Abstract
The degradation of ecosystem services (ES) poses a significant obstacle to regional sustainable development. Land-use change is widely recognized as a pivotal factor driving the spatio-temporal dynamics of ES supply and demand. However, the future impact of land-use changes on supply–demand risks remains largely unknown. To fill this knowledge gap, we conducted a study in the Gansu section of the Yellow River Basin. By integrating Cellular Automata (CA) and an enhanced Markov model within the GeoSOS-FLUS framework, we dynamically simulated land-use changes under three scenarios—the Normal Development Scenario (NDS), Ecological Protection Scenario (EPS), and Rapid Socio-economic Development Scenario (RDS)—spanning from 2020 to 2050. Furthermore, we employed the InVEST model to analyze the spatio-temporal pattern of supply, demand, supply-to-demand ratios, and supply–demand risks for water provision, carbon storage, and soil conservation under all scenarios. Firstly, all scenarios project an increase in built-up land, primarily from unused land, shrubland, grassland, and cropland. Forest land and water bodies remain stable. Secondly, water provision increases, but demand grows faster, leading to supply–demand imbalances, with high-risk areas in the north, central, and east. Soil conservation shows balanced supply and demand with high-risk areas in the north. Carbon storage remains stable, with high-risk areas in the central and east regions. Thirdly, high-risk areas for water provision increase under all scenarios, particularly under the Rapid Socio-economic Development scenario.
1. Introduction
In the context of global climate change, the conservation and sustainable utilization of ecosystem services (ES) have become a significant issue that cannot be ignored worldwide [1,2]. ES, as invaluable assets bestowed by nature upon humanity, encompass water yield, soil conservation, climate regulation, and many other aspects, playing an essential role in Earth’s stability and human development [3,4,5]. In the 21st century, the research on ES has entered a stage of rapid development. Scholars have evaluated the ES of different regions and types of ecosystems. Accounting for the value of ecosystem services involves the identification and classification of these services, serving as a foundation for ecosystem management. It also helps people to recognize the inherent value of nature, thereby promoting ecological conservation. Due to the concept of ES, many scholars also call for improving the regulation and cultural value of ecosystem services to alleviate the conflict between protection and development and maximize the overall value of ecosystem services. The steady supply of ES not only directly relates to regional ecological security but also exerts profound and complex influences on the ecological balance [6]. In view of the profound impact of large-scale human activities on the natural ecosystem since the Industrial Revolution, understanding how land use is utilized and how it changes over time is crucial for maintaining ecological balance, as land use directly impacts the provision of ES [7,8,9]. Therefore, an exploration of the relationship between land-use changes and ES not only helps to reveal the complex mechanisms underlying the dynamic changes in ES but also helps in formulating effective ecological protection policies.
The intrinsic characteristics of ecosystems, such as biodiversity and ecosystem types, influence their services. At larger scales, natural factors are the predominant determinants of ecosystem service value. Regions with higher average annual temperatures and humid climates tend to exhibit rapid material cycling and greater biomass, typically resulting in higher ecosystem service values. Conversely, on a smaller scale, human activities impact ecosystem service functions the most. Factors such as population density and socio-economic development dictate the status of human activities, which are reflected in changes in land use. These changes can modify the supply and demand relationships of ecosystem services. In recent years, researchers have explored how land-use change affects the ES supply–demand ratio (ESDR) from multiple dimensions and using various methods [10,11]. For instance, studies have shown that increasing forest restoration not only significantly enhances the provisioning capacity of ES, such as water yield, soil conservation, and carbon storage, but also improves service sustainability by optimizing ecosystem structure [12,13]. Conversely, excessive expansion of agricultural land may increase provision services such as food supply but lead to a decrease in biodiversity; enhance soil erosion; decrease regulation, support services, and the overall supply level of ES; and exacerbate the imbalance in the ESDR [14]. Furthermore, with the acceleration of urbanization, the continual expansion of construction land has also markedly influenced the ESDR, particularly in areas such as water conservation and climate regulation, exhibiting evident negative effects [15,16,17]. In contrast, the adoption of ecological restoration measures like returning farmland to forest or grassland significantly improves the provisioning capacity of ES and ecosystem stability, bringing the ESDR towards balance [18,19,20]. However, these studies often focus on single-dimension examinations, neglecting potential future trends in the balance of ES supply and demand, which may lead to negative consequences such as ineffective ecological management strategies, unreasonable resource allocation, declined ES functions, and compromised human well-being. The study area is extensive, and human factors have significantly transformed the local landscape. Therefore, when simulating land-use changes under multiple scenarios, this research adopted multi-dimension examinations, encompassing all available human and natural factors as possible.
To enhance the precision of evaluating the long-term consequences of land-use changes on the balance of ES supply and demand, as well as their implications for human well-being, researchers have increasingly concentrated on a comprehensive analysis of the influence of land-use changes on this balance and the associated risk [21,22,23]. This focus includes efforts to forecast future alterations in supply and demand dynamics [21,24,25]. Moreover, combined with diverse data on climate change, population growth, and economic development, researchers have constructed multi-scenario simulation models to predict the ESDR under different land-use change pathways [11,21]. Studies have found that under scenarios of rapid urbanization, the continuous expansion of construction land will severely invade ecological land, resulting in a substantial decline in water yield, further unbalancing the water ESDR [26]. However, when ecological protection measures are implemented, such as policies for returning farmland to grassland and forest, optimizing land-use structure, and promoting rational layout of ecological land, the ESDR increases significantly [27]. Simulation results indicate that under the scenarios that give priority to ecological protection, the provisioning capacity of services like water yield and carbon storage will enhance notably, bringing the ESDR towards balance and promoting sustainable development. The studies also provide reasonable suggestions for policy-making based on ESDR, such as the establishment of protected areas, land-use restrictions, and areas for returning farmland to forests.
The Gansu section of the upper Yellow River Basin (GYRB), recognized as an ecologically sensitive area, experiences land-use changes that significantly affect the stability of the local ecosystem. These changes also have extensive implications for the ecological environment of the entire Yellow River Basin and its surrounding areas. The InVEST model is an open-source tool used to account for ecosystem service functions. Its most widely applied components include habitat quality, water yield, carbon storage, and sediment transport ratio, encompassing support, provision, and regulating services. GeoSOS-FLUS has the characteristics of high simulated longitude, fast speed, and more convenient use. Thus, this study dynamically simulates future land-use change processes and comprehensively assesses the supply–demand status, ESDRs, and risks of key ES by integrating remote sensing data with models such as GeoSOS-FLUS and InVEST. This study integrates diverse natural and socio-economic factors to simulate the dynamic patterns of land-use change across various scenarios and employs the InVEST model for a spatial assessment of ES. Through visual exhibition that offers a scientific foundation for decision-makers, it facilitates the scientific development and refinement of ES management strategies and land-use policies. We aim to achieve several specific goals: first, to reveal the dynamic impact of land-use change on the supply–demand risks of ES; second, to identify which transitions between land-use types exert the most significant influence on the supply–demand risks of ES across different scenarios; and third, to formulate targeted ecological protection and restoration strategies, informed by simulation results, to mitigate the adverse effects of land-use change on ES and enhance their sustainable provision.
2. Methods
2.1. Study Area
The Gansu section of the Yellow River Basin GYRB (33°N_37.5°N, 100°E_108.5°E) occupies the central and eastern parts of Gansu Province, upstream of the Yellow River. It is situated east of Wushaoling Mountain and north of the West Qinling Mountains, bordering Shaanxi Province to the east, Qinghai Province to the west, and the Ningxia Hui Autonomous Region to the north. This section of the basin spans nine administrative divisions, including Gannan Tibetan Autonomous and Linxia Hui Autonomous Prefecture, and Baiyin, Lanzhou, Wuwei, Dingxi, Tianshui, Pingliang, and Qingyang City (Figure 1). The altitude in these regions reaches 2200 m, with most areas lying to the west of the 400 mm isohyet line. The GYRB section occupies 34.3% of the land area of Gansu Province, covering a total area of 145,900 square kilometers. Its main river course stretches for 913 km, comprising 16.7% of the entire Yellow River’s length, while the basin area constitutes approximately 19% of the Yellow River’s total basin. Featuring a complex and diverse terrain where mountains, plateaus, river valleys, deserts, and gobies intertwine, this region fosters the coexistence of multiple ecosystems, plays a key role in water conservation, and supports critical ecological functions such as safeguarding the headwater zones of China’s primary rivers, conserving water resources, mitigating wind erosion, stabilizing sand, and preserving biodiversity. However, it also intensifies the instability and fragility of the ecological environment. Moreover, the Gansu section serves as a central political, economic, and cultural hub for Gansu Province and forms a key element of China’s national ecological security strategy. As of 2020, the region’s population stood at 19.539 million, with a regional GDP of CNY 679.99 billion. As the primary concentration area of the population in Gansu Province, this region faces a prominent contradiction between the supply and demand of ecosystem services.
Figure 1.
Location map of the Gansu section of the Yellow River Basin.
2.2. Data Collection and Preprocessing
The data are sourced from domestic or international platforms such as Resource and Environmental Science Data Platform, Harmonious World Soil Database, Resource and Environmental Science Data Platform, etc. In the data sources of the website, raster data are mostly obtained by processed satellite influences, while vector information such as residential areas is obtained from map POIs. This study employs imagery datasets with a spatial resolution of 30 m, which are essential for analyzing land cover types and their temporal changes. Specifically, the GLC_FCS30D dataset was utilized to generate land-use maps for the years 2000, 2010, and 2020 [28]. We generated 15 driving factors that significantly influence land-use change, encompassing 2 socio-economic factors, 4 soil factors, 2 climatic factors, 2 topographic factors, and 6 transportation and location factors (Table S1). Furthermore, variables were generated to calculate the supply and demand of ES (Table S2). In addition to the socio-economic, soil, climatic, topographic, and transportation-related location previously mentioned, this study incorporates high-resolution remote-sensing imagery obtained from Landsat and Sentinel satellites.
2.2.1. Land-Use Pattern Modelling and Scenarios Setting
This study developed a framework that delineates a comprehensive methodological approach for evaluating land-use changes and ecosystem service supply–demand risks under three scenarios from 2020 to 2050 in the GYRB. The findings are intended to inform sustainable ecosystem management and development strategies by integrating land-use dynamics with ecological functions. The framework of this study is illustrated in Figure 2.
Figure 2.
The framework of LUCC modeling and supply–demand risk evaluation.
2.2.2. The Path-Generating Land-Use Simulation Model and Multi-Scenario Design
This study integrates a coupled Cellular Automata (CA) and Markov model within the GeoSOS-FLUS framework to dynamically simulate and project future land-use patterns under three distinct scenarios in the GYRB. This approach leverages the strengths of each model: the CA module captures spatial interactions among land-use elements, while the Markov model predicts quantitative changes in land-use types [24]. The coupled CA-Markov model thus combines the CA module’s spatial analytical capabilities with the Markov model’s quantitative forecasting strength, providing a comprehensive analysis of land-use dynamics both spatially and quantitatively (Figure 3) [29,30]. During model coupling, simulation outputs from each stage, along with the driving forces and demands for the subsequent stage, serve as inputs for the next iteration. This iterative coupling fosters continuous feedback between the models throughout the simulation, minimizes error propagation, and demonstrates strong applicability and scientific robustness. In addition, the scenarios incorporated socio-economic and ecological factors reflective of different potential futures. Using a 2020 land-use map as a baseline, we compared the outcomes of these scenarios while assuming a stable climate, with annual temperature and precipitation remaining constant.
Figure 3.
The principle of FLUS model operation.
The Markov model, a stochastic framework for predicting non-spatial quantitative demands in future land use, effectively generates transition probabilities for land-use types across various temporal sequences [29]. By analyzing the maximum probability values for land-use changes in matrix form from 2010 to 2020, we compute the likelihood of each type either remaining stable or shifting to a different category. This model is then employed to forecast land-use quantities for the years 2030, 2030, and 2050.
After downloading the data, crop it to a unified range and adjust the coordinate system to WGS-1984-UTM_Zone_51 N. Referring to the user manual of the model and previous research, in the application of the FLUS model, every raster should have an attribute table and consistent row and column. Then, data are input into the Artificial Neural Network (ANN)-based Probability of Occurrence Estimation, using Uniform Sampling with the Sampling Rate set to 10/1000 and Hidden Layer set to 13. Set the Maximum Number of Iteration to 300, Neighborhood (odd) to 3, and accelerate to 0.2.
The Cellular Automaton (CA) model is designed to predict the spatial pattern of future land use based on demands established by non-spatial modules [30]. The implementation of this model occurs in two distinct phases: an ANN algorithm is employed to train and predict the probability of occurrence for each land-use type within specific grid cells; second, an adaptive inertia and competition mechanism is developed to manage the competition and interaction among various land-use types.
The neighborhood weight represents the influence of each land-use type on its surrounding area, ranging from 0 (no influence) to 1 (significant influence) [31]. We dynamically simulated land-use changes under three scenarios—Normal Development Scenario (NDS), Ecological Protection Scenario (EPS), and Rapid Socio-economic Development Scenario (RDS)—spanning from 2020 to 2050. In each scenario, a weight of 1 is assigned to built-up land, indicating its primary focus. The weights for neighboring land types—croplands, forest land, grassland, shrubland, unused land, and water bodies—vary across scenarios. In the EPS, the neighborhood weight of forest land and grassland to construction land is reduced by 20%, and the conversion probability of cultivated land to construction land is reduced by 10%. In terms of weight setting, the neighborhood weight of water area, shrub land, and forest land is increased by 20%. In the RDS, the neighborhood weight of woodland, grassland, and cultivated land being converted to construction land increased by 20%, and farmland will not be converted to woodland. In terms of weight setting, the weight of woodland, grassland, cultivated land, water area, and shrub land decreased by 20% (Table S3). These parameters underscore the differential influence of neighboring land types on the prediction of built-up land, emphasizing the contextual significance in land-use modeling. In the Cost Matrix, the mutual conversion cost and restriction matrix between different land types were set (Tables S3–S6) [32].
Based on the 2010 land-use map, the FLUS model was employed to predict the spatial distribution of land use in 2020. To evaluate the prediction accuracy, we calculated the overall accuracy (OA), Kappa index (Kappa), and Figure of Merit (FoM) by comparing the predicted land-use map with the observed map for the corresponding year [30,33].
2.2.3. Supply and Demand of Ecosystem Services
- Water yield.
Water yield plays a crucial role in the eco-hydrological cycle, providing an estimate of the water volume that ecosystems can supply for human use [25,34]. These services are directly dependent on precipitation and actual evapotranspiration [35]. In this study, water provision was calculated using the InVEST model, which is based on the Budyko hypothesis of coupled water and energy balance, assuming that all water, except for evapotranspiration, reaches the watershed outlet (Table S7) [35,36]. Water demand takes into consideration the water associated with agriculture, industrial production, residents, and ecological needs [37,38]. For estimation purposes, this study collected population density and water resource bulletins for each county-level administrative region. These bulletins provided the information on the per capita water consumption for each year under study.
- 2.
- Carbon storage.
Carbon storage is essential in mitigating the rise of atmospheric CO2 concentrations, regulating the global climate, and maintaining the global carbon balance [39]. In this study, we employed the “Carbon Storage and Sequestration: Climate Regulation” module of the InVEST model to assess carbon storage and sequestration based on land-use data. The model integrates four primary carbon pools: aboveground biomass, belowground biomass, soil, and dead organic matter (Table S8) [35]. Total carbon emissions are used as the demand for carbon sequestration services, given that variations in per capita carbon emissions will result in corresponding increases or decreases in the demand for carbon reduction [40]. Based on data provided by CO₂ emission inventories for various sectors (such as residential, industrial, and agricultural), total carbon emissions are calculated by multiplying the total energy consumption by standard carbon emission factors. The amount of carbon contained in CO₂ accounts for approximately 27% of total carbon. In this study, the average per capita carbon emissions are multiplied by population density to obtain the total carbon emissions for each grid cell [41].
- 3.
- Soil conservation.
In this study, the “Sediment Delivery Ratio module” of the InVEST model was utilized to evaluate the overall soil conservation within the study area [35]. Soil conservation is calculated as the difference between the actual soil erosion (Universal Soil Loss Equation, USLE) and the maximum potential soil erosion, estimated using the Revised Universal Soil Loss Equation without incorporating the C or P factors (RKLS), under the assumption of pristine land-cover conditions (Table S9) [42,43]. The actual soil loss is defined as the soil retention demand, which is based on the actual soil erosion estimated for human intervention [11].
2.2.4. Supply–Demand Ratio of Ecosystem Services (ESDR)
The ES Supply–Demand Ratio (ESDR) index serves as a quantitative measure of the relationship between the actual supply of ES supply and human demand, thereby identifying shortages and mismatches in ES supply and demand [11]. The index is calculated as follows:
where Si and Di represent the actual supply and demand of ES in grid cell i, respectively; Smax is the maximum supply of a specific ES within the study area; and Dmax is the maximum demand for a specific ES within the study area. An ESDRi value greater than 0 indicates an excess supply of a specific ES, a value equal to 0 indicates a balance between supply and demand, and a value less than 0 indicates a shortage of supply, where the supply cannot meet the demand.
ESDRi = (Si − Di)/(Smax + Dmax)/2
2.2.5. Supply–Demand Risk of Ecosystem Service
Based on the existing framework for assessing threats to ES, this study further quantifies the relevant conceptual indicators and develops a comprehensive framework for assessing the risks associated with ES supply and demand [25,37,44]. These supply–demand risks are assessed through the ESDR, the trajectory of the ESDR, and the respective trends in supply and demand. The ESDR effectively captures the spatial heterogeneity inherent in water supply–demand contradictions, and its formula is as follows [34]:
where denotes the ESDR of grid cell x, and and represent the ES supply and demand of grid cell x, respectively. If , it indicates that the area no longer provides services; if lies between 0 and 1, it suggests that the regional supply cannot meet the demand; whereas if > 1, it implies that the regional supply is sufficient.
Moreover, the trend of the ESDR indicates the relative changes in supply and demand, and its calculation formula is as follows:
where denotes the difference in ESDR between year m and year n, and and represent the ESDR for years m and n, respectively. If is less than 0, it indicates a decrease in ; conversely, it suggests either no change or an increase.
Additionally, the supply trend and demand trend represent the absolute changes in supply and demand, respectively, and their formulas are as follows [21]:
where and represent the differences in supply and demand, respectively; and denote the supply in years m and n; and and denote the demand in years m and n. If or is less than 0, it indicates a downward trend; conversely, it suggests a stable or upward trend.
Taking into comprehensive consideration the ESDR, trends in the ESDR, supply trend, and demand trend of ES, the risk of ES supply and demand is classified into seven levels. Selecting three indicators, including ecosystem service supply and demand ratio, supply–demand ratio change, and supply change, summing them up in an equal weight and standardizing them, they are used as relative indicators of the risk of ES supply and demand. Divide it evenly into 7 categories, which means that the total sum score of the risk of ES supply and demand in each pixel is equal within each level. This classification method makes the level division uniform and intuitively compares the high and low service risks within a region, without a single high-risk area and low-risk area. It is an efficient and reasonable relative evaluation method.
3. Results
3.1. Simulation Results and Analysts Under Different Scenarios
The results of the simulation exhibit a high degree of concordance with the empirical data (Figure S1). Utilizing the land-use map from the year 2000, the FLUS model was applied to project the spatial distribution of land use for the years 2010 and 2020. The simulated distributions of water bodies, farmland, forests, grasslands, and unused land closely align with the observed data for 2010 and 2020 (Figure 4). Nonetheless, the compactness of the distribution patterns among various land-use categories is markedly affected by the neighborhood weights. In 2010, the Overall Accuracy (OA) was recorded at 0.863, accompanied by a Kappa coefficient of 0.805, whereas the Figure of Merit (FoM) index was comparatively lower at 0.161. By 2020, the OA index had enhanced to 0.926, and the Kappa coefficient had similarly increased to 0.895, with the FoM index experiencing a modest rise to 0.205. These findings suggest that the 2020 simulation demonstrates superior validity indices compared to the 2010 simulation. The validation indices show a commendable level of accuracy, so we use this parameter to simulating future land-use patterns under various scenarios within the Gansu section of the Yellow River Basin (Table 1).
Figure 4.
Comparison between observations and the FLUS simulation in 2010 and 2020.
Table 1.
The validation indices of different simulation results in 2010 and 2020.
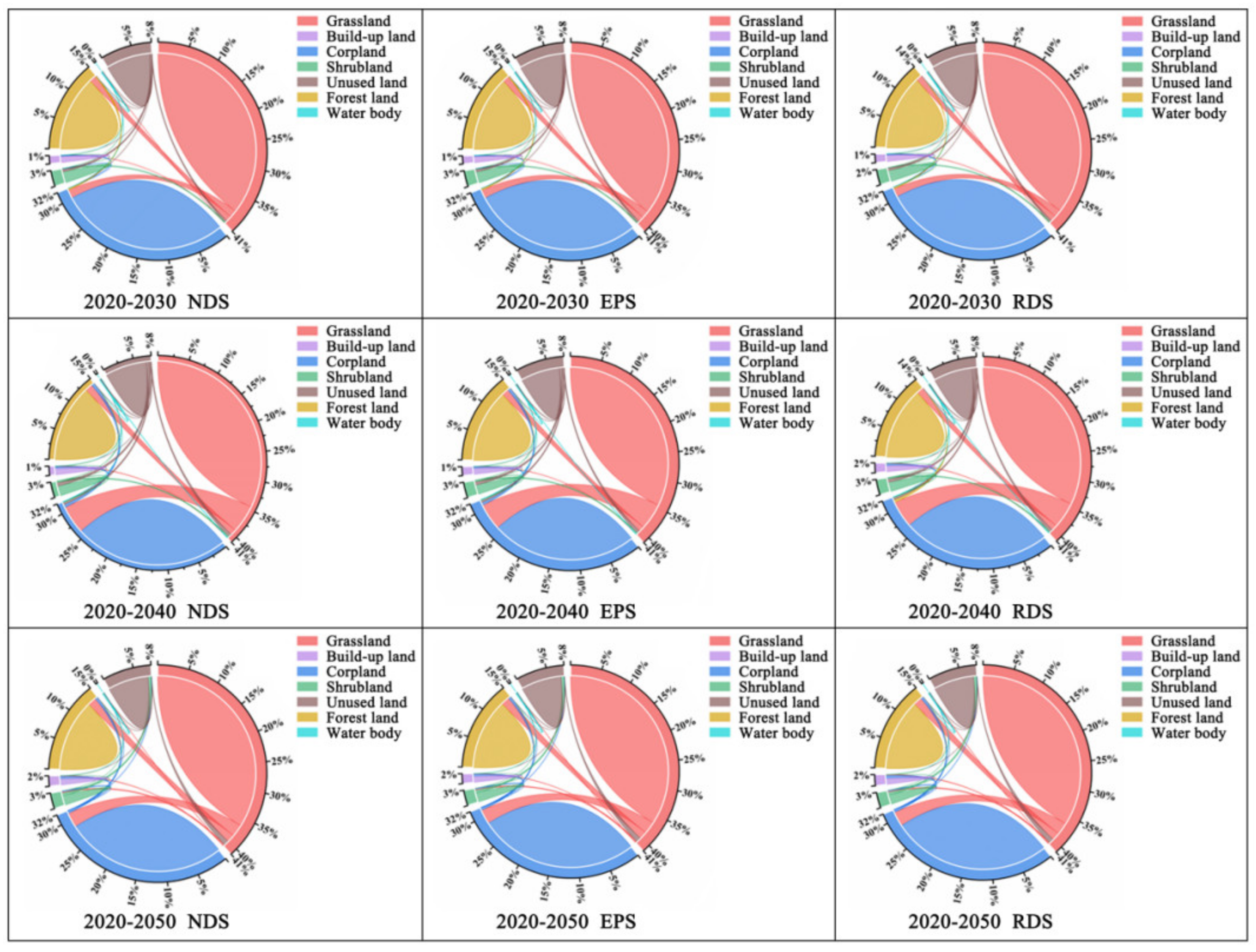
Simulation outcomes derived from the NDS, EDS, and RDS scenarios reveal substantial alterations in land-use patterns from 2020 to 2050 (Figure 5 and Figure 6). Grasslands constitute the predominant land cover, comprising approximately 41% of the total area, followed by cropland at roughly 32%, forest land at 15%, and unused land at 8%. Notably, grasslands show a significant trend of transformation across all three scenarios. Specifically, it is projected that 2% of grasslands will be converted to cropland by 2030, with an additional 5% conversion anticipated by 2040, and a further 3% by 2050. Built-up land demonstrates a gradual expansion, increasing from 1% in 2030 to 2% in 2050 under three scenarios. This growth is predominantly attributed to the conversion of unused land, shrubland, grassland, and cropland. In contrast, under the EDS scenario, the expansion of built-up land is mainly due to the conversion of unused land and cropland. Notably, forest land and water bodies exhibit relative stability across all three scenarios.
Figure 5.
Spatial patterns of land use in Gansu Section of the Yellow River Basin during 2030–2050 under three scenarios.
Figure 6.
Land-use transfer map from 2020 to 2030, 2020 to 2040, and 2020 to 2050 under three scenarios.
3.2. Changes in Ecosystem Service Supply and Demand
From 2030 to 2050, the ESDRs for soil conservation, water yield, and carbon storage exhibit significant spatial differences and trends under scenarios of NDS, EPS, and RDS (Table S10 and Figures S2–S4, Table 2). Across all scenarios, the ESDR for water yield is consistently below 0.01 (Figure S3), indicating a substantial imbalance where supply (e.g., 19.43 × 108 m³ under the NDS) falls far short of demand (e.g., 6201.67 × 108 m³ under the NDS). The ESDR for water provision under the NDS and RDS are lower in future years compared to those under the RDS. For carbon storage, the ESDR is below 1 across all scenarios, highlighting a mismatch between supply and demand (Figure S4). The highest ESDR for carbon storage is observed under the EPS, followed by the NDS. Conversely, the ESDRs for soil conservation are all above 11, indicating that supply exceeds demand (Figure S2). Under the RDS, the ESDR for soil conservation is the highest in 2030 and 2040, followed by the NDS. By 2050, the NDS will have the highest ESDR for soil conservation, with the EPS coming in second.
Table 2.
ESDR of soil conservation of Gansu Section of the Yellow River Basin in 2030, 2040, and 2050 under NDS, EPS, and RDS scenarios.
Spatially, high values of the ESDR for water provision are concentrated in the southwestern region, suggesting a relatively abundant water resource supply in these areas, while other regions exhibit lower ratios, indicating water scarcity issues (Figure S2). High values for the ESDR of carbon storage are clustered in the northern and southwestern regions, whereas low values are widely distributed across most of the study area (Figure S3). For soil conservation, high ESDRs are concentrated in the southwestern and southeastern regions, with low values primarily located in the northern region (Figure S4).
3.3. Change in Ecosystem Service Supply–Demand Risk
Under the NDS, EPS, and RDS scenarios for the period 2020–2030, the proportions of areas classified as high-risk and sub-high-risk concerning water supply and demand were 7.48% and 6.78%, 8.29% and 6.72%, and 39.98% and 5.46%, respectively (Figure 7). Under the NDS and EPS scenarios, these high-risk and sub-high-risk areas were primarily concentrated in the northern and central regions of the study area, whereas low-risk areas were predominantly located in the southwestern l regions. Under the RDS scenario, the distribution of high-risk and sub-high-risk values for water supply and demand was predominantly observed in the northern and central regions, whereas low-risk values were primarily concentrated in the southwest. In terms of carbon storage, the proportions of high-risk and sub-high-risk values were 7.50% and 17.09%, 12.57% and 17.65%, and 11.04% and 17.24%, respectively. These risk values were mainly situated in the central region of the study area, with low-risk areas predominantly located in the north and southwest. Regarding soil conservation, the percentages of areas classified as high-risk and sub-high-risk were 7.95% and 2.41%, 6.66% and 5.14%, and 7.26% and 3.41%, respectively. These high-risk and sub-high-risk areas were predominantly located in the northern region, whereas most regions outside the north were categorized as low-risk.
Figure 7.
The supply–demand risk of water yield in Gansu Section of the Yellow River Basin during 2020–2030, 2020–2040, and 2020–2050 under NDS, EPS, and RDS scenarios, respectively.
Projecting into the period from 2020 to 2040, under the three scenarios, the proportions of high-risk and sub-high-risk values concerning water supply and demand increased to 28.03% and 26.94%, 27.53% and 26.62%, and 39.87% and 5.45%, respectively (Figure 8). In each of the three scenarios, the high-risk and sub-high-risk values were predominantly concentrated in the northern, central, and eastern areas of the study region, whereas low-risk values were primarily situated in the southwest. Regarding carbon storage, the proportions of high-risk and sub-high-risk values were 12.81% and 16.69%, 12.32% and 16.81%, and 11.01% and 17.24%, respectively. These values remained concentrated in the central and eastern regions, while low-risk values were observed in the northern and southwestern areas. As for soil conservation services, the proportions of high-risk and sub-high-risk values were 6.67% and 7.66%, 7.17% and 5.98%, and 7.22% and 3.03%, respectively. These values are mainly concentrated in the north and low-risk values in most regions outside the north.
Figure 8.
The supply–demand risk of carbon storage in Gansu Section of the Yellow River Basin during 2020–2030, 2020–2040, and 2020–2050 under NDS, EPS, and RDS scenarios, respectively.
In the projection period from 2020 to 2050, under the NDS, EPS, and RDS scenarios, the proportions of high-risk and sub-high-risk values for water supply and demand are anticipated to increase to 29.57% and 27.44%, 28.55% and 26.57%, and 40.71% and 5.37%, respectively (Figure 9). These elevated risk values remain predominantly concentrated in the northern, central, and eastern areas of the study region, whereas low-risk values are primarily located in the southwestern part. In terms of carbon storage, the proportions of high-risk and sub-high-risk values were 7.83% and 16.67%, 13.00% and 17.48%, and 11.66% and 17.50%, respectively. These values predominantly remained concentrated in the central and eastern regions, whereas low-risk values were primarily located in the northern and southwestern areas. With respect to soil conservation, the proportions of high-risk and sub-high-risk values were 7.23% and 2.49%, 7.38% and 2.22%, and 7.85% and 1.27%, respectively. High-risk and sub-high-risk values were largely confined to the northern region, while low-risk values were prevalent in most regions outside the north.
Figure 9.
The supply–demand risk of soil conservation in Gansu Section of the Yellow River Basin during 2020–2030, 2020–2040, and 2020–2050 under NDS, EPS, and RDS scenarios, respectively.
4. Discussion
4.1. Analyses of Future Land-Use Changes Under Different Scenarios
This study utilizes the GeoSOS FLUS framework and integrates the coupling approach of cellular automata (CA) and Markov models to perform comprehensive simulations and predictions of land-use changes, as well as the dynamics of ecosystem service supply and demand, within the Gansu section of the Yellow River Basin under various future development scenarios. The findings of this research reveal marked variations in land-use patterns across different scenarios, which subsequently exert substantial influences on the equilibrium between ecosystem service supply and demand. Consistent with existing research on the Yellow River Basin [37,45], our study corroborates the trend of urbanization accelerating the conversion of grasslands and croplands to construction lands. However, by incorporating the EPS, we delve deeper into the intricate relationship between ecological protection and land use. Within the EPS, the expansion of forests not only mitigates the conversion rates of grasslands and croplands but also enhances the overall stability and service functions of the ecosystem. This finding emphasizes the importance of integrated land-use strategies that prioritize ecological conservation while accommodating agricultural needs. For instance, the restoration of degraded grasslands can significantly improve soil organic carbon levels and biodiversity, thereby providing essential ES that supports local communities [46,47]. Our research suggests that, through scientific planning and management, ecological protection and economic development can indeed be harmonized. This insight carries significant implications for guiding sustainable development practices within the Yellow River Basin.
Notably, our study also uncovers that the pace of urban expansion under the RDS surpasses those observed in both the NDS and EPS, which is consistent with findings from various studies [11,48]. For instance, the projections of urban land expansion indicate that urban areas are expected to grow significantly, particularly in developing regions, where economic growth often leads to increased urbanization and land conversion from ecological spaces to built environments [49,50]. This trend is exacerbated by the pressures of population growth and technological advancements, which can lead to unsustainable land-use practices [51]. Nonetheless, by simulating land-use changes across various scenarios, our study demonstrates that rapid socio-economic development does not inevitably lead to ecological degradation; rather, the crucial factor lies in striking a balance between economic progress and soil conservation. This underscores the importance of prioritizing sustainable land use and fostering synergy between ecological protection and economic development in future planning and policy-making endeavors.
4.2. Analyses of Supply–Demand Risk in Ecosystem Services
This study conducted an analysis of the supply–demand risks associated with key ES, including water supply, soil conservation, and carbon storage. As the basin faces increasing pressure from agricultural, industrial, and domestic water use, the balance between available water resources and the growing demand becomes increasingly strained, particularly in densely populated and rapidly developing economic regions. This finding aligns with previous research on the water resource supply–demand situation in the Yellow River Basin, where studies have highlighted prominent contradictions between water supply and demand, especially in areas undergoing rapid urbanization. This situation is further complicated by the negative correlation between water scarcity and streamflow drought indices, suggesting that hydrological droughts will intensify the existing water scarcity issues [52]. Moreover, our study elucidates the spatiotemporal distribution characteristics of these imbalances, revealing that high-risk areas are concentrated primarily in the northern, central, and eastern parts of the study region. This detailed analysis provides a scientific basis for formulating targeted water resource management measures. For instance, high-risk areas may require the implementation of stricter water resource management and conservation policies to ensure sustainable water use. Furthermore, this study emphasizes the importance of balancing economic development and ecological protection in the context of rapid urbanization, which has significant implications for shaping future regional development strategies.
Regarding soil conservation and carbon storage, our results show a relatively balanced supply–demand situation, although mismatches exist in some specific areas. Notably, under the ecological protection scenario, the expansion of forestland significantly enhances the supply capacity of these services. This finding resonates with studies on forest ES, which underscore the crucial role of forests in maintaining soil stability and carbon storage. Nevertheless, our study also reveals that under rapid socio-economic development scenarios, the conversion of large amounts of cropland and unused land into construction land can lead to significant losses in carbon stocks and soil integrity, highlighting the importance of preserving forests. Studies have shown that the conversion of forests for agricultural and industrial purposes not only threatens biodiversity but also disrupts the carbon cycle, leading to increased greenhouse gas emissions. This finding highlights the balance issue between economic development and ecological protection, echoing the view that economic development should not come at the expense of the ecological environment. Therefore, future efforts to promote economic development must fully consider the supply–demand balance of ES and formulate scientific and reasonable land-use planning to maintain ecosystem stability and service functions.
By comparing changes in supply–demand risks across different scenarios, this study also uncovers novel insights. For example, under ecological protection scenarios, although the supply–demand risk for water provision decreases, attention must still be paid to potential risks associated with other ES. Meanwhile, the supply–demand risks under rapid socio-economic development scenarios increase significantly, indicating that the pressure of economic development on ES cannot be ignored. This finding holds important implications for policymakers, suggesting that when formulating regional development policies, they should comprehensively consider the supply–demand status of multiple ES and avoid the singular pursuit of economic growth at the expense of ecological and environmental protection.
4.3. Implications and Suggestions of Land Use and Ecosystem Management
In the simulation analysis of the normal development scenario, we found that the risk of ES supply–demand imbalance in the Gansu section of the Yellow River Basin is markedly increasing, driven by the relentless expansion of urban boundaries. Critical services, notably water supply and carbon storage, are encountering severe challenges. This finding underscores the urgent need for highly tailored and scientifically grounded land-use planning. Such planning should hinge on thorough ecological assessments and detailed analyses of current land-use patterns, delineating optimal land-use directions and development intensities for diverse regions. It must strike a balance between meeting the legitimate land requirements of urbanization and safeguarding cultivated land resources, thereby preventing overexploitation and ecological degradation. Urbanization often leads to the encroachment of agricultural lands, which can result in significant losses of cultivated land and the ES they provide. For instance, the rapid expansion of urban areas in China has been shown to drive farmland uphill, leading to a decrease in the quality of agricultural land due to the requisition–compensation balance [53]. This phenomenon highlights the need for effective land-use planning that considers both urban development and agricultural sustainability. Furthermore, the integration of ecological compensation mechanisms into planning is crucial to incentivize farmers and local governments to engage in ecological conservation efforts Measures such as returning farmland to forests and afforestation should be promoted to enhance green vegetation cover, thereby bolstering the self-restoration capacity and service provision of ecosystems [54].
Across all scenarios examined, water provision faces acute supply–demand imbalances. Additionally, the uneven distribution of water resources in both time and space, coupled with the immense water pressure exerted by dense populations and rapid economic growth, further exacerbates this imbalance. Furthermore, inefficient traditional water-use practices and environmental pollution stemming from ecological disruption severely impair the sustainable utilization of water resources. Therefore, it is imperative to strengthen water resource management by enforcing the strictest water protection and utilization regulations, enhancing water use efficiency, and ensuring the equitable allocation of water resources across agricultural, industrial, and domestic sectors. Equally important is the enhancement of ecological protection and restoration efforts to improve water retention capacity. This can be achieved through the integrated protection and restoration of mountains, rivers, forests, fields, lakes, grasses, and sands, reducing soil erosion, improving water quality, and augmenting the available water resources. Under the ecological protection scenario, the notable expansion of forestland significantly enhances the supply capacity of soil conservation and carbon storage services. Consequently, priority should be given to fostering the restoration and expansion of forest and grassland areas, increasing green vegetation cover through measures such as afforestation, and returning farmland to forests and grasslands.
4.4. Limitations and Future Research
Compared with previous studies, our research has made significant strides in the field of ES supply–demand risk analysis. Firstly, by precisely calculating the ESDR and the supply–demand risk index, we have achieved a quantitative assessment of the supply–demand status of ES, laying a solid foundation for accurately identifying high-risk areas. Secondly, by integrating land-use change simulation results, we have conducted an in-depth analysis of the spatiotemporal evolution of ES supply–demand risks under different scenarios, providing robust support for the formulation of scientific and effective management measures. Thirdly, for policy-makers, the use of remote sensing technology can facilitate evidence-based decision-making, including environmental management, urban planning, disaster response, and agricultural monitoring. By leveraging remote sensing data, including natural factors such as terrain and climate, as well as socio-economic factors such as land use and transportation, they can identify areas of high ES risk and target conservation efforts accordingly. These findings have not only greatly enriched our understanding of the supply–demand status of ES in the Yellow River Basin but also opened up new perspectives and provided new methods for subsequent research.
However, despite the achievements made in the analysis of land-use change and ES supply–demand, our study is not without limitations. Primarily, the parameters and data used in the model simulations may contain uncertainties, which to some extent affect the accuracy of the results. This study involves the application of a large number of land-use driving factors, and the validation indexes of the model test meet the requirements. However, this study still leaves out some policy factors and natural factors, such as soil and vegetation, and not all factors are conducive to land-use simulation. In the future, we should consider comparing the land-use changes simulated by different factors to select the most reasonable factors. Therefore, future research should further explore more accurate and reliable data sources and parameter configuration schemes to enhance the precision and credibility of model simulations. Secondly, this study primarily focused on core ES such as water supply, soil conservation, and carbon storage, with relatively limited exploration of other types of services. Future research should broaden the scope to delve into a wider range of ES and their interaction mechanisms. Additionally, this study emphasized quantitative analysis methods, with a slight deficiency in the qualitative description of land-use change and ES. Future research could integrate multiple approaches, including field surveys and remote sensing monitoring, to conduct a more comprehensive and in-depth qualitative and quantitative analysis of the trends in land-use changes and ES.
5. Conclusions
This study presents a simulation analysis of land-use changes and their impacts on the supply and demand of ES in the Gansu section of the Yellow River Basin from 2020 to 2050. By exploring various development scenarios, we reveal the dynamic changes and potential risks associated with the supply and demand of ES in this region. We draw the following conclusions.
(1) Significant shifts in land-use patterns were observed across scenarios, particularly the conversion between grasslands and croplands, as well as the expansion of built-up areas. Specifically, about 2% to 5% of grassland is converted to lower grassland every year. At the same time, the construction of land shows a trend of expansion. Under the three scenarios, the proportion gradually increases from 1% to 2%. (2) While the supply of ES such as water yield, soil conservation, and carbon storage increased to varying degrees, the demand for these services grew at a more rapid pace, particularly for water yield, highlighting a pronounced imbalance between supply and demand. (3) Spatially, due to the low annual average temperature, less precipitation, and insufficient environmental carrying capacity in the northern region, the high-risk areas of various ecosystem services are mainly concentrated in the north.
This study suggests that as regional socio-economic development accelerates in the future, the contradiction between the supply and demand of ES will further intensify, particularly in water resources management. Consequently, the formulation of scientific and rational regional policies and ecosystem management strategies to balance economic development and ecological protection is crucial for ensuring sustainable development in the Gansu section of the Yellow River Basin. The findings of this study provide a scientific basis for relevant decision-making bodies, promoting the sustainable utilization and conservation of regional ES.
Supplementary Materials
The following supporting information can be downloaded at https://www.mdpi.com/article/10.3390/rs17030489/s1, Figure S1: Comparison between observations and the FLUS simulation in 2010 and 2020; Figure S2: Water supply and demand proportion of different land-use types (%); Figure S3: Carbon storage supply and demand proportion of different land-use types (%); Figure S4: Soil conservation supply and demand proportion of different land-use types (%); Table. S1. Driving factors affecting spatial distribution of LUCC; Table S2. Variables used in ecosystem service supply and demand calculation; Table S3. Neighborhood weights parameters in different scenarios; Table S4. Land use cost matrix under the NDS scenario; Table S5. Land use cost matrix under the RDS scenario; Table S6. Land use cost matrix under the EPS scenario; Table S7. Input data for each LULC class in the InVEST 3.8.0 ”Water Yield” model; Table S8. Input data for each LULC class in the InVEST 3.8.0 “Carbon” model; Table S9. Input data for each LULC class in the InVEST 3.8.0 “Sediment Delivery Ratio” model; Table S10. Supply and demand of ecosystem services from 2030 to 2050 under different scenarios.
Author Contributions
Conceptualization, methodology, and writing—original draft, Y.B.; formal analysis, F.T.; validation and resources, Z.L.; software and data curation, F.T.; project administration, H.H.; conceptualization, X.C.; funding acquisition, H.H.; supervision, Z.L.; visualization, L.S.; investgation, C.H., H.T., Z.H., L.M., X.H., J.W. and B.C. All authors have read and agreed to the published version of the manuscript.
Funding
This research was funded by the National Key R&D Program of China, grant numbers 2023YFD2200403 and 2019YFA0607304.
Data Availability Statement
The data used to support the findings of this study are included within the article and Supplementary Materials.
Acknowledgments
We would like to thank all those who indirectly supported this study through their contributions to the field of ecology and environmental science.
Conflicts of Interest
The authors declare no conflicts of interest.
References
- Zhou, G.; Eisenhauer, N.; Terrer, C.; Eldridge, D.J.; Duan, H.; Guirado, E.; Berdugo, M.; Zhou, L.; Liu, S.; Zhou, X. Resistance of ecosystem services to global change weakened by increasing number of environmental stressors. Nat. Geosci. 2024, 17, 882–888. [Google Scholar] [CrossRef]
- D’Agata, S. Ecosystems services at risk. Nat. Clim. Change 2022, 12, 13–14. [Google Scholar] [CrossRef]
- Costanza, R.; d’Arge, R.; De Groot, R.; Farber, S.; Grasso, M.; Hannon, B.; Limburg, K.; Naeem, S.; O’Neill, R.V.; Paruelo, J. The value of the world’s ecosystem services and natural capital. Nature 1997, 387, 253–260. [Google Scholar] [CrossRef]
- Wood, S.L.R.; Jones, S.K.; Johnson, J.A.; Brauman, K.A.; Chaplin-Kramer, R.; Fremier, A.; Girvetz, E.; Gordon, L.J.; Kappel, C.V.; Mandle, L. Distilling the role of ecosystem services in the Sustainable Development Goals. Ecosyst. Serv. 2018, 29, 70–82. [Google Scholar] [CrossRef]
- De Groot, R.S.; Wilson, M.A.; Boumans, R.M.J. A typology for the classification, description and valuation of ecosystem functions, goods and services. Ecol. Econ. 2002, 41, 393–408. [Google Scholar] [CrossRef]
- Zhang, G.; Huang, J.; Liu, X.; Guan, X.; Wei, Y.; Ding, L.; Han, D. The evolution of ecological security and its drivers in the Yellow River Basin. Environ. Sci. Pollut. Res. 2023, 30, 47501–47515. [Google Scholar] [CrossRef]
- Felipe-Lucia, M.R.; Soliveres, S.; Penone, C.; Fischer, M.; Ammer, C.; Boch, S.; Boeddinghaus, R.S.; Bonkowski, M.; Buscot, F.; Fiore-Donno, A.M. Land-use intensity alters networks between biodiversity, ecosystem functions, and services. Proc. Natl. Acad. Sci. USA 2020, 117, 28140–28149. [Google Scholar] [CrossRef]
- Jing, Y.; Chang, Y.; Cheng, X.; Wang, D. Land-use changes and ecosystem services under different scenarios in Nansi Lake Basin, China. Environ. Monit. Assess. 2021, 193, 21. [Google Scholar] [CrossRef]
- Reader, M.O.; Eppinga, M.B.; de Boer, H.J.; Damm, A.; Petchey, O.L.; Santos, M.J. The relationship between ecosystem services and human modification displays decoupling across global delta systems. Commun. Earth Environ. 2022, 3, 102. [Google Scholar] [CrossRef]
- Zhang, Z.; Peng, J.; Xu, Z.; Wang, X.; Meersmans, J. Ecosystem services supply and demand response to urbanization: A case study of the Pearl River Delta, China. Ecosyst. Serv. 2021, 49, 101274. [Google Scholar] [CrossRef]
- Li, Z.; Hu, B.; Ren, Y. The Supply–Demand Budgets of Ecosystem Service Response to Urbanization: Insights from Urban–Rural Gradient and Major Function-Oriented Areas. Remote Sens. 2022, 14, 5670. [Google Scholar] [CrossRef]
- Frietsch, M.; Loos, J.; Löhr, K.; Sieber, S.; Fischer, J. Future-proofing ecosystem restoration through enhancing adaptive capacity. Commun. Biol. 2023, 6, 377. [Google Scholar] [CrossRef] [PubMed]
- Brockerhoff, E.G.; Barbaro, L.; Castagneyrol, B.; Forrester, D.I.; Gardiner, B.; González-Olabarria, J.R.; Lyver, P.O.B.; Meurisse, N.; Oxbrough, A.; Taki, H. Forest biodiversity, ecosystem functioning and the provision of ecosystem services. Biodivers Conserv 2017, 26, 3005–3035. [Google Scholar] [CrossRef]
- Zabel, F.; Delzeit, R.; Schneider, J.M.; Seppelt, R.; Mauser, W.; Václavík, T. Global impacts of future cropland expansion and intensification on agricultural markets and biodiversity. Nat. Commun. 2019, 10, 2844. [Google Scholar] [CrossRef] [PubMed]
- Kehoe, L.; Romero-Muñoz, A.; Polaina, E.; Estes, L.; Kreft, H.; Kuemmerle, T. Biodiversity at risk under future cropland expansion and intensification. Nat. Ecol. Evol. 2017, 1, 1129–1135. [Google Scholar] [CrossRef] [PubMed]
- Liang, Y.; Song, W. Integrating potential ecosystem services losses into ecological risk assessment of land use changes: A case study on the Qinghai-Tibet Plateau. J. Environ. Manag. 2022, 318, 115607. [Google Scholar] [CrossRef]
- Peng, J.; Wang, X.; Liu, Y.; Zhao, Y.; Xu, Z.; Zhao, M.; Qiu, S.; Wu, J. Urbanization impact on the supply–demand budget of ecosystem services: Decoupling analysis. Ecosyst. Serv. 2020, 44, 101139. [Google Scholar] [CrossRef]
- Lan, Z.; Zhao, Y.; Zhang, J.; Jiao, R.; Khan, M.N.; Sial, T.A.; Si, B. Long-term vegetation restoration increases deep soil carbon storage in the Northern Loess Plateau. Sci. Rep. 2021, 11, 13758. [Google Scholar] [CrossRef]
- Zhang, L.; Du, H.; Song, T.; Yang, Z.; Peng, W.; Gong, J.; Huang, G.; Li, Y. Conversion of farmland to forest or grassland improves soil carbon, nitrogen, and ecosystem multi-functionality in a subtropical karst region of southwest China. Sci. Rep. 2024, 14, 17745. [Google Scholar] [CrossRef]
- Bi, W.; Wang, K.; Weng, B.; Yan, D.; Liu, S. Does the Returning Farmland to Forest Program improve the ecosystem stability of rhizosphere in winter in alpine regions? Appl. Soil. Ecol. 2021, 165, 104011. [Google Scholar] [CrossRef]
- Liu, X.; Liu, Y.; Wang, Y.; Liu, Z. Evaluating potential impacts of land use changes on water supply–demand under multiple development scenarios in dryland region. J. Hydrol. 2022, 610, 127811. [Google Scholar] [CrossRef]
- Feng, X.; Fu, B.; Piao, S.; Wang, S.; Ciais, P.; Zeng, Z.; Lü, Y.; Zeng, Y.; Li, Y.; Jiang, X. Revegetation in China’s Loess Plateau is approaching sustainable water resource limits. Nat. Clim. Change 2016, 6, 1019–1022. [Google Scholar] [CrossRef]
- Bren d’Amour, C.; Reitsma, F.; Baiocchi, G.; Barthel, S.; Güneralp, B.; Erb, K.-H.; Haberl, H.; Creutzig, F.; Seto, K.C. Future urban land expansion and implications for global croplands. Proc. Natl. Acad. Sci. USA 2017, 114, 8939–8944. [Google Scholar] [CrossRef] [PubMed]
- Liu, Y.; Li, Y. Revitalize the world’s countryside. Nature 2017, 548, 275–277. [Google Scholar] [CrossRef]
- Deng, C.; Zhu, D.; Nie, X.; Liu, C.; Zhang, G.; Liu, Y.; Li, Z.; Wang, S.; Ma, Y. Precipitation and urban expansion caused jointly the spatiotemporal dislocation between supply and demand of water provision service. J. Environ. 2021, 299, 113660. [Google Scholar] [CrossRef]
- Zhao, X.; Xu, Y.; Pu, J.; Tao, J.; Chen, Y.; Huang, P.; Shi, X.; Ran, Y.; Gu, Z. Achieving the supply–demand balance of ecosystem services through zoning regulation based on land use thresholds. Land Use Policy 2024, 139, 107056. [Google Scholar] [CrossRef]
- Ding, H.; Sun, R. Supply-demand analysis of ecosystem services based on socioeconomic and climate scenarios in North China. Ecol. Indic. 2023, 146, 109906. [Google Scholar] [CrossRef]
- Zhang, X.; Zhao, T.; Xu, H.; Liu, W.; Wang, J.; Chen, X.; Liu, L. GLC_FCS30D: The first global 30 m land-cover dynamics monitoring product with a fine classification system for the period from 1985 to 2022 generated using dense-time-series Landsat imagery and the continuous change-detection method. Earth Syst. Sci. Data 2024, 16, 1353–1381. [Google Scholar] [CrossRef]
- Kamusoko, C.; Aniya, M.; Adi, B.; Manjoro, M. Rural sustainability under threat in Zimbabwe–simulation of future land use/cover changes in the Bindura district based on the Markov-cellular automata model. Appl. Geogr. 2009, 29, 435–447. [Google Scholar] [CrossRef]
- Liang, X.; Liu, X.; Li, X.; Chen, Y.; Tian, H.; Yao, Y. Delineating multi-scenario urban growth boundaries with a CA-based FLUS model and morphological method. Landsc. Urban. Plan. 2018, 177, 47–63. [Google Scholar] [CrossRef]
- Li, X.; Yeh, A.G.-O. Neural-network-based cellular automata for simulating multiple land use changes using GIS. Int. J. Geogr. Inf. Sci. 2002, 16, 323–343. [Google Scholar] [CrossRef]
- Aerts, J.C.J.H.; Heuvelink, G.B.M. Using simulated annealing for resource allocation. Int. J. Geogr. Inf. Sci. 2002, 16, 571–587. [Google Scholar] [CrossRef]
- Pontius, R.G. Quantification error versus location error in comparison of categorical maps. Photogramm. Eng. Remote Sens. 2000, 66, 1011–1016. [Google Scholar]
- Li, D.; Wu, S.; Liu, L.; Liang, Z.; Li, S. Evaluating regional water security through a freshwater ecosystem service flow model: A case study in Beijing-Tianjian-Hebei region, China. Ecol. Ind. 2017, 81, 159–170. [Google Scholar] [CrossRef]
- Sharp, R.; Tallis, H.T.; Ricketts, T.; Guerry, A.D.; Wood, S.A.; Chaplin-Kramer, R.; Nelson, E.; Ennaanay, D.; Wolny, S.; Olwero, N.; et al. InVEST 3.8.0 User’s Guide; The Natural Capital Project: Stanford University, University of Minnesota, The Nature Conservancy, and World Wildlife Fund. 2020. Available online: http://releases.naturalcapitalproject.org/invest-userguide/latest/#supporting-tools (accessed on 1 October 2024).
- Zhang, L.; Hickel, K.; Dawes, W.R.; Chiew, F.H.S.; Western, A.W.; Briggs, P.R. A rational function approach for estimating mean annual evapotranspiration. Water Resour. Res. 2004, 40, W02502. [Google Scholar] [CrossRef]
- Chen, J.; Jiang, B.; Bai, Y.; Xu, X.; Alatalo, J.M. Quantifying ecosystem services supply and demand shortfalls and mismatches for management optimisation. Sci. Total Environ. 2019, 650, 1426–1439. [Google Scholar] [CrossRef]
- Burkhard, B.; Crossman, N.; Nedkov, S.; Petz, K.; Alkemade, R. Mapping and modelling ecosystem services for science, policy and practice. Ecosyst. Serv. 2013, 4, 1–3. [Google Scholar] [CrossRef]
- Onaindia, M.; de Manuel, B.F.; Madariaga, I.; Rodríguez-Loinaz, G. Co-benefits and trade-offs between biodiversity, carbon storage and water flow regulation. For. Ecol. Manag. 2013, 289, 1–9. [Google Scholar] [CrossRef]
- Bateman, I.J.; Harwood, A.R.; Mace, G.M.; Watson, R.T.; Abson, D.J.; Andrews, B.; Binner, A.; Crowe, A.; Day, B.H.; Dugdale, S. Bringing ecosystem services into economic decision-making: Land use in the United Kingdom. Science 2013, 341, 45–50. [Google Scholar] [CrossRef]
- González-García, A.; Palomo, I.; González, J.A.; López, C.A.; Montes, C. Quantifying spatial supply–demand mismatches in ecosystem services provides insights for land-use planning. Land Use Policy 2020, 94, 104493. [Google Scholar] [CrossRef]
- Kareiva, P. Natural Capital: Theory and Practice of Mapping Ecosystem Services; Oxford University Press: Oxford, UK, 2011. [Google Scholar]
- Ouyang, Z.; Fan, P.; Chen, J. Urban built-up areas in transitional economies of Southeast Asia: Spatial extent and dynamics. Remote Sens. 2016, 8, 819. [Google Scholar] [CrossRef]
- Maron, M.; Mitchell, M.G.E.; Runting, R.K.; Rhodes, J.R.; Mace, G.M.; Keith, D.A.; Watson, J.E.M. Towards a threat assessment framework for ecosystem services. Trends Ecol. Evol. 2017, 32, 240–248. [Google Scholar] [CrossRef] [PubMed]
- Yang, J.; Xie, B.-P.; Zhang, D.-G. Spatio-temporal variation of water yield and its response to precipitation and land use change in the Yellow River Basin based on InVEST model. J. Appl. Ecol. 2020, 31, 2731–2739. [Google Scholar]
- Mendenhall, C.D.; Karp, D.S.; Meyer, C.F.J.; Hadly, E.A.; Daily, G.C. Predicting biodiversity change and averting collapse in agricultural landscapes. Nature 2014, 509, 213–217. [Google Scholar] [CrossRef]
- Gilroy, J.J.; Woodcock, P.; Edwards, F.A.; Wheeler, C.; Medina Uribe, C.A.; Haugaasen, T.; Edwards, D.P. Optimizing carbon storage and biodiversity protection in tropical agricultural landscapes. Glob. Change Biol. 2014, 20, 2162–2172. [Google Scholar] [CrossRef]
- Li, Z.; Cheng, X.; Han, H. Future impacts of land use change on ecosystem services under different scenarios in the ecological conservation area, Beijing, China. Forests 2020, 11, 584. [Google Scholar] [CrossRef]
- Chen, W.; Zhao, H.; Li, J.; Zhu, L.; Wang, Z.; Zeng, J. Land use transitions and the associated impacts on ecosystem services in the Middle Reaches of the Yangtze River Economic Belt in China based on the geo-informatic Tupu method. Sci. Total Environ. 2020, 701, 134690. [Google Scholar] [CrossRef]
- Chen, G.; Li, X.; Liu, X.; Chen, Y.; Liang, X.; Leng, J.; Xu, X.; Liao, W.; Qiu, Y.a.; Wu, Q. Global projections of future urban land expansion under shared socioeconomic pathways. Nat. Commun. 2020, 11, 537. [Google Scholar] [CrossRef]
- Lambin, E.F.; Meyfroidt, P. Global land use change, economic globalization, and the looming land scarcity. Proc. Natl. Acad. Sci. USA 2011, 108, 3465–3472. [Google Scholar] [CrossRef]
- Omer, A.; Elagib, N.A.; Zhuguo, M.; Saleem, F.; Mohammed, A. Water scarcity in the Yellow River Basin under future climate change and human activities. Sci. Total. Environ. 2020, 749, 141446. [Google Scholar] [CrossRef]
- Chen, H.; Tan, Y.; Xiao, W.; Li, G.; Meng, F.; He, T.; Li, X. Urbanization in China drives farmland uphill under the constraint of the requisition–compensation balance. Sci. Total. Environ. 2022, 831, 154895. [Google Scholar] [CrossRef]
- Chen, H.; Wang, G.; Lu, X.; Jiang, M.; Mendelssohn, I.A. Balancing the needs of China’s wetland conservation and rice production. Environ. Sci. Technol. 2015, 49, 6385–6393. [Google Scholar] [CrossRef]
Disclaimer/Publisher’s Note: The statements, opinions and data contained in all publications are solely those of the individual author(s) and contributor(s) and not of MDPI and/or the editor(s). MDPI and/or the editor(s) disclaim responsibility for any injury to people or property resulting from any ideas, methods, instructions or products referred to in the content. |
© 2025 by the authors. Licensee MDPI, Basel, Switzerland. This article is an open access article distributed under the terms and conditions of the Creative Commons Attribution (CC BY) license (https://creativecommons.org/licenses/by/4.0/).








