Abstract
As the complexity of Low-Earth-Orbit (LEO) satellite tasks and their performance requirements increase, higher demands are placed on satellites’ ability to track mission trajectories, including their accuracy, speed, and capacity to resist external disturbances during operation. This paper proposes an anti-disturbance prescribed performance control scheme for LEO satellites. The scheme establishes a unified framework to accommodate the high-performance requirements of satellite observation, while also incorporating a disturbance observer within this framework to counteract unknown external disturbances. Unlike existing trajectory tracking control methods, the proposed control scheme allows for the flexible selection of performance functions to adapt to diverse satellite performance demands. By focusing on the distance between tracking errors and the performance function, this approach avoids the performance boundary issues faced by traditional prescribed performance control, thus preventing excessive energy consumption by the LEO satellite. Additionally, within the proposed control framework, a disturbance observer is implemented to provide real-time compensation for unknown disturbances while ensuring minimal control input usage for disturbance rejection. Our experimental results show that the proposed control scheme achieves consistent performance for the LEO satellite and successfully accomplishes mission trajectory tracking, even in the presence of unknown disturbances.
1. Introduction
With the increasing complexity of LEO satellite tasks and higher performance requirements, satellites must satisfy the greater demands for trajectory tracking accuracy, speed, and resilience against external disturbances [1,2]. Accurate trajectory tracking ensures that satellites maintain the desired trajectories required for the task, enabling optimal payload performance for high-resolution imaging, efficient data acquisition, and other mission-critical objectives [3,4]. We take the SkySat remote sensing constellation as an example, which is an advanced Earth observation satellite system operated by Planet Labs. The primary mission of SkySat satellites is to deliver high-resolution optical imagery and video data to support a wide range of Earth observation applications [5,6]. These satellites operate in polar sun-synchronous orbits at altitudes ranging from 400 to 600 km and belong to the LEO satellites. Figure 1a illustrates the image coverage distribution along the observation path of the SkySat satellite while observing the Morenci Mine test site in Arizona, USA. The red, green, and blue regions represent the forward, nadir, and backward images, respectively. As the satellite follows its mission trajectory, it continuously acquires images distributed along the path, ultimately achieving full coverage of the target. This process emphasizes the necessity of precise trajectory tracking control to ensure that the satellite is efficient and accurately achieves observation coverage of the target scene, thereby successfully completing the specific observation task. PlanetScope constellation serves as another typical example [7,8]. Developed and operated by Planet Labs, PlanetScope is an Earth observation satellite constellation comprising CubeSat nanosatellites called “Doves”. These satellites are designed to deliver high-resolution imagery of Earth’s surface. The Dove constellation is strategically arranged with appropriate spacing between adjacent orbital planes. As the Earth rotates, this configuration enables seamless surface scanning and ensures daily global coverage [9], as shown in Figure 1b. To achieve the desired coverage objectives, it is essential for the LEO satellites to accurately follow their predefined orbits. To date, numerous methods have been proposed, all aimed at improving the performance of satellite trajectory tracking [10].
Figure 1.
(a) Images of the forward, nadir, and backward views of the Morenci Mine test site in Arizona, USA, captured by the SkySat satellite [9]. (b) The different distributions of Dove satellite orbits with varying inclinations (0°, 52°, and 98°).
To achieve the precision and responsiveness required for tracking arbitrary dynamic orbits, new satellite trajectory tracking methods have emerged, including model predictive control (MPC) [11,12,13], sliding mode control (SMC) [14,15], and optimal control [16,17]. As described in [11], an MPC approach is developed for a low-thrust geostationary satellite’s integrated station keeping, attitude control, and momentum management. A nonlinear MPC optimized via a genetic algorithm (GA) is introduced by [13] to control satellite motion along a reference orbit (RO), aiming for minimal energy consumption. But they often require high computational resources, making them challenging to implement in real-time scenarios, especially on resource-constrained platforms [13,18]. For trajectory tracking of a stratospheric satellite under external disturbances and actuator saturation, a method that integrates an extended state observer (ESO) for disturbance estimation and a backstepping nonsingular fast terminal SMC strategy is proposed in [14], achieving high-accuracy trajectory tracking and finite-time convergence. Optimal control can help satellites save fuel and find the optimal trajectory during the process of tracking a predefined trajectory. As seen in [16,17], optimization algorithms capable of trajectory correction assist satellites in reaching their desired trajectories. However, these conventional approaches often fail to explicitly account for mission-specific performance metrics critical to satellites to ensure transient and steady-state tracking performance under predefined constraints. These metrics are vital for maintaining imaging stability, ensuring rapid maneuver execution, and adhering to strict tolerance requirements for high-quality data acquisition.
To address task requirements with specific performance criteria, Bechlioulis and Rovithakis creatively introduced the concept of prescribed performance control (PPC), a technique that explicitly incorporates the transient and steady-state performance requirements into the control design [19]. This technique designs a set of performance boundaries based on task requirements to dynamically constrain system outputs, ensuring they remain within predefined performance limits [11]. As a result, it is particularly valuable in satellite control tasks where high precision and reliability are crucial [20,21]. A robust nonlinear MPC scheme with prescribed performance is proposed in [22] for spacecraft on-orbit inspection, using a fixed-time neural network disturbance observer. In [23], a new prescribed performance function with fixed-time convergence is developed to achieve the fixed-time stability of spacecraft formation flying under input saturation and prescribed performance constraints. However, a significant limitation of existing PPC applications in satellite orbital trajectory tracking is that the performance functions are typically predefined and fixed. This rigidity prevents the control scheme from adapting to varying stability requirements as tasks change, which may render the original control strategy ineffective under new mission conditions, thereby limiting the adaptability of PPC in dynamic task environments.
Another crucial aspect for LEO satellites is the ability to adapt to real-time disturbances such as Earth’s non-spherical gravitational effects, atmospheric drag, and other environmental factors [24,25] affecting satellite motion that can lead to deviations from the desired orbital trajectory and thus significantly impact accuracy and stability [13]. In recent years, significant advancements have been made in enhancing the disturbance rejection capabilities of satellite control schemes. Two new adaptive filtering algorithms that combine state noise compensation and dynamic model compensation with covariance matching have been presented in [26], addressing the issues with existing adaptive filtering methods in orbit determination. In [13,27], model predictive control approaches are used to account for the primary perturbations in LEO. Minimum sliding mode error feedback control (MSMEFC) is proposed in [28] to estimate and compensate for system model errors in order to address disturbances, including various uncertainties and J2 perturbations. Notably, considerable advancements in the disturbance rejection of satellites have been achieved in the development of PPC methods. In [29], a PPC method addresses disturbances by employing a radial basis function neural network (RBFNN) to approximate the external disturbances impacting the spacecraft. Model uncertainties, actuator output uncertainties, and external disturbances are consolidated into a single category of lumped disturbances in [30], where a finite-time extended state observer (FTESO) is employed to estimate them in real time. However, anti-disturbance control is often designed to meet a specific stability criterion, which limits its ability to accommodate the diverse performance requirements arising from the increasing complexity of tasks undertaken by LEO satellites. Therefore, this paper aims to explore a control method that unifies disturbance rejection with various performance objectives, thereby broadening its applicability.
To address the aforementioned challenges, inspired by the unified stability framework presented in [31], this paper comprehensively considers various stability requirements for LEO satellite trajectory tracking and integrates a disturbance observer into the framework. A novel anti-disturbance PPC (AD-PPC) unified framework is proposed to ensure high-performance trajectory tracking for LEO satellites under diverse mission requirements and environmental disturbances. The main contributions of this work are as follows:
- This study proposes an AD-PPC scheme for LEO satellite trajectory tracking. By selecting performance functions that meet predefined performance requirements, the system achieves the desired stability even under various unknown disturbances.
- To address the various unknown disturbances faced by LEO satellites, a disturbance observer is integrated into the PPC scheme to estimate and compensate for these disturbances in real time, thereby enhancing the satellite’s adaptability in complex environments.
- The proposed method combines various forms of stability with the disturbance observer, providing a unified anti-disturbance PPC framework. This framework effectively handles high-precision LEO satellite trajectory tracking tasks under diverse missions and environmental conditions.
The remainder of this paper is organized as follows: Section 2 establishes a motion model of the LEO satellite and formulates the trajectory tracking control problem. Section 3 details the proposed methodology, including the disturbance observer design, control scheme, stability analysis, validation of the unified framework, and parameter selection. Section 4 presents the simulation results. Section 5 delves into the study’s results, highlighting its strengths and discussing its limitations. Finally, Section 6 concludes the paper by summarizing the work and outlining potential directions for future research.
Notations: In the modeling process of this paper, all symbols with arrows (e.g., , ) represent vector quantities, indicating both direction and magnitude.
2. Satellite Orbital Motion Modeling and Problem Formulation
In this section, we establish the LEO satellite motion model and convert it into a state-space representation within the Earth-centered inertial (ECI) coordinate system.
2.1. Satellite Kinematic Modeling
In the ECI coordinate system, as shown in Figure 2, the motion vector of a satellite in its orbit is represented as follows [13]:
where the unit vectors I, J, and K correspond to the inertial directions along the x, y, and z axes, respectively, while the coordinates X, Y, and Z refer to the positions along these axes. The nonlinear motion model of the satellite within the ECI coordinate frame is given by
Figure 2.
ECI coordinate system and satellite orbit.
In this equation, r indicates the distance from the satellite to the center of the Earth, m is the mass of the satellite, is the gravitational constant of the Earth, represents the external force exerted on the satellite by its thrusters, denotes the perturbation acceleration vector acting on the satellite due to non-spherical effects and atmospheric drag, and is the acceleration vector caused by unknown disturbances such as radiation pressure and micrometeoroid collisions. This model captures the essential dynamics of the satellite’s motion, accounting for both gravitational influences and external thrusts, as well as any perturbative effects that may arise during its orbital trajectory.
2.2. StateSpace Equations
The equations governing the satellite’s motion in three-dimensional space are expressed as follows:
Here, , , and represent the external forces applied to the satellite along each coordinate axis, respectively; represents the perturbation acceleration acting on the satellite due to Earth’s non-spherical shape and atmospheric drag; and , , and denote the disturbance accelerations in the respective directions. The terms , , and are components of additional multi-source uncertain disturbances along the x, y, and z axes, respectively. The coefficients , , and are time-varying parameters that characterize the system’s disturbance dynamics.
2.3. Perturbation Modeling
Next, the disturbances affecting the LEO satellite’s motion will be modeled. It is reasonable to assume that the primary modelable disturbances affecting them are atmospheric drag and non-spherical gravitational effects [13]:
The models for the atmospheric drag perturbation acceleration and non-spherical effect perturbation acceleration are shown as follows:
where denotes the air density, is the relative velocity of the satellite with respect to the atmosphere, is the velocity vector of the satellite relative to the atmosphere, is the drag coefficient, and represents the satellite’s effective area that generates drag. The parameter J represents Earth’s oblateness coefficient, and R is the Earth’s radius. The atmospheric density is modeled as , where represents the atmospheric density at sea level, h denotes the altitude, and is the atmospheric scale height.
To determine the satellite’s velocity relative to Earth’s rotating atmosphere, we must subtract the rotational velocity of the atmosphere at that position from the satellite’s velocity. In the ECI frame, the Earth’s rotation velocity vector is typically expressed as
where is the angular velocity of the Earth. Thus, the rotational velocity of the atmosphere at the satellite’s position can be computed using the cross product
The satellite’s velocity is given by . Therefore, the relative velocity between the satellite and the atmosphere is
Thus, each component of the disturbance acceleration can be derived based on (6) as follows:
Unlike the non-spherical effects caused by the Earth, atmospheric drag is difficult to model accurately. Therefore, there exists some discrepancy between the atmospheric drag modeled in this section and the actual atmospheric drag. The error can be considered to be an uncertainty during system operation, and it is reasonable to assume that the energy associated with this uncertainty is limited. In addition to atmospheric drag and Earth’s non-spherical effects, other disturbances such as solar radiation pressure, micrometeoroid and space debris impacts, and interference caused by Earth’s magnetic field may also affect the satellite’s motion [32,33,34]. We represent these uncertainties and unknown disturbances as , and assume that the dynamic of is influenced by uncertainty with limited energy [3]. Consequently, the following external disturbance system can be constructed:
where , , and are the uncertainties in the system, which can be considered to be bounded in the norm.
2.4. Problem Formulation
This section integrates the satellite motion equations with the desired trajectory to form an error system, summarizing the control issues related to trajectory tracking. The time-parameterized trajectory for the satellite is presented as , and the error system state as . The, the following nonlinear system is considered based on (3):
where and represent the system state, represents the control input, and represents disturbance. Nonlinear functions , and are known, and are piecewise continuous and locally Lipschitz in . The system state is considered observable. By designing disturbance compensation and a state-dependent function, the system (12) can be shaped into a controllable closed-loop form, ensuring its controllability. Additionally, the system states are assumed to be measurable.
The disturbance in system (12) is represented by the following exogenous system:
where and . represents the additional disturbance and uncertainties from the exogenous system and is bounded in the norm, satisfying
where is the upper bound of the disturbance energy.
The objective of this paper is to design a control strategy that mitigates the effect of disturbances on the system and constrains the system state within a predefined interval , for all , where , representing the performance constraint functions. The following assumptions are made regarding and .
Assumption 1.
and satisfy the condition . is chosen as an n-times differentiable, bounded, non-negative function that decreases over time.
Definition 1
([31,35]). A square matrix S is said to be Metzler if all of its off-diagonal elements are non-negative, i.e., , for .
Lemma 1
([31,35]). Let a system be given by , , where the matrix is Metzler. If , then , for all . Such systems are called cooperative.
3. Main Results
In this section, we design an adaptive disturbance observer for the satellite system to enable effective disturbance compensation. Building on this foundation, we develop an AD-PPC law to ensure the system output remains within a specified performance range.
3.1. Adaptive Disturbance Observer Design
The proposed adaptive disturbance observer is described by the following equations:
where represents the estimate of , L is the observer gain to be designed, and serves as an auxiliary variable. The matrix functions , , , and are system-dependent parameters that can be found in systems (12) and (13).
To quantify the accuracy of disturbance estimation, we define the disturbance estimation error as . The objective of the disturbance observer is to minimize over time, thereby improving the system’s ability to reject disturbances effectively.
The design of L, the observer gain, plays a critical role in ensuring the convergence of the estimated disturbance to the actual disturbance . We will establish the error dynamics between the actual and estimated disturbances by designing an auxiliary term controlled by the gain L. Once the error dynamics are formulated, Lyapunov theory can be applied to derive the corresponding Linear matrix inequality (LMI) condition. This condition provides the necessary constraint on the gain to ensure error convergence. Gains that satisfy the condition enable the observer’s estimated disturbances to rapidly converge to the true disturbances, thereby ensuring that the closed-loop system remains robust under unknown disturbance conditions.
We propose the following Lyapunov function:
where is a positive definite symmetric matrix, and let
Then,
where
and . Since , the matrix can be expressed in the following form:
where . It follows from that . Under general conditions, with zero initial conditions, we can derive
Since , we have
Therefore, the satisfaction of implies that the disturbance estimate can asymptotically estimate the disturbance under the performance level .
3.2. AD-PPC Law Design
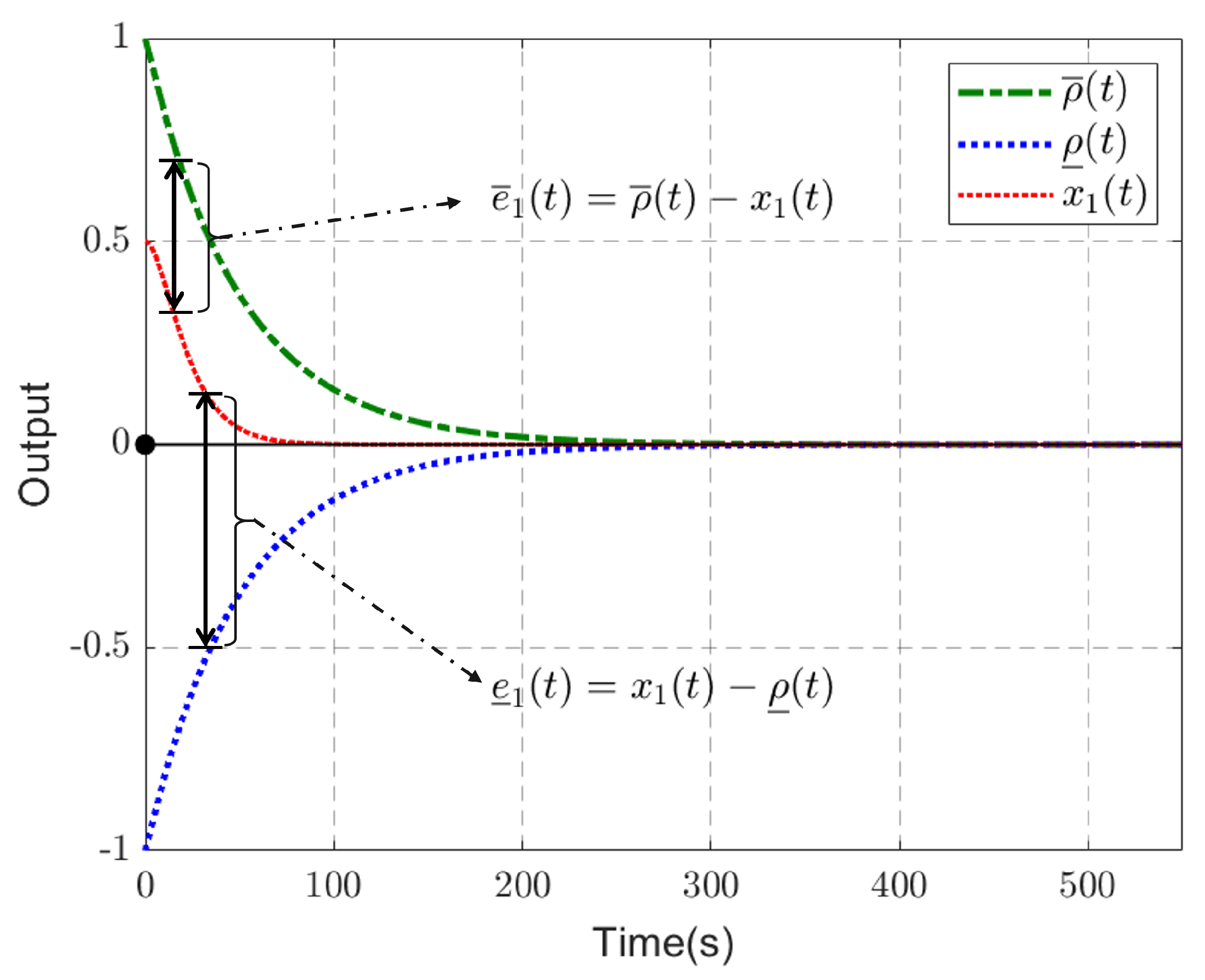
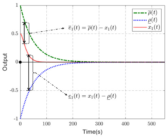
The objective of this section is to mitigate the disturbances in system (12) and ensure that operates within a predefined interval . The design concept for the interval theory is derived from [31], as shown in Figure 3.
Figure 3.
Demonstration of the control scheme concept.
We define
We provide the following definition:
where are diagonal matrices.
It is easily determined that
where and with .
Similarly, we can determine that
where
Next, we present the interval-theory-based PPC anti-disturbance law:
where represents a diagonal matrix, and is a continuous function.
Theorem 1.
Consider the nonlinear satellite system (12) under the adaptive disturbance observer (15) and the control law (30), where the performance functions satisfying Assumption 1 with the diagonal matrices chosen such that , satisfies
and the initial errors satisfy and . If a positive definite symmetric matrix and a matrix such that and , then this leads to for all .
Proof.
With the reasoning from [31], it is evident that all elements of can be divided into positive elements and other elements. Assume the number of positive elements is l where , and thus, the number of other elements is . Let the positive elements in be denoted as where and , and the other elements as where and . Then,
and
where refers to the l columns of the identity matrix , and corresponds to the remaining columns.
It should be noted that the selection matrices and are determined by the specific time t. If the signs of the elements in change over time, the corresponding and must be adjusted accordingly.
Assuming the sign of a zero element is considered negative, and defining , where represents the sign of the i-th component of , we can then obtain
Based on Equations (30)–(34), and , following the method in [31], by multiplying on the left by and , we obtain:
and
Furthermore, from Equations (26), (27) and (37), we obtain
where . Finally, we arrive at the following form:
where and . According to (31), we obtain
where . Since is a diagonal matrix, it is straightforward to see that matrix is Metzler. Based on the initial conditions and , we can derive
where according to Lemma 1.
As we mentioned earlier, a and b change continuously according to the sign properties of the elements in . For now, let us assume that a and b remain constant over the time interval . Then, and follow according to Equation (29). Subsequently, the result can be obtained from Equations (32) and (41):
where .
From this stage onward, we can apply the method provided in [31] to prove that and , and the detailed process is omitted here. So, and , which imply that . With this, the proof is complete. □
3.3. A Unified LEO Satellite Trajectory Tracking Anti-Disturbance PPC Framework Algorithm
Theorem 1 proves that, in the presence of unknown disturbances, the system states in Equation (12) can be sufficiently constrained by the performance function . The performance function does not need to adhere to a specific form; its structure can be flexibly adjusted based on the system’s performance requirements to accommodate various stability demands, thereby laying the foundation for the formation of the AD-PPC unified framework. By designing the virtual term in the disturbance observer, it is ensured that the introduced disturbance observer operates independently of the performance function. Its ability to estimate and compensate for unknown disturbances remains unaffected by changes in the performance function . This allows the disturbance observer to seamlessly integrate into the PPC stability framework and adapt to various stability performance requirements, thereby ensuring that the system’s robustness is consistently maintained under the AD-PPC approach. Therefore, we can assert that the proposed AD-PPC scheme achieves a unified approach to disturbance rejection and diverse performance requirements.
Corollary 1.
Consider the system (12) with disturbance observer 15 that satisfies Theorem 1; the conclusion leads to the system exhibiting bounded stability if is bounded. For asymptotic stability of , the system will be asymptotically stable. Similarly, if p is finite-time stable, the system will show finite-time stability, and if p is fixed-time stable, the system will achieve fixed-time stability.
The proof of Corollary 1 is provided in [31], omitted here for brevity.
Remark 1.
As stated in Corollary 1, any bounded performance function can ensure the bounded stability of the system, and to guarantee this, the performance function with
where , is a feasible choice for the performance function. It is worth noting that when is chosen as 0, will satisfy asymptotic stability. Furthermore, the following appropriate finite-time stability function can be selected: , , ; meanwhile, suitable fixed-time performance functions are referred to in [36].
To ensure the conditions , , and in Theorem 1 are satisfied, the diagonal elements of the matrix are chosen, where . The parameters and are set.Details of the procedure for parameter tuning can be found in [31].
LEO satellites are required to perform a variety of high-precision tasks; in addition, they face multiple disturbances and uncertainties during mission execution. In such scenarios, the control scheme must be adaptable to meet the diverse task requirements and environmental changes, thus placing high demands on its adaptability. The proposed anti-disturbance PPC scheme is crucial for accommodating the diversity of tasks in complex space environments. For any given task path, the LEO satellites within this unified control framework can adapt to various environmental disturbances and achieve different levels of stability performance through the appropriate selection of the performance function , and the algorithm flow is shown in Algorithm 1.
| Algorithm 1 The Proposed AD-PPC Law Algorithm |
S.1 Input: The mission trajectories , and . S.2 Initialization: Identify the system initial values . S.3 Set suitable based on desired performance, satisfies , and , . S.4 Determine according to . S.5 Solve the LMI matrix (21) to obtain and , then the appropriate disturbance observer gain matrix L can be obtained. S.6 Set the magnitude M of the disturbance with finite energy, where . S.7 Set that , . S.8 Output: . Substitute S1–S7 into Equation (30) to obtain the control law . |
4. Simulation and Results
This section presents simulations of real-world scenarios, incorporating factors such as system uncertainties and potential disturbances encountered by LEO satellites, including solar radiation and space debris. These simulations are designed to demonstrate the effectiveness of the proposed method. The control performance of the scheme in guiding the LEO satellite to track the desired trajectory is evaluated under three distinct scenes. The system’s bounded stability, asymptotic stability, and finite-time stability and the disturbance observer’s tracking performance are assessed in detail. Additionally, a comparison with existing PPC-based satellite path control methods highlights the advantages of and advancements in the proposed approach. This simulation experiment is executed on the MATLAB platform.
Using the Generation C series of the SkySat constellation as a simulation model, each Generation C satellite has a mass of 110 kg and dimensions of cm. All SkySat satellites feature a sub-daily revisit capability, allowing them to observe any location on Earth multiple times per day. These satellites operate in a polar sun-synchronous orbit at an approximate altitude of 500 km [37]. The operational parameters of the Generation C satellite are summarized in Table 1.
Table 1.
The constant parameters of the Generation C series in the SkySat satellite constellation [5,13,37].
According to classical Keplerian laws and gravitational theory, it is evident that designing a trajectory for an LEO satellite to temporarily track a specific target is significantly more challenging than maintaining its original orbital trajectory. Meeting the performance requirements for such orbital maneuvers demands precise control scheme design. To evaluate the proposed control scheme’s ability to enable the satellite to follow the desired mission trajectory while achieving the expected performance, specific mission trajectories distinct from the satellite’s original orbit were designed. The selected SkySat satellites operate along a polar sun-synchronous orbit, which allows them to gradually cover the Earth’s surface as the Earth rotates [38]. The SkySat constellation consists of 14 satellites distributed across multiple orbits, achieving global coverage within 1 to 2 days [9]. This means that the SkySat satellites, operating along the polar sun-synchronous orbit, are capable of quickly reaching any point on Earth and using that point as the starting point for designing the observation trajectory. Based on the aforementioned reasons, the selection of scenarios offers a great degree of flexibility. To make the validation results more visually intuitive, we aim to design sufficiently long and continuous reference trajectories. Mountains, with their continuous terrain features and large latitude and longitude spans, provide reference trajectories that meet these criteria. To improve the credibility of the validation results, we selected three mountainous regions for validation: the Greater Khingan Mountains, the Alps, and the Kunlun Mountains, as shown in Figure 4. Additionally, considering the effects of disturbances, we introduced initial errors into the model. The latitude and longitude ranges, initial tracking errors, and tracking durations for these three scenes are listed in Table 2. The objective of the experiment was to simulate real-world conditions to determine whether the satellite, upon reaching the mission regions, could deviate from its original trajectory and achieve the desired performance standards for observational coverage of the target areas.
Figure 4.
Visualization of the latitude and longitude range. (a) Greater Khingan Mountains. (b) Alps. (c) Kunlun Mountains.
Table 2.
The parameters for the three scenes.
Taking the Greater Khingan Range as an example, the geographical coordinates of the Greater Khingan Range are approximately from 45°N to 53°N latitude and 120°E to 127°E longitude, as shown in Figure 4a. Assuming the satellite initially starts at 45°N, 120°E, a time-parameterized trajectory needs to be designed in the ECI coordinate system to map the Earth’s latitude and longitude, thereby adjusting the satellite’s trajectory to cover the region between 45°N–53°N and 120°E–127°E. The three mission durations are set to 30 min, 30 min, and 60 min, respectively. The latitude starting point, longitude starting point, latitude range, and longitude range are denoted by Lat, , Lng, and , respectively. Given that the SkySat satellite operates at an altitude of 500 km [6], the final time-parametrized trajectory for the mission can be designed as follows:
Based on [34,39], the disturbances experienced by satellites in LEO at an altitude of 500 km, such as solar radiation, geomagnetic forces, and debris impacts—characterized by limited energy—are generally of a magnitude smaller than . To enhance the robustness and credibility of our control scheme, we assigned a larger magnitude to the unknown disturbances in our experiments. Following the disturbance modeling approaches described in [11,40], select the matrix , , and . Under this model, the maximum magnitude of the disturbance is set to .
4.1. Bounded Stability and Asymptotic Stability Verification
4.1.1. Convergence Characteristics Under Bounded and Asymptotic Performance Functions
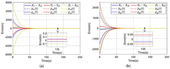
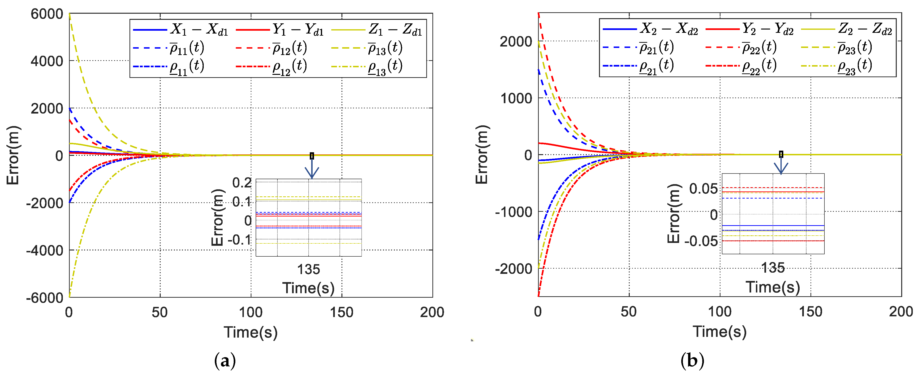
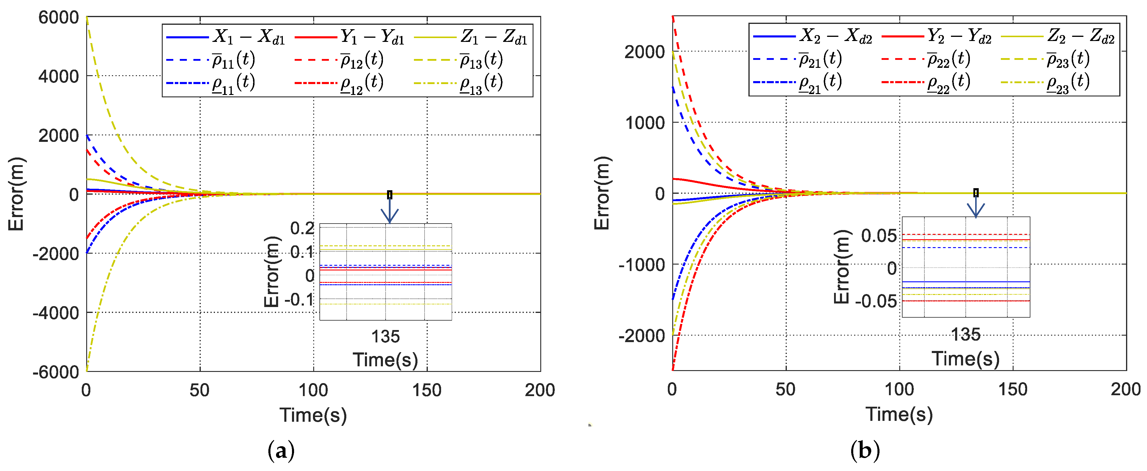
As highlighted in Remark 1, a bounded ensures the bounded stability of the system. Furthermore, when the value of in Equation (43) is set to 0, the system exhibits asymptotic stability. Therefore, in this section, we focus solely on verifying asymptotic stability. For all three mission scenes, the performance function chosen is , with and . The initial values of are set to , , and for the three respective mission scenes. By solving the LMI, a feasible pair of solutions is and , leading to .
Figure 5a–c illustrate the trajectory tracking errors of the LEO satellite in the three mission scenes. It can be observed that the errors along each axis in the ECI coordinate system are successfully constrained within the bounds defined by the upper and lower performance functions. Despite significant initial errors, the trajectory tracking demonstrates satisfactory bounded and asymptotic stability as the gap between the performance bounds narrows. The latitude and longitude ranges set for the three experimental scenes are sufficiently wide, and the time requirements are relatively short. Moreover, these three paths deviate entirely from the satellite’s original orbital trajectory around Earth, making these tasks significantly more challenging than simply correcting the satellite’s native trajectory. However, as shown in the figures, the final performance metrics for all three experiments are successfully achieved, further highlighting the broad adaptability of the proposed control scheme. The experiments also account for various uncertain disturbances, and the results clearly demonstrate that the satellite’s state exhibits significant robustness to these disturbances. This indicates the effectiveness of the designed disturbance observer.
Figure 5.
Visualization of asymptotic stability verification. (a) Trajectory error in the Greater Khingan Range scene. (b) Trajectory error in the Alps scene. (c) Trajectory error in the Kunlun Mountains scene. (d) Control input.
Figure 5d depicts the variation in control thrust along the three axes for the three mission scenes. The initial disparity between the actual coordinates and the desired trajectory leads to a rapid increase in control thrust at the beginning. However, as the tracking error diminishes, the control thrust stabilizes at a lower value. The parameter design of the control scheme reveals that the magnitude of the control input is directly influenced by the convergence rate of the performance function. Adjusting the convergence rate also affects the diagonal elements of the matrix . Increasing the convergence rate enhances tracking speed and precision but results in higher energy consumption during the initial phase. For example, in this section, where , increasing the value of s can further improve the convergence speed, while should be adjusted accordingly. Conversely, reducing s achieves greater energy efficiency but at the cost of slower tracking performance. A balance between energy consumption and control performance must be determined based on system characteristics. Additionally, designing the desired trajectory to better align with the satellite’s initial state can help reduce the initial error and avoid high energy consumption caused by pursuing high precision from the outset. Although the energy demand is relatively high initially due to the large error, it quickly stabilizes at a lower and more sustainable level as the desired performance is achieved.
4.1.2. Different Initial Condition Selection
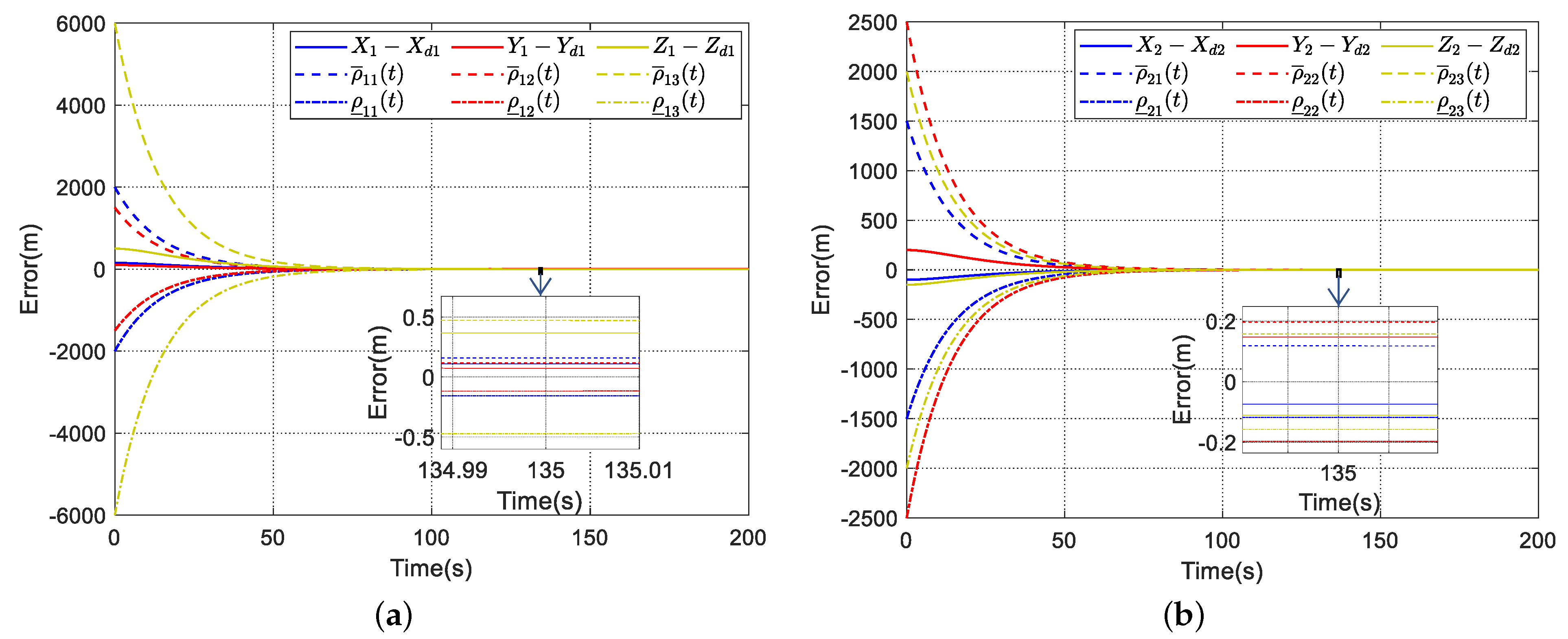
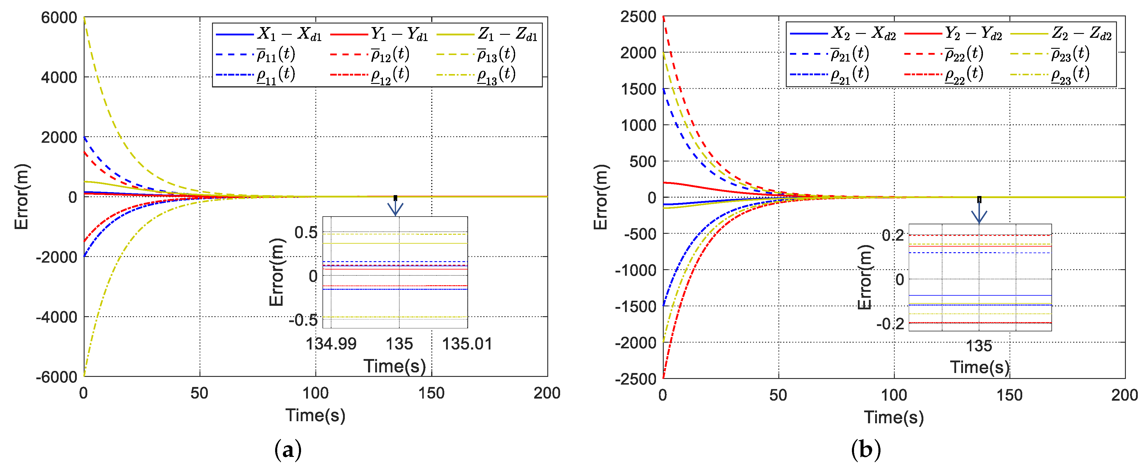
This section will explore the effects of different initial system errors and the initial values of the performance function on system performance. By setting , which is reasonable based on Remark 1, the initial value of the performance function chosen is .
First, we analyze the impact of changes in on system performance. Let the new be ten times the value of that used in Section 4.1.1, with the results shown in Figure 6. Clearly, the newly chosen still satisfies the initial value condition in Remark 1 and has a significantly higher value than the original, but this does not noticeably affect the system’s convergence behavior. This demonstrates that, when meets the initial value condition from Remark 1, the system’s performance is not highly sensitive to changes in .
Figure 6.
Visualization of asymptotic stability verification under different . (a) Trajectory error in the Greater Khingan Range scene. (b) Trajectory error in the Alps scene. (c) Trajectory error in the Kunlun Mountains scene. (d) Control input.
Next, we investigate the impact of initial system errors on system performance. Similarly, we verify this by choosing ten times the error values used in Section 4.1.1. Since the system’s initial conditions have changed, Remark 1 suggests that the initial value of the performance function must also be adjusted accordingly. The new values for are (15,000, 16,000, 70,000), (15,000, 27,000, 35,000), and (80,000, 9000, 20,000), corresponding to the Greater Khingan Range, the Alps, and the Kunlun Mountains, respectively. The system state and output are shown in Figure 7. From the figure, it is evident that achieving the same convergence errors as in Section 4.1.1 requires longer control time and significantly increased control inputs. This indicates that larger initial errors have a noticeable impact on system performance. Therefore, choosing more precise starting points for the trajectory can greatly improve control performance. Additionally, this provides valuable insight for trajectory planning: to compensate for the performance loss caused by initial errors, the starting point of the trajectory can be set closer to the current satellite position. This approach effectively reduces the control input, lowering the energy consumption of the LEO satellite. Once the error is compensated for, the trajectory can be freely adjusted to meet exploration requirements.
Figure 7.
Visualization of asymptotic stability verification under different initial errors. (a) Trajectory error in the Greater Khingan Range scene. (b) Trajectory error in the Alps scene. (c) Trajectory error in the Kunlun Mountains scene. (d) Control input.
4.2. Finite-Time Stability Verification
4.2.1. Convergence Characteristics Under Finite-Time Performance Functions
The time required for the LEO satellite to reach finite-time stability is set to , with an error of , and the initial errors selected are , , and , corresponding to the Greater Khingan Range, Alps, and Kunlun Mountain scenarios, respectively.
The performance function for finite-time stability is expressed as , where . Based on the parameter analysis in Remark 1, if , then depends only on the system’s initial conditions and is independent of the specific performance requirements, as can be any positive constant. This implies that for different performance requirements, one only needs to adjust s, which determines the convergence speed of the performance function. According to the initial errors, the values are set to , , and . By selecting different values of s, we created Table 3. It illustrates the convergence errors of the performance function at 135 s with different convergence rates s.
Table 3.
The effect of parameter s on .
Clearly, satisfies this requirement. The diagonal elements of are set to to guarantee that . + [0.005e−1.2t; 0.005e−0.7t; 0.005e−2t].
As shown in Figure 8a–c, the trajectory tracking errors of the LEO satellite relative to the desired path remain within the bounds defined by the performance function, specifically within the interval . Additionally, a magnified view at 135 s reveals that the tracking errors in all three mission scenes converge along all three axes within the range of [−0.1 m, 0.1 m]. In each mission scene, strict convergence times and error requirements were achieved across all axes. This demonstrates that the proposed control scheme’s ability to meet specified performance metrics is independent of the particular mission scenario. Regardless of the mission settings, the desired system performance can be ensured simply by adjusting the performance function, providing strong validation of the control scheme’s effectiveness. In Figure 8d, it is evident that the thrust required to complete the trajectory tracking tasks remains within a reasonable range. Initially, the thrust increases due to larger errors, but as the satellite approaches the desired performance, the thrust gradually stabilizes at a lower value, consistent with practical energy consumption expectations.

Figure 8.
Visualization of finite-time stability verification. (a) Trajectory error in the Greater Khingan Range scene. (b) Trajectory error in the Alps scene. (c) Trajectory error in the Kunlun Mountains scene. (d) Control input.
The trajectory tracking process in practical scenarios is illustrated in Figure 9, showing how the LEO satellite transitions from the original trajectory to the mission trajectory. Under the control of the AD-PPC scheme, the satellite successfully achieves the desired tracking performance.
Figure 9.
Visualization of practical scene tracking demonstration. (a) The Greater Khingan Mountains scene. (b) The Alps scene. (c) The Kunlun Mountains scene.
4.2.2. Finite-Time Performance Function Parameter Selection
In this section, the impact of different convergence rates s on system performance will be verified.
As shown in Table 3, even a slight change in the value of s can lead to significant variations in the magnitude of . We selected from Table 3 to investigate its effect on the system control input. The result, shown in Figure 10, indicates a substantial increase in the control input at the initial moment, leading to higher energy consumption. Although this increase is temporary, it could exceed the energy limits of certain LEO satellites.
Figure 10.
Visualization of control input of finite-time stability when .
The analysis above demonstrates that the control input is highly sensitive to changes in s. Motivated by this, and based on the relationship between s and provided in Table 3, we hypothesize that by appropriately reducing s, the control input can be significantly reduced while maintaining excellent system performance.
By choosing , the results shown in Figure 11 illustrate that although s is only decreased by 0.01, there is a clear reduction in the control input. Furthermore, the magnified portion of the figure reveals that the convergence remains almost the same as when . This indicates that the control input is highly sensitive to changes in s, and this sensitivity can offer a valuable approach when balancing performance requirements and energy conservation.

Figure 11.
Visualization of finite-time stability verification when . (a) Trajectory error in the Greater Khingan Range scene. (b) Trajectory error in the Alps scene. (c) Trajectory error in the Kunlun Mountains scene. (d) Control input.
4.3. Disturbance Observer Performance Verification
Figure 12 illustrates the tracking performance and the tracking error of the disturbance observer for the unknown disturbance components along the three axes of the ECI coordinate system in the three mission scenes. Specifically, Figure 12a–c present the tracking processes, while Figure 12d–f show the tracking errors. It can be observed that the disturbance observer exhibits satisfactory tracking performance across all performance requirements. The SkySat satellite operates at an altitude of 500 km, representing an LEO satellite. The primary disturbances it faces, including atmospheric drag and non-spherical gravitational effects, are already accounted for in the motion model. Other unknown disturbances, such as electromagnetic forces, collisions with space debris, and solar radiation pressure, have relatively small magnitudes, with some of these effects exhibiting finite energy characteristics. Therefore, assumptions about the initial values of these disturbances and simulations of their varying characteristics are sufficient. Although these disturbances are small, over time they can cause orbital deviations and have a significant impact when high-precision control is required. The results shown in the figure confirm that the designed disturbance observer effectively mitigates the impact of unknown disturbances, preventing control failure under high-precision performance function constraints. As a result, remains confined within a very small range, allowing the control input to satisfy Equation (31) with a minimal compensation term, thus avoiding excessive control energy consumption.
Figure 12.
Visualization of disturbance observer. (a) and in the Greater Khingan Range scene. (b) and in the Alps scene. (c) and in the Kunlun Mountains scene. (d) in the Greater Khingan Range scene. (e) in the Alps scene. (f) in the Kunlun Mountains scene.
4.4. Comparison with the PPC Scheme Proposed in [11]
To demonstrate the superiority of the proposed method in tracking performance, task adaptability, disturbance rejection, and energy efficiency, a comparison was conducted with the SPO-PPC scheme presented in [11], and employing the performance metrics selected in Section 4.1 for validation in this section. The selected performance function is , with , . The satellite under consideration weighs 200 kg, and the magnitude of the unknown disturbance is . Then, + [0.005e−1.2t; 0.005e−0.7t; 0.005e−2t]. The mission scenario involves maneuvering the satellite to a point located at a relative position of (215, , 30) m. In addition, to more clearly compare the advantages of the AD-PPC disturbance observer under strong disturbances, a comparison is also provided for a scenario where a strong disturbance in the range of suddenly occurs during operation.
The comparison results are shown in Figure 13, where Figure 13a illustrates the trajectory tracking error along the three axes in the ECI coordinate system, and Figure 13b shows the corresponding control inputs. From the magnified portions of the figures, it is evident that the proposed method achieves faster convergence and lower energy consumption. As shown in Figure 13c, when encountering strong unknown disturbances, the LEO satellite under the SPO-PPC control scheme loses robustness, deviating significantly from the intended path and only completing the convergence action after the unknown disturbance has attenuated. In contrast, the AD-PPC control scheme responds promptly by enhancing thrust along all three axes to compensate for the sudden disturbance, as shown in Figure 13d, maintaining system robustness without affecting the convergence process. This fully demonstrates the advantages of the disturbance observer integrated into the AD-PPC scheme.
Figure 13.
Comparison between SPO-PPC and AD-PPC. (a) Trajectory error along the x-axis, y-axis, and z-axis. (b) Control input along the x-axis, y-axis, and z-axis. (c) Trajectory error along the x-axis, y-axis, and z-axis under strong disturbances. (d) Control input along the x-axis, y-axis, and z-axis under strong disturbances.
It is worth emphasizing that Section 4.1 has demonstrated that the AD-PPC algorithm can track arbitrary time-varying task paths, which cannot be achieved by the SPO-PPC algorithm designed for tracking specific coordinate points. Moreover, the AD-PPC algorithm can adapt the performance function to meet various performance requirements, thereby providing a unified approach to achieving different performance objectives—another advantage over the SPO-PPC algorithm.
4.5. Summary of the Simulation Results
From the experimental results in Section 4.1 and Section 4.2, it can be observed that the AD-PPC algorithm effectively adapts to various stability requirements by adjusting the performance function , keeping the system states within the desired performance bounds. This demonstrates the unified framework concept proposed in this paper and significantly enhances the adaptability of LEO satellites to high-precision tasks and complex operating conditions. Furthermore, each set of experiments considers various unknown uncertainties encountered by satellites in space. The results show strong robustness in satellite states, which can be attributed to the integration of the disturbance observer. Section 4.3 further confirms the effectiveness of the designed disturbance observer in estimating unknown disturbances. It is worth emphasizing that for both time-varying and time-invariant path-tracking tasks, specific time-parameterized paths can be incorporated into the AD-PPC algorithm, highlighting its wide applicability, which is validated in Section 4.4, in which the comparative experiments demonstrate at the same time that the AD-PPC algorithm achieves higher tracking accuracy with lower energy consumption, fully validating the superiority of the proposed algorithm.
5. Discussion
Through comparisons with existing LEO satellite trajectory tracking control methods, we found that the proposed AD-PPC scheme demonstrates superior performance. Traditional approaches such as SMC, GA, and optimal control cannot ensure predefined performance metrics, often requiring compromises in accuracy. Although existing PPC methods excel in meeting specific performance metrics, they are typically limited to a single metric, impose limitations on the applicability of disturbance rejection schemes tailored to that metric, and ultimately reduce applicability in practical scenarios. To improve the accuracy of current LEO satellite trajectory tracking control and broaden its applicability, we propose the AD-PPC scheme specifically designed for LEO satellite trajectory tracking. This scheme addresses the limitations of single-performance metrics by integrating various performance requirements while accounting for the diverse disturbances faced by LEO satellites. These advantages make the proposed scheme highly suitable for LEO satellites that need to perform tasks with high precision under various environmental conditions. However, the proposed method is model-based, requiring system parameter identification for the LEO satellites and disturbance matrix estimation. This implies that its ability to handle model uncertainties is limited. Moreover, because the control scheme targets high precision, there may be significant surges in control input at the initial moment. Future work will explore methods to further address some of the unknowns in the system model and investigate how to design the transition process for control inputs when initial errors are large, in order to reduce fluctuations in the control input.
6. Conclusions
This paper presents an trajectory tracking AD-PPC scheme for LEO satellites to achieve high-precision trajectory tracking in complex space environments. The proposed method begins by modeling key influences such as atmospheric drag and non-sphericity effects experienced by LEO satellites. Building on a unified approach that can accommodate various performance metrics, the disturbance observer is incorporated independently of the performance function and successfully integrated with the different performance criteria. This combination of disturbance rejection and performance metrics ensures the robustness of the LEO satellite under various stability requirements and unknown disturbances. The effectiveness of the proposed algorithm is validated through real LEO satellite data, and the results confirm that the designed scheme enables the LEO satellite to achieve high-precision tracking of an arbitrarily set time-parameterized trajectory, meeting various predefined performance objectives even under complex space disturbances. However, the proposed method relies on the model, necessitating an improvement in its ability to handle model uncertainties. Additionally, to address control input fluctuations caused by large initial errors, a transition process for the initial control input can be designed. Future work will focus on these two aspects.
Author Contributions
Conceptualization, Y.Z. and J.C.; methodology, Y.Z.; software, Y.Z.; validation, Y.Z. and J.C.; formal analysis, Y.Z.; investigation, J.C. and Y.Z.; resources, W.C. and J.C.; data curation, Y.Z.; writing—original draft preparation, Y.Z.; writing—review and editing, J.C.; visualization, Y.Z.; supervision, J.C. and W.C.; project administration, J.C.; funding acquisition, J.C. and W.C. All authors have read and agreed to the published version of the manuscript.
Funding
This research was funded by the National Natural Science Foundation of China (Grant Nos. 92371112, 62073254, and 92271101).
Data Availability Statement
Restrictions apply to the availability of these data.
Acknowledgments
The authors are grateful to Planet Labs and European Space Agency for providing the data. The authors also thank the anonymous reviewers for their valuable time and contributions.
Conflicts of Interest
The authors declare no conflicts of interest.
Abbreviations
The following abbreviations are used in this manuscript:
| AD-PPC | anti-disturbance PPC |
| ECI | Earth-centered inertial |
| ESO | Extended state observer |
| FTESO | Finite-time extended state observer |
| GA | Genetic algorithm |
| LEO | Low-Earth-Orbit |
| LMI | Linear matrix inequality |
| MDPI | Multidisciplinary Digital Publishing Institute |
| MPC | Model predictive control |
| MSMEFC | Minimum sliding mode error feedback control |
| PPC | Prescribed performance control |
| RO | Reference orbit |
| SMC | Sliding mode control |
| SPO-PPC | Spacecraft proximity operations PPC |
References
- Jiang, B.; Dong, X.; Deng, M.; Wan, F.; Wang, T.; Li, X.; Zhang, G.; Cheng, Q.; Lv, S. Geolocation Accuracy Validation of High-Resolution SAR Satellite Images Based on the Xianning Validation Field. Remote Sens. 2023, 15, 1794. [Google Scholar] [CrossRef]
- Xu, K.; Zhou, X.; Li, K.; Wang, X.; Peng, H.; Gao, F. Precise Orbit Determination for Maneuvering HY2D Using Onboard GNSS Data. Remote Sens. 2024, 16, 2410. [Google Scholar] [CrossRef]
- Silva, W.R.; Garcia, R.V.; Pardal, P.C.P.M.; Kuga, H.K.; Zanardi, M.C.F.P.S.; Baroni, L. The Extended H∞ Particle Filter for Attitude Estimation Applied to Remote Sensing Satellite CBERS-4. Remote Sens. 2023, 15, 4052. [Google Scholar] [CrossRef]
- Wu, Y.; Liu, Q.; Sun, H.; Xue, D. HRTracker: Multi-Object Tracking in Satellite Video Enhanced by High-Resolution Feature Fusion and an Adaptive Data Association. Remote Sens. 2024, 16, 3347. [Google Scholar] [CrossRef]
- Saunier, S.; Karakas, G.; Yalcin, I.; Done, F.; Mannan, R.; Albinet, C.; Goryl, P.; Kocaman, S. SkySat Data Quality Assessment within the EDAP Framework. Remote Sens. 2022, 14, 1646. [Google Scholar] [CrossRef]
- Baldin, C.M.; Casella, V.M. Vegetative Index Intercalibration Between PlanetScope and Sentinel-2 Through a SkySat Classification in the Context of “Riserva San Massimo” Rice Farm in Northern Italy. Remote Sens. 2024, 16, 3921. [Google Scholar] [CrossRef]
- Chanda, M.; Hossain, A.K.M.A. Application of PlanetScope Imagery for Flood Mapping: A Case Study in South Chickamauga Creek, Chattanooga, Tennessee. Remote Sens. 2024, 16, 4437. [Google Scholar] [CrossRef]
- Kim, B.; Lee, K.; Park, S. Burned-Area Mapping Using Post-Fire PlanetScope Images and a Convolutional Neural Network. Remote Sens. 2024, 16, 2629. [Google Scholar] [CrossRef]
- Aati, S.; Avouac, J.P. Optimization of Optical Image Geometric Modeling, Application to Topography Extraction and Topographic Change Measurements Using PlanetScope and SkySat Imagery. Remote Sens. 2020, 12, 3418. [Google Scholar] [CrossRef]
- Malyuta, D.; Yu, Y.; Elango, P.; Açıkmeşe, B. Advances in trajectory optimization for space vehicle control. Annu. Rev. Control 2021, 52, 282–315. [Google Scholar] [CrossRef]
- Shao, X.; Hu, Q.; Shi, Y. Adaptive Pose Control for Spacecraft Proximity Operations With Prescribed Performance Under Spatial Motion Constraints. IEEE Trans. Control Syst. Technol. 2021, 29, 1405–1419. [Google Scholar] [CrossRef]
- Hu, Q.; Xie, J.; Wang, C. Dynamic path planning and trajectory tracking using MPC for satellite with collision avoidance. ISA Trans. 2019, 84, 128–141. [Google Scholar] [CrossRef]
- Yasini, T.; Roshanian, J.; Taghavipour, A. Improving the low orbit satellite tracking ability using nonlinear model predictive controller and Genetic Algorithm. Adv. Space Res. 2023, 71, 2723–2732. [Google Scholar] [CrossRef]
- Huang, S.; Yang, Y.; Yan, Y.; Zhang, S.; Liu, Z. Observer-Based Robust Finite-Time Trajectory Tracking Control for a Stratospheric Satellite Subject to External Disturbance and Actuator Saturation. Int. J. Aerosp. Eng. 2022, 2022, 1601771. [Google Scholar] [CrossRef]
- Bertuccio, P. Optimization-Based Trajectory Planning with Adaptive SMC for Space Applications. Ph.D. Thesis, Politecnico di Torino, Turin, Italy, 2023. [Google Scholar]
- Huang, X.; Zhang, Q.; Chen, H.; Ma, Z. Fuel-Optimal Orbit Transfer Trajectory Optimization Method for Satellites. In Proceedings of the 2024 36th Chinese Control and Decision Conference (CCDC), Xi’an, China, 25–27 May 2024; pp. 5090–5095. [Google Scholar] [CrossRef]
- Possner, M.P.; Scheeres, D.J. Control of science orbits about planetary satellites. J. Guid. Control. Dyn. 2009, 32, 223–231. [Google Scholar] [CrossRef]
- Elbeltagy, A.E.H.M.; Youssef, A.M.; Bayoumy, A.M.; Elhalwagy, Y.Z. Fixed ground-target tracking control of satellites using a nonlinear model predictive control. Math. Model. Eng. Probl. 2018, 5, 11–20. [Google Scholar] [CrossRef]
- Bechlioulis, C.P.; Rovithakis, G.A. Adaptive control with guaranteed transient and steady state tracking error bounds for strict feedback systems. Automatica 2009, 45, 532–538. [Google Scholar] [CrossRef]
- Hu, Q.; Shao, X.; Guo, L. Adaptive Fault-Tolerant Attitude Tracking Control of Spacecraft with Prescribed Performance. IEEE/ASME Trans. Mechatronics 2018, 23, 331–341. [Google Scholar] [CrossRef]
- Niu, Z.; Dai, M.Z.; Gao, J.; Wei, C.; Zhang, C. Performance-adjustable PPC policies for spacecraft attitude-orbit coupled tracking under event-triggered sampling. Int. J. Robust Nonlinear Control 2024, 34, 888–909. [Google Scholar] [CrossRef]
- Fu, J.; Chen, L.; Zhang, D.; Zhang, J.; Shao, X. Disturbance Observer-Based Prescribed Performance Predictive Control for Spacecraft On-Orbit Inspection. J. Guid. Control Dyn. 2022, 45, 1873–1889. [Google Scholar] [CrossRef]
- Zhuang, M.; Tan, L.; Li, K.; Song, S. Fixed-time formation control for spacecraft with prescribed performance guarantee under input saturation. Aerosp. Sci. Technol. 2021, 119, 107176. [Google Scholar] [CrossRef]
- Nwankwo, V.; Jibiri, N.N.; Kio, M.T. The impact of space radiation environment on satellites operation in near-Earth space. Satell. Mission. Technol. Geosci. 2020, 1, 73–90. [Google Scholar] [CrossRef]
- Ahmad, N.; Herdiwijaya, D.; Djamaluddin, T.; Usui, H.; Miyake, Y. Diagnosing low earth orbit satellite anomalies using NOAA-15 electron data associated with geomagnetic perturbations. Earth Planets Space 2018, 70, 91. [Google Scholar] [CrossRef]
- Stacey, N.; D’Amico, S. Adaptive and Dynamically Constrained Process Noise Estimation for Orbit Determination. IEEE Trans. Aerosp. Electron. Syst. 2021, 57, 2920–2937. [Google Scholar] [CrossRef] [PubMed]
- Tavakoli, M.; Assadian, N. Model predictive orbit control of a Low Earth Orbit satellite using Gauss’s variational equations. Proc. Inst. Mech. Eng. Part G J. Aerosp. Eng. 2014, 228, 2385–2398. [Google Scholar] [CrossRef]
- Cao, L.; Chen, X.; Misra, A.K. Minimum sliding mode error feedback control for fault tolerant reconfigurable satellite formations with J2 perturbations. Acta Astronaut. 2014, 96, 201–216. [Google Scholar] [CrossRef]
- Zhao, Q.; Duan, G. Prescribed performance tracking control for spacecraft proximity operations with inertia property identification. Aerosp. Sci. Technol. 2023, 141, 108555. [Google Scholar] [CrossRef]
- Wang, K.; Meng, T.; Wang, W.; Song, R.; Jin, Z. Finite-time extended state observer based prescribed performance fault tolerance control for spacecraft proximity operations. Adv. Space Res. 2022, 70, 1270–1284. [Google Scholar] [CrossRef]
- Guo, Z.; Henry, D.; Guo, J.; Wang, Z.; Cieslak, J.; Chang, J. Control for systems with prescribed performance guarantees: An alternative interval theory-based approach. Automatica 2022, 146, 110642. [Google Scholar] [CrossRef]
- Lv, Y.; Liu, Z.; Jiang, R.; Xie, X. Modeling of Solar Radiation Pressure for BDS-3 MEO Satellites with Inter-Satellite Link Measurements. Remote Sens. 2024, 16, 3900. [Google Scholar] [CrossRef]
- Yan, X.; Liu, C.; Huang, G.; Zhang, Q.; Wang, L.; Qin, Z.; Xie, S. A Priori Solar Radiation Pressure Model for BeiDou-3 MEO Satellites. Remote Sens. 2019, 11, 1605. [Google Scholar] [CrossRef]
- Lu, Y.; Shao, Q.; Yue, H.; Yang, F. A Review of the Space Environment Effects on Spacecraft in Different Orbits. IEEE Access 2019, 7, 93473–93488. [Google Scholar] [CrossRef]
- Farina, L.; Rinaldi, S. Positive Linear Systems: Theory and Applications; John Wiley & Sons: Hoboken, NJ, USA, 2011. [Google Scholar]
- Lu, W.; Liu, X.; Chen, T. A note on finite-time and fixed-time stability. Neural Netw. 2016, 81, 11–15. [Google Scholar] [CrossRef] [PubMed]
- Longanbach, M.; McGill, L. Scaling fleet operations: The growth and results of SkySat mission operations. In Proceedings of the 2018 SpaceOps Conference, Marseille, France, 28 May–1 June 2018; p. 2706. [Google Scholar]
- Boain, R.J. AB-Cs of Sun-Synchronous Orbit Mission Design; Jet Propulsion Laboratory, National Aeronautics and Space Administration: Pasadena, CA, USA, 2004. [Google Scholar]
- Wertz, J. Spacecraft Attitude Determination and Control; Springer: Dordrecht, The Netherlands, 1978. [Google Scholar]
- Shahbazi, B.; Malekzadeh, M.; Koofigar, H.R. Robust Constrained Attitude Control of Spacecraft Formation Flying in the Presence of Disturbances. IEEE Trans. Aerosp. Electron. Syst. 2017, 53, 2534–2543. [Google Scholar] [CrossRef]
Disclaimer/Publisher’s Note: The statements, opinions and data contained in all publications are solely those of the individual author(s) and contributor(s) and not of MDPI and/or the editor(s). MDPI and/or the editor(s) disclaim responsibility for any injury to people or property resulting from any ideas, methods, instructions or products referred to in the content. |
© 2025 by the authors. Licensee MDPI, Basel, Switzerland. This article is an open access article distributed under the terms and conditions of the Creative Commons Attribution (CC BY) license (https://creativecommons.org/licenses/by/4.0/).














