Synchronous Atmospheric Correction of Wide-Swath and Wide-Field Remote Sensing Image from HJ-2A/B Satellite
Abstract
1. Introduction
2. HJ-2 A/B Satellites and Sensors
3. Principle and Processing Flow of Atmospheric Correction Algorithm
3.1. PSAC Data Preprocessing
3.2. Atmospheric Parameter Retrieval
3.3. Data Matching
3.4. Atmospheric Correction LUT
3.5. Atmospheric Radiative Correction
3.6. Adjacency Effect Correction
3.7. BRDF Correction
4. Atmospheric Correction Results and Analysis
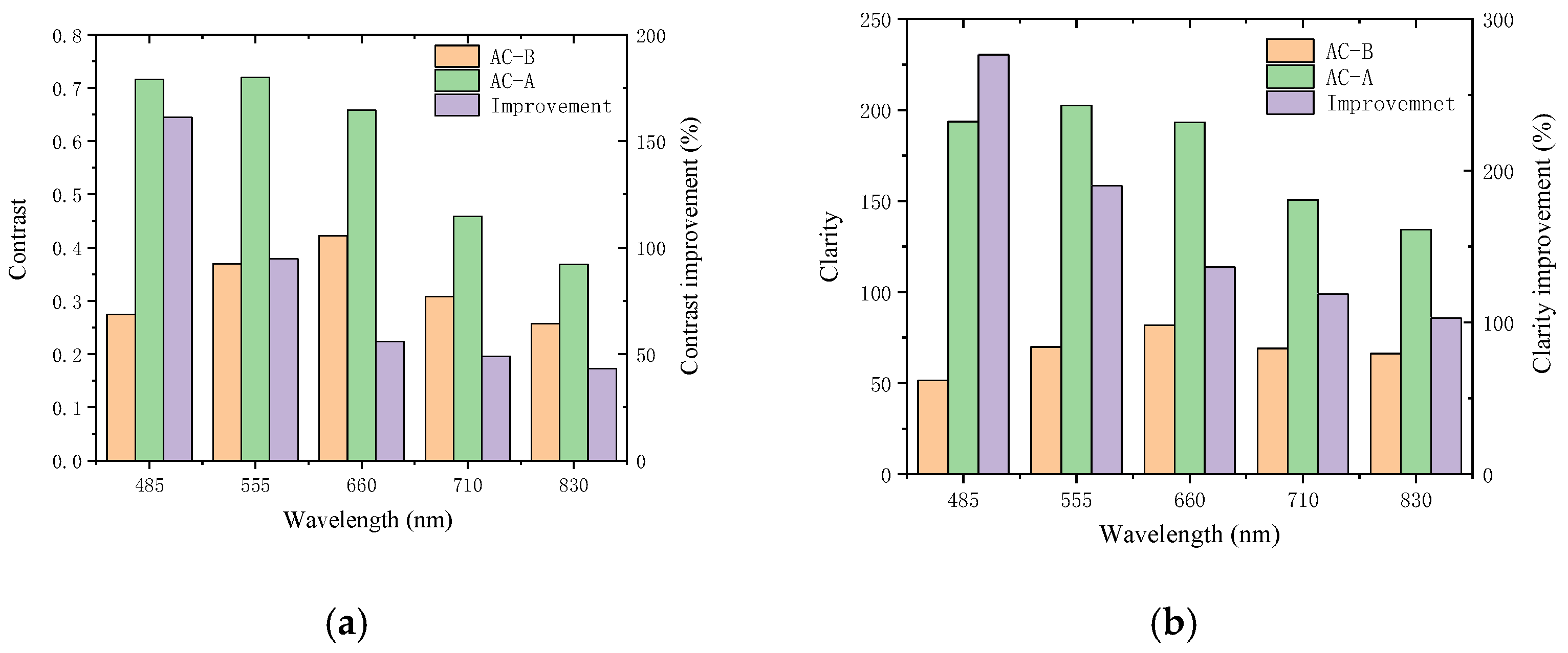
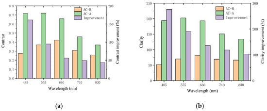
4.1. Comparison of Images Before and After Atmospheric Correction
4.2. Validation of Reflectance Through In Situ Measurement Comparison
4.3. Comparison and Validation with Sentinel-2 Surface Reflectance Products
5. Discussion
6. Conclusions
Author Contributions
Funding
Data Availability Statement
Acknowledgments
Conflicts of Interest
References
- Kaufman, Y.J. Atmospheric effect on spatial resolution of surface imagery. Appl. Optics 1997, 23, 3399–3408. [Google Scholar]
- Lyapustin, A.I.; Kaufman, Y.J. Role of adjacency effect in the remote sensing of aerosol. J. Geophys. Res. Atmos. 2001, 106, 11909–11916. [Google Scholar] [CrossRef]
- Sayler, K.; Zanter, K. Landsat 8-9 Collection 2 (C2) Level 2 Science Product (L2SP) Guide Version 5.0.; Department of the Interior U.S. Geological Survey: Reston, VA, USA, 2023; pp. 5–7. [Google Scholar]
- Louis, J.; Devignot, O.; Pessiot, L. S2 MPC: Level-2A Algorithm Theoretical Basis Document; EESA: Paris, France, 2021; pp. 44–67. [Google Scholar]
- Román, M.O.; Justice, C.; Paynter, I.; Boucher, P.B.; Devadiga, S.; Endsley, A.; Erb, A.; Friedl, M.; Gao, H.; Giglio, L.; et al. Continuity between NASA MODIS Collection 6.1 and VIIRS Collection 2 land products. Remote Sens. Environ. 2024, 302, 113963. [Google Scholar] [CrossRef]
- Vermote, E.F.; Kotchenova, S. Atmospheric correction for the monitoring of land surfaces. J. Geophys. Res. Atmos. 2008, 113. [Google Scholar] [CrossRef]
- Atmospheric Correction Module: QUAC and FLAASH User’s Guide; Version 4.7; ITT Visual Information Solutions Inc.: Boulder, CO, USA, 2009; pp. 17–39.
- Richter, R.; Schlapfer, D. Atmospheric/Topographic Correction for Satellite Imagery; ATCOR-2/3 User Guide, Version 9.5; ReSe Applications Schläpfer: Wil, Switzerland, 2023; Available online: www.rese-apps.com/software/download (accessed on 2 January 2025).
- Doxani, G.; Vermote, E.; Roger, J.-C.; Gascon, F.; Adriaensen, S.; Frantz, D.; Hagolle, O.; Hollstein, A.; Kirches, G.; Li, F.; et al. Atmospheric Correction Inter-Comparison Exercise. Remote Sens. 2018, 10, 352. [Google Scholar] [CrossRef]
- Kotchenova, S.Y.; Vermote, E.F.; Levy, R.; Lyapustin, A. Radiative transfer codes for atmospheric correction and aerosol retrieval: Intercomparison study. Appl. Optics 2008, 47, 2215–2226. [Google Scholar] [CrossRef] [PubMed]
- Chraibi, E.; De Boissieu, F.; Barbier, N.; Luque, S.; Féret, J.B. Stability in time and consistency between atmospheric corrections: Assessing the re-liability of Sentinel-2 products for biodiversity monitoring in tropical forests. Int. J. Appl. Earth Obs. Geoinf. 2022, 112, 102884. [Google Scholar] [CrossRef]
- Marujo, R.F.; Fronza, J.G.; Soares, A.R.; Queiroz, G.R.; Ferreira, K.R. Evaluating the impact of LaSRC and Sen2cor atmospheric correction algorithms on Landsat-8/OLI and Sentinel-2/MSI data over AERONET stations in brazilian territory. ISPRS Ann. Photogramm. Remote Sens. Spat. Inf. Sci. 2021, 3, 271–277. [Google Scholar] [CrossRef]
- Roger, J.C.; Ray, J.P.; Vermote, E.F. MODIS Surface Reflectance User’s Guide (Collection 6). Version 1.6; 2022. Available online: https://modis-land.gsfc.nasa.gov (accessed on 3 January 2025).
- Vermote, E.; Justice, C.; Claverie, M.; Franch, B. Preliminary analysis of the performance of the Landsat 8/OLI land surface reflectance product. Remote Sens. Environ. 2016, 185, 46–56. [Google Scholar] [CrossRef]
- Wang, T.; Du, L.; Yi, W.; Hong, J.; Zhang, L.; Zheng, J.; Li, C.; Ma, X.; Zhang, D.; Fang, W.; et al. An adaptive atmospheric correction algorithm for the effective adjacency effect correction of submeter-scale spatial resolution optical satellite images: Application to a WorldView-3 panchromatic image. Remote Sens. Environ. 2021, 259, 112412. [Google Scholar] [CrossRef]
- Xu, L.; Xiong, W.; Yi, W.; Qiu, Z.; Liu, X.; Zhang, D.; Fang, W.; Li, Z.; Hou, W.; Lin, J.; et al. Synchronous Atmospheric Correction of High Spatial Resolution Images from Gao Fen Duo Mo Satellite. Remote Sens. 2022, 14, 4427. [Google Scholar] [CrossRef]
- Li, Z.; Xie, Y.; Hou, W.; Liu, Z.; Bai, Z.; Hong, J.; Ma, Y.; Huang, H.; Lei, X.; Sun, X.; et al. In-Orbit Test of the Polarized Scanning Atmospheric Corrector (PSAC) Onboard Chinese Environmental Protection and Disaster Monitoring Satellite Constellation HJ-2 A/B. IEEE Trans. Geosci. Remote Sens. 2022, 60, 4108217. [Google Scholar] [CrossRef]
- Lei, X.; Liu, Z.; Tao, F.; Hou, W.; Huang, H.; Xie, Y.; Zhao, X.; Dong, H.; Zou, P.; Song, M.; et al. Geolocation Error Estimation Method for the Wide Swath Polarized Scanning Atmospheric Corrector Onboard HJ-2 A/B Satellites. IEEE Trans. Geosci. Remote Sens. 2022, 60, 5626609. [Google Scholar] [CrossRef]
- Li, Y.; Wu, J.; Zhong, B.; Shi, X.; Xu, K.; Ao, K.; Sun, B.; Ding, X.; Wang, X.; Liu, Q.; et al. Methods of Sandy Land Detection in a Sparse-Vegetation Scene Based on the Fusion of HJ-2A Hyperspectral and GF-3 SAR Data. Remote Sens. 2022, 14, 1203. [Google Scholar] [CrossRef]
- Zhao, E.; Gao, C.; Han, Q.; Yao, Y.; Wang, Y.; Yu, C.; Yu, H. An Operational Land Surface Temperature Retrieval Methodology for Chinese Sec-ond-Generation Huanjing Disaster Monitoring Satellite Data. IEEE J. Sel. Top. Appl. Earth Obs. Remote Sens. 2022, 15, 1283–1292. [Google Scholar] [CrossRef]
- Xie, Y.; Hou, W.; Li, Z.; Zhu, S.; Liu, Z.; Hong, J.; Ma, Y.; Fan, C.; Guang, J.; Yang, B.; et al. Columnar Water Vapor Retrieval by Using Data from the Polarized Scanning Atmospheric Corrector (PSAC) Onboard HJ-2 A/B Satellites. Remote Sens. 2022, 14, 1376. [Google Scholar] [CrossRef]
- Shi, Z.; Li, Z.; Hou, W.; Mei, L.; Sun, L.; Jia, C.; Zhang, Y.; Li, K.; Xu, H.; Liu, Z.; et al. Aerosol Optical Depth Retrieval Based on Neural Network Model Using Polarized Scanning At-mospheric Corrector (PSAC) Data. IEEE Trans. Geosci. Remote Sens. 2022, 60, 4109018. [Google Scholar] [CrossRef]
- Wang, Z.; Schaaf, C.B.; Sun, Q.; Shuai, Y.; Román, M.O. Capturing rapid land surface dynamics with Collection V006 MODIS BRDF/NBAR/Albedo (MCD43) products. Remote Sens. Environ. 2018, 207, 50–64. [Google Scholar] [CrossRef]
- Wu, H.Z.; Huang, H.L.; Sun, X.B.; Liu, X.; Ti, R.; Wang, Y. BRDF Correction Based on Wide-Field Images of Environment-2 Satellite. Acta Opt. Sin. 2024, 44, 1228006. [Google Scholar]
- Beghdadi, A. On Measures of Visual Contrast and Their Use in Image Processing. In Proceedings of the Colour and Visual Computing Symposium, Gjøvik, Norway, 16–17 September 2020. [Google Scholar]
- Frazor, R.A.; Geisler, W.S. Local luminance and contrast in natural images. Vis. Res. 2006, 46, 1585–1598. [Google Scholar] [CrossRef]
- Ryan, R.; Baldridge, B.; Schowengerdt, R.A.; Choi, T.; Helder, D.L.; Blonski, S. IKONOS spatial resolution and image interpretability characterization. Remote Sens. Environ. 2003, 88, 37–52. [Google Scholar] [CrossRef]
- Shi, W.Z.; Zhu, C.Q.; Zhu, C.Y.; Yang, X.M. Multi-Band Wavelet for Fusing SPOT Panchromatic and Multispectral Images. Photogramm. Eng. Remote Sens. 2003, 69, 513–520. [Google Scholar] [CrossRef]
- Doxani, G.; Vermote, E.F.; Roger, J.C.; Skakun, S.; Gascon, F.; Collison, A.; De Keukelaere, L.; Desjardins, C.; Frantz, D.; Hagolle, O.; et al. Atmospheric Correction Inter-comparison eXercise, ACIX-II Land: An assessment of atmospheric correction processors for Landsat 8 and Sentinel-2 over land. Remote Sens. Environ. 2023, 285, 113412. [Google Scholar] [CrossRef]
- Pancorbo, J.; Lamb, B.; Quemada, M.; Hively, W.; Gonzalez-Fernandez, I.; Molina, I. Sentinel-2 and WorldView-3 atmospheric correction and signal normalization based on ground-truth spectroradiometric measurements. ISPRS J. Photogramm. Remote Sens. 2021, 173, 166–180. [Google Scholar] [CrossRef]
- Clerc, S.; Devignot, O.; Pessiot, L. S2 MPC: Level 2A Data Quality Report; EESA and Opernicus: Paris, France, 2022; pp. 5–7. [Google Scholar]














| Parameters | MSC | HSI | IRS | PSAC |
|---|---|---|---|---|
| Wavelength bands | B1: 0.45–0.52 μm | 0.45–0.92 μm (Δλ = 5 nm) 0.90–2.50 μm (Δλ = 14 nm) | B1: 0.63–0.69 μm | B1: 0.400–0.420 μm |
| B2: 0.52–0.59 μm | B2: 0.73–0.77 μm | B2: 0.433–0.453 μm | ||
| B3: 0.63–0.69 μm | B3: 0.78–0.90 μm | B3: 0.545–0.565 μm | ||
| B4: 0.69–0.73 μm | B4: 1.19–1.29 μm | B4: 0.660–0.680 μm | ||
| B5: 0.77–0.89 μm | B5: 1.55–1.68 μm | B5: 0.845–0.885 μm | ||
| B6: 2.08–2.35 μm | B6: 0.900–0.920 μm | |||
| B7: 3.5–4.8 μm | B7: 1.35–1.40 μm | |||
| B8: 10.5–11.4 μm | B8: 1.58–1.64 μm | |||
| B9: 11.5–12.5 μm | B9: 2.21–2.29 μm | |||
| Nadir pixel resolution | 16 m | 48 m (0.45–0.92 μm) 96 m (0.90–2.50 μm) | 48 m (B1–B5) 96 m (B6–B9) | 6 km |
| Swath width | 800 km | 96 km | 720 km | 800 km |
| Total field of view (FOV) | 62.6° | 8.52° | 60° | 65° |
| Calibration accuracy | Absolute: ≤7% Relative: ≤3% | Absolute: ≤7% Relative: ≤3% | B1–B6: absolute ≤7%; relative ≤3% | Radiance: ≤7% DOLP: ≤0.005 |
| Parameters | Range | Step Size | Number |
|---|---|---|---|
| Altitude | 0−4 km | 1 km | 5 |
| SZA | 0−80° | 5° | 17 |
| VZA | 0−65° | 5° | 14 |
| RAA | 0−180° | 10° | 19 |
| CWV | 0−10 | 1 | 11 |
| AOD | 0.0−0.2 | 0.05 | 5 |
| 0.2−1.0 | 0.1 | 8 | |
| 1.0−2.0 | 0.2 | 5 | |
| 2.0−2.9 | 0.3 | 3 | |
| Aerosol model | 6 types | 6 |
| Imaging Location | Imaging Time | AOD CWV (g/cm2) | Band | Measured Reflectance | ACSR | Absolute Error |
|---|---|---|---|---|---|---|
| Dunhuang site | 25 January 2021 (HJ-2B) | AOD = 0.247 CWV = 0.33 | B1 | 0.2095 | 0.1952 | 0.0143 |
| B2 | 0.2498 | 0.2301 | 0.0197 | |||
| B3 | 0.2708 | 0.2556 | 0.0152 | |||
| B4 | 0.2707 | 0.2536 | 0.0171 | |||
| B5 | 0.2796 | 0.2679 | 0.0117 | |||
| Dunhuang site | 27 January 2021 (HJ-2A) | AOD = 0.273 CWV = 0.28 | B1 | 0.2143 | 0.1902 | 0.0241 |
| B2 | 0.2428 | 0.2446 | 0.0018 | |||
| B3 | 0.2687 | 0.2722 | 0.0035 | |||
| B4 | 0.2677 | 0.2605 | 0.0072 | |||
| B5 | 0.2746 | 0.2788 | 0.0042 | |||
| High-reflectance site | 25 January 2021 (HJ-2B) | AOD = 0.225 CWV = 0.29 | B1 | 0.2615 | 0.2634 | 0.0019 |
| B2 | 0.3261 | 0.3176 | 0.0085 | |||
| B3 | 0.3747 | 0.3667 | 0.008 | |||
| B4 | 0.3815 | 0.3664 | 0.0151 | |||
| B5 | 0.4005 | 0.3911 | 0.0094 | |||
| High-reflectance site | 27 January 2021 (HJ-2A) | AOD = 0.228 CWV = 0.25 | B1 | 0.2683 | 0.2631 | 0.0052 |
| B2 | 0.3261 | 0.3354 | 0.0199 | |||
| B3 | 0.375 | 0.3954 | 0.0204 | |||
| B4 | 0.383 | 0.3826 | 0.0004 | |||
| B5 | 0.3982 | 0.415 | 0.0168 | |||
| Wheat field | 23 March 2021 (HJ-2B) | AOD = 0.628 CWV = 2.35 | B1 | 0.0423 | 0.0539 | 0.0116 |
| B2 | 0.0612 | 0.0746 | 0.0134 | |||
| B3 | 0.0339 | 0.0499 | 0.0161 | |||
| B4 | 0.1667 | 0.1597 | 0.0070 | |||
| B5 | 0.4349 | 0.4053 | 0.0296 | |||
| Wheat field | 25 March 2021 (HJ-2A) | AOD = 0.453 CWV = 1.53 | B1 | 0.0424 | 0.0533 | 0.0109 |
| B2 | 0.0582 | 0.0694 | 0.0112 | |||
| B3 | 0.0331 | 0.0429 | 0.0098 | |||
| B4 | 0.1627 | 0.1521 | 0.0106 | |||
| B5 | 0.4301 | 0.4129 | 0.0172 | |||
| River water | 23 March 2021 (HJ-2B) | AOD = 0.599 CWV = 2.14 | B1 | 0.0612 | 0.0793 | 0.0181 |
| B2 | 0.0909 | 0.1085 | 0.0176 | |||
| B3 | 0.0927 | 0.1015 | 0.0088 | |||
| B4 | 0.0820 | 0.0943 | 0.0123 | |||
| B5 | 0.0414 | 0.0541 | 0.0127 | |||
| River water | 25 March 2021 (HJ-2A) | AOD = 0.439 CWV = 1.40 | B1 | 0.0623 | 0.0792 | 0.0169 |
| B2 | 0.0890 | 0.1038 | 0.0148 | |||
| B3 | 0.0910 | 0.0927 | 0.0017 | |||
| B4 | 0.0841 | 0.0756 | 0.0085 | |||
| B5 | 0.0422 | 0.0485 | 0.0063 |
| Sentinel-2 | HJ-2A/B | ||||||
|---|---|---|---|---|---|---|---|
| Name | Center (nm) | Spectral Width (nm) | SR (m) | Name | Center (nm) | Band Width (nm) | SR (m) |
| B2 | 490 | 65 | 10 | B1 | 485 | 70 | 16 |
| B3 | 560 | 35 | 10 | B2 | 555 | 70 | 16 |
| B4 | 665 | 30 | 10 | B3 | 660 | 60 | 16 |
| B5 | 705 | 15 | 20 | B4 | 710 | 40 | 16 |
| B8 | 842 | 115 | 10 | B5 | 830 | 120 | 16 |
| Imaging Location | Imaging Time | Band | SR of Sentinel-2 | SR of HJ-2A/B | Absolute Error |
|---|---|---|---|---|---|
| Indian Plains bare soil (21.0601°N, 80.0198°E) | 25 November 2022 (HJ-2B) and 24 November 2022 (S2A) | B1 | 0.0981 | 0.0941 | 0.0040 |
| B2 | 0.1346 | 0.1219 | 0.0127 | ||
| B3 | 0.1966 | 0.1689 | 0.0277 | ||
| B4 | 0.2288 | 0.2144 | 0.0144 | ||
| B5 | 0.2995 | 0.2733 | 0.0262 | ||
| Indian Plains water body (21.0527°N, 80.0262°E) | 25 November 2022 (HJ-2B) and 24 November 2022 (S2A) | B1 | 0.0569 | 0.0560 | 0.0009 |
| B2 | 0.0744 | 0.0635 | 0.0111 | ||
| B3 | 0.0607 | 0.0502 | 0.0105 | ||
| B4 | 0.0598 | 0.0488 | 0.0110 | ||
| B5 | 0.0363 | 0.0493 | 0.0130 | ||
| Airport apron (39.4986°N, 116.4341°E) | 14 November 2022 (HJ-2A) and 15 November 2022 (S2A) | B1 | 0.2950 | 0.2734 | 0.0216 |
| B2 | 0.3521 | 0.3200 | 0.0321 | ||
| B3 | 0.3822 | 0.3541 | 0.0279 | ||
| B4 | 0.3917 | 0.3493 | 0.0424 | ||
| B5 | 0.3886 | 0.3563 | 0.0323 | ||
| Bare soil below airport (39.4802°N, 116.4012°E) | 14 November 2022 (HJ-2A) and 15 November 2022 (S2A) | B1 | 0.0659 | 0.0844 | 0.0185 |
| B2 | 0.0994 | 0.0982 | 0.0012 | ||
| B3 | 0.1546 | 0.1347 | 0.0199 | ||
| B4 | 0.1791 | 0.1753 | 0.0038 | ||
| B5 | 0.2315 | 0.2252 | 0.0063 | ||
| Buildings in Xianning (29.8952°N, 114.3308°E) | 23 December 2022 (HJ-2A) and 25 December 2022 (S2A) | B1 | 0.1914 | 0.1779 | 0.0135 |
| B2 | 0.2147 | 0.1972 | 0.0175 | ||
| B3 | 0.2305 | 0.1948 | 0.0357 | ||
| B4 | 0.2405 | 0.1994 | 0.0411 | ||
| B5 | 0.2391 | 0.2192 | 0.0199 | ||
| Vegetation in Xianning (29.9119°N, 114.3410°E) | 23 December 2022 (HJ-2A) and 25 December 2022 (S2A) | B1 | 0.0328 | 0.0361 | 0.0033 |
| B2 | 0.0535 | 0.0435 | 0.0010 | ||
| B3 | 0.0378 | 0.0321 | 0.0057 | ||
| B4 | 0.0857 | 0.1097 | 0.0240 | ||
| B5 | 0.2723 | 0.2326 | 0.0397 |
Disclaimer/Publisher’s Note: The statements, opinions and data contained in all publications are solely those of the individual author(s) and contributor(s) and not of MDPI and/or the editor(s). MDPI and/or the editor(s) disclaim responsibility for any injury to people or property resulting from any ideas, methods, instructions or products referred to in the content. |
© 2025 by the authors. Licensee MDPI, Basel, Switzerland. This article is an open access article distributed under the terms and conditions of the Creative Commons Attribution (CC BY) license (https://creativecommons.org/licenses/by/4.0/).
Share and Cite
Huang, H.; Wang, Y.; Liu, X.; Ti, R.; Sun, X.; Liu, Z.; Lei, X.; Lin, J.; Fan, L. Synchronous Atmospheric Correction of Wide-Swath and Wide-Field Remote Sensing Image from HJ-2A/B Satellite. Remote Sens. 2025, 17, 884. https://doi.org/10.3390/rs17050884
Huang H, Wang Y, Liu X, Ti R, Sun X, Liu Z, Lei X, Lin J, Fan L. Synchronous Atmospheric Correction of Wide-Swath and Wide-Field Remote Sensing Image from HJ-2A/B Satellite. Remote Sensing. 2025; 17(5):884. https://doi.org/10.3390/rs17050884
Chicago/Turabian StyleHuang, Honglian, Yuxuan Wang, Xiao Liu, Rufang Ti, Xiaobing Sun, Zhenhai Liu, Xuefeng Lei, Jun Lin, and Lanlan Fan. 2025. "Synchronous Atmospheric Correction of Wide-Swath and Wide-Field Remote Sensing Image from HJ-2A/B Satellite" Remote Sensing 17, no. 5: 884. https://doi.org/10.3390/rs17050884
APA StyleHuang, H., Wang, Y., Liu, X., Ti, R., Sun, X., Liu, Z., Lei, X., Lin, J., & Fan, L. (2025). Synchronous Atmospheric Correction of Wide-Swath and Wide-Field Remote Sensing Image from HJ-2A/B Satellite. Remote Sensing, 17(5), 884. https://doi.org/10.3390/rs17050884

