Abstract
Kelps are important habitat-forming species in shallow marine environments, providing critical habitat, structure, and productivity for temperate reef ecosystems worldwide. Many kelp species are currently endangered by myriad pressures, including changing water temperatures, invasive species, and anthropogenic threats. This situation necessitates advanced methods to detect kelp density, which would allow tracking density changes, understanding ecosystem dynamics, and informing evidence-based management strategies. This study introduces an innovative approach to detect kelp density with multibeam echosounder water column data. First, these data are filtered into a point cloud. Then, a range of variables are derived from these point cloud data, including average acoustic energy, volume, and point density. Finally, these variables are used as input to a Random Forest model in combination with bathymetric variables to classify sand, bare rock, sparse kelp, and dense kelp habitats. At 5 m resolution, we achieved an overall accuracy of 72.5% with an overall Area Under the Curve of 0.874. Notably, our method achieved high accuracy across the entire multibeam swath, with only a 1 percent point decrease in model accuracy for data falling within the part of the multibeam water column data impacted by sidelobe artefact noise, which significantly expands the potential of this data type for wide-scale monitoring of threatened kelp ecosystems.
1. Introduction
Brown macroalgae (kelp) dominate temperate marine shallow-water ecosystems worldwide [1,2,3,4,5]. Kelp plays a vital role in maintaining the health and balance of dynamic marine ecosystems by providing essential habitat, breeding grounds, and refuge for a wide range of marine species [2,3]. These underwater habitats also contribute to the overall stability and resilience of the ecosystem by enhancing nutrient cycling, fostering species interactions, and offering protection from environmental stressors such as ocean currents and wave action [6,7]. As a result, the presence of kelp is crucial for sustaining coastal waters’ productivity and ecological integrity [2,3] and holds considerable cultural and economic value [8,9,10]. Ecklonia radiata is the dominant canopy-forming kelp species in southeastern Australia, including Tasmania [5,11]. Ecklonia ecosystems are vulnerable to a range of climate and anthropogenic threats [12]. In particular, warming water temperatures are contributing to the habitat expansion of species that can destructively graze on kelp, such as the long-spined sea urchin Centrostephanus rodgersii, which is currently expanding its range into southern Tasmania [13,14,15,16]. This grazing can be so extensive that large areas of bare reef are created, commonly referred to as “urchin barrens” [3,14,16]. Urchin barrens have been documented to cause significant ecosystem shifts across the world [3], leading to cascading effects on reef productivity and habitat, disrupting the kelp ecosystems, and impacting the structure of their associated communities [4] and commercial fisheries [14].
Effective management of these sensitive marine environments relies on understanding how these stressors affect kelp forests over time. However, monitoring shallow water habitats across broad spatial scales presents significant challenges, including the difficulty of accessing remote sites and mapping extensive areas in high resolution using traditional survey methods. Historically, most survey techniques rely on SCUBA divers [17], who can cover limited areas and depth ranges. Innovative remote sensing approaches using seafloor mapping tools such as multibeam echosounders (MBESs) are necessary to overcome these challenges and generate larger-scale benthic habitat maps that can inform long-term management strategies [18,19]. MBESs have become a common tool for shallow water habitat mapping, as these systems can measure high-resolution bathymetry and seafloor backscatter values, which can be used for benthic habitat modelling and assessment [18,19,20,21,22,23,24,25]. A large range of techniques have been devised to obtain classified benthic habitat maps from these MBES data, which may be grouped in a variety of ways such as supervised vs. unsupervised, rule-based vs. machine learning, or image-based vs. signal-based [18,19].
Modern MBESs can additionally record backscatter data from the water column, capturing the entire acoustic signal along each beam, allowing the detection and imaging of features or objects within the water column. These MBES Water Column Data (WCD) allow for a comprehensive 3D view of the marine environment between the ship and the seafloor, providing the potential to characterise features above or extending from the seafloor. While WCD have been used extensively for some applications such as the detection of fish schools [26,27,28,29,30,31,32,33,34] and gas seeps [35,36,37,38,39,40,41,42,43,44,45,46], they also have the potential to be used for the detection of marine vegetation [47,48,49,50,51,52,53,54], and may provide additional insights into benthic habitat maps [51,52].
Several previous studies have successfully used WCD for detecting marine vegetation [47,48,49,50,53,54], but with various limitations. Arctic shallow-water kelp species such as Laminaria sp., Alaria sp., and Saccharina sp. were detected using the WCD of a 260 kHz MBES system [47,48,49,53]. McGonigle et al. [50] used the WCD of a 400 kHz MBES system to estimate the presence and volume of several species of macrophytes. Their results showed successful detection of Laminaria sp. canopy in depths up to 30 m, though the method’s efficiency decreased with increasing depth and variation in species type. In all of this previous work, a significant challenge is the strong receiver array “sidelobe artefact” inherent to MBES WCD, which affects all data beyond the range of the first bottom echo, often termed the Minimum Slant Range (MSR) [55]. This artefact is the result of strong reflections, primarily the seafloor echoes, being registered by the receiver array sidelobes. These reverberations are recorded within the water column record in the across-track direction for all data beyond the MSR, which can mask the signal from true scattering features, such as fish, gas seeps, or marine vegetation. As a result, most vegetation studies so far have used methods that are limited to data from beams close to nadir (e.g., beam angles within 16.5° of nadir [48], or the inner beams [50,51]). Such approaches severely restrict the usefulness of WCD for kelp monitoring, because kelp is located close to the seafloor and thus primarily lies beyond the MSR.
To tackle this issue, filtering methods have been recently introduced to minimise the effect of sidelobe artefacts and extend the utility of WCD beyond the MSR [36,51,52,54]. A few habitat mapping studies have used such methods to generate layers expressing the acoustic energy immediately above the seafloor across the whole MBES swath, leading to improved habitat mapping results [51,52]. Porskamp et al. [52] applied the WCD filtering method from Schimel et al. [54] to generate a water column mosaic layer of the average acoustic energy between 0 and 1 m above the seafloor. Using this mosaic as an input variable for a Random Forest model, they found that including the WCD mosaic improved the accuracy of benthic habitat classification by 1–3 percent points, depending on habitat type. Lucieer et al. [51] used a variation of the processing method proposed by Nau et al. [36] to extract water column targets within 1 m of the seafloor, and generated a layer of the average acoustic signal within 50 cm grid cells with the aim of correlating the acoustic energy with kelp densities. However, this study ended up limiting the data to the inner beams, preventing analysis across the full extent of the multibeam swath. Although both of these studies found encouraging results for using the WCD for benthic habitat analysis, particularly for habitats containing macroalgae, they both focused on a single metric extracted from the WCD (average acoustic signal within 1 m of the seafloor), and did not provide direct correlations of the water column layer with the ground truth data. While average acoustic energy is an intuitive metric for transforming the 3D WCD into a 2D analysis layer, we propose that additional metrics can be extracted from the WCD, which may further increase the accuracy of certain habitat models or be used to compare directly with features within the water column to improve the use of this dataset for the classification of kelp.
In this study, we propose a method for filtering the WCD to extract point clouds of targets within 2 m of the seafloor. These point clouds are then used to generate numerous WCD variables in addition to average acoustic energy, such as point density, volume, mean and maximum target heights, and sum of acoustic energy. We then use a subset of these variables at several horizontal resolutions as input to a machine learning model with the aim of classifying three kelp densities, verified by towed video data. In addition, we explore the relationship of these WCD variables with kelp density to demonstrate their potential use for improved detection and classification of marine vegetation, which has not been reported in previous studies [51,52]. We discuss their correlations and the impact of data resolution for guidance on using WCD in the future for habitat monitoring. Furthermore, we assess the performance of the models and the variable correlations for WCD located specifically beyond the MSR, providing a novel confirmation of the successful detection of benthic water column targets across the full extent of the WCD. These advancements in the use of MBES WCD may provide a solution for establishing large-scale and cost-effective kelp monitoring programs, such as tracking the progression and extent of urchin barrens or climate-related ecosystem shifts.
2. Materials and Methods
2.1. Study Area
The study area was located on the east coast of Tasmania (Figure 1), which is characterised by rocky reef systems dominated by the kelp species Ecklonia radiata and Phyllospora comosa [11,56]. Ecklonia can grow up to 1 m in height [57] and is found in depths from 1.5 to 40 m [5], but is more commonly found between 8 and 17 m [58]. Patch size for Ecklonia ranges from 1 m to over 10 m, with the majority of patches being under 10 m [59]. Phyllospora grows up to 3 m in height [56] and is found at depths up to 10 m [58]. In Tasmania, Ecklonia and Phyllospora can occur either as one singular dominant species, or as mixed assemblages with both species present [56].
Figure 1.
Overview of three study sites: The Gardens (a), North Freycinet (b), and Monroe 1 (c). The inset map of Tasmania in the top panel shows the relative locations of each site. MBES depth is displayed with a range of 0 to 40 m. Towed video tracks and classification results are shown in greyscale for sand (white), bare rock (light grey), sparse kelp (dark grey), and dense kelp (black).
Three sites (The Gardens, North Freycinet, and Monroe 1) within our study area were chosen for analysis (Figure 1). These sites, respectively, covered the northern-most, middle, and southern-most regions of the east coast of Tasmania, and exhibited a range of kelp dominance and urchin barren habitat: from mostly barrens (bare rock) in the north, dense kelp within the central region and primarily sparse kelp cover in the south. The study sites exhibited both monospecific Ecklonia cover and mixed Ecklonia and Phyllospora assemblages.
2.2. Data Acquisition
The dataset used for the present study was acquired as part of a survey undertaken along the east coast of Tasmania, targeting reef areas around the 15 m contour line [51]. MBES bathymetry and water column data, as well as towed video footage, were collected within a region that had been previously monitored for the presence of Centrostephanus rodgersii and the urchin barrens that this species creates [60]. The water depths ranged between 4.5 and 42.5 m. Towed video footage was collected at each site immediately following the MBES data acquisition and was used as ground truth for the MBES dataset. MBES data collected concurrently with the towed video were excluded from analysis due to acoustic interference from an ultra-short baseline (USBL) system used for video positioning.
MBES data were acquired between 17 and 21 of April 2021 using a Kongsberg Discovery (Horten, Norway) EM2040C MBES system (1.3° × 1.3° beamwidth model) pole-mounted to the stern of the 12 m catamaran RV Abyss. The main settings of the MBES system were 300 kHz frequency, short continuous wave (CW) pulses (27 μs pulse length), equidistant beam spacing, and angular coverage set to 65° on both port and starboard. The MBES data for each survey line were collected as two separate files for bathymetry and WCD. Bathymetry data (seafloor depth recorded as a single sounding per beam) were acquired in Kongsberg *.all format. WCD consists of all echoes recorded throughout the water column as a series of samples within each beam, which were recorded in Kongsberg *.wcd format. On our study sites, MBES lines were acquired with a spacing of approximately 35 m. Line direction and coverage for each site varied based on the reef location and accessibility near the shoal areas. A total of 71 MBES lines (split between the three sites) were used for this study.
Towed video footage at our study sites was acquired in *.avi format. The video system consisted of a downward-facing camera towed approximately 20 m behind the vessel from the starboard aft tow point and was flown at an approximate height of 1–2 m above the seafloor. The camera had a field of view of approximately 3 to 4 m [51]. Towed video lines intersected several MBES survey lines to acquire representative visual data across the full swath width (Figure 1). The video system was georeferenced at an acquisition rate of 1 Hz (approximately 1 m spacing) using a TrackLink USBL system attached to the frame.
2.3. Data Processing
Various software packages were used to process the MBES bathymetry and WCD to generate variables at three horizontal resolutions. The ground-truth target class was obtained from processing the towed video footage. Specific methods for processing the MBES bathymetry, WCD, and towed video data are described in each of the following sections. The general workflows for the methods used in this study, including data processing, modelling, and model evaluation, are outlined in Figure 2.
Figure 2.
Overview diagram of our proposed method, including data processing for towed video, multibeam bathymetry, and WCD, modelling, and model evaluation.
2.3.1. Multibeam Bathymetry Data Processing
Raw bathymetry data (consisting of depth soundings recorded in *.all format) were processed using the following methods to generate bathymetric (depth) grids (Figure 1) and several bathymetric derivative variables at three horizontal resolutions (Figure 2). Using Caris HIPS and SIPS (v11), the bathymetry data were cleaned manually by visually identifying and removing noise-affected soundings. The cleaned data were then gridded into bathymetry surfaces using the “Swath Angle” algorithm, which generates a gridded surface where soundings within the grid cell of a specified resolution are weighted based on the grazing angle to the seafloor. Surfaces were generated at 1, 3, and 5 m resolutions and exported as depth variables to a standard GeoTIFF format. The depth GeoTIFFs were used to generate additional bathymetric variables in ArcMap (v10.6), which included Slope, Terrain Ruggedness (VRM) [61], Northness, Eastness, and Curvature (Table 1). These variables were chosen due to demonstrated predictive power in previous benthic habitat mapping studies [24,52,62,63,64]. Each of these variables was also generated at 1, 3, and 5 m resolution.
Table 1.
Description of bathymetric and water column variables created from the multibeam data. Each variable was generated at 1, 3, and 5 m resolutions.
2.3.2. Multibeam Water Column Data Processing
Water column data (recorded in *.wcd format) were processed to generate several variables at the same three horizontal resolutions (Figure 2, Table 1). The raw data were processed with MATLAB scripts using the CoFFee MBES processing toolbox v2.0.0-alpha.17 [54]. In their native format, WCD are 3D tensors of backscatter samples (i.e., arrays arranged in three dimensions: pings, beams, and sample numbers). We used a modified version of the statistical threshold method from Nau et al. [36] to identify the subset of these samples that are likely to correspond to kelp targets extending into the water column. The only modifications relative to the original method in Nau et al. [36] were that no outer beams were removed and no clustering [36] was performed. The steps implemented were as follows:
- Samples representing the seafloor echoes were first removed to exclude them from threshold value calculations. The estimated extent of the seafloor echoes for each beam was calculated based on the bottom detection range and angle using Equation (1) in Nau et al. [36].
- The first threshold () was calculated for each sample range within a ping using the equation:where and represent the mean and standard deviation of all original sample amplitudes in a ping at the same range, and is a constant multiplier (default value of = 2 was used).
- The second threshold () was calculated for each ping based on the average signal of samples beyond the Minimum Slant Range (MSR). This step ensured that only samples with an amplitude high enough to be detected both beyond and within the MSR were retained. This threshold was calculated using the equation:where and are the mean and standard deviation of the original sample amplitudes for all samples falling beyond the MSR for a given ping, and is a constant multiplier (default value of = 2 was used).
- Samples were removed if their amplitude was lower than either or for that sample’s specific range and ping.
- A neighbourhood filter [36] was applied to remove any remaining samples that did not have at least one neighbouring sample within the ping immediately before or after.
- Remaining samples were then filtered to retain only those within 2 m above the seafloor. This height threshold was chosen to correspond with the maximum potential height of the kelp species known to be present, and to exclude possible targets resulting from biological features located above the kelp canopy, such as fish schools.
- Final remaining samples were exported to a text file as point cloud “targets” with each point containing their georeferenced coordinates (Easting (X), Northing (Y), and sample depth (Z)) plus ancillary information from the original WCD datagrams associated with each sample, such as sample amplitude, range, beam number, beam angle, and seafloor depth associated with that point (Appendix A, Table A1).
Eight water column (WC) variables were derived based on the information available within the WC point clouds: WC Mean amplitude, WC Sum of amplitudes, WC Volume, WC Point count, WC Percent cover, WC Maximum height, WC Mean height, and WC Standard deviation of height (Table 1). These variables were intended to capture a range of metrics contained within the point cloud that may provide valuable information for the detection of different kelp densities, such as various measures of vertical and horizontal extents of features (WC Volume, WC Mean height, WC Maximum height and WC Percent cover), variability in the vertical extent of features (WC Standard deviation of height), point density (WC Point count), or total and mean backscatter amplitude (WC Sum of amplitudes and WC Mean amplitude). To generate these WC variables, the WC point clouds were imported as georeferenced point features into ArcMap (v10.6) and then converted into 2D raster layers (GeoTIFF format). The specific methods for generating each of these variables to capture the appropriate metric (described in Table 1) are detailed in Appendix A and Table A2. Each WC variable was generated at 1, 3, and 5 m resolutions.
For each WC variable, the GeoTIFF from individual point clouds (representing individual lines of MBES WCD) were combined into a single GeoTIFF (Figure 3). In cases of line overlap, the pixel with the maximum value was preserved. Given that most lines did not overlap with their adjacent counterparts, this approach was selected to eliminate the effects of averaging on the analysis. Where no points fell within a pixel that was covered by the MBES data, grid values were infilled with a value of −64 for variables in units of dB (WC Mean amplitude and WC sum of amplitudes, where −64 is the minimum original WCD value [65]) or 0 for all other variables.
Figure 3.
Examples of water column data variables generated for the three sites: (a) WC Mean amplitude variable at 5 m resolution, (b) WC Point count variable at 5 m resolution, (c) WC Volume variable at 5 m resolution, and (d) WC Volume variable at 1 m resolution. The units of volume for panels (c) and (d) were converted to volume per area for visual comparison between the different resolutions. For each panel, the sites correspond to The Gardens (top), North Freycinet (middle), and Monroe 1 (bottom).
2.3.3. Towed Video Data Processing
Towed video footage was processed using the following methods to provide the ground truth dataset (Figure 1 and Figure 2). First, the footage was analysed to tag kelp coverage using the Biigle video analysis software (https://biigle.de, accessed on 15 October 2021). The start and end times of video segments traversing a consistent seafloor covering (e.g., sand, bare rock, or kelp with specific density and species composition) were marked. These segments were then classified into four classes as either sand, bare rock (<10% kelp coverage), sparse kelp (10–60% kelp coverage), and dense kelp (>60% kelp coverage) (Figure 4). Water clarity measurements were not taken during the survey; however, the video quality was sufficient to make classification estimates with high confidence, and any segments that could not be classified with high confidence were excluded from the analysis. For segments containing kelp, the primary species was recorded as either Ecklonia or a mix of Ecklonia and Phyllospora. Sand and bare rock were separated into distinct classes to assess the influence of substrate type (in the absence of kelp) on the water column acoustic response. No other kelp species were observed at the three sites.
Figure 4.
Examples of towed video data for each class type: (a) Sand, (b) Bare rock (sea urchins present), (c) Sparse kelp, and (d) Dense kelp.
USBL positions associated with the towed video system were post-processed to account for vessel offsets and verified against corresponding bathymetry and video data. Video time stamps for each classified segment were matched to USBL positions covering the same time span. Considering the camera’s field of view and the coarsest resolution of processed MBES data (5 m), the classified and georeferenced towed video points were down-sampled to 5 m spacing to prevent oversampling within the models.
The video points were imported into ArcMap (v10.6), and the corresponding values from the underlying variables at each resolution were extracted using the “Extract Multi-Values to Points” tool.
2.4. Random Forest Modelling
Random Forest models are machine learning ensemble classifiers [66] that have consistently demonstrated superior predictive power for benthic habitat mapping [24,52,63,67], and conveniently rank the relative importance of predictive features. Using the randomForest [68] and Caret [69] packages in the R programming language (R v4.4.1), we trained and evaluated Random Forest models with the class from the video footage (sand, bare rock, sparse kelp, and dense kelp) as the response variable, and the values of the bathymetry and WC variables (Table 1) at the corresponding ground truth locations as the predictive features.
Separate models were generated using the variables for each horizontal resolution (1, 3, and 5 m). The predictive features and response variables were combined for all sites to train the models due to the insufficient number of data points for some classes in some sites (Table 2). To account for class imbalance, the Random Forest models were trained using a weighted class method [70]. The hyper-parameters for the Random Forest model include the number of features considered for splitting at each leaf node (mtry), the number of trees generated (ntree), and the seed value used to set the initial starting point (seed). In our models, the values used for mtry, ntree, and seed were set to 3, 500, and 212, respectively. We did not tune these hyper-parameters.
Table 2.
Number of towed video ground truth points for each response class.
An iterative procedure was used to reduce the list of predictive features in the modelling. First, a Pearson’s correlation matrix was created to assess the degree of correlation between each pair of predictive features at 5 m resolution. Then, we identified the pair of predictive features with the highest correlation and removed the one with the least predictive importance to train a new model with one less predictive feature. The predictive importance was based on the Mean Decrease Gini value, which measures the contribution of each variable in the predictive power of the Random Forest model. We repeated this process until no pair of variables exhibited a correlation greater than 0.7. Ultimately, nine variables were retained: six from bathymetry (Depth, Slope, VRM, Northness, Eastness, Curvature) and three from water column data (WC Mean Amplitude, WC Point count, WC Volume) (Table 1, Figure 3).
2.4.1. Model Performance Assessment
In the absence of an independent test dataset, model performance was evaluated using cross-validation (CV). For geographic datasets, it is commonly recommended to use “spatial” CV methods that account for spatial auto-correlation, such as spatial k-fold CV [71,72], spatial or buffered leave-one-out (LOO) CV [71,73,74], or nearest neighbour distance matching LOO CV [75]. After testing, the spatial k-fold CV method was selected and implemented with the R (v4.4.1) package blockCV (v3.1.4) [72]. This method segments the data into multiple hexagonal “blocks”, and randomly assigns each block to a CV fold, with the block size to be determined based on the dataset’s spatial autocorrelation distance. Using the auto-correlation estimation function built into the package, the spatial autocorrelation distances calculated for The Gardens, North Freycinet, and Monroe 1 were 80, 51, and 75 m, respectively. To be conservative, a block size of 150 m was selected for a cross-validation using five folds.
The performance metrics calculated in our cross-validation included overall accuracy, macro-F1 score, and multiclass Area Under the Curve (AUC) [76]. Overall accuracy is calculated as the proportion of correct predictions. The F1 score is calculated as the harmonic mean of precision and recall for binary models, and commonly serves as an alternative to overall accuracy that is more suitable for imbalanced datasets [77,78,79]. For multi-class models like ours, an F1 score can be calculated as the macro-average of the F1 scores calculated for each class [80,81]. AUC is the integral of the relative operating characteristic (ROC) curve and serves as an aggregate performance measure of a model before applying the decision threshold. ROC and AUC were calculated using the R package multiclass.roc [76] to generate a single overall AUC for all classes combined. Additionally, ROC curves were generated for each class using the pROC library in R [82]. The overall accuracy, macro-F1, and overall AUC values range from 0 to 1, with higher values indicating better performance. These metrics were calculated for each hold-out fold of the CV routine and averaged across all five folds.
An overall confusion matrix for each model was generated by summing the confusion matrices for each of the five test folds.
The CV was performed for the three models trained on each set of variables at 1, 3, and 5 m horizontal resolutions.
Finally, we trained and evaluated an additional Random Forest model using only the 5 m resolution bathymetric data variables (that is, removing the WC variables). We compared the performance of this additional model with that of the models using all variables in order to assess and quantify the improvement (if any) to model accuracy resulting from the inclusion of the WC variables.
2.4.2. Final Classification Maps
The model trained on all 5 m resolution variables was applied across each site to generate our final classification maps. This required generating predictive features (at 5 m resolution) over the full extent of the MBES data for each site. The “Extract Multi-Values to Points” tool in ArcMap was used to extract the values of each WC and bathymetry variable to grid points at 5 m spacing covering the extent of these variables. Predictions were made for each grid point using the predict function from the R randomForest package. These grid point predictions were then converted into a 5 m resolution raster.
From the raster for each site, we calculated the total area of each class by summing the number of 5 m2 pixels for each class. We then calculated the proportion of coverage for reef classes (bare rock, sparse kelp, and dense kelp) as the total area of that class divided by the total area of the three reef classes. Sand was excluded from this calculation so that these proportions provided comparable estimates across each site of the spatial extent of various kelp densities specifically on reef habitat.
2.5. Analysis of Data Within and Beyond the MSR
Since our proposed WCD target-extraction methodology was designed to account for the increased noise in WCD beyond the MSR, we compared model predictions for points located within or beyond the MSR. For each line of WCD, we extracted the water column samples at a height of 2 m above the seafloor. Each of these samples was labeled as either “beyond the MSR” if their sample range was greater than the MSR (estimated as the nadir range to the seafloor for a given ping), or as “within the MSR” if the sample range was less than the MSR. These were then converted into a GeoTIFF layer where each cell was labeled as “within MSR” or “beyond MSR”, based on the majority label of samples within the cell. The towed video points were classified as within or beyond the MSR based on their location relative to this layer. Of the 766 ground truth points, 378 points were classified as within the MSR and 388 points were classified as beyond the MSR. Separating the ground truth points within and beyond the MSR, predictions in each of the CV hold-out folds for the 5 m resolution model were collated and compared to the true classes. The overall accuracy (percentage correct) was then calculated for the two categories of points.
2.6. Direct Analysis of WC Variables by Class
The values from each of the primary WC variables were compared to the ground truth classes to evaluate possible direct correlations with differences in kelp density. Box plots were generated for each WC variable at each resolution to demonstrate the patterns of these values by class. The mean and standard deviation of each WC variable by class were also calculated.
3. Results
3.1. Model Performance
The models performed well overall, with the 5 m model performing best, reaching above 0.72 in both overall accuracy and macro-F1 score (Table 3). Performance decreased in finer-resolution models. The models for all three resolutions had AUC values above 0.8, although the analysis of AUC per class for the 5 m resolution model revealed notable differences among the classes (Figure 5). In this case, the dense kelp class achieved the highest AUC at 0.93, followed by sand, bare rock, and sparse kelp achieving the lowest AUC at 0.81 (Figure 5).
Table 3.
Model performance metrics resulting from the cross-validation (CV). “WC and Bathy” refers to the models trained on all variables (water column and bathymetry, after the iterative variable selection procedure), while “Bathy” refers to the additional model trained only with the bathymetric variables. Overall accuracy, overall AUC, and Marco-F1 values are reported as the average value across all CV folds, with standard deviation reported as an interval.
Figure 5.
Average ROC curve across all CV folds for each class for the best performing Random Forest model (5 m resolution) including the AUC. Sand is shown as a dotted line, bare rock is shown as a dot-dash line, sparse kelp is shown as a dashed line, and dense kelp is shown as a solid line.
At all horizontal resolutions, depth consistently ranked as the most important variable, with notable contribution from the WC variables (Figure 6), where variable importance was ranked using the Mean Decrease Gini values. In the best-performing model (5 m resolution) and also for the 3 m resolution model, depth was followed in importance by the three water column variables: WC Mean amplitude, WC Volume, and WC Point count. The importance of these WC variables was further validated by comparing the performance of the best model (5 m resolution) to a model excluding WC variables (Table 3), where all performance metrics showed decreased values when the WC variables were omitted. At 1 m resolution, the importance of the WC variables was lower than many of the bathymetric variables (Figure 6).
Figure 6.
Variable importance (Mean Decrease Gini) for the models at 5 m resolution (left), 3 m resolution (middle), and 1 m resolution (right). Higher values of Mean Decrease Gini indicate a higher importance ranking of those variables in the Random Forest model.
The combined confusion matrix for the 5 m resolution model (Table 4) showed that, in general, the highest numbers of misclassifications were between the sparse and bare classes. For the 5 m resolution model, approximately 24% of sparse kelp points were incorrectly classified as bare (65% of the total error for that class), and approximately 16% of the bare points were incorrectly classified as sparse kelp (61% of the total error). There were no instances where dense kelp was misclassified as sand, and only three instances where sand was misclassified as dense kelp. At higher resolutions, more dense kelp instances were misclassified as sparse kelp (Appendix A, Table A3 and Table A4).
Table 4.
Combined confusion matrix across 5 CV folds for the 5 m resolution model. Rows represent the true classes and columns represent the predicted classes.
3.2. Patterns of Water Column Variables for Each Class
The WC variables used in the models were correlated with kelp density (Figure 7, Table 5). WC Point count and WC Volume were positively correlated with kelp density. For WC Mean amplitude, sand also had the lowest values, but the values for the other classes showed a negative correlation with kelp density.
Figure 7.
Box plots of selected water column variables by class at 5 m (top row) and 1 m (bottom row) grid resolutions. The horizontal line inside of each box is the sample median. The top and bottom edges are the upper and lower quartiles, respectively. Outliers are shown as dots.
Table 5.
Average and standard deviation of the three WC variables included in final models, as well as Depth. Values are from the 5 m resolution variables and reported by class.
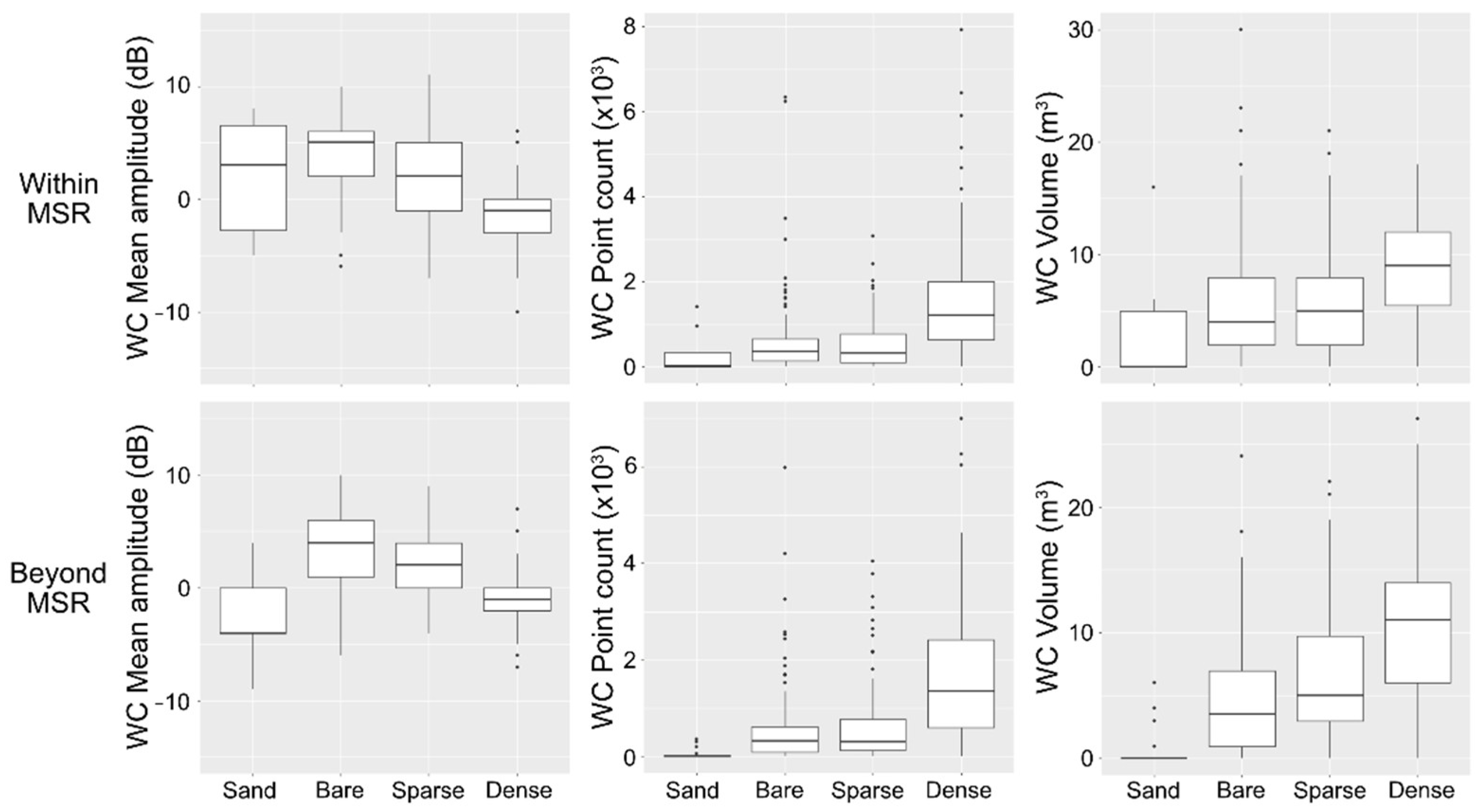
3.3. Within and Beyond MSR Analysis
The predictions were pooled from the hold-out folds in the CV routine for the towed video points (766) based on their location within the MSR (388) or beyond the MSR (378). For points within the MSR, 278 out of 388 (71.6%) were correctly classified. For points beyond the MSR, 267 out of 378 (70.6%) were correctly classified.
The values of the water column variables showed similar class distribution, whether they were within or beyond the MSR (Figure 8). The main difference between the two regimes was that all WC variables for the sand class showed higher values and greater variability for points within the MSR compared to points beyond the MSR. Additionally, there was increased discrimination between the “Bare rock” and “Sparse kelp” classes for the WC Volume variable for values beyond the MSR.
Figure 8.
Box plots of selected water column variables falling within (top) and beyond (bottom) the minimum slant range (MSR). The top and bottom edges are the upper and lower quartiles, respectively. Outliers are shown as dots.
3.4. Overall Classification
The final Random Forest model trained on the full dataset at 5 m resolution was used to predict kelp density across the full spatial extent of each site (Figure 9, Table 6).
Figure 9.
Classified maps based on the Random Forest model at 5 m resolution for three sites: (a) The Gardens, (b) North Freycinet, and (c) Monroe 1.
Table 6.
Total area (m2) for each site by class. The total reef area is the sum of the areas of bare rock, sparse kelp, and dense kelp (i.e., excluding sand).
Of the three sites, the northernmost site (the Gardens) had the highest total area of bare rock (Table 6) and the highest proportion of barrens relative to total reef area (72.0%, Figure 10). North Freycinet, the middle site, had the highest proportion of dense kelp, covering 47.3% of the total reef area, and the lowest proportion of barrens (21.5%). Monroe 1 had the highest proportion of sparse kelp relative to total reef area (48.3%).
Figure 10.
Percent of each reef class (bare rock, sparse kelp, or dense kelp) within each site (The Gardens (white), North Freycinet (grey), and Monroe 1 (black)). The percentage values are shown at the top of each bar.
4. Discussion
The results demonstrate that varying densities of kelp can be detected using MBES WCD, even across the entire swath width, given that appropriate data processing is applied. The Random Forest model performed well using predictive features at 5 m resolution (Table 3), with water column variables contributing significantly to this performance (Figure 6). Additionally, the predictions of this model on data beyond the MSR were similarly good, with a decrease in accuracy of only 1 percentage point compared to data from within the MSR.
The mean values of the three WC variables retained in our modelling (in their 5 m resolution version) were overall well differentiated by class (Figure 7 and Figure 8, Table 5). However, these values also had large standard deviations. This variability may be originating from residual noise within the WCD that was not filtered during the point cloud extraction. WCD are affected by many sources of noise. The primary sidelobe artefacts targeted by this processing method are the across-track (receiver array) sidelobes, but additional significant sources are the along-track (transmitter array) sidelobe artefacts, which appear as pronounced along-track hyperbolic arcs in the pings preceding and following strong acoustic targets [55]. In a rocky reef environment like our study site, large and prominent seafloor features such as rocks and boulders often cause along-track sidelobe artefacts [55,83]. Such artefacts could be mistakenly included as point cloud targets, leading to misclassification. Additionally, kelp environments are known to be highly productive ecosystems [2,12], increasing the likelihood of fish or other organisms being present over the reef, producing echoes that are often difficult to distinguish acoustically from kelp echoes [84]. The processing steps implemented to extract WCD point cloud targets were not designed to account for along-track sidelobe artefacts, nor differentiate between signals from kelp and fish schools near the seafloor. This limitation could also contribute to the observation of high counts of WCD point cloud targets over the bare patches of reef. Additional visual analysis of the point clouds or applying a target-specific clustering algorithm may help further differentiate the kelp signal from the echoes of other biological organisms in the water column.
The negative correlation of WC Mean amplitude with kelp density (Figure 6, Table 5) was an unexpected result of this study, but we propose an explanation. Kelp in our study site has a lower backscatter strength compared to other common water column targets, such as gas bubbles or fish. Ecklonia lacks the gas-filled floats (pneumatocysts) that are characteristic of some other species of kelp (e.g., Macrocystis, Nereocystis). While the density of tissue of Ecklonia differs from that of seawater [85], its backscatter strength would be lower than many other acoustic targets in the vicinity such as rocky seafloor or fishes with gas bladders. In dense kelp patches, a large number of low-amplitude kelp targets would contribute to a lower average amplitude, despite occasional high-amplitude targets from artefacts, fish, or seafloor echoes. In contrast, areas with low kelp density would have fewer low-amplitude kelp targets, allowing high-amplitude signals from other sources to dominate the average amplitude. Over bare reef patches, nearly all point cloud targets would correspond to high-amplitude signals from residual seafloor echoes, along-track sidelobe artefacts, or fish, leading to a higher average WC amplitude. Given that amplitude levels are recorded in decibels, larger values reflect an exponential increase in acoustic energy. The consistently lower average amplitude observed in dense kelp areas suggests that enough low-amplitude kelp targets may be present to offset any high-amplitude signals from noise or other sources. Patches of sand did not follow the trend of higher average amplitude with reduced kelp density, likely due to the flat featureless terrain, which would cause fewer along-track sidelobe artefacts, and lower risk of mistakenly including seafloor echoes within the point cloud. Additionally, fish are less commonly abundant in bare sandy habitat compared to complex reef habitat [86]. It is not known whether this correlation would also be present using methods such as that of Porskamp et al. [52], where all WCD samples are used for the mean amplitude calculation rather than a subset of targets within a point cloud. Whether this explanation is correct or not, our observation that average WC mean amplitude decreases with kelp density remains, and may have an important impact for future studies that, following Porskamp et al. [52] or Lucieer et al. [51], may focus exclusively on average WC energy above the seafloor as an indicator of kelp presence or density.
Analysis of the 5 m resolution model’s ROC curves (Figure 5) indicated that the model was more effective at distinguishing the dense kelp class compared to other classes. Similarly, the distribution of WC variables by class (Figure 7, Table 5) clearly distinguished the dense kelp class, while differentiation between the sparse kelp and bare rock classes was less pronounced. The confusion matrix (Table 4) also showed the largest number of misclassifications between the sparse kelp and bare rock classes. This may indicate a limitation in using MBES WCD to resolve sparse kelp patches, possibly because the canopy cover is not dense enough to provide sufficient acoustic contrast. Nevertheless, the ability to reliably differentiate between high-density (>60% cover) and low-density (<60% cover) kelp already offers valuable insights into reef ecosystem health. For example, Flukes et al. [87] demonstrated that a 66% reduction in Ecklonia canopy cover led to shifts in understory assemblages. Incipient barrens can signal the onset of widespread barrens, potentially prompting management actions in commercial fisheries [14]. Therefore, the ability to detect the initial changes in kelp density will be crucial for implementing timely management strategies.
A limitation of our study was that some classes were rare at some survey sites (Table 2), which necessitated pooling the ground-truth samples from all sites to train the models. Survey time constraints prevented covering larger areas to increase the number of instances per class, in particular the sand class. This also restricted the ability to use one site as an independent test for the models, resulting in the need for a cross-validation method for model accuracy assessment. Additional data at these sites may have allowed us to define a broader range of densities in Ecklonia-only and mixed kelp assemblages. Future studies could benefit from surveying larger contiguous areas with known variations in kelp density to acquire more data per class and achieve a more balanced class distribution, which would enable further inferences on the acoustic response as a function of kelp density, species differentiation, and abundance estimation.
One aim of this study was to identify the optimal data resolution for kelp assessment. Our results showed that among the three resolutions tested, the coarsest resolution (5 m) achieved the highest accuracy, while the finest resolution (1 m) had the lowest accuracy. At finer resolutions, water column variables were ranked as less important than bathymetric variables, likely due to the limited precision of the ground truth method. Although a USBL positioning system was used, the positional error of towed video systems must be considered [88] and may lead to misalignment between video and acoustic data. This error could propagate through the analysis, resulting in decreased accuracy for finer-resolution assessments. Therefore, without a high level of confidence in the error budget of the ground truth data, it may be unrealistic to evaluate data at resolutions below 5 m. Additionally, Lucieer et al. [51] highlighted that the minimum patch size for urchin barren areas is 5.7 m, suggesting that a 5 m resolution is suitable for detecting the early stages of barren formation.
For the Random Forest models, highly-correlated variables were removed to ensure model stability [89]. This feature-selection process decreased the number of potential WC variables from eight to three. Each variable used for analysis showed interesting correlation with kelp density, and captured several key characteristics available from the point cloud data: WC Mean amplitude provided a comparison to the metric used by other water column studies [51,52], while WC Volume captured a combination of the horizontal and vertical extent of features, which may be useful in the future for biomass estimations. However, some of the remaining WC variables not used in the models may also provide further insights and may be independently useful for future studies. For example, WC Percent cover also had positive correlations with kelp density and may be a useful variable for studies looking for a direct measurement of the horizontal coverage of WC features. The WC variables that were generated from the point cloud data also represent a subset of possible metrics that may be generated. The point cloud format allows flexibility in feature engineering so that other features may be created that may be valuable to the detection of other natural targets of interest, such as gas seeps or fish schools. For example, detection of gas seeps may benefit from the WC Maximum height variable, or additional variables not presented here.
The proposed WCD processing method has some limitations and opportunities for improvement. For example, the bottom detection masking equation used (see details in Nau et al. [36]) tends to overestimate the spread of the seafloor echo, potentially leading to the removal of echoes from water column targets near the seafloor, such as kelp. This overestimation was implemented in the present study to reduce data skewing caused by residual seafloor echoes in the point cloud. Future enhancements to the seafloor masking algorithm could improve the accuracy of extracting targets close to the seafloor.
Despite these limitations, the WCD processing method presented here offers several key advantages. The first advantage is a fully automated process for cleaning water column data, which includes removing artefacts caused by receiver array sidelobes and allows the exploitation of data beyond the MSR. Another notable advantage is that the conversion of raw WCD data from their native 3D tensor format to a point cloud of relevant targets achieves a very large reduction in file size (~85%), facilitating further analysis in geographic information system (GIS) software, such as the creation of the various WC derivatives explored in this study. Whilst several recent studies have opted to convert raw WCD data into a 2D “echo-integration” layer displaying average WC amplitude [38,52], our point cloud extraction method enables the inclusion of 3D elements, like the horizontal and vertical extent of features, for improved analysis. This additional information enhances our ability to accurately differentiate kelp densities, beyond relying solely on average WC amplitude.
5. Conclusions
This study highlights the transformative potential of utilising point clouds derived from MBES water column data (WCD) to classify kelp density on shallow temperate reef systems, advancing hydroacoustic methods for marine habitat monitoring. By demonstrating that the full MBES swath, including sidelobe-affected regions beyond the MSR, can be effectively utilised without compromising accuracy, this research provides a robust framework for optimising data acquisition and analysis. A key innovation of our approach lies in leveraging the 3D nature of point clouds, which allows for the extraction of multidimensional variables, such as the quantity, density, and horizontal and vertical extent of water column features. These metrics augment the capabilities of traditional 2D echo-integration methods by offering richer datasets for model training and habitat classification.
The demonstrated correlations between the WC variables and kelp density not only validate their applicability, but also open new avenues for standalone estimations of kelp coverage and density. This methodological advancement has profound implications for ecological monitoring, particularly in assessing dynamic changes in kelp ecosystems, such as transitions to urchin barrens. By enabling enhanced precision and the extraction of detailed metrics, this approach provides a valuable tool for tracking ecological shifts and informing conservation strategies.
Furthermore, the flexibility of the point cloud format to integrate diverse metrics from WCD offers significant potential for future research. This includes its application in benthic habitat models, as well as in studies focusing on specific features of interest within the marine environment. As the demand for high-resolution, adaptable monitoring tools grows, the methods outlined in this study position MBES WCD as a cornerstone technology for addressing critical ecological challenges in marine ecosystems.
Author Contributions
Conceptualization, A.W.N., V.L. and T.M.; methodology, A.W.N., V.L, A.C.G.S. and Y.L.; software, A.W.N., A.C.G.S. and Y.L.; validation, A.W.N. and A.C.G.S.; formal analysis, A.W.N.; resources, V.L.; writing—original draft preparation, A.W.N.; writing—review and editing, V.L., A.C.G.S., H.K., Y.L. and T.M.; project administration, V.L.; funding acquisition, V.L. All authors have read and agreed to the published version of the manuscript.
Funding
This study was co-funded by the Abalone Industry Reinvestment Fund (AIRF)—Department of Natural Resources and Environment at the Tasmanian Government (project number AIRF 2020/50), and the Department of Premier and Cabinet—Tasmanian Climate Change Office (project number T1F 115581/L0028037). The involvement of Alexandre Schimel was supported by the MAREANO program (www.mareano.no, accessed on 13 December 2024).
Data Availability Statement
The original multibeam water column data presented in the study are openly available at https://doi.org/10.25919/awfm-7v60.
Acknowledgments
We are grateful to the crew of the RV Abyss from Marine Solutions Pty Ltd. for their support during the field surveys, and to Victor Shelamoff for the towed video annotations. We are also grateful to Julianne Green for assistance with Figure 2.
Conflicts of Interest
The authors declare no conflicts of interest. The funders had no role in the design of the study; in the collection, analyses, or interpretation of data; in the writing of the manuscript; or in the decision to publish the results.
Appendix A
The materials contained within this appendix are intended to supplement the main text and provide specific details required for reproducing the methods used.
Table A1.
Point cloud file contents. Field number, name, and description for each field in the point cloud ASCII file.
Table A1.
Point cloud file contents. Field number, name, and description for each field in the point cloud ASCII file.
| Field Number | Field Name | Description |
|---|---|---|
| 1 | X | X coordinate in WGS84 UTM Zone 55S (Easting) |
| 2 | Y | Y coordinate in WGS84 UTM Zone 55S (Northing) |
| 3 | Z | Sample depth in metres (negative) |
| 4 | Amplitude | Original water column amplitude in dB |
| 5 | Beam number | Beam number |
| 6 | Across-track distance | Across-track distance in metres |
| 7 | Beam angle | Beam angle in degrees |
| 8 | Sample range | Sample range (from transducer) in metres |
| 9 | Nadir bottom range | Bottom range at nadir (from transducer) in metres |
| 10 | Ping number | Ping number |
| 11 | Bottom depth | Seafloor depth in metres (negative) |
| 12 | MSR | 1 = point located within the MSR, 0 = point located beyond the MSR |
| 13 | Height above seafloor | Derived by subtracting the depth of the seafloor (Field 11) from the depth of the sample (Field 3) |
Appendix A.1. ArcGIS Processing for WC Variables
To generate the WC variables, the point cloud files for each line (ASCII (*.txt) comma-separated format, Table A1) were first converted into a georeferenced ArcGIS point shapefile using the X and Y fields and the projected coordinate system WGS84 UTM Zone 55S. The point shapefile for each line was then converted into raster GeoTIFF format for each variable as described in Table A2 at 1, 3, and 5 m resolutions. The methods described use ArcMap v10.6 and refer to the specific tools used within the ArcMap toolbox. Individual lines for each resolution were combined using the “Mosaic To New Raster” tool with the cell assignment type set to “maximum”. Empty cells within the MBES swath extent were filled in with zero using the “Mosaic” tool. For the “WC Sum of amplitudes” and “WC Mean amplitude” variables, empty cells were filled in with a value of −64 (dB) instead of zero.
Table A2.
Specific ArcMap (v10.6) tools and methods used to produce each water column variable layer.
Table A2.
Specific ArcMap (v10.6) tools and methods used to produce each water column variable layer.
| Variable | Method |
|---|---|
| WC Mean amplitude | All raw dB values from the point shapefile were converted to linear values using the equation . The “Point-to-raster “tool was used to generate a linear value raster layer for each line using the SUM Assignment Type. After combining all layers, the combined layer was divided by the final combined WC Point count layer (creating a Linear mean layer) and then converted back to dB values implementing the equation using “Raster Calculator”. |
| WC Sum of amplitudes | The same method used to derive the WC Mean amplitude was applied, but using the SUM Assignment Type and the Linear sum of data values. |
| WC Volume | Maximum height above seafloor values were computed within a 0.25 m block using “Point-to-raster” at 0.25 m resolution with Assignment Type set to MAXIMUM. The 0.25 cm block size was chosen based on the average horizontal point spacing of the water column data. WC Volume was then computed at 0.25 m resolution by multiplying the maximum target height by 0.25 × 0.25 m. Total volume for each resolution was then calculated based on the 0.25 m3 volume raster using the “Block Statistics” tool with the SUM statistic at the specified block resolution (1, 3, and 5 m). |
| WC Point Count | Point shapefiles converted using the ArcGIS “Point-to-Raster” tool at a specified resolution (1, 3, and 5 m) with the Assignment Type set to COUNT. |
| WC Percent cover | A fishnet grid was created at 0.25 m resolution using the ArcGIS “Create Fishnet” tool. The 0.25 m block size was chosen as the average horizontal point spacing of the water column data, ensuring at least one target point per block. A spatial join was used to join the point shapefile for an individual line to the fishnet using the parameters CONTAINS, ONE TO ONE. The remaining 0.25 m polygons were converted to raster format, with each pixel value assigned to 1. The “Block Statistics” tool was then used to generate a raster at 1, 3, and 5 m resolution using the SUM statistic and cell sizes of 4 × 4, 12 × 12, and 20 × 20 cells. This raster layer was subsequently divided by 16, 144, and 400 (for 1, 3, and 5 m resolutions, respectively) to determine the percent cover of each cell. |
| WC Maximum height | Point shapefiles converted using the “Point-to-raster” tool on the ‘Height above seafloor’ field using MAX Assignment Type. |
| WC Mean height | Point shapefiles converted using the “Point-to-raster” tool on the ‘Height above seafloor’ field using MEAN Assignment Type. |
| WC Standard deviation of height | Point shapefiles converted using the “Point-to-raster” tool on the ‘Height above seafloor’ field using STANDARD_DEVIATION Assignment Type. |
Appendix A.2. Additional Confusion Matrices for the Random Forest Models
Table A3.
Combined confusion matrix across 5 CV folds for the 3 m resolution model. Rows represent the actual (true) classes and columns represent the predicted classes.
Table A3.
Combined confusion matrix across 5 CV folds for the 3 m resolution model. Rows represent the actual (true) classes and columns represent the predicted classes.
| Sand | Bare | Sparse | Dense | |
|---|---|---|---|---|
| Sand | 23 | 11 | 1 | 1 |
| Bare | 16 | 224 | 66 | 26 |
| Sparse | 2 | 57 | 130 | 37 |
| Dense | 3 | 14 | 34 | 121 |
Table A4.
Combined confusion matrix across 5 CV folds for the 1 m resolution model. Rows represent the actual (true) classes and columns represent the predicted classes.
Table A4.
Combined confusion matrix across 5 CV folds for the 1 m resolution model. Rows represent the actual (true) classes and columns represent the predicted classes.
| Sand | Bare | Sparse | Dense | |
|---|---|---|---|---|
| Sand | 23 | 9 | 4 | 0 |
| Bare | 13 | 217 | 79 | 23 |
| Sparse | 5 | 78 | 100 | 43 |
| Dense | 3 | 11 | 40 | 118 |
References
- Dayton, P.K. Ecology of kelp communities. Annu. Rev. Ecol. Syst. 1985, 16, 215–245. [Google Scholar] [CrossRef]
- Mann, K. Seaweeds: Their Productivity and Strategy for Growth: The role of large marine algae in coastal productivity is far more important than has been suspected. Science 1973, 182, 975–981. [Google Scholar] [CrossRef] [PubMed]
- Steneck, R.S.; Graham, M.H.; Bourque, B.J.; Corbett, D.; Erlandson, J.M.; Estes, J.A.; Tegner, M.J. Kelp forest ecosystems: Biodiversity, stability, resilience and future. Environ. Conserv. 2002, 29, 436–459. [Google Scholar] [CrossRef]
- Wernberg, T.; Couraudon-Réale, M.; Tuya, F.; Thomsen, M. Disturbance intensity, disturbance extent and ocean climate modulate kelp forest understory communities. Mar. Ecol. Prog. Ser. 2020, 651, 57–69. [Google Scholar] [CrossRef]
- Wernberg, T.; Coleman, M.A.; Babcock, R.C.; Bell, S.Y.; Bolton, J.J.; Connell, S.D.; Hurd, C.L.; Johnson, C.R.; Marzinelli, E.M.; Shears, N.T. Biology and Ecology of the Globally Significant Kelp Ecklonia radiata. Oceanogr. Mar. Biol. Annu. Rev. 2019, 57, 265–324. [Google Scholar]
- Layton, C.; Shelamoff, V.; Cameron, M.J.; Tatsumi, M.; Wright, J.T.; Johnson, C.R. Resilience and stability of kelp forests: The importance of patch dynamics and environment-engineer feedbacks. PLoS ONE 2019, 14, e0210220. [Google Scholar] [CrossRef]
- Teagle, H.; Hawkins, S.J.; Moore, P.J.; Smale, D.A. The role of kelp species as biogenic habitat formers in coastal marine ecosystems. J. Exp. Mar. Biol. Ecol. 2017, 492, 81–98. [Google Scholar] [CrossRef]
- Bennett, S.; Wernberg, T.; Connell, S.D.; Hobday, A.J.; Johnson, C.R.; Poloczanska, E.S. The ‘Great Southern Reef’: Social, ecological and economic value of Australia’s neglected kelp forests. Mar. Freshw. Res. 2015, 67, 47–56. [Google Scholar] [CrossRef]
- Hurd, C.L.; Wright, J.T.; Layton, C.; Strain, E.M.; Britton, D.; Visch, W.; Barrett, N.; Bennett, S.; Chang, K.J.L.; Edgar, G. From Tasmania to the world: Long and strong traditions in seaweed use, research, and development. Bot. Mar. 2023, 66, 1–36. [Google Scholar] [CrossRef]
- Eger, A.M.; Marzinelli, E.M.; Beas-Luna, R.; Blain, C.O.; Blamey, L.K.; Byrnes, J.E.K.; Carnell, P.E.; Choi, C.G.; Hessing-Lewis, M.; Kim, K.Y.; et al. The value of ecosystem services in global marine kelp forests. Nat. Commun. 2023, 14, 1894. [Google Scholar] [CrossRef]
- Edgar, G. General features of the ecology and biogeography of Tasmanian subtidal rocky shore communities. Pap. Proc. R. Soc. Tasman. 1984, 118, 173–186. [Google Scholar] [CrossRef]
- Wernberg, T.; Russell, B.D.; Moore, P.J.; Ling, S.D.; Smale, D.A.; Campbell, A.; Coleman, M.A.; Steinberg, P.D.; Kendrick, G.A.; Connell, S.D. Impacts of climate change in a global hotspot for temperate marine biodiversity and ocean warming. J. Exp. Mar. Biol. Ecol. 2011, 400, 7–16. [Google Scholar] [CrossRef]
- Davis, T.R.; Knott, N.A.; Champion, C.; Przeslawski, R. Impacts of climate change on densities of the urchin Centrostephanus rodgersii vary among marine regions in eastern Australia. Diversity 2023, 15, 419. [Google Scholar] [CrossRef]
- Johnson, C.R.; Ling, S.; Ross, D.; Shepherd, S.; Miller, K. Establishment of the Long-Spined Sea Urchin (Centrostephanus rodgersii) in Tasmania: First Assessment of Potential Threats to Fisheries. School of Zoology and Tasmanian Aquaculture and Fisheries Institute, University of Tasmania: Hobart, Australia, 2005. [Google Scholar]
- Ling, S.; Johnson, C.; Ridgway, K.; Hobday, A.; Haddon, M. Climate-driven range extension of a sea urchin: Inferring future trends by analysis of recent population dynamics. Glob. Change Biol. 2009, 15, 719–731. [Google Scholar] [CrossRef]
- Ling, S.D. Range expansion of a habitat-modifying species leads to loss of taxonomic diversity: A new and impoverished reef state. Oecologia 2008, 156, 883–894. [Google Scholar] [CrossRef]
- Smale, D.A.; Burrows, M.T.; Moore, P.; O’Connor, N.; Hawkins, S.J. Threats and knowledge gaps for ecosystem services provided by kelp forests: A northeast Atlantic perspective. Ecol. Evol. 2013, 3, 4016–4038. [Google Scholar] [CrossRef]
- Brown, C.J.; Smith, S.J.; Lawton, P.; Anderson, J.T. Benthic habitat mapping: A review of progress towards improved understanding of the spatial ecology of the seafloor using acoustic techniques. Estuar. Coast. Shelf Sci. 2011, 92, 502–520. [Google Scholar] [CrossRef]
- Misiuk, B.; Brown, C.J. Benthic habitat mapping: A review of three decades of mapping biological patterns on the seafloor. Estuar. Coast. Shelf Sci. 2024, 296, 108599. [Google Scholar] [CrossRef]
- Brown, C.J.; Blondel, P. Developments in the application of multibeam sonar backscatter for seafloor habitat mapping. Appl. Acoust. 2009, 70, 1242–1247. [Google Scholar] [CrossRef]
- Calvert, J.; Strong, J.A.; Service, M.; McGonigle, C.; Quinn, R. An evaluation of supervised and unsupervised classification techniques for marine benthic habitat mapping using multibeam echosounder data. ICES J. Mar. Sci. 2014, 72, 1498–1513. [Google Scholar] [CrossRef]
- Che Hasan, R.; Ierodiaconou, D.; Laurenson, L.; Schimel, A. Integrating multibeam backscatter angular response, mosaic and bathymetry data for benthic habitat mapping. PLoS ONE 2014, 9, e97339. [Google Scholar] [CrossRef] [PubMed]
- Che Hasan, R.; Ierodiaconou, D.; Monk, J. Evaluation of four supervised learning methods for benthic habitat mapping using backscatter from multi-beam sonar. Remote Sens. 2012, 4, 3427–3443. [Google Scholar] [CrossRef]
- Lucieer, V.; Hill, N.A.; Barrett, N.S.; Nichol, S. Do marine substrates ‘look’ and ‘sound’ the same? Supervised classification of multibeam acoustic data using autonomous underwater vehicle images. Estuar. Coast. Shelf S 2013, 117, 94–106. [Google Scholar] [CrossRef]
- Rattray, A.; Ierodiaconou, D.; Laurenson, L.; Burq, S.; Reston, M. Hydro-acoustic remote sensing of benthic biological communities on the shallow South East Australian continental shelf. Estuar. Coast. Shelf S 2009, 84, 237–245. [Google Scholar] [CrossRef]
- Cochrane, N.A.; Li, Y.; Melvin, G.D. Quantification of a multibeam sonar for fisheries assessment applications. J. Acoust. Soc. Am. 2003, 114, 745–758. [Google Scholar] [CrossRef]
- Colbo, K.; Ross, T.; Brown, C.; Weber, T. A review of oceanographic applications of water column data from multibeam echosounders. Estuar. Coast. Shelf S 2014, 145, 41–56. [Google Scholar] [CrossRef]
- Dunlop, K.M.; Jarvis, T.; Benoit-Bird, K.J.; Waluk, C.M.; Caress, D.W.; Thomas, H.; Smith, K.L. Detection and characterisation of deep-sea benthopelagic animals from an autonomous underwater vehicle with a multibeam echosounder: A proof of concept and description of data-processing methods. Deep-Sea Res. Part I-Oceanogr. Res. Pap. 2018, 134, 64–79. [Google Scholar] [CrossRef]
- Gerlotto, F.; Georgakarakos, S.; Eriksen, P.K. The application of multibeam sonar technology for quantitative estimates of fish density in shallow water acoustic surveys. Aquat. Living Resour. 2000, 13, 385–393. [Google Scholar] [CrossRef]
- Gurshin, C.W.D.; Jech, J.M.; Howell, W.H.; Weber, T.C.; Mayer, L.A. Measurements of acoustic backscatter and density of captive Atlantic cod with synchronized 300-kHz multibeam and 120-kHz split-beam echosounders. Ices J. Mar. Sci. 2009, 66, 1303–1309. [Google Scholar] [CrossRef][Green Version]
- Innangi, S.; Bonanno, A.; Tonielli, R.; Gerlotto, F.; Innangi, M.; Mazzola, S. High resolution 3-D shapes of fish schools: A new method to use the water column backscatter from hydrographic MultiBeam Echo Sounders. Appl. Acoust. 2016, 111, 148–160. [Google Scholar] [CrossRef]
- Mayer, L.; Li, Y.C.; Melvin, G. 3D visualization for pelagic fisheries research and assessment. ICES J. Mar. Sci. 2002, 59, 216–225. [Google Scholar] [CrossRef][Green Version]
- Melvin, G.D.; Cochrane, N.A. Multibeam Acoustic Detection of Fish and Water Column Targets at High-Flow Sites. Estuar. Coast. 2015, 38, S227–S240. [Google Scholar] [CrossRef]
- Minelli, A.; Tassetti, A.N.; Hutton, B.; Cozzolino, G.N.P.; Jarvis, T.; Fabi, G. Semi-Automated Data Processing and Semi-Supervised Machine Learning for the Detection and Classification of Water-Column Fish Schools and Gas Seeps with a Multibeam Echosounder. Sensors 2021, 21, 2999. [Google Scholar] [CrossRef]
- Chadwick, W.W.; Merle, S.G.; Buck, N.J.; Lavelle, J.W.; Resing, J.A.; Ferrini, V. Imaging of CO2 bubble plumes above an erupting submarine volcano, NW Rota-1, Mariana Arc. Geochem. Geophys. Geosyst. 2014, 15, 4325–4342. [Google Scholar] [CrossRef]
- Nau, A.W.; Scoulding, B.; Kloser, R.J.; Ladroit, Y.; Lucieer, V. Extended detection of shallow water gas seeps from multibeam echosounder water column data. Front. Remote Sens. 2022, 3, 839417. [Google Scholar] [CrossRef]
- Urban, P.; Köser, K.; Greinert, J. Processing of multibeam water column image data for automated bubble/seep detection and repeated mapping. Limnol. Oceanogr. Methods 2017, 15, 1–21. [Google Scholar] [CrossRef]
- Urban, P.; Veloso-Alarcon, M.E.; Greinert, J. Echo grid integration: A novel method for preprocessing multibeam water column data to quantify underwater gas bubble emissions. Limnol. Ocean.-Meth 2023, 21, 377–400. [Google Scholar] [CrossRef]
- von Deimling, J.S.; Brockhoff, J.; Greinert, J. Flare imaging with multibeam systems: Data processing for bubble detection at seeps. Geochem. Geophys. Geosyst. 2007, 8, Artn Q06004. [Google Scholar] [CrossRef]
- von Deimling, J.S.; Rehder, G.; Greinert, J.; McGinnnis, D.F.; Boetius, A.; Linke, P. Quantification of seep-related methane gas emissions at Tommeliten, North Sea. Cont. Shelf Res. 2011, 31, 867–878. [Google Scholar] [CrossRef]
- Weber, T.C. A CFAR detection approach for identifying gas bubble seeps with multibeam echo sounders. IEEE J. Ocean. Eng. 2021, 46, 1346–1355. [Google Scholar] [CrossRef]
- Weber, T.C.; Mayer, L.; Jerram, K.; Beaudoin, J.; Rzhanov, Y.; Lovalvo, D. Acoustic estimates of methane gas flux from the seabed in a 6000 km2 region in the Northern Gulf of Mexico. Geochem. Geophys. Geosyst. 2014, 15, 1911–1925. [Google Scholar] [CrossRef]
- Yang, F.L.; Wang, F.; Luan, Z.D.; Bu, X.H.; Mei, S.; Zhang, J.X.; Liu, H.X. Automatic segmentation of gas plumes from multibeam water column images using a U-shape network. J. Oceanol. Limnol. 2023, 41, 1753–1764. [Google Scholar] [CrossRef]
- Zhang, W.Y.; Zhou, T.; Li, J.H.; Xu, C. An Efficient Method for Detection and Quantitation of Underwater Gas Leakage Based on a 300-kHz Multibeam Sonar. Remote Sens. 2022, 14, 4301. [Google Scholar] [CrossRef]
- Zhao, J.; Meng, J.; Zhang, H.; Wang, S. Comprehensive Detection of Gas Plumes from Multibeam Water Column Images with Minimisation of Noise Interferences. Sensors 2017, 17, 2755. [Google Scholar] [CrossRef] [PubMed]
- Zhao, J.H.; Mai, D.X.; Zhang, H.M.; Wang, S.Q. Automatic Detection and Segmentation on Gas Plumes from Multibeam Water Column Images. Remote Sens. 2020, 12, 3085. [Google Scholar] [CrossRef]
- Kruss, A.; Blondel, P.; Tegowski, J. Mapping macrophytes and habitats: Single-beam and multibeam imaging in the Arctic. Underw. Acoust. Meas. Technol. Res. 2011, 1687–1694. [Google Scholar]
- Kruss, A.; Blondel, P.; Tegowski, J. Acoustic properties of macrophytes: Comparison of single-beam and multibeam imaging with modeling results. In Proceedings of the 11th European Conference on Underwater Acoustics, Edinburgh, UK, 1 July–6 July 2012; pp. 168–175. [Google Scholar]
- Kruss, A.; Blondel, P.; Tegowski, J.; Wiktor, J.; Tatarek, A. Estimation of macrophytes using single-beam and multibeam echosounding for environmental monitoring of Arctic fjords (Kongsfjord, West Svalbard Island). J. Acoust. Soc. Am. 2008, 123, 3213. [Google Scholar] [CrossRef]
- McGonigle, C.; Grabowski, J.H.; Brown, C.J.; Weber, T.C.; Quinn, R. Detection of deep water benthic macroalgae using image-based classification techniques on multibeam backscatter at Cashes Ledge, Gulf of Maine, USA. Estuar. Coast. Shelf S 2011, 91, 87–101. [Google Scholar] [CrossRef]
- Lucieer, V.; Flukes, E.; Keane, J.P.; Ling, S.D.; Nau, A.W.; Shelamoff, V. Mapping warming reefs—An application of multibeam acoustic water column analysis to define threatened abalone habitat. Front. Remote Sens. 2023, 4, 1149900. [Google Scholar] [CrossRef]
- Porskamp, P.; Schimel, A.C.; Young, M.; Rattray, A.; Ladroit, Y.; Ierodiaconou, D. Integrating multibeam echosounder water-column data into benthic habitat mapping. Limnol. Oceanogr. 2022, 67, 1701–1713. [Google Scholar] [CrossRef]
- Blondel, P.; Kruss, A.; Tegowski, J.; Wladichuk, J.L. High-frequency acoustics of marine vegetation—Role of frequencies and imaging angles. In Proceedings of the Underwater Acoustics Conference and Exhibition UACE-2019, Hersonissos, Greece, 8 July–12 July 2019; pp. 9–16. [Google Scholar]
- Schimel, A.C.; Brown, C.J.; Ierodiaconou, D. Automated filtering of multibeam water-column data to detect relative abundance of giant kelp (Macrocystis pyrifera). Remote Sens. 2020, 12, 1371. [Google Scholar] [CrossRef]
- Hughes Clarke, J. Applications of multibeam water column imaging for hydrographic survey. Hydrogr. J. 2006, 120, 3–15. [Google Scholar]
- Coleman, M.A.; Wernberg, T. Forgotten underwater forests: The key role of fucoids on Australian temperate reefs. Ecol. Evol. 2017, 7, 8406–8418. [Google Scholar] [CrossRef] [PubMed]
- Hanns, B.; Blain, C.; Shears, N.T. Morphological variation of the kelp Ecklonia radiata in northeastern New Zealand and across its Australasian range. Mar. Biol. 2024, 171, 160. [Google Scholar] [CrossRef]
- James, N.P.; Reid, C.M.; Bone, Y.; Levings, A.; Malcolm, I. The macroalgal carbonate factory at a cool-to-warm temperate marine transition, Southern Australia. Sediment. Geol. 2013, 291, 1–26. [Google Scholar] [CrossRef]
- Connell, S.D.; Irving, A.D. Integrating ecology with biogeography using landscape characteristics: A case study of subtidal habitat across continental Australia. J. Biogeogr. 2008, 35, 1608–1621. [Google Scholar] [CrossRef]
- Ling, S.; Keane, J. Resurvey of the Longspined Sea Urchin (Centrostephanus rodgersii) and Associated Barren Reef in Tasmania; Institute for Marine and Antarctic Studies, University of Tasmania: Hobart, Australia, 2018. [Google Scholar]
- Walbridge, S.; Slocum, N.; Pobuda, M.; Wright, D.J. Unified Geomorphological Analysis Workflows with Benthic Terrain Modeler. Geosciences 2018, 8, 94. [Google Scholar] [CrossRef]
- Lecours, V.; Devillers, R.; Simms, A.E.; Lucieer, V.L.; Brown, C.J. Towards a framework for terrain attribute selection in environmental studies. Environ. Model. Softw. 2017, 89, 19–30. [Google Scholar] [CrossRef]
- Turner, J.A.; Babcock, R.C.; Hovey, R.; Kendrick, G.A. Can single classifiers be as useful as model ensembles to produce benthic seabed substratum maps? Estuar. Coast. Shelf Sci. 2018, 204, 149–163. [Google Scholar] [CrossRef]
- Young, M.; Ierodiaconou, D.; Womersley, T. Forests of the sea: Predictive habitat modelling to assess the abundance of canopy forming kelp forests on temperate reefs. Remote Sens. Environ. 2015, 170, 178–187. [Google Scholar] [CrossRef]
- Kongsberg. EM Series Multibeam Echo Sounders Datagram Formats—850-160692/W; Kongsberg Maritime: Kongsberg, Norway, 2018. [Google Scholar]
- Breiman, L. Random forests. Mach. Learn. 2001, 45, 5–32. [Google Scholar] [CrossRef]
- Goode, S.L.; Rowden, A.A.; Bowden, D.A.; Clark, M.R.; Stephenson, F. Fine-Scale Mapping of Mega-Epibenthic Communities and Their Patch Characteristics on Two New Zealand Seamounts. Front. Mar. Sci. 2021, 8, 765407. [Google Scholar] [CrossRef]
- Liaw, A.; Wiener, M. Classification and regression by randomForest. R. News 2002, 2, 18–22. [Google Scholar]
- Kuhn, M.; Wing, J.; Weston, S.; Williams, A.; Keefer, C.; Engelhardt, A.; Cooper, T.; Mayer, Z.; Kenkel, B.; Team, R.C. Package ‘caret’. R. J. 2020, 223, 48. [Google Scholar]
- Chen, C.; Liaw, A.; Breiman, L. Using random forest to learn imbalanced data. Univ. Calif. Berkeley 2004, 110, 24. [Google Scholar]
- Meyer, H.; Reudenbach, C.; Wöllauer, S.; Nauss, T. Importance of spatial predictor variable selection in machine learning applications—Moving from data reproduction to spatial prediction. Ecol. Model. 2019, 411, 108815. [Google Scholar] [CrossRef]
- Valavi, R.; Elith, J.; Lahoz-Monfort, J.J.; Guillera-Arroita, G. blockCV: An r package for generating spatially or environmentally separated folds for k-fold cross-validation of species distribution models. Methods Ecol. Evol. 2019, 10, 225–232. [Google Scholar] [CrossRef]
- Misiuk, B.; Diesing, M.; Aitken, A.; Brown, C.J.; Edinger, E.N.; Bell, T. A Spatially Explicit Comparison of Quantitative and Categorical Modelling Approaches for Mapping Seabed Sediments Using Random Forest. Geosciences 2019, 9, 254. [Google Scholar] [CrossRef]
- Telford, R.J.; Birks, H.J.B. Evaluation of transfer functions in spatially structured environments. Quat. Sci. Rev. 2009, 28, 1309–1316. [Google Scholar] [CrossRef]
- Milà, C.; Mateu, J.; Pebesma, E.; Meyer, H. Nearest neighbour distance matching Leave-One-Out Cross-Validation for map validation. Methods Ecol. Evol. 2022, 13, 1304–1316. [Google Scholar] [CrossRef]
- Hand, D.J.; Till, R.J. A simple generalisation of the area under the ROC curve for multiple class classification problems. Mach. Learn. 2001, 45, 171–186. [Google Scholar] [CrossRef]
- Abad-Uribarren, A.; Prado, E.; Sierra, S.; Cobo, A.; Rodríguez-Basalo, A.; Gómez-Ballesteros, M.; Sánchez, F. Deep learning-assisted high resolution mapping of vulnerable habitats within the Capbreton Canyon System, Bay of Biscay. Estuar. Coast. Shelf Sci. 2022, 275, 107957. [Google Scholar] [CrossRef]
- Marre, G.; De Almeida Braga, C.; Ienco, D.; Luque, S.; Holon, F.; Deter, J. Deep convolutional neural networks to monitor coralligenous reefs: Operationalizing biodiversity and ecological assessment. Ecol. Inform. 2020, 59, 101110. [Google Scholar] [CrossRef]
- Arosio, R.; Hobley, B.; Wheeler, A.J.; Sacchetti, F.; Conti, L.A.; Furey, T.; Lim, A. Fully convolutional neural networks applied to large-scale marine morphology mapping. Front. Mar. Sci. 2023, 10, 1228867. [Google Scholar] [CrossRef]
- Callery, O.; Grehan, A. Extending regional habitat classification systems to ocean basin scale using predicted species distributions as proxies. Front. Mar. Sci. 2023, 10, 1139425. [Google Scholar] [CrossRef]
- Opitz, J.; Burst, S. Macro f1 and macro f1. arXiv 2019, arXiv:1911.03347. [Google Scholar]
- Robin, X.; Turck, N.; Hainard, A.; Tiberti, N.; Lisacek, F.; Sanchez, J.-C.; Müller, M. pROC: An open-source package for R and S+ to analyze and compare ROC curves. BMC Bioinform. 2011, 12, 77. [Google Scholar] [CrossRef]
- Nau, A.W.; Lucieer, V.; Schimel, C.A. Modeling the along-track sidelobe interference artifact in multibeam sonar water-column data. In Proceedings of the OCEANS 2018 MTS/IEEE Charleston, Charleston, SC, USA, 22–25 October 2018; pp. 1–5. [Google Scholar]
- Lavery, A.C.; Wiebe, P.H.; Stanton, T.K.; Lawson, G.L.; Benfield, M.C.; Copley, N. Determining dominant scatterers of sound in mixed zooplankton populations. J. Acoust. Soc. Am. 2007, 122, 3304–3326. [Google Scholar] [CrossRef]
- Randall, J.; Hermand, J.-P.; Ernould, M.-E.; Ross, J.; Johnson, C. Measurement of acoustic material properties of macroalgae (Ecklonia radiata). J. Exp. Mar. Biol. Ecol. 2014, 461, 430–440. [Google Scholar] [CrossRef]
- Parsons, D.F.; Suthers, I.M.; Cruz, D.O.; Smith, J.A. Effects of habitat on fish abundance and species composition on temperate rocky reefs. Mar. Ecol. Prog. Ser. 2016, 561, 155–171. [Google Scholar] [CrossRef]
- Flukes, E.; Johnson, C.; Wright, J. Thinning of kelp canopy modifies understory assemblages: The importance of canopy density. Mar. Ecol. Prog. Ser. 2014, 514, 57–70. [Google Scholar] [CrossRef]
- Rattray, A.; Ierodiaconou, D.; Monk, J.; Laurenson, L.; Kennedy, P. Quantification of spatial and thematic uncertainty in the application of underwater video for benthic habitat mapping. Mar. Geod. 2014, 37, 315–336. [Google Scholar] [CrossRef]
- Millard, K.; Richardson, M. On the Importance of Training Data Sample Selection in Random Forest Image Classification: A Case Study in Peatland Ecosystem Mapping. Remote Sens. 2015, 7, 8489–8515. [Google Scholar] [CrossRef]
Disclaimer/Publisher’s Note: The statements, opinions and data contained in all publications are solely those of the individual author(s) and contributor(s) and not of MDPI and/or the editor(s). MDPI and/or the editor(s) disclaim responsibility for any injury to people or property resulting from any ideas, methods, instructions or products referred to in the content. |
© 2025 by the authors. Licensee MDPI, Basel, Switzerland. This article is an open access article distributed under the terms and conditions of the Creative Commons Attribution (CC BY) license (https://creativecommons.org/licenses/by/4.0/).









