Abstract
Accurate land use/land cover (LULC) classification and the detection of seasonal dynamics are crucial for effective environmental monitoring and resource management. To improve the precision and temporal resolution of regional LULC classification products, this study combined the Otsu threshold method and Random Forest algorithm to generate a 10 m-resolution land cover classification map for Wensu County based on Sentinel-2 imagery, with a particular focus on orchard categories, and investigated the seasonal dynamics of LULC between winter and summer. The results show that the overall accuracy (OA) of the water and snow/ice models was 85.50%, with a Kappa coefficient of 0.8088; for the vegetation model, the OA was 93.77%, with a Kappa coefficient of 0.8755. Feature importance analysis indicated that terrain features were key factors in improving classification performance. Seasonal dynamics analysis showed that the snow/ice coverage area in winter increased by 6379.18 square kilometers compared to that in summer, with 5252.85 km2 of bare land and 910.66 km2 of grassland being covered by snow/ice. Meteorological data analysis revealed that land cover changes caused by winter snowfall were primarily concentrated in areas where temperatures exceeded −8 °C, while land cover changes were smaller in areas with either low or high precipitation. These findings provide valuable data support for regional resource management and agricultural development.
1. Introduction
Global climate change constitutes a primary challenge for contemporary society, exerting extensive effects on both environmental systems and human activities [1]. In particular, rising temperatures, altered precipitation patterns, and the increasing frequency of extreme weather events have profound impacts on ecosystems, agriculture, and water resource management [2]. These impacts are especially pronounced in arid and semi-arid regions, where complex topography and significant climatic heterogeneity exacerbate the vulnerability of ecosystems and human livelihoods to climate variability. For example, in regions with high dependence on seasonal snow accumulation and spring snowmelt, such as those characterized by significant elevation gradients, the availability of water resources is closely tied to winter snow cover and its subsequent melting. These dynamics directly influence agricultural practices, grassland dynamics, and the transformation between bare land and vegetated areas, making the study of land use/land cover (LULC) changes in these regions particularly critical [3]. Simultaneously, annual LULC data are increasingly inadequate for contemporary research and practical needs, as they do not effectively capture rapid changes or seasonal variations in vegetation growth, water body freezing, and snow cover [4,5]. To address these limitations, it is essential to improve the temporal resolution of LULC data and enhance classification accuracy [6,7,8]. Investigating seasonal variations in LULC is therefore becoming increasingly important [9,10]. In the context of climate change, assessing the seasonal responses of water bodies and snow cover is essential for effective agricultural management and water resource planning [11,12,13].
With the rapid advancement of artificial intelligence, the application of machine learning in land cover classification has gained increasing prominence, particularly in managing high-dimensional and multi-source data. Among various methodologies, deep learning methods—especially Convolutional Neural Networks (CNNs)—have demonstrated remarkable efficacy in pixel-level analysis of high-resolution imagery [14]. CNNs are highly effective in automatic feature extraction, particularly for high-resolution imagery such as that in urban environment monitoring and intricate terrain analysis [15,16]. In contrast, the Random Forest (RF) algorithm has also found widespread application in land cover classification, thanks to its unique advantages as an ensemble learning method. By constructing a multitude of decision trees, RF exhibits substantial adaptability and robustness, particularly in scenarios involving high-dimensional remote sensing data and relatively small, labeled datasets [17]. Moreover, RF offers clear feature importance metrics, facilitating a comprehensive understanding of each feature’s contribution to classification outcomes while maintaining a relatively high level of computational efficiency [18,19]. Nevertheless, reliance solely on RF may pose challenges, including suboptimal initial classifications and diminished computational efficiency. In the context of high-dimensional data, the construction and evaluation of decision trees can incur significant computational costs, with initial classification results often necessitating further refinement to enhance overall accuracy. To address these challenges, combining thresholding methods with Random Forest (RF) presents an effective strategy. As an unsupervised classification technique, thresholding enables rapid preliminary classification by applying designated thresholds, effectively distinguishing between different land cover types [20]. The Otsu thresholding method automatically determines the optimal threshold by maximizing the difference between classes [21]. Compared to other traditional thresholding methods, it reduces the subjectivity of manually setting thresholds, making the image segmentation process more objective and consistent [22,23,24]. Therefore, integrating the results of Otsu thresholding with the RF model allows for further refinement of the classification, significantly improving accuracy [25]. This synergistic approach not only enhances classification efficiency but also strengthens the adaptability of the RF model to complex surface environments. Additionally, by developing multiple RF models tailored to specific feature types, complex classification tasks can be decomposed into more manageable sub-tasks. Each model focuses on particular features, thereby reducing bias and errors while enhancing the overall robustness of the classification process.
Effective feature selection is crucial for achieving accurate and robust results in land cover classification [26]. Research indicates that spectral, texture, and topographical features significantly influence classification outcomes across diverse environmental contexts [27,28]. Spectral features, especially those from the near-infrared and red light bands, are particularly effective in distinguishing vegetation types [29]. High-resolution data from sources like Sentinel-2 enhance classification in complex terrains [30]. Spectral indices such as the Normalized Difference Vegetation Index (NDVI) and the Normalized Difference Water Index (NDWI) are invaluable tools for enhancing specific land cover characteristics. The NDVI is widely used to monitor vegetation health, while the NDWI aids in identifying water bodies [31,32]. These indices improve the separability of land cover types, particularly in regions with intricate LULC intermingling. However, relying solely on spectral features can be insufficient in complex environments where spectral overlap occurs. Texture features provide essential information about spatial relationships among pixels, aiding in differentiating land cover types with similar appearances but different spectral characteristics [33]. Metrics derived from the Gray-level Co-occurrence Matrix (GLCM) demonstrate high discriminative power in land cover types with insignificant spectral differences [34]. Topographical features, such as elevation, slope, and aspect, are also vital in regions with complex terrain, enhancing model adaptability [35]. Therefore, a multi-scale and multi-dimensional approach to feature selection is essential for constructing a scientific dataset. This approach significantly impacts the accuracy of classification results by leveraging the diverse and complementary strengths of different feature types.
Our study area features important agricultural zones with complex landscapes. Compared to other cultivated regions in northern China, this area features extensive orchards and relies heavily on irrigation. Therefore, accurately identifying key areas such as arable land, orchards, and water bodies is essential for optimizing agricultural development, managing watershed water resources effectively, and improving irrigation infrastructure. Existing 10 m-resolution LULC products often struggle to differentiate between orchards and arable land, leading to inconsistent accuracy across different regions. Additionally, these products generally offer annual data, which do not capture the seasonal variations in LULC, particularly in areas with substantial glaciers and snow cover. The objectives of this paper are as follows: (1) develop an integrated method using Sentinel-2 data for accurate LULC classification in areas with complex landscapes; (2) enhance the differentiation between arable land and orchards, as well as the monitoring of seasonal changes in glaciers, snow cover, and water bodies; and (3) produce high-resolution LULC products that provide valuable data for ecosystem assessments, industry evaluations, and agricultural planning. The proposed approach is expected to be applicable in other regions, particularly those with similar landscape complexities.
2. Materials and Methods
2.1. Study Area
Wensu County, located between the latitudes 40°52′ and 42°15′N and longitudes 79°28′ and 81°30′E in the Aksu Prefecture of the Xinjiang Uygur Autonomous Region, China, spans an area of 14,569.3 km2 (Figure 1). The region’s land cover is primarily dominated by extensive stretches of bare land and scattered oases. The oases are vital ecological and agricultural zones, situated mainly along river systems originating from the glacier-covered mountains in the northern part of the county. These fertile areas support vegetation and agricultural activities, standing in stark contrast to the surrounding arid landscapes. The area experiences a typical continental climate, with average annual precipitation below 200 mm, largely confined to the summer months. Temperature fluctuations are significant, with spring (March to May) marked by rising temperatures and occasional precipitation, while summer (June to August) is hot and dry. In autumn (September to November), temperatures gradually decrease, and winters (December to February) are cold and dry. This climatic variability, combined with complex topography, leads to substantial heterogeneity in land cover across the county.
Figure 1.
The study area in Sentinel-2 (Standard False Color Composite, B8/B4/B3).
The study area features a distinct elevation gradient, transitioning from flat arid plains to glacier-covered mountains, leading to significant spatiotemporal heterogeneity in land cover. This topographic variability complicates classification, particularly due to the interwoven distribution of orchards and croplands, diverse tree species, and their overlapping spectral characteristics. These factors create indistinct class boundaries, reducing classification accuracy and stability. To address these challenges, it is essential to develop classification methods that account for complex terrain and high environmental heterogeneity, improving both precision and applicability.
2.2. LULC Classification Scheme
LULC products, whether evaluated on a global or national scale, generally exhibit high overall accuracy. However, their generalized classification schemes often lack the local precision required to address the specific needs of various study areas [36,37]. This limitation is particularly evident in annual-scale products, which may not adequately capture the temporal variability of LULC changes within specific regions [38,39]. In regions dominated by irrigated agriculture, precise LULC classification and the analysis of seasonal variations are crucial for effective agricultural planning and yield estimation. The accurate delineation of LULC types and understanding their seasonal dynamics are essential for optimizing local agricultural practices and forecasting crop yields. In this study, a detailed classification system was developed, identifying key LULC categories within the study area, including water, snow/ice, forests, grasslands, croplands, orchards, impervious surfaces, and bare land. In constructing and validating this classification, an initial sample set was created through the visual interpretation of summer Sentinel-2 imagery.
This sample set underwent rigorous cross-validation and was reviewed by multiple experts to ensure both accuracy and representativeness. To capture the spatial variability of the study area, a stratified random sampling approach was employed. The region was divided into distinct strata based on land cover types and topographic features, ensuring the comprehensive coverage of all land cover types and topographic variations. The sample size was carefully selected, taking into account the spatial heterogeneity of the area, with particular attention to key land cover types such as croplands, orchards, grasslands, and snow/ice areas. Furthermore, the representativeness of the sample points was validated through cross-validation, confirming that the selected samples effectively reflected the overall variability of the study area. After thorough validation, a total of 1213 sample points were confirmed, representing diverse LULC types, as outlined in Table 1.
Table 1.
Classification system and samples.
2.3. Data
This research utilized a multi-source dataset, which primarily included the following categories: (1) Sentinel-2 surface reflectance data, employed for extracting spectral and textural features of the study area; (2) Digital Elevation Model (DEM) data, used for deriving topographic features; (3) Global 10m Land Use/Land Cover (LULC) product data, utilized for extracting impervious surface information within the study area; (4) meteorological data (including temperature and precipitation data), applied for analyzing the seasonal variations in land cover and their relationships with climatic factors; and (5) GF-2 data used as supplementary data, mainly used for subsequent classification validation and not involved in the classification process itself.
2.3.1. Sentinel-2 Surface Reflectance Data
The Sentinel-2 mission comprises two satellites, Sentinel-2A and Sentinel-2B, which together provide a revisit period of 5 days [40]. Due to its high spatial and temporal resolution, advanced multispectral imaging capabilities, and open access data, Sentinel-2 is widely utilized in various fields [41]. This study utilized Sentinel-2 imagery from 2021, accessed via the Google Earth Engine platform. Cloud masking was conducted using the QA60 band, and seasonal images were processed into median composites. The data spanned from 1 March 2021 to 28 February 2022. For the classification process, seasonal composite images were created from the Sentinel-2 data. The use of median composites was selected because they effectively reduced the influence of anomalous data that could have distorted surface feature representation. By applying medians, we obtained a more accurate representation of the typical surface state, as it was less affected by short-term fluctuations and provided greater stability.
2.3.2. Digital Elevation Model Data
The DEM data and their derived variables were highly correlated with LULC distribution, highlighting their importance as supplementary data in LULC classification [42]. This study utilized Shuttle Radar Topography Mission (SRTM) data, which offered a spatial resolution of 30 m. From this dataset, elevation, slope, aspect, and hillshade variables were extracted and used as features for classification.
2.3.3. Global 10m LULC Product
The ESA WorldCover 10m v200 dataset provides global land cover classifications at a 10 m resolution, based on Sentinel-1 and Sentinel-2 imagery, ensuring high spatial accuracy [43]. Similarly, the ESRI 10m Annual Land Cover dataset applies artificial intelligence techniques to Sentinel-2 data to generate reliable and detailed land cover information [44]. Both datasets, generated in 2021, were utilized to extract impervious surface areas within the study region.
2.3.4. Meteorological Data
Meteorological data provides a crucial background for analyzing seasonal land cover changes, particularly variations in temperature and precipitation. The data we used were sourced from researcher Peng Shouzhang, shared on the National Tibetan Plateau Data Center website [45]. In this study, the meteorological data were derived from the CRU global 0.5° climate dataset and the WorldClim high-resolution climate dataset. It was generated through the Delta spatial downscaling scheme and validated using 496 independent meteorological observation points, ensuring reliable results. The summer seasonal average data were derived from observations between June and August 2021, while the winter seasonal average data were based on observations from December 2021 to February 2022.
2.3.5. High-Resolution Auxiliary Data
The GF-2 satellite is an important satellite in China’s high-resolution remote sensing satellite series, equipped with both panchromatic and multispectral sensors. The spatial resolution of the panchromatic band is 2 m, while the spatial resolution of the multispectral bands is 8 m, covering blue, green, red, near-infrared, and shortwave infrared bands. To enhance the spatial resolution of the imagery, this study fused the panchromatic and multispectral bands, improving the resolution to 2 m, thus enhancing the ability to identify fine details of ground features. In this study, we used GF-2 imagery data from June to August 2021 as a reference for selecting Sentinel-2 image sample points. Additionally, we selected 30 independent sample points for each land cover type on the GF-2 imagery. These sample points were solely used for the validation of subsequent classification results and were not involved in the training of the classification model.
2.4. Preparation of Image Features
This study selected a combination of spectral bands, remote sensing indices, texture features, and terrain characteristics as input features for land cover classification. Specifically, the features included spectral bands from Sentinel-2, remote sensing indices, texture features extracted using the Gray-level Co-occurrence Matrix (GLCM), and terrain features derived from SRTM data. All the features selected—spectral, index-based, texture, and terrain ones—are summarized in Table 2.
Table 2.
Initial image features serving as potential predictors.
From Sentinel-2, nine spectral bands were selected, including those from the visible, near-infrared, and shortwave infrared regions (B2, B3, B4, B5, B6, B7, B8, B11, B12). These bands reflect various land cover characteristics, such as vegetation health, soil moisture, and water reflectance, and are particularly useful for distinguishing land cover types such as vegetation, water bodies, and bare soil. In addition, this study presents the spectral curves of the selected bands for different land cover types (Figure 2). These spectral curves illustrate the reflectance variations in each land cover type across the selected bands, providing a visual representation of the spectral characteristics. The analysis of these curves offered valuable insights for the subsequent selection of index features.
Figure 2.
Average spectral reflectance curves of LULC based on sample points.
Additionally, multiple remote sensing indices were calculated to enhance land cover differentiation. These indices included the Atmospheric Resistance Vegetation Index (ARVI), Normalized Difference Vegetation Index (NDVI), Bare Soil Index (BSI), Chlorophyll Absorption Ratio Index (CARI), Enhanced Vegetation Index (EVI), Green NDVI (GNDVI), Modified Normalized Difference Water Index (MNDWI), Modified Soil-Adjusted Vegetation Index (MSAVI), Normalized Difference Built-Up Index (NDBI), Normalized Difference Red-Edge Index (NDREI), Normalized Difference Water Index (NDWI), and Moisture Stress Index (MSI). These indices facilitated the differentiation of vegetation, water, bare soil, and urban areas.
Principal Component Analysis (PCA) was applied to reduce the dimensionality of the key spectral bands from Sentinel-2. The first three principal components explained 89.14%, 6.82%, and 3.58% of the total variance, respectively, accounting for over 98% in total. This reduction preserved the most representative spectral features while minimizing redundancy. For texture feature extraction, the GLCM method was used to derive multiple classic texture features from the PCA-reduced image. These features included contrast, correlation, variance, idm and ent, which reflected the spatial structure and geometry of land cover types. To optimize texture extraction, different window sizes (3 × 3; 5 × 5; 7 × 7; and 9 × 9) were compared, and the 5 × 5 window was found to capture more texture information, which was selected for final texture feature extraction.
Eight terrain features were extracted from the SRTM DEM, including elevation, Elevation_stdDev, slope, aspect, hillshade, ruggedness, northness, and eastness. These terrain features provided valuable information on the surface morphology of the study area and assisted in distinguishing different land cover types, particularly in mountainous or sloping areas where terrain characteristics play a significant role.
2.5. Methods
The LULC classification in this study was based on the extracted spectral, textural, and topographic features. Following feature extraction, a feature subset selection process was conducted using the Recursive Feature Elimination (RFE) method to identify the most informative features, thereby optimizing computational efficiency while maintaining classification performance. The classification process integrated the Otsu thresholding method and the Random Forest algorithm to produce the final LULC classification results, ensuring the robustness and reliability of land cover mapping. Accuracy assessment was performed using five-fold cross-validation to evaluate the model’s classification performance.
2.5.1. Integrating Otsu Thresholding and Random Forest
The Otsu thresholding method is a widely used automatic segmentation technique in remote sensing image classification, which determines the optimal threshold by maximizing the variance between classes, making it effective for distinguishing land cover types with significant spectral differences, particularly for categories such as water bodies and snow/ice with well-defined boundaries [46]. In contrast, the Random Forest (RF) algorithm, an ensemble learning method based on decision trees, is capable of handling high-dimensional and multi-class data, and its inherent randomness enhances the model’s generalization ability and stability [47,48]. However, in environments with complex land cover distributions, traditional RF classification methods may suffer from the effects of data noise and class imbalance, which can significantly limit classification accuracy.
In the study area, the overall land cover types exhibit clear boundaries, but at a local scale, fine-grained land cover classes are highly interspersed. The northern region is predominantly covered by snow and glaciers, characterized by well-defined boundaries, while the southern oasis area is mainly agricultural, with orchards and croplands intricately interwoven. The diversity in crop types, fruit tree varieties, and age structures results in highly mixed spectral features, increasing classification uncertainty. Furthermore, bare land is extensively distributed, with significant variability in surface features across different regions, leading to considerable reflectance changes and challenging spectral-based classification. In such complex conditions, traditional RF classification methods often struggle to accurately distinguish fine-grained land cover types, particularly in high-dimensional, multi-class data, where noise and data imbalance exacerbate the classification challenges.
The classification process is shown in Figure 3. The Otsu method was first employed to automatically determine the optimal segmentation threshold for water bodies and snow/ice regions, followed by the differentiation between bare land and vegetation in non-water and non-snow areas. This segmentation strategy effectively masked land cover classes with clear boundaries, reducing their interference in the classification process and allowing the RF model to focus on distinguishing spectrally similar and difficult-to-identify land cover types. The classification process consisted of three stages: (1) initial feature extraction, (2) segmentation threshold determination, and (3) feature selection and model construction.
Figure 3.
LULC classification workflow based on threshold methods and RF, including threshold selection, RF classification model building, and feature optimization through RFE. Green path: initial implementation. Red path: subsequent steps after green path.
In this study, to determine the appropriate index thresholds, we performed a comparative analysis of multiple indices based on boxplots of sample points (Figure 4). The results indicated the following: (1) the MNDWI and NDWI effectively distinguished between water/snow and ice and non-water/snow and -ice areas; (2) the NDVI, GNDVI, MSAVI, and NDREI all exhibited strong differentiation ability in distinguishing between vegetation and non-vegetation areas; (3) the MSI effectively differentiated between bare soil and other land cover types.
Figure 4.
Variability analysis of spectral indices for land cover sample points and threshold determination (a–l: various indices).
To improve classification accuracy and enhance the differentiation of land cover types, we constructed new indices based on the performance of the aforementioned indices. These new indices were designed to more precisely capture the characteristics of specific land cover types and optimize segmentation results. For distinguishing between water/ice and non-water/ice areas, despite the potential of other index combinations, the Snow/Ice/Water Enhancement Index (SIWEI) performed the best. It effectively suppressed background interference, particularly from bare soil and other non-water classes, and accurately differentiated between water/ice and non-water/ice areas. Similarly, for non-water and -ice areas, the Bare Soil Moisture Index (BSMI) was effective in distinguishing between bare soil and vegetation. Specifically, the SIWEI was constructed using the combination of the MNDWI and MSAVI, expressed as
and the BSMI was formed using the MSI and NDVI, expressed as
Through the histogram analysis of both indices (Figure 5), we applied Otsu’s method to determine the optimal threshold for the SIWEI as 0.211 and for the BSMI as 0.532.
Figure 5.
Histograms of SIWEI and BSMI for threshold determination: (a) SIWEI and (b) BSMI.
2.5.2. Recursive Feature Elimination Method
In this study, we first standardized all features and employed Recursive Feature Elimination (RFE) to select the most influential features, aiming to reduce overfitting and enhance model accuracy [49]. Multidimensional datasets often contain highly correlated redundant features, which provide no additional information and may introduce noise, thus increasing model uncertainty. By applying the RFE method, we effectively eliminated these redundant features, enabling the model to focus on inputs that were truly relevant to the target variable. This approach reduced error and improved classification performance. Furthermore, the reduction in feature dimensions lowered model complexity, enhancing its robustness to noise and minimizing the risk of overfitting. Ultimately, this feature selection process allowed the model to concentrate on the most critical variables, thereby improving its stability and precision.
2.5.3. Model Validation
To assess the classification accuracy of the RF model, k-fold cross-validation, a widely recognized technique for model validation, was applied [50]. In this study, k was set to 5. The dataset was partitioned into 5 subsets, and in each iteration, 4 subsets were used for model training, while the remaining subset served as the test set. This process was repeated 5 times, with each subset serving as the test set once [51]. The average performance metrics across all iterations were then calculated. This approach provided a robust evaluation of the model’s stability and performance across various training and testing splits, thereby minimizing potential biases introduced by random data partitioning.
Additionally, several key metrics derived from the confusion matrix, such as the producer’s accuracy (PA), user’s accuracy (UA), overall accuracy (OA), and Kappa coefficient, were employed in this study to rigorously assess the model’s classification performance. These metrics provided a detailed evaluation of both the model’s accuracy and its ability to differentiate between different land cover types.
Here, TP represents True Positives, FN stands for False Negatives, FP denotes False Positives, and TN refers to True Negatives. The term indicates the observed agreement, which is the proportion of correctly classified samples along the diagonal of the confusion matrix. In contrast, represents the expected agreement, which is the probability of random agreement based on the marginal probabilities of each class.
3. Results
3.1. Feature Importance for Enhanced LULC Classification
After performing RFE separately for the vegetation and non-vegetation regions, the optimal number of features was determined, as illustrated in Figure 6. These feature subsets, when combined, yielded the highest classification accuracy. The results demonstrate that, for the WSI_RF model evaluation, only 20 features were identified as critical to the classification process, with the optimal point occurring at (20, 0.8550). In the VGE-RF model evaluation, 23 features were selected, with the optimal point at (23, 0.9377). Beyond the optimal points, the accuracy exhibited fluctuations as the number of features increased, indicating that the presence of irrelevant or redundant features did not contribute to the improvement in classification performance, thus necessitating their removal.
Figure 6.
Plot of overall accuracy vs. number of features.
The features used for classification included nine original image bands, twelve spectral indices, eighteen texture features, and eight terrain features. Figure 7 illustrates the relative importance scores of these final input features in differentiating land cover categories. Figure 7a presents the importance ranking of the input features for the VGE model. Among the 23 features, the dataset included nine spectral bands, 11 indices, and three terrain features but no texture features. Elevation and elevation_stdDev were identified as the most critical features, followed by Bands 5 and 11, with Band 3 also showing notable importance. Among the indices, the MNDWI and NDBI were particularly valuable for distinguishing vegetation types. Figure 7b illustrates the importance ranking of input features for the WSI model. Of the 20 features, the dataset comprised seven spectral bands, five indices, four texture features, and four terrain features. Band 3 was the most influential, followed by slope and elevation. Other significant bands included Bands 2, 7, 5, and 4. The most critical index feature was the BSI, while the texture features, all derived from the first principal component, included metrics such as corr, var, asm, and ent.
Figure 7.
Feature importance scores of selected features following RFE. (a) Feature importance for VGE_RF model. (b) Feature importance for WSI_RF model.
3.2. Classification Accuracy
In the model training process, we utilized the Python 3.12.2 programming language and the Scikit-learn library to implement the Random Forest (RF) model, accompanied by hyperparameter optimization. Specifically, we employed the GridSearchCV function for grid search, allowing for a systematic exploration of the hyperparameter space and evaluation of various parameter combinations to identify the optimal configuration. In both the WSI_RF and VGE_RF models, key parameters such as the number of trees (n_estimators) and the maximum depth of the trees (max_depth) were carefully tuned. After optimization, the number of trees for the WSI_RF model was set to 80, with a maximum depth of 20, while for the VGE_RF model, the number of trees was set to 100, with a maximum depth of 50.
We applied five-fold cross-validation, generating a confusion matrix for each fold. The final classification confusion matrix, presented in Table 3, was derived by aggregating the matrices from each fold. Based on these matrices, the producer’s accuracy (PA) and user’s accuracy (UA) for the water body class were 94.87% and 92.50%, respectively, demonstrating a high level of classification accuracy. For the snow/ice class, the PA and UA were 92.86% and 95.12%, respectively. The PA and UA for the forest class were 84.81% and 90.91%, reflecting relatively low misclassification within this category. The grassland class exhibited PA and UA values of 83.93% and 85.29%, indicating a robust classification performance and the model’s ability to effectively distinguish grassland from other land cover types. The PA and UA for the cropland class were 84.95% and 88.89%, respectively, indicating satisfactory classification accuracy. However, the orchard category displayed a PA of 88.74% but a relatively lower UA of 77.16%, indicating suboptimal user accuracy for this class. This discrepancy may be attributed to the spectral similarity between orchards and other classes, such as cropland and grassland, leading to higher misclassification rates, particularly where orchards were misclassified as cropland or grassland.
Table 3.
Confusion matrix of water and snow/ice.
To further assess the performance of the classification models, we calculated the OA and Kappa coefficient (Table 4). Both models demonstrated high classification accuracy, with the WSI_RF model achieving an OA of 85.50% and the VGE_RF model reaching an OA of 93.77%. Additionally, the Kappa coefficient for the WSI_RF model was 0.8088, while the VGE_RF model had a Kappa coefficient of 0.8755, indicating a strong agreement between the model’s classification results and the actual data. In the validation of the bare land class, 173 sample points were correctly classified, resulting in an OA of 96.11%. These results further demonstrate the rationality of the newly constructed indices and thresholds.
Table 4.
Model performance: OA and Kappa.
The GF-2 sample points selected in this study were used to validate both our classification results and those of the ESA product. Table 5 presents the number of correctly classified samples for each land cover category. Our classification achieved an overall accuracy of 85.24%, compared to 72.85% for the ESA product. Notably, our approach demonstrated higher accuracy in the classification of vegetation and water bodies. The number of correctly classified samples for the ice/snow and bare land categories was comparable to that of the ESA product. These findings further confirm the reliability of our classification results.
Table 5.
Validation of classification results based on GF-2 sample dataset: correctly classified samples per class.
3.3. LULC Mapping of Wensu County
Extracting impervious surfaces is challenging due to spectral variability, the complex nature of buildings and structures, and the fragmented distribution of road networks. To overcome these challenges, this study integrated impervious surface data from the ESA WorldCover 10m v200 and ESRI LULC 10m datasets. A combined dataset was used to delineate impervious surfaces within the study region (Figure 8).
Figure 8.
Impervious surface of ESRI and ESA datasets. (a) ESA2021. (b) ESRI2021. (c) ESRI merged with ESA.
An LULC classification map of Wensu County for the summer of 2021 was generated (Figure 9). Wensu County displays marked spatial variations in LULC between its northern and southern regions, reflecting distinct geographical and climatic conditions. The northern area is dominated by the Tianshan Mountains, characterized by complex topography and high elevations. This region is predominantly covered by extensive snow and ice, particularly at higher altitudes. The valleys in this area feature a mosaic of grasslands and forests. Grasslands are primarily found in valley bottoms and flatter terrains, supporting pastoral activities, while forests are concentrated on steeper slopes and rugged terrains. The water bodies in this region are largely sustained by glacial meltwater, with the Kumalak River flowing in from the east along the county’s boundary and several minor streams winding through the central region.
Figure 9.
An LULC thematic map for the Wensu region in the summer of 2021.
In stark contrast, the southwestern and central–southern regions are dominated by oasis landscapes. These areas are predominantly covered by arable land, orchards, and impervious surfaces, reflecting intensive agricultural and urban activities. The topography here is relatively flat compared to the northern mountainous region, and water bodies are scattered within the oasis areas, primarily fed by irrigation systems rather than natural glacial sources.
The summer area statistics for each land cover type are presented in Table 6, under the “Sum_Area” column. Among these, the largest area is bare land, covering 11,750.89 km2, followed by snow/ice at 3131.83 km2. For vegetation types, grassland and cropland occupy the largest areas, at 1416.52 km2 and 1373.01 km2, respectively. The orchard area is 860.51 km2, the forest area is 219.32 km2, the water body area is 90.31 km2, and the area of impervious surfaces is 302.94 km2.
Table 6.
Seasonal LULC change matrix (Km2).
3.4. Seasonal Variation Analysis
The seasonal variations in snow/ice and water bodies within the study area, based on the Otsu thresholding method and the WS_RF model, are shown in Figure 10. The spatial distribution of these features is influenced by meteorological factors such as temperature and precipitation, resulting in similar patterns between spring and autumn. In autumn, river water bodies expand compared to those in spring, while snow and ice in the northern regions are more extensive and denser in spring. Summer is characterized by the largest coverage of water bodies and minimal snow and ice. Snow and ice coverage decreases significantly from north to south, with some snow persisting in the southern oasis regions.
Figure 10.
Water and snow/ice seasonal changes. (a) Spring. (b) Summer. (c) Autumn. (d) Winter.
To further quantify the seasonal LULC changes between winter and summer, an LULC change matrix (Table 6) was constructed, illustrating the transitions in land cover types from summer to winter. The results reveal a significant increase in both water bodies and snow/ice coverage, while vegetated areas and bare land experienced relatively minor changes. Specifically, the area of water bodies expanded by 240.99 km2. Snow/ice coverage, on the other hand, increased by 6379.18 km2, with 5252.85 km2 of bare land and 910.66 km2 of grassland being covered by snow/ice. Furthermore, small portions of other vegetated areas were also partially covered by snow. This pattern indicates a notable shift in land cover, with snow and ice encroaching upon previously non-snow-covered areas.
Seasonal land use/land cover (LULC) changes were monitored using classification maps from winter and summer, with the spatial variations in land cover presented in Figure 11. The LULC changes in the study area are primarily driven by the coverage of snow during the winter season. In the southern region, where snow cover is limited, snow does not significantly impact other land cover types, resulting in minimal changes in LULC types. In contrast, in the northern mountainous areas, snow cover increases significantly, extensively covering forest and grassland areas. This snow cover advances southward, impacting parts of the oasis region and the bare land in the northern forest and grassland areas. These changes lead to a clear north–south gradient in the spatial distribution of LULC types.
Figure 11.
Spatial distribution of seasonal LULC changes.
Based on the land cover change data obtained, we spatially overlaid meteorological data to generate Figure 12. This figure illustrates the climatic characteristics of Wensu County from December 2021 to February 2022. Figure 12a shows the winter temperature variations in the study area, where the lowest temperature reached −31.4 °C and the highest temperature was −1.5 °C, resulting in a temperature range of 29.9 °C. The low-temperature zones are primarily concentrated in the high-altitude mountainous areas in the north. As the altitude decreases, temperatures in the valleys rise. Overall, the temperature shows an increasing trend from north to south, with the highest temperatures observed in the southernmost parts of the study area. This temperature distribution directly impacts human activity patterns, with southern areas, due to their higher temperatures and favorable environmental conditions, becoming the main regions for human activities and showcasing a wider variety of land cover types.
Figure 12.
Spatial overlay of changing snow and ice with temperature and precipitation patterns. (a) Winter temperature, (b) spatial distribution of snow and ice with temperature, (c) winter precipitation, and (d) spatial distribution of snow and ice with precipitation.
Figure 12c presents the winter precipitation levels, with the lowest value recorded at 0.6 mm and the highest at 4.3 mm. Higher-precipitation areas are mainly located in the northern regions, with a clear decreasing trend from north to south. Regions with higher temperatures and precipitation experience minimal land cover changes, where snow and glaciers effectively cover the area. However, in the transition zones between the northern and southern regions, the winter snow-covered area significantly expands, covering forests, grasslands, and bare lands. Figure 12b displays changes in snow cover, primarily concentrated in the low-temperature valleys and bare lands, extending southward. This phenomenon further reflects the impact of climatic factors on land cover types. In Figure 12d, a significant positive correlation is shown between precipitation and changes in snow cover. Specifically, areas with higher precipitation often have larger snow-covered areas, indicating that precipitation plays a crucial role in the formation and variation in snow cover. Additionally, the main rivers in the southern regions experience freezing due to temperatures falling below zero degrees, providing important information for understanding regional hydrological processes.
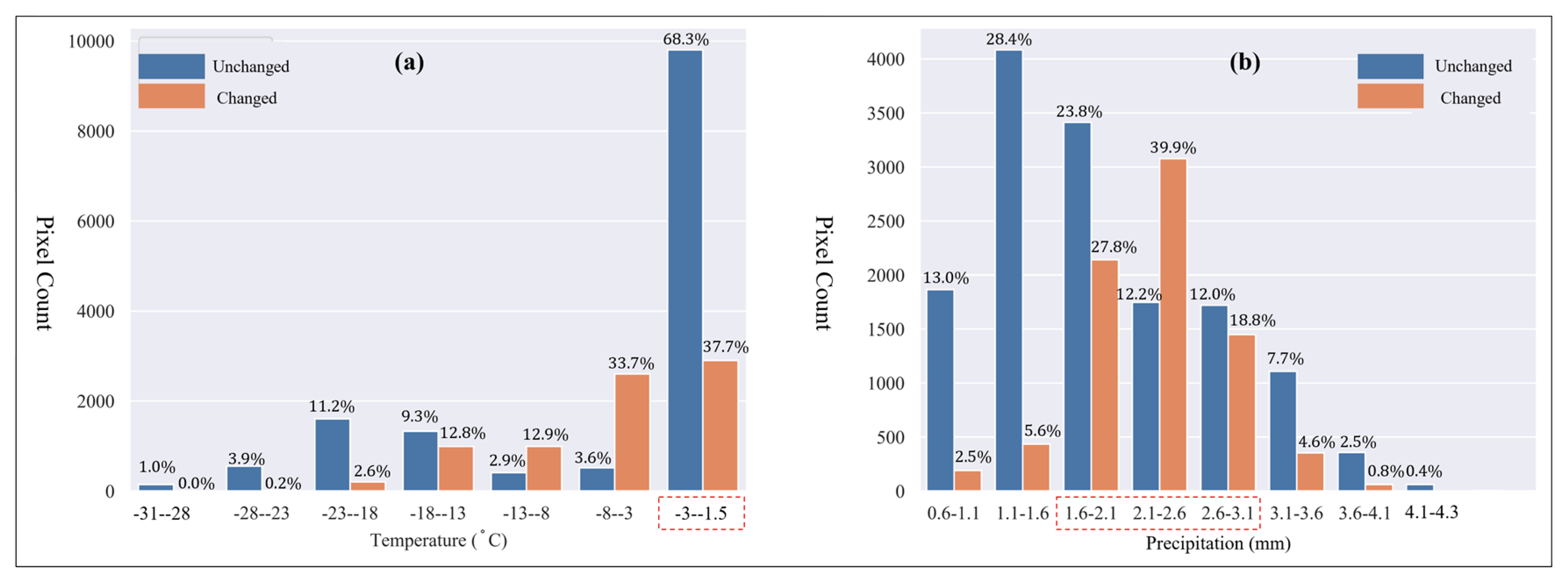
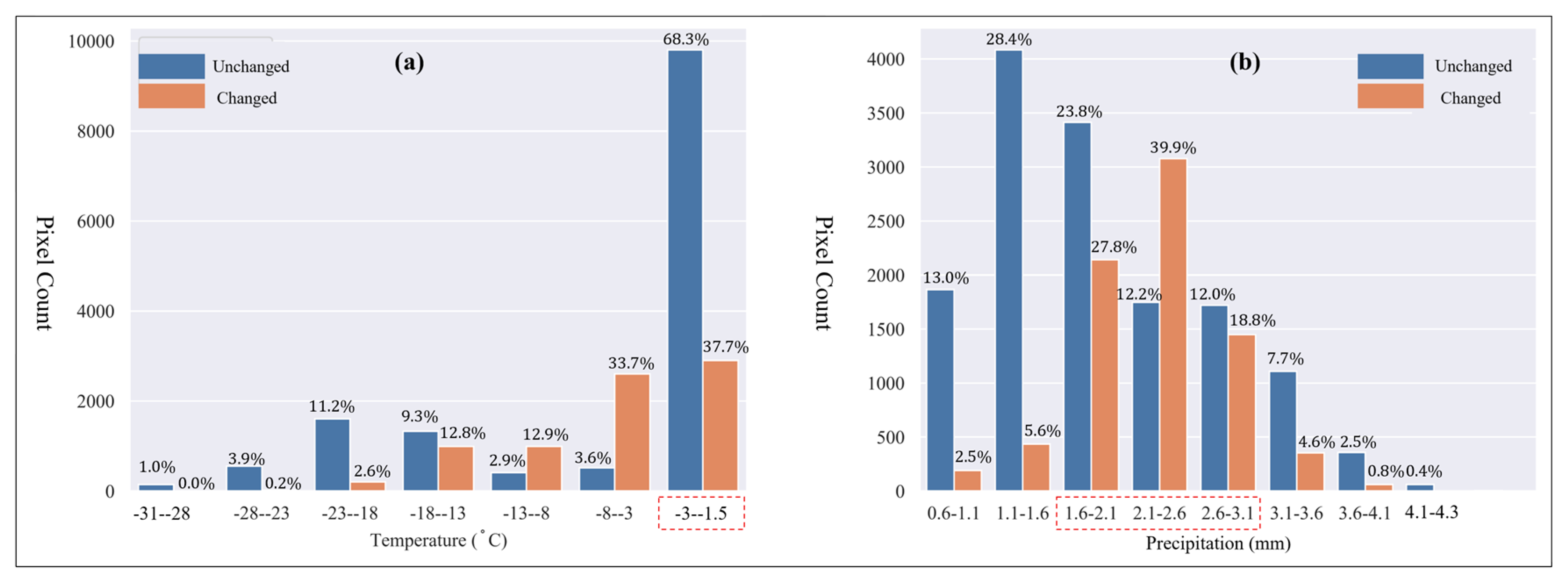
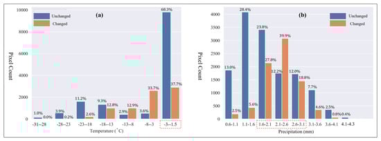
To quantitatively characterize these changes, we calculated the number of pixels representing snow and ice changes at different temperature and precipitation levels, as shown in Figure 13. By deeply analyzing pixel change patterns, we revealed the distribution characteristics of changed and unchanged pixels under various temperature and precipitation segments. This analysis helped identify the significance of changes under specific climate conditions and provided crucial insights into the impact of climatic factors on land cover changes.
Figure 13.
Statistical analysis of changed and unchanged pixels across temperature and precipitation segments. (a) Temperature. (b) Precipitation.
In Figure 13a, we observe that the changed pixels are mainly concentrated in the highest temperature range of −3 °C to −1.5 °C. A relatively high number of changed pixels is also found in the temperature range of −8 °C to −1.5 °C. Notably, there are considerable changes in the temperature ranges of −18 °C to −13 °C and −13 °C to −8 °C, indicating that land cover changes are minimal in areas with the lowest temperatures. In the temperature range of −13 °C to −8 °C, 39.9% of the pixels are changed, while in the range of −18 °C to −13 °C, 23.8% of the pixels are changed. Hence, temperature significantly influences land cover change patterns, especially within specific temperature ranges.
Figure 13b shows the distribution characteristics of changed pixels concerning precipitation levels. Changed pixels are heavily concentrated in the precipitation range of 1.61–2.6 mm, which falls in the middle of the overall precipitation levels. Additionally, changed pixels are primarily found in areas with precipitation below 1.6 mm. As precipitation increases, the number of changed land cover types gradually rises, peaking in the 2.1–2.6 mm range. In the precipitation range of 1.6–2.1 mm, 27.9% of the pixels are changed. As precipitation increases to 2.1–2.6 mm, the proportion of changed pixels decreases by 4.6%. However, the number of changed pixels decreases as precipitation continues to increase beyond this range. No changed pixels are observed in the highest precipitation range, highlighting the crucial role of precipitation in promoting land cover changes.
4. Discussion
The results of this study provide significant scientific evidence and practical guidance for land cover classification, particularly in regions with complex terrain and pronounced seasonal variations. By constructing the VGE_RF and WSI_RF classification models, classification accuracies of 93.77% and 85.50% were achieved, respectively, which robustly demonstrated the effectiveness of integrating Otsu’s thresholding method with the Random Forest algorithm based on multi-dimensional feature data for land cover classification. This method significantly enhanced the differentiation between various land cover types, especially in the classification of complex surface types, offering a new technological approach for land cover classification research. The integration of Otsu’s thresholding method with Random Forest further emphasized the importance of both spectral and terrain data in achieving high accuracy, particularly when applied to environments that exhibit significant heterogeneity in land cover types.
The relatively low user accuracy for orchards (77.16%) can be attributed to several factors. First, the spatial similarity between orchards and croplands: In the study area, the spatial distribution of orchards and croplands overlaps significantly, particularly in areas with concentrated farmland or scattered orchards, where the boundaries between the two are blurred. This resulted in minimal spectral differences, making them easily confused. Therefore, relying solely on spectral information for classification could be affected by spatial distribution similarities, leading to suboptimal classification results. Second, the diversity of tree species and complexity of tree ages: Orchards in the study area contain a wide variety of tree species and ages, resulting in a highly complex vegetation structure. This complexity caused significant spectral variation in the reflectance characteristics of orchards across different species and growth stages, increasing the difficulty of classification. Even with the inclusion of texture features, these differences remained difficult to fully eliminate, especially when spectral overlap occurred, making it challenging for the classification model to distinguish between categories. To address this issue, future studies may need to update sampling methods and incorporate more complex spatial information to improve classification accuracy.
One of the key contributions of this study is the systematic feature selection process. Using the RFE algorithm, the VGE_RF model selected 23 key features from the initial 48 image features, including nine spectral band features, 12 index features, and two terrain features; the WSI_RF model selected 20 key features, which included seven spectral band features, five index features, four texture features, and four terrain features. This feature selection process not only optimized the model’s computational efficiency but also significantly improved classification accuracy, providing a reliable basis for the precise identification of land cover types. The results indicated that the spectral features (e.g., red-edge 1, shortwave infrared 1, and green bands) and index features (e.g., MNDWI, NDBI, MSI, and ARVI) played a crucial role in distinguishing vegetation types and water/ice cover, while terrain features (e.g., elevation and elevation standard deviation) further enhanced the model’s adaptability to complex terrain regions. This feature selection process highlighted the importance of balancing spectral and spatial information to ensure comprehensive land cover characterization. It also emphasized the necessity of integrating multiple data types to fully capture the complex variability inherent in the study area.
Moreover, the inclusion of texture features in the WSI_RF model demonstrated the value of capturing fine-scale spatial variability, particularly in distinguishing water bodies from snow or ice. The texture variables, such as the correlation of the first principal component (pc1_corr) and the angular second moment (asm), underscored the utility of spatial information in enhancing the discriminative power of the model. The absence of significant texture variables in the VGE_RF model suggested that vegetation types, unlike water and snow/ice, exhibited relatively uniform spatial characteristics when viewed through optical remote sensing imagery. This distinction between the two models’ feature sets reflected the differing physical properties and spatial arrangements of the land cover types, further illustrating the complex interaction between spectral and spatial data in remote sensing applications.
The seasonal land cover change detection results provided important insights into the dynamic variations in water and snow coverage. The study found that land cover in the study area exhibited significant seasonal fluctuations. By analyzing pixel change patterns under varying temperature and precipitation conditions, the non-linear impact mechanism of climatic factors on land cover change was revealed. Specifically, the change pixels were primarily concentrated within temperature ranges of −3 °C to −1.5 °C and precipitation ranges of 1.61–2.6 mm, indicating that land cover change responded to climatic factors with a distinct threshold effect. This finding not only deepens the understanding of the climate-land cover interaction mechanisms but also offers valuable references for the prediction and simulation of land cover changes at the regional scale. The results highlight that temperature and precipitation thresholds may serve as useful indicators for forecasting land cover dynamics, particularly in regions with marked seasonal variations. Understanding these climatic thresholds can inform resource management strategies, especially in areas that rely on water resources and agricultural productivity.
Further analysis of the relationship between temperature and land cover change revealed a complex, non-linear pattern, with temperature playing a significant role in regulating land cover shifts within specific ranges. For instance, the concentration of changing pixels within the temperature interval of −3 °C to −1.5 °C suggested that moderate temperature changes may have triggered transitions between land cover types. In contrast, extreme low temperatures, such as those in the −18 °C to −13 °C and −13 °C to −8 °C ranges, resulted in minimal land cover changes, emphasizing the relative stability of land cover types under harsher climatic conditions. This insight contributes to a more nuanced understanding of how land cover responds to extreme climatic conditions, offering practical implications for predicting land cover stability in regions prone to cold weather.
Precipitation, on the other hand, was found to have a threshold effect on land cover change. The concentration of changing pixels in the 1.61–2.6 mm precipitation range highlighted the sensitivity of land cover to moderate levels of precipitation, which could trigger vegetation growth and influence the dynamics of water bodies and snow cover. As precipitation levels increased beyond this range, the number of changing pixels began to decrease, suggesting that excessive precipitation may have had a dampening effect on land cover change, possibly due to saturation or other environmental factors. This finding provides a clearer understanding of how precipitation patterns affect land cover changes, particularly in areas with high seasonal variability in rainfall.
5. Conclusions
This study introduces an enhanced classification strategy that significantly boosts LULC classification accuracy, particularly in regions with distinct land cover boundaries but complex internal distributions. The proposed approach demonstrates notable effectiveness in classifying orchards and arable land, providing more accurate data to support regional agricultural development and resource management. Additionally, this method offers valuable insights for similar applications in comparable regions.
However, challenges remain in adapting to highly heterogeneous land cover types and performing fine-grained classification. Future research should explore integrating deep learning with traditional threshold-based methods to enhance classification adaptability. Deep learning models, such as Long Short-Term Memory (LSTM) networks and Convolutional Neural Networks (CNN), can automatically extract spatiotemporal features from time series remote sensing data, improving the detection of land cover changes. The fusion of multi-source remote sensing data, particularly the combination of high-resolution and multispectral imagery, is another promising direction. Leveraging multimodal learning techniques in deep learning allows for the effective fusion of data features from diverse remote sensing platforms, enhancing the model’s adaptability to various land cover types. In addition, future research should focus on the dynamic monitoring of long-term time series to more comprehensively reveal the spatiotemporal evolution patterns of land cover changes. Analyzing long-term seasonal variations can help identify trends and anomalous fluctuations in land cover, thereby deepening our understanding of environmental changes and providing scientific support for regional ecological management and sustainable development.
In conclusion, this study validates the effectiveness of combining threshold methods with the Random Forest algorithm for land cover classification in Wensu County. The proposed approach provides a solid foundation for future improvements through more flexible threshold selection, deep learning integration, and multi-source data fusion. As climate change and ecological conservation continue to shape land use management, further advancements in classification techniques will play a crucial role in supporting sustainable resource management and environmental monitoring.
Author Contributions
Conceptualization, X.S.; Methodology, X.S.; Software, X.S., X.L. and L.W.; Validation, B.T. and J.G.; Formal analysis, S.X. All authors have read and agreed to the published version of the manuscript.
Funding
This research was supported by the Key R&D Task Special Project of the Xinjiang Uygur Autonomous Region for the establishment and demonstration of the application of the meteorological disaster monitoring and early warning service platform for forestry and fruit (Grant No. 2023B02004-3) and the Research Fund of the Chinese Academy of Forestry for the study on the remote sensing response mechanism of carbon sources and sinks in the forest management cycle (Grant No. CAFYBB2023MA013).
Data Availability Statement
The original contributions presented in the study are included in the article, further inquiries can be directed to the corresponding author.
Conflicts of Interest
The authors declare no conflicts of interest.
References
- Abbass, K.; Qasim, M.Z.; Song, H.; Murshed, M.; Mahmood, H.; Younis, I. A review of the global climate change impacts, adaptation, and sustainable mitigation measures. Environ. Sci. Pollut. Res. 2022, 29, 42539–42559. [Google Scholar] [CrossRef]
- IPCC. Climate Change: The Physical Science Basis, Contribution of Working Group I to the Sixth Assessment Report of the Intergovernmental Panel on Climate Change; Cambridge University Press: Cambridge, UK, 2021. [Google Scholar]
- Buchhorn, M.; Lesiv, M.; Tsendbazar, N.-E.; Herold, M.; Bertels, L.; Smets, B. Copernicus global land cover layers—Collection 2. Remote Sens. 2020, 12, 1044. [Google Scholar] [CrossRef]
- Aljenaid, S.S.; Kadhem, G.R.; AlKhuzaei, M.F.; Alam, J.B. Detecting and assessing the spatio-temporal land use land cover changes of Bahrain Island during 1986–2020 using remote sensing and GIS. Earth Syst. Environ. 2022, 6, 787–802. [Google Scholar] [CrossRef]
- Salehi, H.; Shamsoddini, A.; Mirlatifi, S.M.; Mirgol, B.; Nazari, M. Spatial and temporal resolution improvement of actual evapotranspiration maps using Landsat and MODIS data fusion. Front. Environ. Sci. 2021, 9, 795287. [Google Scholar] [CrossRef]
- Wiatkowska, B.; Słodczyk, J.; Stokowska, A. Spatial-temporal land use and land cover changes in urban areas using remote sensing images and GIS analysis: The case study of Opole, Poland. Geosciences 2021, 11, 312. [Google Scholar] [CrossRef]
- Bhagat, S.; Prasad, P.R.C. Assessing the impact of spatio-temporal land use and LULC changes on land surface temperature, with a major emphasis on mining activities in the state of Chhattisgarh, India. Spat. Inf. Res. 2024, 32, 339–355. [Google Scholar] [CrossRef]
- Umwali, E.D.; Kurban, A.; Isabwe, A.; Mind’je, R.; Azadi, H.; Guo, Z.; Udahogora, M.; Nyirarwasa, A.; Umuhoza, J.; Nzabarinda, V.; et al. Spatio-seasonal variation of water quality influenced by land use and land cover in Lake Muhazi. Sci. Rep. 2021, 11, 17376. [Google Scholar] [CrossRef] [PubMed]
- Wang, H.; Wigneron, J.-P.; Ciais, P.; Yao, Y.; Fan, L.; Liu, X.; Li, X.; Green, J.K.; Tian, F.; Tao, S.; et al. Seasonal variations in vegetation water content retrieved from microwave remote sensing over Amazon intact forests. Remote Sens. Environ. 2022, 285, 113409. [Google Scholar] [CrossRef]
- Mustapha, M.; Zineddine, M. Assessing the Impact of climate change on seasonal variation in agricultural land use using Sentinel-2 and machine learning. Environ. Sci. Proc. 2023, 29, 51. [Google Scholar] [CrossRef]
- Sinha, R.K.; Eldho, T.I.; Subimal, G. Assessing the impacts of land use/land cover and climate change on surface runoff of a humid tropical river basin in Western Ghats, India. Int. J. River Basin Manag. 2020, 21, 141–152. [Google Scholar] [CrossRef]
- Chen, D.; Zhou, Z.; Liu, Y.; Li, T.; Liu, J. Simulating and mapping the spatial and seasonal effects of future climate and land-use changes on ecosystem services in the Yanhe watershed, China. Environ. Sci. Pollut. Res. 2017, 25, 1115–1131. [Google Scholar] [CrossRef] [PubMed]
- Zhao, W.; Du, S.; Emery, W.J. Object-based convolutional neural network for high-resolution imagery classification. IEEE J. Sel. Top. Appl. Earth Obs. Remote Sens. 2017, 10, 3386–3396. [Google Scholar] [CrossRef]
- Wu, J.; He, Y.; Xu, C.; Jia, X.; Huang, Y.; Chen, Q.; Huang, C.; Eslamlou, A.D.; Huang, S. Interpretability Analysis of Convolutional Neural Networks for Crack Detection. Buildings 2023, 13, 3095. [Google Scholar] [CrossRef]
- He, Z.; Zhang, C.; Wang, S.; Huang, J.; Zheng, X.; Jiang, W.; Bo, J.; Yang, Y. A Grad-CAM and capsule network hybrid method for remote sensing image scene classification. Front. Earth Sci. 2024, 18, 538–553. [Google Scholar] [CrossRef]
- Saarela, M.; Jauhiainen, S. Comparison of feature importance measures as explanations for classification models. SN Appl. Sci. 2021, 3, 272. [Google Scholar] [CrossRef]
- Yuan, X.; Liu, S.; Feng, W.; Dauphin, G. Feature Importance Ranking of Random Forest-Based End-to-End Learning Algorithm. Remote Sens. 2023, 15, 5203. [Google Scholar] [CrossRef]
- Belgiu, M.; Drăguţ, L. Random forest in remote sensing: A review of applications and future directions. ISPRS J. Photogramm. Remote Sens. 2016, 114, 24–31. [Google Scholar] [CrossRef]
- Nie, Y.; Huang, H.; Long, C.; Zhang, Q.; Maji, P.; Cai, H. Interleaving One-Class and Weakly-Supervised Models with Adaptive Thresholding for Unsupervised Video Anomaly Detection. arXiv 2024, arXiv:2401.13551. [Google Scholar]
- Otsu, N. A threshold selection method from gray-level histograms. IEEE Trans. Syst. Man Cybern. 1979, 9, 62–66. [Google Scholar] [CrossRef]
- Xu, X.; Xu, S.; Jin, L.; Song, E. Characteristic analysis of Otsu threshold and its applications. Pattern Recognit. Lett. 2011, 32, 956–961. [Google Scholar] [CrossRef]
- Yu, Y.; Bao, Y.; Wang, J.; Chu, H.; Zhao, N.; He, Y.; Liu, Y. Crop row segmentation and detection in paddy fields based on treble-classification otsu and double-dimensional clustering method. Remote Sens. 2021, 13, 901. [Google Scholar] [CrossRef]
- Tang, W.; Zhao, C.; Lin, J.; Jiao, C.; Zheng, G.; Zhu, J.; Pan, X.; Han, X. Improved spectral water index combined with Otsu algorithm to extract muddy coastline data. Water 2022, 14, 855. [Google Scholar] [CrossRef]
- Ren, J.; Wang, J.; Chen, R.; Li, H.; Xu, D.; Yan, L.; Song, J. Remote sensing identification of shallow landslide based on improved otsu algorithm and multi feature threshold. Front. Earth Sci. 2024, 12, 1473904. [Google Scholar] [CrossRef]
- Huang, Y.; Zhao, C.; Yang, H.; Song, X.; Chen, J.; Li, Z. Feature selection solution with high dimensionality and low-sample size for land cover classification in object-based image analysis. Remote Sens. 2017, 9, 939. [Google Scholar] [CrossRef]
- Xie, Z.; Chen, Y.; Lu, D.; Li, G.; Chen, E. Classification of land cover, forest, and tree species classes with ZiYuan-3 multispectral and stereo data. Remote Sens. 2019, 11, 164. [Google Scholar] [CrossRef]
- Dian, Y.; Li, Z.; Pang, Y. Spectral and texture features combined for forest tree species classification with airborne hyperspectral imagery. J. Indian Soc. Remote Sens. 2014, 43, 101–107. [Google Scholar] [CrossRef]
- Zeng, Y.; Hao, D.; Huete, A.; Dechant, B.; Berry, J.; Chen, J.M.; Joiner, J.; Frankenberg, C.; Bond-Lamberty, B.; Ryu, Y.; et al. Optical vegetation indices for monitoring terrestrial ecosystems globally. Nat. Rev. Earth Environ. 2022, 3, 477–493. [Google Scholar] [CrossRef]
- Phiri, D.; Simwanda, M.; Salekin, S.; Nyirenda, V.R.; Murayama, Y.; Ranagalage, M. Sentinel-2 data for land cover/use mapping: A review. Remote Sens. 2020, 12, 2291. [Google Scholar] [CrossRef]
- Abdi, A.M. Land cover and land use classification performance of machine learning algorithms in a boreal landscape using Sentinel-2 data. GIScience Remote Sens. 2019, 57, 1650447. [Google Scholar] [CrossRef]
- Huang, S.; Tang, L.; Hupy, J.P.; Wang, Y.; Shao, G.F. A commentary review on the use of normalized difference vegetation index (NDVI) in the era of popular remote sensing. J. For. Res. 2021, 32, 1–6. [Google Scholar] [CrossRef]
- Panaskar, S.; Nagarajan, K.; Narwade, R. Analysis of Changes in LULC of Western Ghat by Comparing NDVI and NDWI. GIScience Remote Sens. 2019, 8, 2. [Google Scholar]
- Mishra, V.N.; Prasad, R.; Rai, P.K.; Vishwakarma, A.K.; Arora, A. Performance evaluation of textural features in improving land use/land cover classification accuracy of heterogeneous landscape using multi-sensor remote sensing data. Earth Sci. Inform. 2018, 12, 71–86. [Google Scholar] [CrossRef]
- Tassi, A.; Vizzari, M. Object-oriented lulc classification in google earth engine combining snic, glcm, and machine learning algorithms. Remote Sens. 2020, 12, 3776. [Google Scholar] [CrossRef]
- Hale, S.R.; Rock, B.N. Impact of topographic normalization on land-cover classification accuracy. Photogramm. Eng. Remote Sens. 2003, 69, 785–791. [Google Scholar] [CrossRef]
- Friedl, M.A.; Sulla-Menashe, D.; Tan, B.; Schneider, A.; Ramankutty, N.; Sibley, A.; Huang, X. MODIS Collection 5 global LULC: Algorithm refinements and characterization of new datasets. Remote Sens. Environ. 2010, 114, 168–182. [Google Scholar] [CrossRef]
- Homer, C.; Dewitz, J.; Yang, L.; Jin, S.; Danielson, P.; Xian, G.; Megown, K. Completion of the 2011 National LULC Database for the conterminous United States–representing a decade of LULC change information. Photogramm. Eng. Remote Sens. 2015, 81, 345–354. [Google Scholar]
- Verbesselt, J.; Hyndman, R.; Zeileis, A.; Culvenor, D. Phenological change detection while accounting for abrupt and gradual trends in satellite image time series. Remote Sens. Environ. 2010, 114, 2970–2980. [Google Scholar] [CrossRef]
- Hansen, M.C.; Potapov, P.V.; Moore, R.; Hancher, M.; Turubanova, S.A.; Tyukavina, A.; Thau, D.; Stehman, S.V.; Goetz, S.J.; Loveland, T.R.; et al. High-resolution global maps of 21st-century forest cover change. Science 2013, 342, 850–853. [Google Scholar] [CrossRef] [PubMed]
- Drusch, M.; Del Bello, U.; Carlier, S.; Colin, O.; Fernandez, V.; Gascon, F.; Bargellini, P. Sentinel-2: ESA’s optical high-resolution mission for GMES operational services. Remote Sens. Environ. 2012, 120, 25–36. [Google Scholar] [CrossRef]
- Immitzer, M.; Vuolo, F.; Atzberger, C. First experience with Sentinel-2 data for crop and tree species classifications in central Europe. Remote Sens. 2016, 8, 166. [Google Scholar] [CrossRef]
- Zhang, X.; Liu, L.; Chen, X.; Gao, Y.; Xie, S.; Mi, J. GLC_FCS30: Global land-cover product with fine classification system at 30 m using time-series Landsat imagery. Earth Syst. Sci. Data 2021, 13, 2753–2776. [Google Scholar] [CrossRef]
- Zanaga, D.; Van De Kerchove, R.; Daems, D.; De Keersmaecker, W.; Brockmann, C.; Kirches, G.; Arino, O. ESA WorldCover 10 m 2021 v200. 2022. Available online: https://pure.iiasa.ac.at/id/eprint/18478/ (accessed on 12 August 2023).
- Karra, K.; Kontgis, C.; Statman-Weil, Z.; Mazzariello, J.C.; Mathis, M.; Brumby, S.P. Global land use/LULC with Sentinel 2 and deep learning. In Proceedings of the 2021 IEEE International Geoscience and Remote Sensing Symposium (IGARSS), Brussels, Belgium, 11–16 July 2021; p. 4704. [Google Scholar]
- Peng, S.; Ding, Y.; Wen, Z.; Chen, Y.; Cao, Y.; Ren, J. Spatiotemporal change and trend analysis of potential evapotranspiration over the Loess Plateau of China during 2011–2100. Agric. For. Meteorol. 2017, 233, 183–194. [Google Scholar] [CrossRef]
- Ma, G.; Yue, X. An improved whale optimization algorithm based on multilevel threshold image segmentation using the Otsu method. Eng. Appl. Artif. Intell. 2022, 113, 104960. [Google Scholar] [CrossRef]
- Loh, W.Y. Classification and regression trees. Wiley Interdiscip. Rev. Data Min. Knowl. Discov. 2011, 1, 14–23. [Google Scholar] [CrossRef]
- Liaw, A.; Wiener, M. Classification and regression by random Forest. R News 2002, 2, 18–22. [Google Scholar]
- Chen, Q.; Meng, Z.; Liu, X.; Jin, Q.; Su, R. Decision variants for the automatic determination of optimal feature subset in RF-RFE. Genes 2018, 9, 301. [Google Scholar] [CrossRef] [PubMed]
- Wong, T.-T.; Yeh, P.-Y. Reliable accuracy estimates from k-fold cross validation. IEEE Trans. Knowl. Data Eng. 2019, 32, 1586–1594. [Google Scholar] [CrossRef]
- Pohjankukka, J.; Pahikkala, T.; Nevalainen, P.; Heikkonen, J. Estimating the prediction performance of spatial models via spatial k-fold cross validation. Int. J. Geogr. Inf. Sci. 2017, 31, 2001–2019. [Google Scholar] [CrossRef]
Disclaimer/Publisher’s Note: The statements, opinions and data contained in all publications are solely those of the individual author(s) and contributor(s) and not of MDPI and/or the editor(s). MDPI and/or the editor(s) disclaim responsibility for any injury to people or property resulting from any ideas, methods, instructions or products referred to in the content. |
© 2025 by the authors. Licensee MDPI, Basel, Switzerland. This article is an open access article distributed under the terms and conditions of the Creative Commons Attribution (CC BY) license (https://creativecommons.org/licenses/by/4.0/).




















