Assessment of S-NPP VIIRS On-Orbit Radiometric Calibration and Performance
Abstract
:1. Introduction
| Band | Spectral Range (μm) | Band Gain | Ltyp or Ttyp | Lmax or Tmax | SNR or NEdT | |
|---|---|---|---|---|---|---|
| VIS/NIR | ||||||
| Reflective Bands | DNB | 0.500–0.900 | VG | 0.00003 | 200 | 6 | 
| M1 | 0.402–0.422 | High | 44.9 | 135 | 352 | |
| Low | 155 | 615 | 316 | |||
| M2 | 0.436–0.454 | High | 40 | 127 | 380 | |
| Low | 146 | 687 | 409 | |||
| M3 | 0.478–0.498 | High | 32 | 107 | 416 | |
| Low | 123 | 702 | 414 | |||
| M4 | 0.545–0.565 | High | 21 | 78 | 362 | |
| Low | 90 | 667 | 315 | |||
| I1 | 0.600–0.680 | Single | 22 | 718 | 119 | |
| M5 | 0.662–682 | High | 10 | 59 | 242 | |
| Low | 68 | 651 | 360 | |||
| M6 | 0.739–0.754 | Single | 9.6 | 41 | 199 | |
| I2 | 0.846–0.885 | Single | 25 | 349 | 150 | |
| M7 | 0.846–0.885 | High | 6.4 | 29 | 215 | |
| Low | 33.4 | 349 | 340 | |||
| S/WMIR | ||||||
| M8 | 1.230–1.250 | Single | 5.4 | 165 | 74 | |
| M9 | 1.371–1.386 | Single | 6 | 77.1 | 83 | |
| I3 | 1.580–1.640 | Single | 7.3 | 72.5 | 6 | |
| M10 | 1.580–1.640 | Single | 7.3 | 71.2 | 342 | |
| M11 | 2.225–2.275 | Single | 0.12 | 31.8 | 10 | |
| Emissive Bands | I4 | 3.550–3.930 | Single | 270 | 353 | 2.5 | 
| M12 | 3.660–3.840 | Single | 270 | 353 | 0.396 | |
| M13 | 3.973–4.128 | High | 300 | 343 | 0.107 | |
| Low | 380 | 634 | 0.423 | |||
| LWIR | ||||||
| M14 | 8.400–8.700 | Single | 270 | 336 | 0.091 | |
| M15 | 10.263–11.263 | Single | 300 | 343 | 0.07 | |
| I5 | 10.500–12.400 | Single | 210 | 340 | 1.5 | |
| M16 | 11.538–12.488 | Single | 300 | 340 | 0.072 | |
| Date | Event Description | 
|---|---|
| 28/10/2011 | Suomi-NPP launch | 
| 08/11/2011 | VIIRS turned on | 
| 08/11/2011 | First SDSM operation (initially every orbit) | 
| 18/11/2011 | First RTA/HAM sync loss reported | 
| 21/11/2011 | Nadir door open | 
| 25/11/2011 | First VIIRS recommended operating procedure for DNB calibration | 
| 25/11/2011 | First VIIRS safe mode due to 1394 data bus anomaly that caused single board computer lock-up | 
| 04/01/2012 | First planned lunar calibration (with roll maneuver) | 
| 18/01/2012 | Cryo-cooler door open | 
| 19/01/2012 | SDSM calibration frequency changed to once per day | 
| 06/02/2012 | First BB warm-up and cool-down | 
| 15/02/2012 | Yaw maneuver (fourteen orbits) | 
| 20/02/2012 | Pitch maneuver | 
| 24/03/2012 | Spacecraft anomaly: Sun point mode | 
| 16/05/2014 | SDSM calibration frequency changed to three times a week | 
2. On-Orbit Calibration Methodologies and Activities

2.1. Solar Calibration for the RSB
2.2. Lunar Calibration for the RSB
2.3. DNB Calibration
2.4. BB Calibration for the TEB
2.5. On-Orbit Calibration Activities
| Date | H:M:S | Roll Angle | Phase Angle | Date | H:M:S | Roll Angle | Phase Angle | 
|---|---|---|---|---|---|---|---|
| 04/01/2012 | 08:48:53 | −9.490 | −55.41 | 11/01/2014 | 09:59:45 | −6.727 | −51.30 | 
| 03/02/2012 | 04:21:32 | −5.445 | −56.19 | 10/02/2014 | 05:34:12 | −3.714 | −51.03 | 
| 03/02/2012 | 06:03:34 | −5.279 | −55.38 | 12/03/2014 | 01:11:43 | −3.944 | −51.05 | 
| 02/04/2012 | 23:05:11 | −3.989 | −51.24 | 10/04/2014 | 20:53:17 | −4.977 | −50.60 | 
| 02/05/2012 | 10:20:06 | −3.228 | −50.92 | 10/05/2014 | 13:13:00 | −4.177 | −50.91 | 
| 31/05/2012 | 14:47:14 | −0.081 * | −52.97 | 09/06/2014 | 03:48:42 | +0.301 * | −51.05 | 
| 25/10/2012 | 06:58:15 | −4.048 | −51.02 | 04/10/2014 | 17:29:10 | +0.696 * | −50.81 | 
| 23/11/2012 | 21:18:20 | −9.429 | −50.74 | 03/11/2014 | 01:07:35 | −0.609 | −50.53 | 
| 23/12/2012 | 15:00:50 | −7.767 | −50.90 | 02/12/2014 | 08:41:44 | −10.841 | −50.83 | 
| 22/01/2013 | 12:13:35 | −3.383 | −50.81 | 31/12/2014 | 19:38:07 | −8.981 | −50.73 | 
| 21/02/2013 | 09:31:25 | −1.712 | −50.71 | 30/01/2015 | 08:22:14 | −5.674 | −51.16 | 
| 23/03/2013 | 03:29:00 | −3.320 | −51.15 | 01/03/2015 | 00:34:22 | −4.048 | −50.91 | 
| 21/04/2013 | 19:47:54 | −3.882 | −50.82 | 30/03/2015 | 16:49:09 | −5.236 | −51.29 | 
| 21/05/2013 | 08:43:15 | −0.809 * | −50.67 | 29/04/2015 | 12:29:27 | −4.701 | −50.43 | 
| 14/10/2013 | 21:39:19 | −1.305 | −50.95 | 29/05/2015 | 04:47:10 | −2.304 | −51.07 | 
| 13/11/2013 | 06:57:41 | −7.981 | −50.66 | 27/06/2015 | 14:17:10 | 0.314 * | −54.43 | 
| 12/12/2013 | 19:35:46 | −9.438 | −50.39 | 
3. On-Orbit Performance
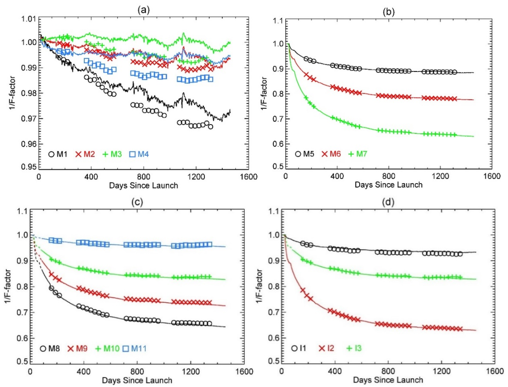
3.1. RSB Performance


| Band | Band Gain | Pre-Launch | 06/02/12 | 10/09/12 | 18/03/13 | 16/09/13 | 15/03/14 | 18/09/14 | 20/03/15 | 19/09/15 | 
|---|---|---|---|---|---|---|---|---|---|---|
| M1 | High | 1.75 | 1.69 | 1.66 | 1.72 | 1.67 | 1.67 | 1.69 | 1.66 | 1.66 | 
| Low | 3.46 | 3.37 | 3.32 | 3.54 | 3.37 | 3.49 | 3.31 | 3.33 | 3.33 | |
| M2 | High | 1.64 | 1.54 | 1.53 | 1.56 | 1.54 | 1.53 | 1.56 | 1.53 | 1.56 | 
| Low | 2.73 | 2.58 | 2.53 | 2.63 | 2.74 | 2.34 | 2.62 | 2.54 | 2.50 | |
| M3 | High | 1.66 | 1.53 | 1.54 | 1.54 | 1.57 | 1.52 | 1.54 | 1.54 | 1.57 | 
| Low | 2.68 | 2.49 | 2.45 | 2.54 | 2.55 | 2.36 | 2.42 | 2.44 | 2.48 | |
| M4 | High | 1.61 | 1.50 | 1.49 | 1.50 | 1.53 | 1.47 | 1.52 | 1.49 | 1.53 | 
| Low | 3.06 | 2.72 | 2.78 | 2.77 | 2.98 | 2.70 | 2.77 | 2.76 | 2.90 | |
| I1 | Single | 2.02 | 1.79 | 1.76 | 1.76 | 1.75 | 1.74 | 1.73 | 1.73 | 1.73 | 
| M5 | High | 1.51 | 1.37 | 1.35 | 1.30 | 1.33 | 1.30 | 1.29 | 1.26 | 1.29 | 
| Low | 2.30 | 1.74 | 1.69 | 1.65 | 1.68 | 1.62 | 1.62 | 1.66 | 1.61 | |
| M6 | Single | 2.09 | 1.82 | 1.74 | 1.69 | 1.68 | 1.69 | 1.65 | 1.68 | 1.65 | 
| I2 | Single | 2.03 | 1.72 | 1.55 | 1.50 | 1.47 | 1.45 | 1.43 | 1.43 | 1.42 | 
| M7 | High | 2.42 | 2.08 | 1.87 | 1.80 | 1.77 | 1.75 | 1.73 | 1.72 | 1.72 | 
| Low | 2.49 | 1.83 | 1.61 | 1.53 | 1.50 | 1.50 | 1.45 | 1.48 | 1.47 | |
| M8 | Single | 3.69 | 3.10 | 2.73 | 2.60 | 2.52 | 2.49 | 2.48 | 2.45 | 2.41 | 
| M9 | Single | 3.05 | 2.79 | 2.54 | 2.47 | 2.43 | 2.39 | 2.39 | 2.38 | 2.33 | 
| I3 | Single | 28.67 | 25.48 | 24.12 | 23.58 | 23.53 | 23.20 | 23.27 | 23.18 | 22.95 | 
| M10 | Single | 2.09 | 1.74 | 1.68 | 1.60 | 1.63 | 1.62 | 1.60 | 1.60 | 1.59 | 
| M11 | Single | 2.50 | 2.21 | 2.16 | 2.14 | 2.13 | 2.15 | 2.15 | 2.14 | 2.10 | 
| I4 | Single | 0.16 | 0.16 | 0.16 | 0.16 | 0.16 | 0.16 | 0.16 | 0.16 | 0.16 | 
| M12 | Single | 0.33 | 0.32 | 0.31 | 0.30 | 0.29 | 0.29 | 0.30 | 0.30 | 0.30 | 
| M13 | High | 0.37 | 0.39 | 0.39 | 0.37 | 0.37 | 0.37 | 0.37 | 0.37 | 0.37 | 
| Low | - | - | - | - | - | - | - | - | - | |
| M14 | Single | 0.66 | 0.58 | 0.62 | 0.60 | 0.60 | 0.60 | 0.60 | 0.60 | 0.60 | 
| M15 | Single | 0.43 | 0.41 | 0.41 | 0.39 | 0.39 | 0.39 | 0.39 | 0.39 | 0.39 | 
| I5 | Single | 0.27 | 0.26 | 0.26 | 0.26 | 0.26 | 0.26 | 0.26 | 0.26 | 0.26 | 
| M16 | Single | 0.53 | 0.39 | 0.39 | 0.39 | 0.39 | 0.39 | 0.39 | 0.40 | 0.40 | 
3.2. TEB Performance



3.3. DNB Performance

3.4. Changes and Improvements (Made Since Launch for Online and Offline Processing)







4. Lessons Learned and Future Improvements
5. Conclusions
Acknowledgments
Author Contributions
Conflicts of Interest
References
- Schueler, C.F.; Clement, J.E.; Ardanuy, P.E.; Welsch, C.; de Luccia, F.; Swenson, H. NPOESS VIIRS sensor design overview. Proc. SPIE 2002, 4483. [Google Scholar] [CrossRef]
 - Lee, T.F.; Miller, S.D.; Schueler, C.; Miller, S. NASA MODIS previews NPOESS VIIRS capabilities. Weather Forecast. 2006, 21, 649–655. [Google Scholar] [CrossRef]
 - Ardanuy, P.E.; Schueler, C.F.; Miller, S.W.; Kealy, P.M.; Cota, S.A.; Haas, M.; Welsch, C. NPOESS VIIRS design process. Proc. SPIE 2002, 4483. [Google Scholar] [CrossRef]
 - Jackson, J.M.; Liu, H.; Laszlo, I.; Kondragunta, S.; Remer, L.A.; Huang, J.; Huang, H.-C. Suomi-NPP VIIRS aerosol algorithms and data products. J. Geophys. Res. Atmos. 2013, 118, 12–673. [Google Scholar] [CrossRef]
 - Justice, C.O.; Román, M.O.; Csiszar, I.; Vermote, E.F.; Wolfe, R.E.; Hook, S.J.; Friedl, M.; Wang, Z.; Schaaf, C.B.; Miura, T.; et al. Land and cryosphere products from Suomi NPP VIIRS: Overview and status. J. Geophys. Res. Atmos. 2013, 118, 9753–9765. [Google Scholar] [CrossRef] [PubMed]
 - Wang, M.; Liu, X.; Tan, L.; Jiang, L.; Son, S.; Shi, W.; Rausch, K.; Voss, K. Impacts of VIIRS SDR performance on ocean color products. J. Geophys. Res. Atmos. 2013, 118, 10–347. [Google Scholar] [CrossRef]
 - Cao, C.; Xiong, X.; Wolfe, R.; De Luccia, F.; Liu, Q.; Blonski, S.; Lin, G.; Nishihama, M.; Pogorzala, D.; Oudrari, H.; et al. Visible Infrared Imaging Radiometer Suite (VIIRS) Sensor Data Record (SDR) User’s Guide; NOAA Technical Report NESDIS: College Park, MD, USA, 2013. [Google Scholar]
 - Joint Polar Satellite System (JPSS) VIIRS Radiometric Calibration Algorithm Theoretical Basis Document (ATBD); NASA Goddard Space Flight Center: Greenbelt, MD, USA, 2013.
 - Xiong, X.; Butler, J.; Chiang, K.; Efremova, B.; Fulbright, J.; Lei, N.; McIntire, J.; Oudrari, H.; Sun, J.; Wang, Z.; et al. VIIRS on-orbit calibration methodology and performance. J. Geophys. Res. Atmos. 2014, 119, 5065–5078. [Google Scholar] [CrossRef]
 - Eplee, R.E.; Turpie, K.R.; Meister, G.; Patt, F.S.; Franz, B.A. Updates to the on-orbit calibration of SNPP VIIRS for ocean color applications. Proc. SPIE 2015, 9607. [Google Scholar] [CrossRef]
 - Wolfe, R.E.; Lin, G.; Nishihama, M.; Tewari, K.P.; Tilton, J.C.; Isaacman, A.R. Suomi NPP prelaunch and on-orbit geometric calibration and characterization. J. Geophys. Res. Atmos. 2013, 118, 11–508. [Google Scholar] [CrossRef]
 - Moy, G.; Rausch, K.; Haas, E.; Wilkinson, T.; Cardema, J.; de Luccia, F. Mission history of reflective solar band calibration performance of VIIRS. Proc. SPIE 2015, 9607. [Google Scholar] [CrossRef]
 - Lee, S.; Chiang, K.; Xiong, X.; Sun, C.; Anderson, S. The S-NPP VIIRS day-night band on-orbit calibration/characterization and current state of SDR products. Remote Sens. 2014, 6, 12427–12446. [Google Scholar] [CrossRef]
 - Xiong, X.; Sun, J.; Fulbright, J.; Wang, Z. Lunar Calibration and Performance for S-NPP VIIRS Reflective Solar Bands. IEEE Tran. Geosci. Remote Sens. 2015. [Google Scholar] [CrossRef]
 - Uprety, S.; Cao, C.; Xiong, X.; Blonski, S.; Wu, A.; Shao, X. Radiometric intercomparison between Suomi-NPP VIIRS and Aqua MODIS reflective solar bands using simultaneous nadir overpass in the low latitudes. J. Atmos. Ocean. Technol. 2013, 30, 2720–2736. [Google Scholar] [CrossRef]
 - Xiong, X.; Fulbright, J.; Angal, A.; Wang, Z.; Geng, X.; Butler, J. Assessment of MODIS and VIIRS solar diffuser on-orbit degradation. Proc. SPIE 2015, 9607. [Google Scholar] [CrossRef]
 - De Luccia, F.; Moyer, D.; Johnson, E.; Rausch, K.; Lei, N.; Chiang, K.; Xiong, X.; Fulbright, J.; Haas, E.; Iona, G. Discovery and characterization of on-orbit degradation of the visible infrared imaging radiometer suite (VIIRS) rotating telescope assembly (RTA). Proc. SPIE 2012, 8510, 85101A. [Google Scholar]
 - Lei, N.; Xiong, X.; Guenther, B. Modeling the detector radiometric gains of the Suomi NPP VIIRS reflective solar bands. IEEE Trans. Geosci. Remote Sens. 2015, 53, 1565–1573. [Google Scholar] [CrossRef]
 - Efremova, B.; McIntire, J.; Moyer, D.; Wu, A.; Xiong, X. S-NPP VIIRS thermal emissive bands on-orbit calibration and performance. J. Geophys. Res.-Atmos. 2014, 119. [Google Scholar] [CrossRef]
 - Standardized Calibration Parameters. Available online: https://cs.star.nesdis.noaa.gov/NCC/StandardizedCalibrationParameters (accessed on 21 January 2016).
 - Fulbright, J.; Lei, N.; McIntire, J.; Efremova, B.; Chen, X.; Xiong, X. Improving the characterization and performance of the Suomi-NPP VIIRS solar diffuser stability monitor. Proc. SPIE 2013, 8866, 88661J. [Google Scholar]
 - Lei, N.; Xiong, X. Determination of the SNPP VIIRS solar diffuser BRDF degradation factor over wavelengths longer than 1 m. Proc. SPIE 2015, 9607, 96071W. [Google Scholar]
 - Kieffer, H.H.; Stone, T.C. The spectral irradiance of the Moon. Astronom. J. 2005, 129, 2887–2889. [Google Scholar] [CrossRef]
 - Fulbright, J.; Wang, Z.; Xiong, X. Suomi-NPP VIIRS lunar radiometric calibration observations. Proc. SPIE 2014, 9218. [Google Scholar] [CrossRef]
 - Eplee, R.E.; Turpie, K.R.; Meister, G.; Patt, F.S.; Franz, B.A.; Bailey, S.W. On-orbit calibration of the Suomi national polar-orbiting partnership visible infrared imaging radiometer suite for ocean color applications. Appl. Opt. 2015, 54, 1984–2006. [Google Scholar] [CrossRef] [PubMed]
 - Sun, J.; Xiong, X.; Barnes, W.L.; Guenther, B. MODIS reflective solar bands on-orbit lunar calibration. IEEE Trans. Geosci. Remote Sens. 2007, 45, 2383–2393. [Google Scholar] [CrossRef]
 - Wang, Z.; Fulbright, J.; Xiong, X. Update on the performance of Suomi-NPP VIIRS lunar calibration. Proc. SPIE 2015, 9607. [Google Scholar] [CrossRef]
 - Lei, N.; Chen, X.; Xiong, X. Determination of the SNPP VIIRS SDSM screen relative transmittance from both yaw maneuver and regular on-orbit data. IEEE Trans. Geosci. Remote Sens. 2015. [Google Scholar] [CrossRef]
 - Lei, N.; Xiong, X. Estimation of the accuracy of the SNPP VIIRS SD BRDF degradation factor determined by the solar diffuser stability monitor. Proc. SPIE 2015, 9607, 96071V. [Google Scholar]
 - Lei, N.; Wang, Z.; Fulbright, J.; Xiong, X. Effect of the SDSM detector relative spectral response in determining the degradation coefficient of the SNPP VIIRS solar diffuser reflectance. Proc. SPIE 2013, 8866. [Google Scholar] [CrossRef]
 - Iona, G.; Butler, J.; Guenther, B.; Graziani, L.; Johnson, E.; Kennedy, B.; Kent, C.; Lambeck, R.; Waluschka, E.; Xiong, X. VIIRS on-orbit optical anomaly: investigation, analysis, root cause determination and lessons learned. Proc. SPIE 2012, 8510, 85101C. [Google Scholar]
 - Barrie, J.D.; Fuqua, P.D.; Meshishnek, M.J.; Ciofalo, M.R.; Chu, C.T.; Chaney, J.A.; Moision, R.M.; Graziani, L. Root cause determination of on-orbit degradation of the VIIRS rotating telescope assembly. Proc. SPIE 2012, 8510, 8510IB. [Google Scholar]
 - Moyer, D.; McIntire, J.; de Luccia, F.; Efremova, B.; Chiang, K.; Xiong, X. VIIRS thermal emissive bands calibration algorithm and on-orbit performance. Proc. SPIE 2012, 8510, 85101D. [Google Scholar]
 - McIntire, J.; Moyer, D.; Efremova, B.; Oudrari, H.; Xiong, X. On-orbit Characterization of S-NPP VIIRS Transmission Functions. IEEE Trans. Geosci. Remote Sens. 2015, 53, 2354–2363. [Google Scholar] [CrossRef]
 - Fulbright, J.; Anderson, S.; Lei, N.; Efremova, B.; Wang, Z.; McIntire, J.; Chiang, K.; Xiong, X. The solar vector error within the SNPP Common GEO code, the correction, and the effects on the VIIRS SDR RSB calibration. Proc. SPIE 2014, 9264, 92641T. [Google Scholar]
 - Bhatt, R.; Doelling, D.R.; Wu, A.; Xiong, X.; Scarino, B.R.; Haney, C.O.; Gopalan, A. Initial stability assessment of S-NPP VIIRS reflective solar band calibration using invariant desert and deep convective cloud targets. Remote Sens. 2014, 6, 2809–2826. [Google Scholar] [CrossRef]
 - Wang, W.; Cao, C. Assessing the VIIRS RSB calibration stability using deep convective clouds. Proc. SPIE 2014, 9264. [Google Scholar] [CrossRef]
 - Uprety, S.; Cao, C. Suomi NPP VIIRS reflective solar band on-orbit radiometric stability and accuracy assessment using desert and Antarctica Dome C sites. Remote Sens. Environ. 2015, 166, 106–115. [Google Scholar] [CrossRef]
 - Wu, A.; Xiong, X.; Cao, C.; Sun, C. Monitoring NPP VIIRS on-orbit radiometric performance from TOA reflectance time series. Proc. SPIE 2013, 8866, 88660Q. [Google Scholar]
 - Wu, A.; Xiong, X.; Cao, C.; Chiang, K. Assessment of SNPP VIIRS VIS/NIR radiometric calibration stability using Aqua MODIS and invariant surface targets. IEEE Trans. Geosci. Remote Sens. 2015. [Google Scholar] [CrossRef]
 - Moeller, C.; Tobin, D.; Quinn, G. S-NPP VIIRS thermal band spectral radiance performance through 18 months of operation on-orbit. Proc. SPIE 2013, 8866, 88661N. [Google Scholar]
 - Madhavan, S.; Wu, A.; Brinkmann, J.; Wenny, B.; Xiong, X. Evaluation of VIIRS and MODIS thermal emissive band calibration consistency using Dome C. Proc. SPIE 2015, 9639. [Google Scholar] [CrossRef]
 - Efremova, B.; Wu, A.; Xiong, X. Relative spectral response corrected calibration inter-comparison of S-NPP VIIRS and Aqua MODIS thermal emissive bands. Proc. SPIE 2014, 9218, 92180G. [Google Scholar]
 - Lei, N.; Xiong, X. Impact of the angular dependence of the SNPP VIIRS solar diffuser BRDF degradation factor on the radiometric calibration of the reflective solar bands. Proc. SPIE 2015, 9607, 96071Y. [Google Scholar]
 - Lei, N.; Xiong, X. Examination of the angular dependence of the SNPP VIIRS Solar diffuser bidirectional reflectance distribution function degradation factor. Proc. SPIE 2014, 9218, 92181N. [Google Scholar]
 - Fulbright, J.; Lei, N.; Efremova, B.; Xiong, X. Suomi-NPP VIIRS Solar diffuser stability monitor performance. IEEE Trans. Geosci. Remote Sens. 2015. [Google Scholar] [CrossRef]
 
© 2016 by the authors; licensee MDPI, Basel, Switzerland. This article is an open access article distributed under the terms and conditions of the Creative Commons by Attribution (CC-BY) license (http://creativecommons.org/licenses/by/4.0/).
Share and Cite
Xiong, X.; Butler, J.; Chiang, K.; Efremova, B.; Fulbright, J.; Lei, N.; McIntire, J.; Oudrari, H.; Wang, Z.; Wu, A. Assessment of S-NPP VIIRS On-Orbit Radiometric Calibration and Performance. Remote Sens. 2016, 8, 84. https://doi.org/10.3390/rs8020084
Xiong X, Butler J, Chiang K, Efremova B, Fulbright J, Lei N, McIntire J, Oudrari H, Wang Z, Wu A. Assessment of S-NPP VIIRS On-Orbit Radiometric Calibration and Performance. Remote Sensing. 2016; 8(2):84. https://doi.org/10.3390/rs8020084
Chicago/Turabian StyleXiong, Xiaoxiong, James Butler, Kwofu Chiang, Boryana Efremova, Jon Fulbright, Ning Lei, Jeff McIntire, Hassan Oudrari, Zhipeng Wang, and Aisheng Wu. 2016. "Assessment of S-NPP VIIRS On-Orbit Radiometric Calibration and Performance" Remote Sensing 8, no. 2: 84. https://doi.org/10.3390/rs8020084
APA StyleXiong, X., Butler, J., Chiang, K., Efremova, B., Fulbright, J., Lei, N., McIntire, J., Oudrari, H., Wang, Z., & Wu, A. (2016). Assessment of S-NPP VIIRS On-Orbit Radiometric Calibration and Performance. Remote Sensing, 8(2), 84. https://doi.org/10.3390/rs8020084
        
                                                
