Abstract
Studying the spatiotemporal trends and influencing factors of vegetation coverage is essential for assessing ecological quality and monitoring regional ecosystem dynamics. The existing research on vegetation coverage variations and their driving factors predominantly focused on inland ecologically vulnerable regions, while coastal areas received relatively little attention. However, coastal regions, with their unique geographical, ecological, and anthropogenic activity characteristics, may exhibit distinct vegetation distribution patterns and driving mechanisms. To address this research gap, we selected Shandong Province (SDP), a representative coastal province in China with significant natural and socioeconomic heterogeneity, as our study area. To investigate the coastal–inland differentiation of vegetation dynamics and its underlying mechanisms, SDP was stratified into four geographic sub-regions: coastal, eastern, central, and western. Fractional vegetation cover (FVC) derived from MOD13A3 v061 NDVI data served as the key indicator, integrated with multi-source datasets (2000–2023) encompassing climatic, topographic, and socioeconomic variables. We analyzed the spatiotemporal characteristics of vegetation coverage and their dominant driving factors across these geographic sub-regions. The results indicated that (1) the FVC in SDP displayed a complex spatiotemporal heterogeneity, with a notable coastal–inland gradient where FVC decreased from the inland towards the coast. (2) The influence of various factors on FVC significantly varied across the sub-regions, with socioeconomic factors dominating vegetation dynamics. However, socioeconomic factors displayed an east–west polarity, i.e., their explanatory power intensified westward while resurging in coastal zones. (3) The intricate interaction of multiple factors significantly influenced the spatial differentiation of FVC, particularly dual-factor synergies where interactions between socioeconomic and other factors were crucial in determining vegetation coverage. Notably, the coastal zone exhibited a high sensitivity to socioeconomic drivers, highlighting the exceptional sensitivity of coastal ecosystems to human activities. This study provides insights into the variations in vegetation coverage across different geographical zones in coastal regions, as well as the interactions between socioeconomic and natural factors. These findings can help understand the challenges faced in protecting coastal vegetation, facilitating deeper insight into ecosystems responses and enabling the formulation of effective and tailored ecological strategies to promote sustainable development in coastal areas.
1. Introduction
Vegetation stands as a pivotal element within terrestrial ecosystems, performing crucial functions in sustaining ecological equilibrium, fostering biodiversity, and actively participating in the global carbon cycle [1]. Amidst the ongoing global endeavor to mitigate climate change and vigorously pursue carbon neutrality, as well as the attainment of peak carbon dioxide emissions targets, vegetation emerges as a crucial facilitator in realizing these ambitions [2,3,4]. The fractional vegetation cover (FVC), a quantitative measure of vegetation cover, serves as a parameter for assessing the status of surface vegetation. It quantifies the proportion of the total ground area that is vertically occupied by vegetation elements such as leaves, stems, and branches within a given statistical region [5]. This metric not only furnishes a scientific foundation but also constitutes a vital instrument for evaluating environmental quality, assessing land use efficiency, and tracking the dynamic shifts within regional ecosystems over time [6,7,8].
Currently, research on vegetation cover primarily focuses on remote sensing monitoring and the analysis of natural influence factors, spanning from global [9,10] to regional scales [11,12]. For instance, Almalki et al. [9] combined multi-source data to explore species-specific trends in vegetation cover changes. Li et al. [10] utilized the MuSyQ global Leaf Area Index product to analyze the spatiotemporal dynamics of forest, grassland, and agricultural ecosystems across diverse geographical subdomains. Wang et al. [11] employed methods such as Unet, PSPnet, and Deeplabv3+ to analyze the spatial characteristics of vegetation cover in the arid downstream region of the Tarim River Basin. Similarly, Yan et al. [12] focused on the Nanxiong Basin, examining vegetation cover changes and their drivers. While these studies significantly enrich our understanding of vegetation cover changes and their environmental correlations, there remains a notable gap in comprehensive research that takes into account multiple environmental and socioeconomic factors. Additionally, there is a lack of thorough investigation into the intricate interplay among these factors and their combined driving mechanisms. Furthermore, the existing research predominantly centered on inland areas or ecologically sensitive basins [13,14,15,16,17,18], with relatively limited attention given to coastal regions. Coastal regions, situated at the interface between land and sea, exhibit a unique blend of coastal and inland characteristics. This complexity extends beyond the diversity of natural conditions, such as climate and topography, to encompass variations in economic development levels, population density, and land use patterns. Consequently, it is hypothesized that this complexity may result in significant differences in the spatiotemporal characteristics and driving mechanisms of vegetation cover in coastal regions compared to inland or other regions. Strengthening research on vegetation cover in coastal regions would not only enhance our understanding of these dynamic ecosystems but also provide valuable theoretical underpinnings and practical guidance for vegetation cover change research at both global and regional scales.
Shandong Province (SDP), located in China’s eastern coastal region and situated at the lower reaches of the Yellow River Basin, adjoins the economically vibrant Beijing–Tianjin–Hebei region. The province’s internal zones exhibit a remarkable diversity in natural and socioeconomic conditions, making it an exemplary case study for exploring the spatiotemporal distribution characteristics and underlying influencing factors of vegetation cover in coastal regions. This study selected SDP as the research area, systematically analyzing the spatiotemporal variations in vegetation cover across different geographic sub-regions from 2000 to 2023 and exploring the diverse array of natural and socioeconomic factors that shape these changes and their intricate interactions. The objectives of this study are the following: (1) reveal the spatiotemporal characteristics of vegetation cover changes in different geographic sub-regions of SDP; (2) analyze the natural and socioeconomic factors behind vegetation cover changes and their interactions; (3) specifically investigate the coastal zone, highlighting the distinctions in vegetation cover dynamics and their influencing factors compared to the inland, thereby furnishing a scientific foundation for environmental protection and sustainable development strategies in coastal regions.
2. Materials and Methods
2.1. Study Area
SDP is located in the eastern coastal region of China, situated between 116°18′–122°57′E and 34°22′–38°23′N, with a total land area of 155,973 km2 and over 3000 km of coastline (Figure 1). The terrain is characterized by higher elevations in the southwest and lower elevations in the northeast, with a diverse range of landforms including mountains, hills, and plains, exhibiting significant geographical differences and diversity. The climate is classified as warm temperate monsoon, with annual temperatures averaging between 11 °C and 14 °C, and annual precipitation substantially varying from 600 mm to 1000 mm, peaking during summer and tapering off in spring, exhibiting a notable decrease from southeast to northwest [19,20]. SDP’s economic structure is dominated by manufacturing, agriculture, and service industries. In 2020, the GDP reached CNY 73,095.1 billion (approx. USD 10,416.1 billion), with a population of approximately 101.5 million, accounting for 7.2% of China’s total GDP and population. This makes it a major economic and populous province in China. SDP experiences rapid economic development, ranking among the top provinces in terms of GDP.
Figure 1.
Geographic overview of the study area. The location (a), elevation (b), and different research location partitions (c) of SDP.
The rapid economic development of SDP posed environmental challenges. In response, the provincial government implemented ecological protection and green development policies aimed at increasing vegetation, protecting coastal ecosystems, mitigating industrial pollution, and fostering sustainable development. NGOs, such as the Federation of Social Organizations of SDP and the SDP Green Development Foundation, collaborated with local communities and the government to enhance ecosystem resilience and improve livelihoods through projects like afforestation, water quality monitoring, and biodiversity conservation. The private sector entities, including environmental protection enterprises and agricultural cooperatives, also adopted sustainable practices to facilitate SDP’s green transformation. Additionally, community organizations such as village and residents’ committees played a crucial role in environmental protection. They organized residents to engage in environmental conservation activities and monitored emissions from enterprises, thereby preserving the ecological environment of their respective communities. Collectively, these governments, NGOs, and other stakeholders have played a pivotal role in advancing ecological and environmental protection. SDP’s journey of economic and ecological transformation, coupled with its diverse natural, ecological, and socioeconomic landscapes, positions it as an exemplary case area for exploring the spatiotemporal distribution characteristics of vegetation cover and its influencing factors.
In order to elucidate the coastal–inland differentiation of vegetation dynamics and its underlying mechanisms, this study stratified SDP into four distinct geographical sub-regions: the western zone, the central zone, the eastern zone, and the coastal zone (Table 1 and Figure 1). The coastal zone was deliberately singled out to facilitate a comparative analysis with the inland. The population and GDP figures presented in Table 1 for the eastern zone encompass those of the coastal zone for the sake of comprehensive analysis.
Table 1.
Population, GDP, and area in different zones of SDP.
2.2. Factor Selection and Data Sources
Vegetation cover is influenced by a combination of natural geographical conditions, meteorological characteristics, and socioeconomic factors. According to existing studies, it is evident that topographical factors such as elevation, slope, and aspect [21,22], along with meteorological factors including sunshine duration, annual mean temperature, and annual precipitation [23,24,25], play profound regulatory roles in vegetation growth and distribution. These natural and meteorological factors collectively shape the fundamental pattern of vegetation cover across landscapes.
It is believed that socioeconomic activities have a significant effect on vegetation growth [26,27,28]. The processes of urbanization [29], agricultural activities [27,30], and other socioeconomic activities [28] can all potentially impact vegetation distribution and have an impact on vegetation growth [29,30]. Socioeconomic factors are equally important, indirectly or directly affecting the spatial variability and temporal dynamics of vegetation cover. Factors like population and economic development levels (e.g., GDP) [31,32,33] play pivotal roles in shaping land use patterns and influencing vegetation cover. Furthermore, it was shown that nighttime light also affected the distribution of vegetation cover [34,35,36,37,38]. To capture this complex interplay, this study incorporates nighttime light data as a quantitative proxy. The intensity and distribution of nighttime lights not only represent the spatiotemporal characteristics of human activities but also reflect the intensity and dynamics of socioeconomic processes. This can provide a novel perspective and analytical tool for analyzing the potential driving mechanisms of socioeconomic factors on vegetation cover.
To comprehensively investigate the spatiotemporal distribution of vegetation cover and its underlying drivers, this study selected a diverse array of variables. These included natural factors (elevation, slope, aspect, etc.), meteorological factors (sunshine duration, annual mean temperature, annual precipitation, annual average relative humidity, etc.), and socioeconomic factors (population, GDP, nighttime light). By integrating these factors, we aimed to conduct a rigorous factor detection and synergy analysis on the intricate relationships between vegetation cover and its multifaceted determinants.
MOD13A3 is a significant data product from the MODIS satellite that provides global monthly NDVI data with a spatial resolution of 1 km. It is widely applied in global vegetation monitoring, climate change research, agricultural production monitoring, and ecosystem assessment [39,40,41,42]. Its long time-series characteristics make it an essential data source for studying global vegetation dynamics. The data sources used in this study and their pre-processing were summarized in Table 2.
Table 2.
Data sources and pre-processing.
2.3. Methods
The research process was divided into three parts, as shown in Figure 2. (1) The vegetation cover from 2000 to 2023 was calculated employing the pixel dichotomy method. (2) Based on the initial quantification, the trend analysis on the vegetation cover was conducted. (3) The intricate interplay between various factors affecting vegetation cover was analyzed, with a particular emphasis on elucidating the notable disparities in the magnitude of these impacts using statistical tests.
Figure 2.
Flowchart of the research process.
2.3.1. Pixel Dichotomy Model
This study employs the pixel dichotomy model to estimate FVC. The model is grounded on the premise that the surface within a pixel consists of two parts, vegetation and soil, and that the normalized difference vegetation index () of these two parts can represent the values of pure vegetation and pure soil, respectively [34]. Through this model, the vegetation cover within each pixel can be approximated with a relatively high degree of accuracy. It is widely employed to estimate FVC.
In this study, the annual data, derived from the maximum synthesis of MOD13A3 v061 NDVI products, are utilized to calculate the vegetation cover. The formula is as follows:
where is the normalized vegetation index for mixed image elements, and are normalized vegetation indices for soil-only and vegetation-only pixels, respectively. To mitigate the impact of noise and other confounding factors, a refined approach is adopted where the values corresponding to the cumulative percentages of 5% and 95% are selected as proxies for and in this study, respectively [43].
2.3.2. Trend Analysis
- (1)
- Theil–Sen Trend Analysis
The Theil–Sen trend analysis is a widely adopted non-parametric statistical method for time-series analysis, primarily employed to estimate the trend magnitude of datasets. This method estimates the slope of the trend line by calculating the slopes between data points. These slopes are then aggregated using the median to obtain the final trend estimate [36]. Compared to other methods, the Theil–Sen trend analysis demonstrates robustness and remains unaffected by the presence of outliers in the data. It can be applied to analyze temporal trends in vegetation coverage. The specific calculation formula is as follows:
where represents the trend of vegetation coverage change; > 0 indicates an increasing trend, while < 0 indicates a decreasing trend.
- (2)
- Mann–Kendall Significance Test
The Mann–Kendall test is a non-parametric method for trend significance testing in time-series analysis. This method does not require the measured values to follow a normal distribution and is not affected by missing values or outliers, making it particularly suitable for trend significance testing of long time-series data [44]. The relevant formulas are as follows:
where S represents the test statistic, and Z is the standardized test statistic.
In this study, the pixel-by-pixel slope β of FVC changes from 2000 to 2023 was calculated using the Theil–Sen trend analysis, and the significance was tested using the Mann–Kendall method. Seven spatial change trends were identified: unchanged vegetation coverage, extremely significant increase, significant increase, insignificant increase, extremely significant decrease, significant decrease, and insignificant decrease.
2.3.3. Geographical Detector
The geographical detector is a spatial analysis method grounded in statistics and geographic information systems. It is designed to detect spatial differentiation and reveal the underlying driving forces. This methodology can be used to examine the influencing factors and their intricate interactions within geographical phenomena [45]. It not only offers a comprehensive evaluation of the explanatory power of individual factors but also simultaneously illuminates the complex, multifactorial dynamics that govern spatial patterns, thereby enhancing our understanding of their dynamic transformations.
The geographical detector is widely applied across various research domains, notably in ecological environment management and the formulation of ecological restoration strategies [46,47]. Numerous studies affirmed its efficacy in the realm of vegetation cover research, showcasing its ability to pinpoint crucial driving forces, quantify their impact on vegetation cover, and appraise the interplay between diverse factors [48,49,50,51].
The geographical detector mainly consists of four distinct modules: the factor detector, interaction detector, risk detector, and ecological detector. This study employs the factor detector, interaction detector, and ecological detector modules to quantitatively assess the contribution of various influencing factors to the spatial distribution of vegetation cover and to reveal the comprehensive impact of complex interactions among these factors on spatial heterogeneity.
- (1)
- Factor Detector
The factor detection serves to quantify the explanatory strength of various influencing factors in accounting for the spatial heterogeneity observed in vegetation cover. This is achieved by calculating the q-value, which ranges from 0 to 1. A larger q-value indicates a stronger explanatory power of the factor for the spatial heterogeneity in vegetation. The q-value is derived from the ratio of the sum of within-strata variance () to the total variance of the entire area ().
where is the stratification of the independent variable X, ranging from 1 to ; and are the counts of cells within stratum h and the entire region, respectively; and are the variances of vegetation cover within stratum h and across the entire region, respectively; and are the weighted sum of the variances of vegetation cover within each stratum and the total variance of vegetation cover across the region, respectively.
- (2)
- Interaction Detector
The interaction detector assesses the combined effects of different influencing factors on the spatial distribution of vegetation cover. It evaluates whether an interaction exists between factors and whether this interaction enhances or weakens their individual explanatory powers. This is achieved by comparing the q-values of individual factors with those of factor combinations. If the q-value of a factor combination exceeds the sum of the q-values of its constituent factors, it indicates an enhancing interaction; otherwise, it may suggest a weakening or absent interaction. The criteria for judging interactions are detailed in Table 3 [45].
Table 3.
Basis for detection of factor interactions [45].
- (3)
- Ecological Detector
The ecological detector facilitates the comparison of the impacts of two factors, X1 and X2, on the spatial distribution of vegetation cover to determine if these impacts are significantly different. This is achieved by calculating the F-statistic, which is based on the ratio of the sums of within-strata variances formed by each factor. If the value of the F-statistic exceeds the critical value at a predetermined significance level (e.g., α = 0.05), it indicates that there is a statistically significant difference between the impacts of X1 and X2 on the spatial distribution of vegetation cover.
where and are the sample sizes of the independent variables and , respectively; and are the sums of the intra-stratum variances of the stratification formed by and , respectively. and are the number of strata for and , respectively.
3. Results
3.1. Dynamics of Vegetation Cover in SDP
3.1.1. Temporal Variations in FVC in SDP
SDP exhibited significant regional disparities and periodic variations in FVC during 2000–2023. Specifically, the trend coefficient (β) of vegetation coverage ranged from −0.049 to 0.052. Over half of the provincial area (57.22%) experienced a decline in vegetation cover (β < 0), while 42.27% showed an increasing trend (β > 0), and merely 0.51% remained relatively stable (β = 0) (Figure 3a). The areas with increasing trends were predominantly concentrated in the central and northwestern regions, with the central part of SDP demonstrating extremely significant increases. Conversely, the southwestern, central-eastern, and coastal areas generally exhibited declining trends, with extremely significant decreases observed in the southwestern region and coastal zones (Figure 3c,d).
Figure 3.
FVC changes in SDP during 2000−2023: percentage of FVC change area (a), changes in FVC values (b), trends in FVC (c), and significance analysis of trends in FVC (d).
The western zone exhibited relatively stable changes in FVC, with trend coefficients ranging from −0.046 to 0.029, maintaining an overall high coverage level (above 0.76). Although 59.12% of the area experienced a decline in vegetation cover, 40.22% showed an increase. The central zone similarly demonstrated fluctuating patterns in FVC, with trend coefficients ranging from −0.049 to 0.039, maintaining an overall coverage level above 0.59. The region exhibited a relatively balanced distribution of change patterns, with 51% of the area experiencing decline and 48.85% showing increases. The eastern zone exhibited FVC fluctuations between 0.59 and 0.67, with trend coefficients ranging from −0.050 to 0.052. The analysis revealed that 60.12% of the area experienced a decline, while 0.41% remained unchanged, and 39.47% showed increases. The coastal zone’s FVC oscillated between 0.57 and 0.73, with trend coefficients ranging from −0.05 to 0.028. Compared to the eastern zone, the coastal zone exhibited a higher proportion of areas with declining vegetation coverage, reaching 63.28%, while 36.3% of the areas still achieved vegetation coverage improvement.
Overall, the FVC variations in SDP and its sub-regions exhibited complex temporal dynamic characteristics. During 2000–2010, the variation patterns in the western and central zones were largely consistent with the provincial trend, all experiencing a process of “decline–increase–stable”. During 2010–2023, the patterns in the eastern, central, and coastal zones aligned with the provincial trend, undergoing a process of “decline–increase–decline”. Notably, from west to east, there was a gradual intensification in the declining trend of vegetation coverage, accompanied by a corresponding weakening in the increasing trend, with this phenomenon being particularly pronounced in the coastal zone.
3.1.2. Spatial Distribution Characteristics of FVC in SDP
The vegetation cover in SDP exhibited a significant spatial heterogeneity, with higher coverage in the west and lower in the central and coastal zones (Figure 4). Based on the analysis in Section 3.1.1, vegetation coverage differed between 2000–2010 and 2010–2023. We focused on 2000, 2010, and 2023 for spatial characteristics analysis (see Supplementary Materials for other years). Specifically, the western zone boasted vegetation cover exceeding 0.75, whereas the eastern coastal zone generally lagged below 0.7, creating an obvious contrast between these two sub-regions. High-value areas were concentrated in western cities like Dezhou, Liaocheng, and Heze, while low-value areas were primarily in the eastern coastal zone and northern Yellow River Delta (Figure 4a–c).
Figure 4.
FVC of SDP in 2000 (a), 2010 (b), and 2023 (c); vegetation cover dynamics (d) and significance (e) during 2000–2010; dynamics (f) and significance (g) during 2010–2023.
Within the western zone, coverage decreased northwards, with higher FVC in areas far from urban centers, indicating the interaction between environment and urbanization. The central zone presented a diverse distribution, with high coverage in the southwest and north and lower in the central-east. High-value areas were observed in the northern Ji’nan, eastern Jining, and southwestern Tai’an cities. Conversely, the central-southern Ji’nan, Zibo, and Binzhou cities exhibited lower coverage, with a general decreasing gradient from the west to east. In the eastern and coastal zones, vegetation cover was higher centrally but declined sharply in the Jiaodong Peninsula and coastal zones. Compared to the western and central zones, the overall FVC in the eastern zone was lower, displaying a clear trend of gradual decrease from inland to coast.
Between 2000–2010 and 2010–2023, the distribution of increasing and decreasing FVC shifted. Initially, areas of reduction were primarily concentrated along the coast (Figure 4d,e) but later moved to the southwestern and central regions. Conversely, areas experiencing FVC initially increased in the central-west and shifted to the eastern coastal zone (Figure 4f,g).
3.2. Analysis of Factors Affecting Vegetation Cover of SDP
3.2.1. Influence of Individual Factors on FVC
Utilizing geographical detector analysis, we evaluated various individual factors influencing FVC variability. The results underscored the profound influence of socioeconomic factors, evident in the q-values for GDP, population, and nighttime light intensity, all exceeding 0.4 (Figure 5). Notably, GDP emerged as the most influential factor (q = 0.464), emphasizing the pivotal role of economic development in shaping the natural environment. Among meteorological factors, annual precipitation (q = 0.372) was the dominant driver of vegetation cover. Comparatively, topography (DEM) exerted the least influence on FVC (q = 0.162), suggesting that terrain conditions played a relatively subordinate role in determining the vegetation distribution of SDP.
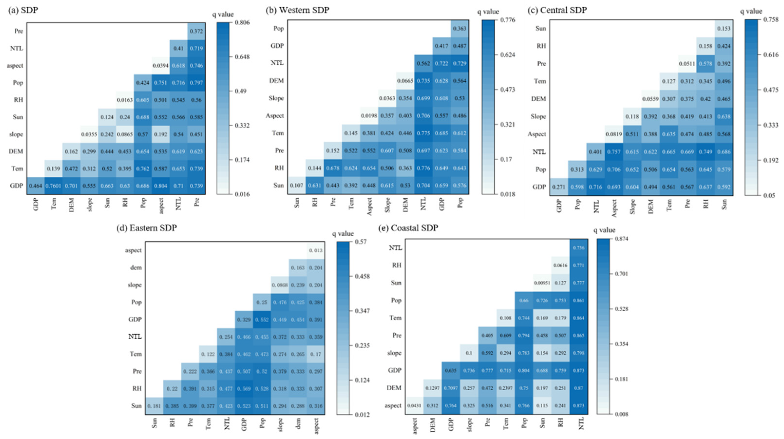
Figure 5.
Explanatory power of factors driving spatial variations in FVC within SDP and its various sub-regions.
Regional disparities in driving forces were evident across SDP (Figure 5). In the western zone, nighttime light intensity strongly influenced FVC (q = 0.562), underscoring the intense impact of human activities on vegetation cover. The central zone was influenced by nighttime light intensity (q = 0.401) and topography (q = 0.356), while meteorological factors were less influential. In the eastern zone, GDP (q = 0.329) was the primary driver, with nighttime light intensity and population also being significant. Annual precipitation was dominant among meteorological factors. In the coastal zone, socioeconomic factors were highly influential, especially nighttime light intensity (q = 0.736), with GDP and population also being significant. Annual precipitation’s influence intensified in coastal zones, while topography’s impact diminished.
In summary, socioeconomic and meteorological factors significantly affected FVC in SDP’s western, eastern, and coastal zones. Notably, socioeconomic factors’ influence gradually decreased from west to east but experienced a notable resurgence in the coastal zone. It displayed an east–west polarity, i.e., their explanatory power intensified westward while resurging in coastal zones. Topography strongly influenced the central zone, and annual precipitation’s impact was enhanced in coastal zones (Figure 5).
3.2.2. Differential Analysis of Factor Effects on FVC
At the provincial level, there were notable differences in the impact of socioeconomic factors and topographic and meteorological factors (excluding annual precipitation) on FVC spatial variation. Notably, only topographic factors showed statistically significant differences compared to annual precipitation. Their variations with other meteorological factors had insignificant impacts on FVC spatial variation (Figure 6). In the western zone, socioeconomic factors significantly impacted FVC differentiation compared to both topographic and meteorological factors, while these latter two showed similar influences. In the central zone, nighttime light intensity had a unique impact, differing from topographic and meteorological factors (except annual mean temperature). Population and GDP significantly diverged from specific topographic (e.g., aspect, DEM) and meteorological (e.g., annual precipitation) factors, but these latter two groups showed similar influences. In the eastern zone, socioeconomic factors significantly impacted FVC only when compared to the aspect topographic factor. The influence of topographic and meteorological factors was virtually indistinguishable, indicating a relatively balanced regulatory effect on vegetation cover in this area. In the coastal zone, socioeconomic factors had distinct impacts, differing from both topographic and meteorological factors. Topographic factors significantly diverged only from annual precipitation, while annual precipitation showed significant differences from all other factors.
Figure 6.
Significance of differences in the role of FVC factors in SDP. Note: F-test with a significance threshold of 0.05.
3.2.3. Multifactor Interaction Analysis of FVC
Two-factor interactions significantly outweigh individual factors, driving the spatial differentiation of FVC in SDP. Notably, these interactions were predominantly characterized by two-factor enhancement (Figure 7).
Figure 7.
Different regional factor interactions in the entire SDP (a), eastern zone (b), western zone (c), central zone (d), and coastal zone of SDP (e). Note: “Enhance, nonlinear-” denotes a scenario where the combined explanatory capacity of the influencing factors in their interaction surpasses the mere summation of their individual explanatory strengths when acting in isolation. “Enhance, bi-” signifies that the interaction between two influencing factors yields an explanatory power that is superior to that of either factor alone.
Among the factor combinations, GDP∩aspect, annual precipitation∩population, GDP∩annual mean temperature, population∩annual mean temperature, and population∩aspect had q-values exceeding 0.75. Notably, GDP∩aspect (q = 0.804) and annual precipitation∩population (q = 0.797) exhibited the strongest influence on vegetation coverage variability in SDP. In contrast, factor pairs such as DEM∩slope, sunshine duration∩slope, relative humidity∩sunshine duration, relative humidity∩slope, and aspect∩slope had q-values below 0.3, indicating weaker explanatory power. Overall, GDP, population, and annual precipitation consistently showed stronger interactions with other factors, suggesting their pivotal role in determining FVC spatial differentiation in SDP.
Regionally, the two-factor enhancement varied significantly across factor combinations (Figure 8). In the western zone, nighttime light’s interactions with relative humidity and annual mean temperature significantly impacted FVC, with q-values of 0.776 and 0.775, respectively. Conversely, DEM∩slope, relative humidity∩DEM, aspect∩slope, and sunshine duration∩annual mean temperature had weaker effects. In the central zone, nighttime light’s interplay with aspect and relative humidity dominated, yielding q-values of 0.757 and 0.749, respectively. DEM, relative humidity, and annual precipitation’s interactions with annual mean temperature were less explanatory. In the eastern zone, GDP’s interactions with sunshine duration, relative humidity, and annual precipitation were most influential on FVC, with q-values between 0.507 and 0.569. Slope, DEM, and their interactions with annual mean temperature had weaker impacts. In the coastal zone, nighttime light and population interactions with other factors dominated, exceeding q-values of 0.74. Notably, the nighttime light∩aspect was most significant, with a q-value of 0.873. GDP interactions also exhibited strong influences, surpassing q-values of 0.7. Annual precipitation’s interactions were relatively strong. However, interactions involving sunshine duration with aspect, DEM, slope, and annual mean temperature, as well as relative humidity’s interactions with sunshine duration and annual mean temperature, had weaker impacts, all with q-values below 0.2. Notably, socioeconomic factor interactions had a stronger influence on FVC in the coastal zone compared to the other zones.
Figure 8.
Explanatory power of interactive detection of multifactors in FVC of SDP.
4. Discussion
4.1. Changes in FVC in SDP
This study constructed an annual maximum NDVI sequence for SDP from 2000 to 2023, leveraging the MOD13A3 v061 NDVI dataset and employing the maximum value composite method. The results showed pronounced regional disparities in vegetation coverage, with the western zone exhibiting the highest coverage, whereas the central and eastern coastal zones lagged behind (Figure 3). This finding aligned with the previous report [49]. This geographical distribution could be attributed to the complex and diverse topography and meteorological conditions of SDP. Specifically, the central part of SDP was predominantly mountainous, featuring towering peaks like Mount Tai. The steep terrain, coupled with relatively insufficient precipitation and a low annual average relative humidity, collectively restricted vegetation growth in this area. In contrast, the western zone had relatively flat terrain, sparse population distribution, optimal sunshine conditions, and an annual average temperature and relative humidity that fell within the ideal range for vegetation growth, thus fostering lush vegetation. The eastern zone, while characterized by gentler hills and influenced by a maritime climate, enjoyed abundant annual precipitation and a high annual average relative humidity, with temperature and sunshine conditions also conducive to vegetation. However, rapid urban expansion and frequent human disturbances had prevented the vegetation coverage from reaching the levels observed in the west. Notably, parts of the Yellow River Delta in the north and certain coastal zones in the east suffered from soil salinization, rendering these areas extremely unfavorable for vegetation rooting and growth, and consequently, they exhibited the lowest vegetation coverage in the province.
The trajectory of FVC changes in SDP from 2000 to 2023 could be divided into two distinct phases: a growth phase (2000–2010) and a decline phase (2010–2023) (Figure 3b). This trend was primarily influenced by economic construction activities and the implementation of ecological management policies over the past 24 years (Table 4). Specifically, during the first phase (2000–2010), in active response to the national “Regulations for the Implementation of the Forest Law of the People’s Republic of China” (2000), SDP introduced a series of policy measures, including the “Shandong Province Forest Resource Management Regulations” (2000), “Shandong Province Forest Protection Regulations” (2003), and “Forest Ecological Benefit Compensation System” (2007). These policies focused on multiple objectives: curbing ecological degradation, restoring degraded wetlands, strengthening urban green space and roadside forest network construction, optimizing ecological protection red line delineation, and comprehensively advancing forest ecosystem restoration and protection. These initiatives effectively promoted forest ecological restoration and conservation. For example, during this period, Dezhou city constructed an ecological function area [50] and led to a notable improvement in FVC (Figure 9a). Adhering to the principle of integrating natural and artificial restoration, Tai’an city implemented measures such as forest closure and phased renovation to expand forest areas [51] (Figure 9b). Under this policy framework, FVC in SDP demonstrated a steady growth trend from 2000, maintaining stability at approximately 0.7 during 2003–2010, reflecting a favorable forest ecological environment (Figure 3b).
Table 4.
Policies related to economy and ecological management in SDP during 2000–2023.
Figure 9.
Detailed map of regions with significant increases in FVC during 2000–2010 (a,b) and regions with significant decreases in FVC during 2010–2023 (c,d).
The turning point emerged in 2011, marking the transition to the second phase (2010–2023), as SDP intensified urban infrastructure development in response to the national “Twelfth Five-Year Plan” (2011–2015). The government introduced various policy measures, including the “Provincial Capital City Cluster Economic Circle Development Plan” (2013) and the “Shandong Province County-level Economic Scientific Development Pilot Program” (2014). These policies focused on strengthening urban–rural planning and infrastructure construction, accelerating urbanization processes, and promoting vigorous county-level economic development. Although these measures effectively facilitated economic growth and urbanization, the inevitable occupation and disruption of natural vegetation cover areas, including farmland, forest, and grassland, led to a decline in FVC. Notably, Qingdao and Heze cities, in their respective Thirteenth Five-Year Plans (2016–2020), aimed to accelerate urbanization and position themselves as a national and regional central city [52,53]. Consequently, there was a significant decrease in FVC for both cities (Figure 9c,d). During this period, the average FVC in SDP decreased from 0.696 to 0.643, reflecting the environmental pressures faced (Figure 3b).
4.2. Analysis of Factors Influencing FVC of SDP
This study revealed the intricate interplay between meteorological, topographical, and socioeconomic factors in shaping the spatial heterogeneity of FVC. Notably, a confluence of socioeconomic indicators such as GDP, population density, and nighttime light intensity, along with natural factors exemplified by annual precipitation, emerged as the primary explanatory forces (Figure 5). Our findings underscored the profound and distinctive influence of socioeconomic factors over topographical and meteorological factors in driving the spatial differentiation of FVC in SDP. This highlighted the pivotal role of socioeconomic activities in ecological environmental transformations, particularly amidst rapid urbanization and industrialization.
Specifically, the analysis of GDP and nighttime light data illuminated the dual pressures exerted by urbanization and industrialization on vegetation cover. On the one hand, accelerated urban expansion and industrial development led to deforestation and land conversion [54,55,56]. While on the other hand, intensive industrial activities may exacerbate air, soil, and water pollution, thereby hindering vegetation growth [57,58]. For example, industrial pollution could significantly affect the physiological adaptations and anatomical structure of wetland plants, with a significant decrease in plant population diversity [59,60]. This phenomenon was particularly prominent in the eastern coastal zones of SDP, where economic prosperity and urban construction density were high, correspondingly resulting in lower vegetation coverage [61]. In contrast, the western zone, characterized by a relatively simple industrial structure dominated by agriculture and light industry, had inflicted lesser damage on natural vegetation, maintaining higher levels of coverage.
Annual precipitation, a crucial natural factor, modulates vegetation growth by influencing water availability, transpiration rates, and atmospheric water vapor circulation. Generally, regions with higher precipitation exhibit more vigorous vegetation growth [62,63], a pattern consistently observed within SDP. Furthermore, topographical conditions play a significant role, with the uplift of Mount Tai in central Shandong and the low-lying plains in the west providing diverse environments conducive to vegetation growth. This is consistent with Wang et al.’s conclusion that topography is one of the most important factors influencing vegetation patterns within the same climatic zone [64]. The same view is also expressed by Fan et al. that topography affects vegetation growth [65]. However, the central and eastern hilly areas, influenced by cooler temperatures due to elevation and maritime influence, exhibit less favorable conditions for widespread vegetation coverage, resulting in lower FVC compared to the west. This is in line with Peng, who found that a warming trend had a positive impact on vegetation growth [66].
This study also explored the trends and dominant driving factors of FVC across different geographical locations, from inland to coastal zones, revealing significant regional differences. A gradual decrease in FVC from inland to eastern coastal zones was evident (Figure 3), aligning with previous studies that documented significant vegetation cover losses in and around major cities and coastal regions [67]. Our findings also corroborated studies conducted in inland areas like the Qinling Mountains [68], Yunnan Plateau [48], Yangtze River Basin [69], Three Rivers source area [70], and Lower Mekong River basin [71], emphasizing the primacy of natural factors (e.g., DEM, precipitation, temperature) in shaping FVC. However, in coastal zones, while natural factors continue to influence FVC, socioeconomic factors emerged as more dominant (Figure 5), consistent with the findings in [72], which identified urbanization and population growth as primary drivers of FVC decline in coastal cities, with meteorological factors exhibiting lesser significance.
Moreover, we observed that multiple factors synergistically interact to influence vegetation coverage. The combined effects of human activities and natural factors significantly impacted FVC, to an extent that diminished the explanatory power of individual natural factors in isolation (Figure 7 and Figure 8). This is echoed in studies of the Yangtze River Delta region [73], which demonstrated that both climate and human activities contribute to changes in FVC. Additionally, Cheng et al. [74] found that the vegetation changes in the Qinling Mountains were caused by the combined effects of climate change and human activities, and Zhang et al. [75] found that the combined effects of environmental factors and human activities had a greater impact on the NDVI of the Chengdu–Chongqing area. Notably, the combined influence of factors, particularly the interaction between elevation and nighttime light, exhibited a strong explanatory power.
Regional variations in the influence of driving factors warranted further exploration. For instance, in the central zone, the impact of nighttime light on FVC spatial differentiation was particularly pronounced, likely attributed to the rapid urbanization and intense human activities. In the eastern zone, although the relative significance of socioeconomic, topographical, and meteorological factors was narrower, the cumulative influence of socioeconomic factors still prevails, closely tied to the region’s advanced economic development and intense socioeconomic activities.
In conclusion, the influence of socioeconomic factors and natural factors like topography and climate on the spatial distribution of FVC exhibited notable disparities. Notably, socioeconomic factors generally dominated, surpassing the combined effects of topographical and meteorological factors (Figure 5 and Figure 8). This highlighted not only the profound and extensive impact of human activities on natural ecosystems but also emphasized the centrality of socioeconomic factors in regional vegetation cover dynamics. Particularly noteworthy was that in eastern coastal zones, alongside the dominance of socioeconomic factors, annual precipitation, as a representative meteorological factor, also demonstrated significant differential impacts, suggesting more intricate and nuanced interaction mechanisms between meteorological factors and human socioeconomic activities, jointly regulating vegetation cover dynamics.
4.3. Policy Implications
FVC variations across SDP and its sub-regions show complex spatiotemporal dynamics and a west-to-east decline in vegetation coverage, pronounced in eastern coastal zones (Figure 3). This underscores urgent, regionally diverse needs for ecological protection. Future strategies must adopt tailored approaches for holistic improvement and sustainable development of Shandong’s ecology. In the western zone, a shift to a green economy is advocated with optimized urban planning, fostering eco-economic balance. For example, Liaocheng city carried out an ecological water replenishment project for Dongchang Lake to enhance the vegetation growth [76]. In the central zone, mountain tourism is leveraged for growth while safeguarding fragile ecosystems and ensuring ecological security, balancing economy and environment. As an example, Linyi city developed the tourism industry by creating cliff villages as a popular tourist attraction, which not only brought in considerable revenue but also preserved the local ecology [77]. In the eastern zone, balancing economic development with ecological preservation is crucial, achieved through stricter environmental regulations and more green investments. As in the case of Jiaozhou Bay, the implementation of the policy to retreat from the beach and restore 1700 hectares of wetlands facilitated vegetation growth and enhanced ecological protection [78]. Comprehensive implementation of these targeted policies will enhance vegetation coverage and sustain Shandong’s ecological development.
4.4. Advantages and Limits of This Study
This study, centered on SDP, a coastal region in China, analyzed the spatiotemporal dynamics of vegetation coverage and explored the multifaceted driving forces underpinning these patterns. It illuminated the disparities in factors influencing vegetation coverage between coastal and inland zones, offering novel perspectives on the intricate interplay of multiple factors regulating vegetation coverage in the unique geographical context of coastal regions. This work effectively bridges gaps in existing research by providing a comprehensive analysis of factor interactions. The findings not only serve as a valuable reference for SDP but also globally extend their relevance to FVC research in geographically analogous regions.
However, this study also has some limitations. First, the utilization of MOD13A3 NDVI data, while widely recognized, may possess inherent limitations in terms of accuracy and spatial resolution, potentially impacting the precision of vegetation coverage change assessment and the identification of influencing factors. Future endeavors should endeavor to incorporate higher-resolution imagery to enhance the accuracy and granularity of analyses. For instance, Landsat thermal imagery, with its higher spatial resolution of 30 m, can serve as a complement to NDVI data, particularly suitable for analyzing smaller geographical areas. Thermal infrared imagery provides crucial insights into soil temperature and moisture conditions, which are pivotal for understanding vegetation growth and coverage dynamics. Additionally, Sentinel-2 satellite imagery offers enhanced spatial resolution of 10 or 20 m, along with multispectral bands that facilitate the calculation of various vegetation indices such as the enhanced vegetation index (EVI) and green normalized difference vegetation index (GNDVI). These indices exhibit exceptional capabilities in capturing vegetation growth patterns and health status, especially in complex ecological environments.
Second, while this study effectively captured macro-level distinctions between the coast and the inland in SDP, finer-grained micro-level variations within these regions may be overlooked. Future research should strive to delve into these subtleties, exploring variations in vegetation coverage changes and their drivers at a more localized level across distinct cities. Moreover, broadening the scope of the study area to encompass regions with varying geographical features and climatic conditions and systematically comparing the trends and influencing factors of FVC changes across these different areas will greatly contribute to a more comprehensive understanding of the dynamic variations in vegetation coverage. By analyzing the specific characteristics of vegetation coverage changes in distinct ecological environments, such as coastal, mountainous, and plain regions, it will be possible to uncover the unique driving mechanisms inherent to each. This comparative approach not only highlights the similarities and differences between regions but also provides a solid scientific foundation for formulating targeted ecological protection and restoration strategies, thereby enhancing our ability to effectively address the challenges posed by global climate change.
Furthermore, vegetation coverage is intricately intertwined with a myriad of factors, including soil texture, drainage patterns, pH, and natural disasters such as fires and floods, which were not exhaustively covered in this study. To build a more comprehensive understanding, future investigations ought to broaden the scope of factors considered and delve deeper into the mechanisms underlying the spatial differentiation of vegetation coverage in coastal zones, fostering a refined framework for ecological protection and restoration strategies. In the context of the global pursuit of carbon neutrality and peaking carbon emissions, it can furnish a robust scientific foundation for the formulation of more precise and effective ecological protection and restoration strategies.
5. Conclusions
Utilizing multi-source geospatial datasets (2000–2023), including MOD13A3 v061 NDVI, meteorological observations, topographical parameters, and socioeconomic indicators, this study employed a combination of pixel binary modeling, trend analysis, and geographical detector methods to examine the spatiotemporal dynamics of vegetation coverage and identified the diverse multi-driving factors influencing it within Shandong Province (SDP), a representative coastal region in China. The main conclusions are as follows:
(1) The FVC in SDP exhibited significant spatial heterogeneity, characterized by an enhanced decreasing trend from west to east and a clear inland-to-coast decline gradient.
(2) The drivers of FVC variation showed marked spatial differentiation. Socioeconomic factors dominated the spatial distribution, with their influence waning eastward but intensifying in coastal zones, displaying an east–west polarity. Topographic factors predominantly affected the central zone, and annual precipitation demonstrated heightened influence in the coastal zone.
(3) Multifactor interplay fundamentally governed FVC spatial differentiation, with strong interactions between socioeconomic factors and other factors being crucial. Notably, socioeconomic impacts on FVC were more pronounced in the coast than inland, highlighting the coastal ecosystem’s unique response to anthropogenic activities.
This study confirms the distinct differences in vegetation coverage and their influencing factors between coastal and inland areas in coastal regions. It provides a comprehensive analysis of regional characteristics and their interactions, enhancing our understanding of ecosystem responses to both human and natural impacts. Consequently, it establishes a solid foundation for future differentiated ecological protection and restoration strategies.
Supplementary Materials
The following supporting information can be downloaded at: https://www.mdpi.com/article/10.3390/rs17050921/s1, Figure S1: Spatial distribution characteristics of vegetation coverage in SDP from 2000 to 2023 (on a year-by-year basis).
Author Contributions
Conceptualization, D.L. and Y.Y.; methodology, Y.Y. and D.L.; software, Y.Y., S.H. and X.S.; validation, Y.Y., D.L. and J.T.; resources, D.L.; data curation, Y.Y. and D.L.; writing—original draft preparation, Y.Y., D.L., J.T., S.H. and X.S.; visualization, Y.Y. and S.H.; supervision, D.L.; project administration, D.L.; funding acquisition, D.L. All authors have read and agreed to the published version of the manuscript.
Funding
This research was funded by the National Natural Science Foundation of China (Grant No. 41671525) and the National Key Research and Development Program of China (Grant No. 2023YFF0804304; 2020YFC1807102).
Data Availability Statement
All relevant data are shown in this paper.
Acknowledgments
The authors gratefully acknowledge the National Natural Science Foundation of China and the Ministry of Science and Technology of China for financial support. We appreciate the editors and anonymous reviewers for their constructive comments and suggestions.
Conflicts of Interest
The authors declare no conflicts of interest.
References
- Kong, Z.; Ling, H.; Deng, M.; Han, F.; Yan, J.; Deng, X.; Wang, Z.; Ma, Y.; Wang, W. Past and projected future patterns of fractional vegetation coverage in China. Sci. Total Environ. 2023, 902, 166133. [Google Scholar] [CrossRef]
- Afuye, G.A.; Kalumba, A.M.; Orimoloye, I.R. Characterisation of Vegetation Response to Climate Change: A Review. Sustainability 2021, 13, 7265. [Google Scholar] [CrossRef]
- Gallagher, R.V.; Allen, S.; Wright, I.J. Safety margins and adaptive capacity of vegetation to climate change. Sci. Rep. 2019, 9, 8241. [Google Scholar] [CrossRef] [PubMed]
- Sun, G.Q.; Li, L.; Li, J.; Liu, C.; Wu, Y.P.; Gao, S.; Wang, Z.; Feng, G.L. Impacts of climate change on vegetation pattern: Mathematical modeling and data analysis. Phys. Life Rev. 2022, 43, 239–270. [Google Scholar] [CrossRef] [PubMed]
- Yan, Y.; Liu, H.; Bai, X.; Zhang, W.; Wang, S.; Luo, J.; Cao, Y. Exploring and attributing change to fractional vegetation coverage in the middle and lower reaches of Hanjiang River Basin, China. Environ. Monit. Assess. 2022, 195, 131. [Google Scholar] [CrossRef]
- Moya, D.; Fonturbel, M.T.; Lucas-Borja, M.E.; Peña, E.; Alfaro-Sanchez, R.; Plaza-Álvarez, P.A.; González-Romero, J.; de Las Heras, J. Burning season and vegetation coverage influenced the community-level physiological profile of Mediterranean mixed-mesogean pine forest soils. J. Environ. Manag. 2020, 277, 111405. [Google Scholar] [CrossRef]
- Wallace, L.; Saldias, D.S.; Reinke, K.; Hillman, S.; Hally, B.; Jones, S. Using orthoimages generated from oblique terrestrial photography to estimate and monitor vegetation cover. Ecol. Indic. 2019, 101, 91–101. [Google Scholar] [CrossRef]
- Zhang, M.; Wang, J.; Li, S. Tempo-spatial changes and main anthropogenic influence factors of vegetation fractional coverage in a large-scale opencast coal mine area from 1992 to 2015. J. Cleaner Prod. 2019, 232, 940–952. [Google Scholar] [CrossRef]
- Almalki, R.; Khaki, M.; Saco, P.M.; Rodriguez, J.F. Monitoring and Mapping Vegetation Cover Changes in Arid and Semi-Arid Areas Using Remote Sensing Technology: A Review. Remote Sens. 2022, 14, 5143. [Google Scholar] [CrossRef]
- Li, L.; Xin, X.; Zhao, J.; Yang, A.; Wu, S.; Zhang, H.; Yu, S. Remote Sensing Monitoring and Assessment of Global Vegetation Status and Changes during 2016–2020. Sensors 2023, 23, 8452. [Google Scholar] [CrossRef]
- Wang, H.; Gui, D.; Liu, Q.; Feng, X.; Qu, J.; Zhao, J.; Wang, G.; Wei, G. Vegetation coverage precisely extracting and driving factors analysis in drylands. Ecol. Inf. 2023, 79, 102409. [Google Scholar] [CrossRef]
- Yan, L.; He, R.; Kašanin-Grubin, M.; Luo, G.; Peng, H.; Qiu, J. The Dynamic Change of Vegetation Cover and Associated Driving Forces in Nanxiong Basin, China. Sustainability 2017, 9, 443. [Google Scholar] [CrossRef]
- Gu, Z.; Duan, X.; Shi, Y.; Li, Y.; Pan, X. Spatiotemporal variation in vegetation coverage and its response to climatic factors in the Red River Basin, China. Ecol. Indic. 2018, 93, 54–64. [Google Scholar] [CrossRef]
- Guo, J.; Zhai, L.; Sang, H.; Cheng, S.; Li, H. Effects of hydrothermal factors and human activities on the vegetation coverage of the Qinghai-Tibet Plateau. Sci. Rep. 2023, 13, 12488. [Google Scholar] [CrossRef]
- Wan, L.; Tong, J.; Zhou, J.; Guo, H.; Cui, M.; Liu, Y.; Ning, L.; Tang, F. Variation of Vegetation Ecological Water Consumption and Its Response to Vegetation Coverage Changes in the Rocky Desertification Areas in South China. PLoS ONE 2016, 11, e0163566. [Google Scholar] [CrossRef]
- Wang, H.; Yao, F.; Zhu, H.; Zhao, Y. Spatiotemporal Variation of Vegetation Coverage and Its Response to Climate Factors and Human Activities in Arid and Semi-Arid Areas: Case Study of the Otindag Sandy Land in China. Sustainability 2020, 12, 5214. [Google Scholar] [CrossRef]
- Zhang, C.; Kuai, S.; Tang, C.; Zhang, S. Evaluation of hydrological connectivity in a river floodplain system and its influence on the vegetation coverage. Ecol. Indic. 2022, 144, 109445. [Google Scholar] [CrossRef]
- Zhou, Q.; Zhao, X.; Wu, D.; Tang, R.; Du, X.; Wang, H.; Zhao, J.; Xu, P.; Peng, Y. Impact of Urbanization and Climate on Vegetation Coverage in the Beijing–Tianjin–Hebei Region of China. Remote Sens. 2019, 11, 2452. [Google Scholar] [CrossRef]
- Li, H.L.; Liu, S.; Yin, M.S.; Zhu, L.A.; Shen, E.S.; Sun, B.D.; Wang, S. Spatial and temporal variability and risk assessment of regional climate change in northern China: A case study in Shandong Province. Nat. Hazard. 2022, 111, 2749–2786. [Google Scholar] [CrossRef]
- Sui, Y.; Hu, J.; Zhang, N.; Ma, F. Exploring the dynamic equilibrium relationship between urbanization and ecological environment -- A case study of Shandong Province, China. Ecol. Indic. 2023, 158, 111456. [Google Scholar] [CrossRef]
- Liu, Y.; Huang, H.; Meng, L.; Liu, M.; Wu, Z.; Liu, T.; Labat, D. Spatial-temporal evolution of vegetation coverage and its relationship with terrain and human factors in the upper reaches of Ganjiang River Basin, China. Front. Earth Sci. 2023, 10, 1043403. [Google Scholar] [CrossRef]
- Zhou, Q.; Wei, X.; Zhou, X.; Cai, M.; Xu, Y. Vegetation coverage change and its response to topography in a typical karst region: The Lianjiang River Basin in Southwest China. Environ. Earth Sci. 2019, 78, 1–10. [Google Scholar] [CrossRef]
- A, D.; Zhao, W.; Qu, X.; Jing, R.; Xiong, K. Spatio-temporal variation of vegetation coverage and its response to climate change in North China plain in the last 33 years. Int. J. Appl. Earth Obs. 2016, 53, 103–117. [Google Scholar] [CrossRef]
- Deng, X.; Hu, S.; Zhan, C. Attribution of vegetation coverage change to climate change and human activities based on the geographic detectors in the Yellow River Basin, China. Environ. Sci. Pollut. Res. 2022, 29, 44693–44708. [Google Scholar] [CrossRef] [PubMed]
- Ma, R.; Zhang, J.; Shen, X.; Liu, B.; Lu, X.; Jiang, M. Impacts of climate change on fractional vegetation coverage of temperate grasslands in China from 1982 to 2015. J. Environ. Manag. 2023, 350, 119694. [Google Scholar] [CrossRef]
- Zhou, Y.; Zhang, L.; Xiao, J.F.; Williams, C.A.; Vitkovskaya, I.; Bao, A.M. Spatiotemporal transition of institutional and socioeconomic impacts on vegetation productivity in Central Asia over last three decades. Sci. Total Environ. 2019, 658, 922–935. [Google Scholar] [CrossRef]
- Shrestha, S.; Shrestha, U.B.; Bawa, K. Socio-economic factors and management regimes as drivers of tree cover change in Nepal. PeerJ 2018, 6, e4855. [Google Scholar] [CrossRef]
- Sarricolea, P.; Smith, P.; Romero-Aravena, H.; Serrano-Notivoli, R.; Fuentealba, M.; Meseguer-Ruiz, O. Socioeconomic inequalities and the surface heat island distribution in Santiago, Chile. Sci. Total Environ. 2022, 832, 155152. [Google Scholar] [CrossRef]
- Zhang, L.; Yang, L.; Zohner, C.M.; Crowther, T.W.; Li, M.; Shen, F.; Guo, M.; Qin, J.; Yao, L.; Zhou, C. Direct and indirect impacts of urbanization on vegetation growth across the world’s cities. Sci. Adv. 2022, 8, eabo0095. [Google Scholar] [CrossRef]
- Liu, Z.; Zhou, Y.; Feng, Z. Response of vegetation phenology to urbanization in urban agglomeration areas: A dynamic urban–rural gradient perspective. Sci. Total Environ. 2023, 864, 161109. [Google Scholar] [CrossRef]
- Feng, F.; Yang, X.; Jia, B.; Li, X.; Li, X.; Xu, C.; Wang, K. Variability of urban fractional vegetation cover and its driving factors in 328 cities in China. Sci. China Earth Sci. 2024, 67, 466–482. [Google Scholar] [CrossRef]
- Kou, P.; Xu, Q.; Jin, Z.; Yunus, A.P.; Luo, X.; Liu, M. Complex anthropogenic interaction on vegetation greening in the Chinese Loess Plateau. Sci. Total Environ. 2021, 778, 146065. [Google Scholar] [CrossRef] [PubMed]
- Zhao, X.; Tan, S.; Li, Y.; Wu, H.; Wu, R. Quantitative analysis of fractional vegetation cover in southern Sichuan urban agglomeration using optimal parameter geographic detector model, China. Ecol. Indic. 2024, 158, 111529. [Google Scholar] [CrossRef]
- Czaja, M.; Kołton, A. How light pollution can affect spring development of urban trees and shrubs. Urban For. Urban Gree. 2022, 77, 127753. [Google Scholar] [CrossRef]
- Dong, C.W.; Cao, Y.; Tan, Y.Z. Urban expansion and vegetation changes in Hangzhou Bay area using night-light data. J. Appl. Ecol. 2017, 28, 231–238. [Google Scholar]
- Speißer, B.; Liu, Y.; Kleunen, M.V. Biomass responses of widely and less-widely naturalized alien plants to artificial light at night. J. Ecol. 2021, 109, 1819–1827. [Google Scholar] [CrossRef]
- Wu, B.; Song, Z.; Wu, Q.; Wu, J.; Yu, B. A Vegetation Nighttime Condition Index Derived From the Triangular Feature Space Between Nighttime Light Intensity and Vegetation Index. IEEE Trans. Geosci. Remote Sens. 2023, 61, 5618115. [Google Scholar] [CrossRef]
- Zhang, B.; Zhang, H.; Jing, Q.; Wang, J. Light pollution on the growth, physiology and chlorophyll fluorescence response of landscape plant perennial ryegrass (Lolium perenne L.). Ecol. Indic. 2020, 115, 106448. [Google Scholar] [CrossRef]
- Asri, A.K.; Yu, C.P.; Pan, W.C.; Guo, Y.L.; Su, H.J.; Lung, S.C.; Wu, C.D.; Spengler, J.D. Global greenness in relation to reducing the burden of cardiovascular diseases: Ischemic heart disease and stroke. Environ. Res. Lett. 2020, 15, 124003. [Google Scholar] [CrossRef]
- Bai, Y.; Yang, Y.; Jiang, H. Intercomparison of AVHRR GIMMS3g, Terra MODIS, and SPOT-VGT NDVI Products over the Mongolian Plateau. Remote Sens. 2019, 11, 2030. [Google Scholar] [CrossRef]
- Bilal, M.; Nichol, J.E. Evaluation of the NDVI-Based Pixel Selection Criteria of the MODIS C6 Dark Target and Deep Blue Combined Aerosol Product. IEEE J.-Stars 2017, 10, 3448–3453. [Google Scholar] [CrossRef]
- Li, M.; Yan, Q.; Li, G.; Yi, M.; Li, J. Spatio-Temporal Changes of Vegetation Cover and Its Influencing Factors in Northeast China from 2000 to 2021. Remote Sens. 2022, 14, 5720. [Google Scholar] [CrossRef]
- Jiang, J.Y.; Tian, H.; Fu, P.J.; Meng, F.; Tong, H.J. Spatial and Temporal Changes of Typical Vegetation in the Yellow River Delta Based on Zhuhai-1 Hyperspectral Data. Appl. Sci. 2023, 13, 12614. [Google Scholar] [CrossRef]
- Yan, X.; Li, J.; Shao, Y.; Hu, Z.; Yang, Z.; Yin, S.; Cui, L. Driving forces of grassland vegetation changes in Chen Barag Banner, Inner Mongolia. Gisci. Remote Sens. 2020, 57, 753–769. [Google Scholar] [CrossRef]
- Wang, J.F.; Xu, C.D. Geodetector: Principle and prospective. Acta Geogr. Sin. 2017, 72, 116–134. [Google Scholar]
- Guo, H.; Sun, Y.; Wang, Q.; Wang, X.; Zhang, L. Construction of Greenspace Landscape Ecological Network Based on Resistance Analysis of GeoDetector in Jinan. Stochastic Environ. Res. Risk Assess. 2022, 37, 651–663. [Google Scholar] [CrossRef]
- Wang, H.; Qin, F.; Xu, C.; Li, B.; Guo, L.; Wang, Z. Evaluating the suitability of urban development land with a Geodetector. Ecol. Indic. 2021, 123, 107339. [Google Scholar] [CrossRef]
- Huo, H.; Sun, C.P. Spatiotemporal variation and influencing factors of vegetation dynamics based on Geodetector: A case study of the northwestern Yunnan Plateau, China. Ecol. Indic. 2021, 130, 108005. [Google Scholar] [CrossRef]
- Zhang, S.; Zhou, Y.; Yu, Y.; Li, F.; Zhang, R.; Li, W. Using the Geodetector Method to Characterize the Spatiotemporal Dynamics of Vegetation and Its Interaction with Environmental Factors in the Qinba Mountains, China. Remote Sens. 2022, 14, 5794. [Google Scholar] [CrossRef]
- City Unveils Medium-Long-Term Forestry Development Plan. Dezhou Daily News, 18 September 2020. Available online: https://www.dezhou.gov.cn/n42860412/n42860896/c57757085/content.html (accessed on 2 January 2025).
- Zhou, W.J. Research on Management System Reform of Taishan Scenic and Historic Spo t Area. Master’s Thesis, Shanxi University of Finance and Economics, Taiyuan, China, 2007. [Google Scholar] [CrossRef]
- General Office of Qingdao Municipal People’s Government. Notice of the General Office of Qingdao Municipal People’s Government on the Issuance of Qingdao’s 13th Five-Year Plan for Integrated Urban and Rural Development. Available online: http://www.qingdao.gov.cn/zwgk/zdgk/fgwj/zcwj/szfgw/2017/qzbf_87/202010/t20201019_501767.shtml (accessed on 2 January 2025).
- People’s Government of Heze City. Outline of the Thirteenth Five-Year Plan for National Economic and Social Development of Heze City. Available online: http://www.heze.gov.cn/0530/2c908088819842f701819a1ddd0e000f/1572057380072591360.html (accessed on 2 January 2025).
- Song, S.; He, C.; Liu, Z.; Qi, T. Evaluating the influences of urban expansion on multiple ecosystem services in drylands. Landsc. Ecol. 2022, 37, 2783–2802. [Google Scholar] [CrossRef]
- Zhao, Y.; He, L.; Bai, W.; He, Z.; Luo, F.; Wang, Z. Prediction of ecological security patterns based on urban expansion: A case study of Chengdu. Ecol. Indic. 2024, 158, 111467. [Google Scholar] [CrossRef]
- Ma, S.; Deng, G.; Wang, L.J.; Hu, H.; Fang, X.; Jiang, J. Telecoupling between urban expansion and forest ecosystem service loss through cultivated land displacement: A case study of Zhejiang Province, China. J. Environ. Manag. 2024, 357, 120695. [Google Scholar] [CrossRef] [PubMed]
- Abbas, T.; Ahmad, I.; Khan, Z.I.; Okla, M.K.; Saleh, I.A.; AbdElgawad, H. Comparative physiological adaptations to industrial pollution stress mediated by melatonin in riparian vegetation and Phyla nodiflora an ornamental plant. Sci. Hortic. 2023, 321, 112367. [Google Scholar] [CrossRef]
- Jordanova, N.V.; Jordanova, D.V.; Veneva, L.; Yorova, K.; Petrovsky, E. Magnetic response of soils and vegetation to heavy metal pollution—A case study. Environ. Sci. Technol. 2003, 37, 4417–4424. [Google Scholar] [CrossRef]
- Mansour, K.G.; Toqeer, A.; Shifa, S.; Sang-Mo, K.; In-Jung, L.; Anis Ali, S. Comparative analysis of biodiversity, physiology, and anatomical adaptations in riparian flora exposed to industrial pollution stress. Sci. Rep. 2025, 15, 3006. [Google Scholar]
- Terwayet Bayouli, I.; Terwayet Bayouli, H.; Dell’Oca, A.; Meers, E.; Sun, J. Ecological indicators and bioindicator plant species for biomonitoring industrial pollution: Eco-based environmental assessment. Ecol. Indic. 2021, 125, 107508. [Google Scholar] [CrossRef]
- Yi, W.Y.; Wang, H.Y.; Dong, M.M.; Tan, L.; Zhang, H.C.; Xu, L.Y. NDVI Changes and Influencing Factors of Different Soil and Water Conservation Zones in Shandong Province. Environ. Sci. 2024, 45, 5329–5340. [Google Scholar]
- Guo, Q.; Zhong, R.; Shan, Z.; Duan, X. Vegetation Cover Variation in Dry Valleys of Southwest China: The Role of Precipitation. Remote Sens. 2023, 15, 1727. [Google Scholar] [CrossRef]
- Liu, Y.; Huang, T.; Qiu, Z.; Guan, Z.; Ma, X. Effects of precipitation changes on fractional vegetation cover in the Jinghe River basin from 1998 to 2019. Ecol. Inf. 2024, 80, 102505. [Google Scholar] [CrossRef]
- Wang, B.; Cheng, W.; Xu, H.; Wang, R.; Song, K.; Bao, A.; Shi, Q. Vegetation differentiation characteristics and control mechanisms in the Altay region based on topographic gradients. Ecol. Indic. 2024, 160, 111838. [Google Scholar] [CrossRef]
- Fan, J.; Xu, Y.; Ge, H.; Wang, W. Vegetation growth variation in relation to topography in Horqin Sandy Land. Ecol. Indic. 2020, 113, 106215. [Google Scholar] [CrossRef]
- Fu, P. Responses of vegetation productivity to temperature trends over continental United States from MODIS imagery. IEEE J.-STARS 2019, 12, 1085–1090. [Google Scholar] [CrossRef]
- Hou, W.; Hou, X. Spatial–temporal changes in vegetation coverage in the global coastal zone based on GIMMS NDVI3g data. Int. J. Remote Sens. 2019, 41, 1118–1138. [Google Scholar] [CrossRef]
- Wang, S.; Gao, M.; Li, Z.; Ma, J.; Peng, J. How Do Driving Factors Affect Vegetation Coverage Change in the Shaanxi Region of the Qinling Mountains? Remote Sens. 2023, 16, 160. [Google Scholar] [CrossRef]
- Shi, S.; Wang, X.; Hu, Z.; Zhao, X.; Zhang, S.; Hou, M.; Zhang, N. Geographic detector-based quantitative assessment enhances attribution analysis of climate and topography factors to vegetation variation for spatial heterogeneity and coupling. Glob. Ecol. Conserv. 2023, 42, e02398. [Google Scholar] [CrossRef]
- Gao, S.; Dong, G.; Jiang, X.; Nie, T.; Yin, H.; Guo, X. Quantification of natural and anthropogenic driving forces of vegetation changes in the Three-River Headwater Region during 1982–2015 based on geo-graphical detector model. Remote Sens. 2021, 13, 4175. [Google Scholar] [CrossRef]
- Gao, F.; Pan, J.; Gong, Z. Detection of spatial and temporal variation characteristics of vegetation cover in the Lower Mekong region and the influencing factors. Sci. Rep. 2024, 14, 26673. [Google Scholar] [CrossRef]
- Liu, F.; Xiao, X.; Shang, L.; Huang, X. Study on spatial-temporal dynamic change of vegetation coverage and its influencing factors in blue economic zone of Shandong Peninsula: Taking Qingdao as a case. IOP Conf. Ser. Earth Environ. Sci. 2021, 632, 022045. [Google Scholar] [CrossRef]
- Tian, X.; Tao, Z.; Xie, Y.; Shao, W.; Zhang, S. Spatiotemporal Evolution and Driving Mechanism of Fractional Vegetation Coverage in the Yangtze River Delta. IEEE J. Sel. Top. Appl. Earth Obs. Remote Sens. 2024, 17, 10979–10997. [Google Scholar] [CrossRef]
- Cheng, D.; Qi, G.; Song, J.; Zhang, Y.; Bai, H.; Gao, X. Quantitative assessment of the contributions of climate change and human activities to vegetation variation in the Qinling mountains. Front. Earth Sci. 2021, 9, 782287. [Google Scholar] [CrossRef]
- Zhang, Y.; Zhang, L.; Wang, J.; Dong, G.; Wei, Y. Quantitative analysis of NDVI driving fac-tors based on the geographical detector model in the Chengdu-Chongqing region, China. Ecol. Indic. 2023, 155, 110978. [Google Scholar] [CrossRef]
- Liaocheng Implements Ecological Water Replenishment 1 Million m3 of Yellow River Water into Dongchang Lake. China Water. Available online: https://sd.ifeng.com/cj/caijingzixun/detail_2014_03/20/2009903_0.shtml (accessed on 13 February 2025).
- Linyi ‘Spring Net Red Card Place’ List. SOHU. Available online: https://www.sohu.com/a/658197377_121123711 (accessed on 13 February 2025).
- To Create Clear Water, Clean Beaches, Beautiful and Abundant ‘Blue Jiaozhou Bay’. People’s Daily Online. Available online: https://paper.dzwww.com/dzrb/content/20231104/Articel04009MT.htm (accessed on 13 February 2025).
Disclaimer/Publisher’s Note: The statements, opinions and data contained in all publications are solely those of the individual author(s) and contributor(s) and not of MDPI and/or the editor(s). MDPI and/or the editor(s) disclaim responsibility for any injury to people or property resulting from any ideas, methods, instructions or products referred to in the content. |
© 2025 by the authors. Licensee MDPI, Basel, Switzerland. This article is an open access article distributed under the terms and conditions of the Creative Commons Attribution (CC BY) license (https://creativecommons.org/licenses/by/4.0/).




