 | 3.155 | 3.156 | 3.202 |
| Drought Indices | MAE (n = 24,080) | |||||||
|---|---|---|---|---|---|---|---|---|
| PDSI | Z | SPI-1 | SPI-3 | SPI-6 | SPI-9 | SPI-12 | SPI-24 | |
| VIUPD-VCI | 1.592 * | 1.819 | 0.871 | 0.892 * | 0.897 * | 0.873 * | 0.885 * | 0.887 * |
| NDVI-VCI | 1.682 | 1.984 | 1.217 | 1.354 | 1.366 | 1.368 | 1.378 | 1.437 |
| PCI | 1.840 | 0.963 | 0.665* | 0.959 | 1.198 | 1.350 | 1.403 | 1.511 |
| TCI | 1.642 | 1.967 | 0.987 | 0.915 | 0.971 | 0.923 | 0.979 | 0.978 |
| TCI-VUA | 2.198 | 1.767 | 0.867 | 0.885 | 0.897 | 0.879 | 0.901 | 0.910 |
| SMCI-VUA | 2.656 | 2.451 | 1.326 | 1.339 | 1.381 | 1.297 | 1.259 | 1.197 |
| SMCI-NSIDC | 3.074 | 3.267 | 2.991 | 2.222 | 0.240 | 2.285 | 2.356 | 2.402 |
| Month | Drought Indices | r (n = 6880) | |||||||
|---|---|---|---|---|---|---|---|---|---|
| PDSI | Z | SPI-1 | SPI-3 | SPI-6 | SPI-9 | SPI-12 | SPI-24 | ||
| April–May | VIUPD-VCI | 0.351 | 0.339 | 0.425 | 0.381 | 0.360 | 0.429 | 0.385 | 0.326 |
| NDVI-VCI | 0.257 | 0.269 | 0.293 | 0.329 | 0.315 | 0.265 | 0.191 | 0.117 | |
| Jun–July | VIUPD-VCI | 0.750 | 0.699 | 0.463 | 0.531 | 0.601 | 0.651 | 0.643 | 0.550 |
| NDVI-VCI | 0.527 | 0.485 | 0.355 | 0.417 | 0.383 | 0.428 | 0.446 | 0.312 | |
| August–September | VIUPD-VCI | 0.768 | 0.529 | 0.402 | 0.647 | 0.699 | 0.723 | 0.684 | 0.514 |
| NDVI- VCI | 0.552 | 0.338 | 0.226 | 0.476 | 0.475 | 0.493 | 0.444 | 0.374 | |
© 2016 by the authors; licensee MDPI, Basel, Switzerland. This article is an open access article distributed under the terms and conditions of the Creative Commons by Attribution (CC-BY) license (http://creativecommons.org/licenses/by/4.0/).
Share and Cite
Jiao, W.; Zhang, L.; Chang, Q.; Fu, D.; Cen, Y.; Tong, Q. Evaluating an Enhanced Vegetation Condition Index (VCI) Based on VIUPD for Drought Monitoring in the Continental United States. Remote Sens. 2016, 8, 224. https://doi.org/10.3390/rs8030224
Jiao W, Zhang L, Chang Q, Fu D, Cen Y, Tong Q. Evaluating an Enhanced Vegetation Condition Index (VCI) Based on VIUPD for Drought Monitoring in the Continental United States. Remote Sensing. 2016; 8(3):224. https://doi.org/10.3390/rs8030224
Chicago/Turabian StyleJiao, Wenzhe, Lifu Zhang, Qing Chang, Dongjie Fu, Yi Cen, and Qingxi Tong. 2016. "Evaluating an Enhanced Vegetation Condition Index (VCI) Based on VIUPD for Drought Monitoring in the Continental United States" Remote Sensing 8, no. 3: 224. https://doi.org/10.3390/rs8030224
APA StyleJiao, W., Zhang, L., Chang, Q., Fu, D., Cen, Y., & Tong, Q. (2016). Evaluating an Enhanced Vegetation Condition Index (VCI) Based on VIUPD for Drought Monitoring in the Continental United States. Remote Sensing, 8(3), 224. https://doi.org/10.3390/rs8030224

