Landslide Susceptibility Mapping Considering Landslide Spatial Aggregation Using the Dual-Frequency Ratio Method: A Case Study on the Middle Reaches of the Tarim River Basin
Abstract
1. Introduction
2. Methods
2.1. LSP Modeling Procedure
- (1)
- Landslide inventory building through remote sensing interpretation, field investigation and historical record;
- (2)
- Spatial datasets collection and the integration of landslide predisposing factors;
- (3)
- Establishing the correlation between the incidence of landslide and corresponding impact factors by indicators including FR, adjusted FR (FRa) and DFR; the influence of landslide spatial aggregation is considered by the latter two indicators;
- (4)
- Creating LSP models using the FR, AHP, LR and RF models, and adopting the FRs values of each predisposing factor as input variables;
- (5)
- LSIs calculation by LSP models and LSMs generation using ArcGIS 10.4 software;
- (6)
- Model evaluation based on LSI distribution patterns and accuracy analysis.
2.2. Analysis of Landslide Spatial Aggregation
2.3. LSP Modeling Approaches
2.3.1. FR Model
2.3.2. AHP Model
2.3.3. LR Model
2.3.4. RF Model
2.4. Performance Evaluation Indexes
2.4.1. ROCs
2.4.2. Distribution Patterns of LSIs
3. Study Area and Data
3.1. Description of Study Area
3.2. Landslide Inventory Information
3.3. Landslide Predisposing Factors
3.3.1. Geomorphologic Factors
3.3.2. Geological Factors
3.3.3. Hydrological Factors
3.3.4. Surface Cover Factors
4. Results
4.1. Preparation of Spatial Datasets for Building LSP Model
4.2. LSP by FR Model
4.3. LSP by AHP Model
4.4. LSP by LR Model
4.5. LSP by RF Model
5. Discussion
5.1. Evaluation of LSP Models
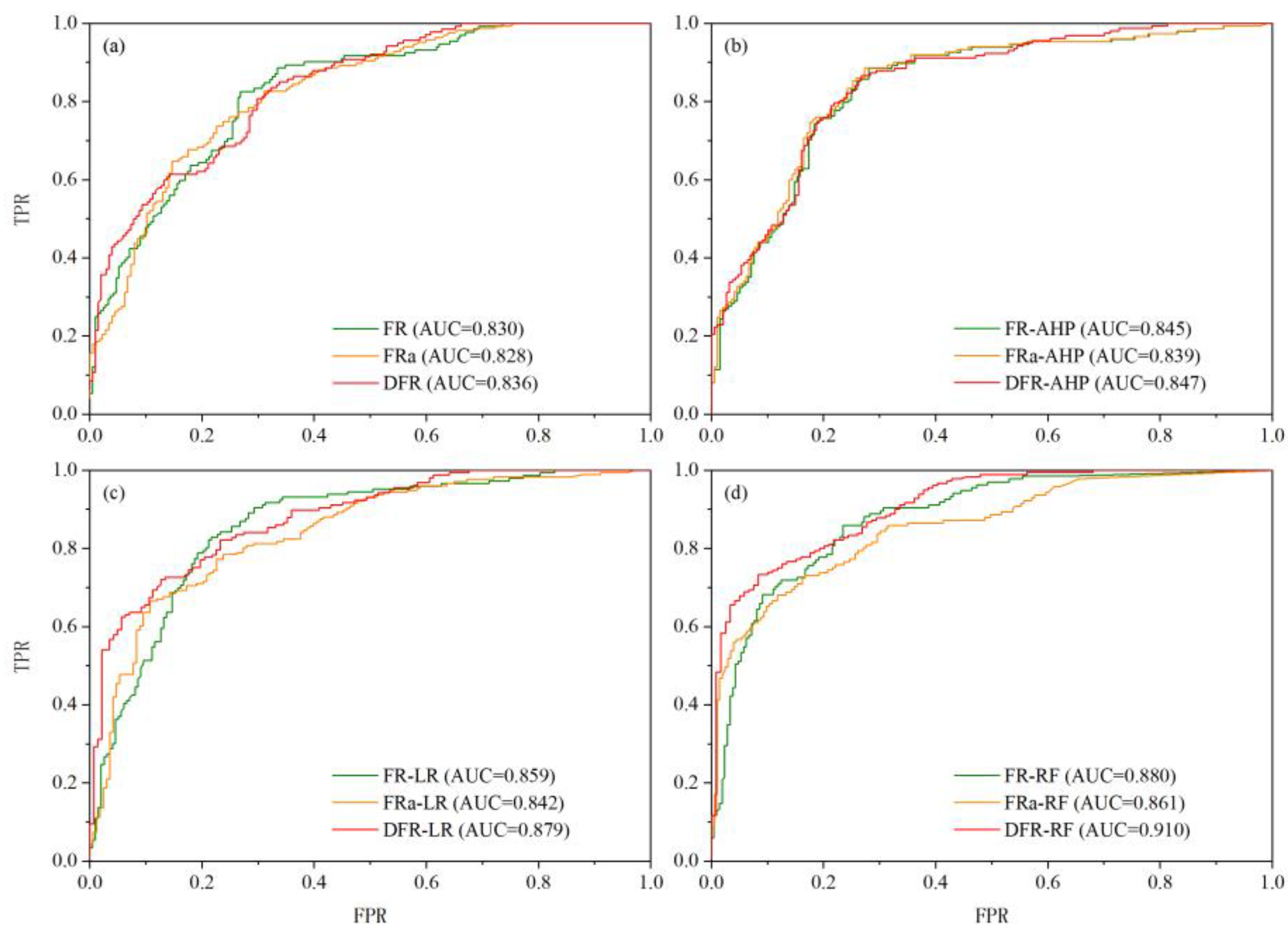
5.1.1. AUC Values of the LSP Models
5.1.2. Distribution Patterns of Obtained LSIs
5.2. Synthetical Analysis of LSP Results
5.3. For Further Study
6. Conclusions
- (1)
- The DFR method proposed in this study can not only perform well in quantifying the degree of landslide spatial aggregation, but also improve the prediction performance of LSP model effectively. According to the obtained LSMs and model evaluation, every LSP model using the DFR method in this study has a better prediction performance.
- (2)
- On the whole, the RF model outperforms the other LSP models in terms of prediction ability, followed by the LR model, the AHP model and the FR model. Furthermore, the machine learning models, including the RF model and the LR model, have a much better prediction performance than the traditional statistical models represented by the AHP model and the FR model.
- (3)
- The vast majority of the high and very high landslide susceptibility zones are primarily located in the northern mountainous regions of the study area, according to a combination of the different LSMs produced by LSP models. In addition, the LSP result of a single type of model is often uncertain, and the final LSM should be determined by the comprehensive analysis of the various LSP models’ results.
Author Contributions
Funding
Data Availability Statement
Conflicts of Interest
References
- Froude, M.J.; Petley, D.N. Global fatal landslide occurrence from 2004 to 2016. Nat. Hazard. Earth Syst. 2018, 18, 2161–2181. [Google Scholar] [CrossRef]
- Park, J.Y.; Lee, S.R.; Lee, D.H.; Kim, Y.T.; Lee, J.S. A regional-scale landslide early warning methodology applying statistical and physically based approaches in sequence. Eng. Geol. 2019, 260, 105193. [Google Scholar] [CrossRef]
- Li, G.K.; Moon, S. Topographic stress control on bedrock landslide size. Nat. Geosci. 2021, 14, 307–313. [Google Scholar] [CrossRef]
- Xu, Q.; Zhao, B.; Dai, K.; Dong, X.; Li, W.; Zhu, X.; Yang, Y.; Xiao, X.; Wang, X.; Huang, J.; et al. Remote sensing for landslide investigations: A progress report from China. Eng. Geol. 2023, 321, 107156. [Google Scholar] [CrossRef]
- Yang, Z.J.; Pang, B.; Dong, W.F.; Li, D.H.; Huang, Z.Y. Interaction of landslide spatial patterns and river canyon landforms: Insights into the Three Parallel Rivers Area, southeastern Tibetan Plateau. Sci. Total Environ. 2024, 914, 169935. [Google Scholar] [CrossRef] [PubMed]
- van Westen, C.J.; Castellanos, E.; Kuriakose, S.L. Spatial data for landslide susceptibility, hazard, and vulnerability assessment: An overview. Eng. Geol. 2008, 102, 112–131. [Google Scholar] [CrossRef]
- Bourenane, H.; Meziani, A.A.; Benamar, D.A. Application of GIS-based statistical modeling for landslide susceptibility mapping in the city of Azazga, Northern Algeria. Bull. Eng. Geol. Environ. 2021, 80, 7333–7359. [Google Scholar] [CrossRef]
- Chang, M.; Cui, P.; Dou, X.; Su, F. Quantitative risk assessment of landslides over the China-Pakistan economic corridor. Int. J. Disaster Risk Reduct. 2021, 63, 102441. [Google Scholar] [CrossRef]
- Shang, Y.J.; Wang, S.J.; Li, G.C.; Yang, Z.F. Retrospective case example using a comprehensive suitability index (CSI) for siting the Shisan-Ling power station, China. Int. J. Rock. Mech. Min. 2000, 37, 839–853. [Google Scholar] [CrossRef]
- Singh, K.; Kumar, V. Hazard assessment of landslide disaster using information value method and analytical hierarchy process in highly tectonic Chamba region in bosom of Himalaya. J. Mt. Sci. 2018, 15, 808–824. [Google Scholar] [CrossRef]
- Li, Y.; Qi, S.; Zheng, B.; Yao, X.; Guo, S.; Zou, Y.; Lu, X.; Tang, F.; Guo, X.; Waqar, M.F.; et al. Multi-Scale Engineering Geological Zonation for Linear Projects in Mountainous Regions: A Case Study of National Highway 318 Chengdu-Shigatse Section. Remote Sens. 2023, 15, 4619. [Google Scholar] [CrossRef]
- Li, C.J.; Ma, T.H.; Sun, L.L.; Li, W.; Zheng, A.P. Application and verification of a fractal approach to landslide susceptibility mapping. Nat. Hazards 2012, 61, 169–185. [Google Scholar] [CrossRef]
- Aditian, A.; Kubota, T.; Shinohara, Y. Comparison of GIS-based landslide susceptibility models using frequency ratio, logistic regression, and artificial neural network in a tertiary region of Ambon, Indonesia. Geomorphology 2018, 318, 101–111. [Google Scholar] [CrossRef]
- Reichenbach, P.; Rossi, M.; Malamud, B.D.; Mihir, M.; Guzzetti, F. A review of statistically-based landslide susceptibility models. Earth-Sci. Rev. 2018, 180, 60–91. [Google Scholar] [CrossRef]
- Yalcin, A.; Reis, S.; Aydinoglu, A.C.; Yomralioglu, T. A GIS-based comparative study of frequency ratio, analytical hierarchy process, bivariate statistics and logistics regression methods for landslide susceptibility mapping in Trabzon, NE Turkey. Catena 2011, 85, 274–287. [Google Scholar] [CrossRef]
- Wang, X.; Zhang, L.; Wang, S.; Lari, S. Regional landslide susceptibility zoning with considering the aggregation of landslide points and the weights of factors. Landslides 2014, 11, 399–409. [Google Scholar] [CrossRef]
- Huang, F.; Cao, Z.; Guo, J.; Jiang, S.-H.; Li, S.; Guo, Z. Comparisons of heuristic, general statistical and machine learning models for landslide susceptibility prediction and mapping. Catena 2020, 191, 104580. [Google Scholar] [CrossRef]
- Lee, S.; Pradhan, B. Landslide hazard mapping at Selangor, Malaysia using frequency ratio and logistic regression models. Landslides 2007, 4, 33–41. [Google Scholar] [CrossRef]
- Liu, L.L.; Zhang, Y.L.; Xiao, T.; Yang, C. A frequency ratio-based sampling strategy for landslide susceptibility assessment. Bull. Eng. Geol. Environ. 2022, 81, 360. [Google Scholar] [CrossRef]
- Alvioli, M.; Loche, M.; Jacobs, L.; Grohmann, C.H.; Abraham, M.T.; Gupta, K.; Satyam, N.; Scaringi, G.; Bornaetxea, T.; Rossi, M.; et al. A benchmark dataset and workflow for landslide susceptibility zonation. Earth-Sci. Rev. 2024, 258, 104927. [Google Scholar] [CrossRef]
- Lin, L.; Lin, Q.; Wang, Y. Landslide susceptibility mapping on a global scale using the method of logistic regression. Nat. Hazard. Earth Syst. 2017, 17, 1411–1424. [Google Scholar] [CrossRef]
- Broeckx, J.; Vanmaercke, M.; Duchateau, R.; Poesen, J. A data-based landslide susceptibility map of Africa. Earth-Sci. Rev. 2018, 185, 102–121. [Google Scholar] [CrossRef]
- Chen, W.; Li, Y.; Xue, W.F.; Shahabi, H.; Li, S.J.; Hong, H.Y.; Wang, X.J.; Bian, H.Y.; Zhang, S.; Pradhan, B.; et al. Modeling flood susceptibility using data-driven approaches of naive Bayes tree, alternating decision tree, and random forest methods. Sci. Total Environ. 2020, 701, 134979. [Google Scholar] [CrossRef]
- Liu, L.; Li, S.; Li, X.; Jiang, Y.; Wei, W.; Wang, Z.; Bai, Y. An integrated approach for landslide susceptibility mapping by considering spatial correlation and fractal distribution of clustered landslide data. Landslides 2019, 16, 715–728. [Google Scholar] [CrossRef]
- Liu, B.; Han, S.Y.; Gong, H.; Zhou, Z.L.; Zhang, D. Disaster resilience assessment based on the spatial and temporal aggregation effects of earthquake-induced hazards. Environ. Sci. Pollut. Res. 2020, 27, 29055–29067. [Google Scholar] [CrossRef] [PubMed]
- Huang, F.; Tao, S.; Li, D.; Lian, Z.; Catani, F.; Huang, J.; Li, K.; Zhang, C. Landslide Susceptibility Prediction Considering Neighborhood Characteristics of Landslide Spatial Datasets and Hydrological Slope Units Using Remote Sensing and GIS Technologies. Remote Sens. 2022, 14, 4436. [Google Scholar] [CrossRef]
- Chang, Z.L.; Huang, F.M.; Huang, J.S.; Jiang, S.H.; Liu, Y.T.; Meena, S.R.; Catani, F. An updating of landslide susceptibility prediction from the perspective of space and time. Geosci. Front. 2023, 14, 101619. [Google Scholar] [CrossRef]
- Dornik, A.; Drăguţ, L.; Oguchi, T.; Hayakawa, Y.; Micu, M. Influence of sampling design on landslide susceptibility modeling in lithologically heterogeneous areas. Sci. Rep. 2022, 12, 2106. [Google Scholar] [CrossRef]
- Shang, Y.J.; Park, H.D.; Yang, Z.F. Engineering geological zonation using interaction matrix of geological factors: An example from one section of Sichuan-Tibet Highway. Geosci. J. 2005, 9, 375–387. [Google Scholar] [CrossRef]
- Breiman, L. Random forests. Mach. Learn. 2001, 45, 5–32. [Google Scholar] [CrossRef]
- Hasan, M.; Kotov, A.; Idalski Carcone, A.; Dong, M.; Naar, S.; Brogan Hartlieb, K. A study of the effectiveness of machine learning methods for classification of clinical interview fragments into a large number of categories. J. Biomed. Inform. 2016, 62, 21–31. [Google Scholar] [CrossRef]
- Akobeng, A.K. Understanding diagnostic tests 3: Receiver operating characteristic curves. Acta Paediatr. 2007, 96, 644–647. [Google Scholar] [CrossRef]
- Wu, Y.L.; Ke, Y.T.; Chen, Z.; Liang, S.Y.; Zhao, H.L.; Hong, H.Y. Application of alternating decision tree with AdaBoost and bagging ensembles for landslide susceptibility mapping. Catena 2020, 187, 104396. [Google Scholar] [CrossRef]
- de Hond, A.A.H.; Steyerberg, E.W.; van Calster, B. Interpreting area under the receiver operating characteristic curve. Lancet Digit. Health 2022, 4, E853–E855. [Google Scholar] [CrossRef] [PubMed]
- Chen, Y.; Xu, Z. Possible impacts of global climate change on water resources in Tarim River Basin, Xinjiang. Sci. China 2004, 34, 1047–1053. [Google Scholar] [CrossRef]
- Xiao, W.; Zhang, L.-C.; Qin, K.Z.; Li, J.-L. Paleozoic accretionary and collisional tectonics of the Eastern Tianshan (China): Implications for the continental growth of central Asia. Am. J. Sci. 2004, 304, 370–395. [Google Scholar] [CrossRef]
- Xiao, W.; Windley, B.F.; Allen, M.B.; Han, C. Paleozoic multiple accretionary and collisional tectonics of the Chinese Tianshan orogenic collage. Gondwana Res. 2013, 23, 1316–1341. [Google Scholar] [CrossRef]
- Zhou, J.B.; Wilde, S.A.; Zhao, G.C.; Han, J. Nature and assembly of microcontinental blocks within the Paleo-Asian Ocean. Earth-Sci. Rev. 2018, 186, 76–93. [Google Scholar] [CrossRef]
- Xu, J.H.; Chen, Y.N.; Lu, F.; Li, W.H.; Zhang, L.J.; Hong, Y.L. The Nonlinear trend of runoff and its response to climate change in the Aksu River, western China. Int. J. Climatol. 2011, 31, 687–695. [Google Scholar] [CrossRef]
- Huang, F.; Teng, Z.; Yao, C.; Jiang, S.-H.; Catani, F.; Chen, W.; Huang, J. Uncertainties of landslide susceptibility prediction: Influences of random errors in landslide conditioning factors and errors reduction by low pass filter method. J. Rock. Mech. Geotech. 2024, 16, 213–230. [Google Scholar] [CrossRef]
- Varnes, D.J. Slope Movement Types and Processes; Transportation Research Board; National Academy of Sciences: Washington, DC, USA, 1978; pp. 11–33. [Google Scholar]
- Yi, X.; Shang, Y.; Shao, P.; Meng, H. A dataset of spatial distributions and attributes of typical rockfalls and landslides in the China-Pakistan Economic Corridor from 1970 to 2020. China Sci. Data 2021, 6, 1-1–1-10. Available online: http://www.csdata.org/p/634/ (accessed on 24 June 2023).
- Nadim, F.; Kjekstad, O.; Peduzzi, P.; Herold, C.; Jaedicke, C. Global landslide and avalanche hotspots. Landslides 2006, 3, 159–173. [Google Scholar] [CrossRef]
- Wang, Y.; Lin, Q.; Shi, P. Spatial pattern and influencing factors of casualty events caused by landslides. Acta Geogr. Sin. 2017, 72, 906–917. [Google Scholar] [CrossRef]
- Huang, F.; Pan, L.; Fan, X.; Jiang, S.-H.; Huang, J.; Zhou, C. The uncertainty of landslide susceptibility prediction modeling: Suitability of linear conditioning factors. Bull. Eng. Geol. Environ. 2022, 81, 182. [Google Scholar] [CrossRef]
- Shang, Y.J.; Park, H.D.; Yang, Z.F.; Zhang, L.Q. Debris formation due to weathering, avalanching and rock falling, landsliding in SE Tibet. Int. J. Rock. Mech. Min. 2004, 41, 839–845. [Google Scholar] [CrossRef]
- Iverson, R.M.; George, D.L.; Allstadt, K.; Reid, M.E.; Collins, B.D.; Vallance, J.W.; Schilling, S.P.; Godt, J.W.; Cannon, C.M.; Magirl, C.S.; et al. Landslide mobility and hazards: Implications of the 2014 Oso disaster. Earth Planet. Sci. Lett. 2015, 412, 197–208. [Google Scholar] [CrossRef]
- Wang, X.L.; Clague, J.J.; Crosta, G.B.; Sun, J.; Stead, D.; Qi, S.; Zhang, L. Relationship between the spatial distribution of landslides and rock mass strength, and implications for the driving mechanism of landslides in tectonically active mountain ranges. Eng. Geol. 2021, 292, 106281. [Google Scholar] [CrossRef]
- GB/T 50218-2014; Engineering Rock Grading Standard. China Planning Press: Beijing, China, 2014.
- Luo, S.-l.; Huang, D.; Peng, J.-b.; Tomás, R. Influence of permeability on the stability of dual-structure landslide with different deposit-bedding interface morphology: The case of the three Gorges Reservoir area, China. Eng. Geol. 2022, 296, 106480. [Google Scholar] [CrossRef]
- Lagomarsino, D.; Tofani, V.; Segoni, S.; Catani, F.; Casagli, N. A Tool for Classification and Regression Using Random Forest Methodology: Applications to Landslide Susceptibility Mapping and Soil Thickness Modeling. Environ. Model. Assess. 2017, 22, 201–214. [Google Scholar] [CrossRef]
- Raghu, S.; Sriraam, N. Classification of focal and non-focal EEG signals using neighborhood component analysis and machine learning algorithms. Expert Syst. Appl. 2018, 113, 18–32. [Google Scholar] [CrossRef]
- Islam, N.; Rashid, M.M.; Wibowo, S.; Xu, C.Y.; Morshed, A.; Wasimi, S.A.; Moore, S.; Rahman, S.M. Early Weed Detection Using Image Processing and Machine Learning Techniques in an Australian Chilli Farm. Agriculture 2021, 11, 387. [Google Scholar] [CrossRef]
- Chang, Z.L.; Huang, J.S.; Huang, F.M.; Bhuyan, K.; Meena, S.R.; Catani, F. Uncertainty analysis of non-landslide sample selection in landslide susceptibility prediction using slope unit-based machine learning models. Gondwana Res. 2023, 117, 307–320. [Google Scholar] [CrossRef]
- Cantarino, I.; Carrion, M.A.; Goerlich, F.; Martinez Ibañez, V. A ROC analysis-based classification method for landslide susceptibility maps. Landslides 2019, 16, 265–282. [Google Scholar] [CrossRef]
- Moayedi, H.; Mehrabi, M.; Mosallanezhad, M.; Rashid, A.S.A.; Pradhan, B. Modification of landslide susceptibility mapping using optimized PSO-ANN technique. Eng. Comput. 2019, 35, 967–984. [Google Scholar] [CrossRef]







| Predisposing Factors | Values | FR | CLAI | FRa | LAIFR | DFR |
|---|---|---|---|---|---|---|
| Slope (°) (F1) | 0~4 | 0.008 | 0.000000 | 0.000000 | 1.000 | 0.008 |
| 4~10 | 0.149 | 0.000003 | 0.000001 | 1.000 | 0.149 | |
| 10~17 | 1.314 | 0.000029 | 0.000038 | 0.939 | 1.234 | |
| 17~25 | 3.469 | 0.000072 | 0.000251 | 0.894 | 3.102 | |
| 25~33 | 5.331 | 0.000092 | 0.000493 | 0.742 | 3.956 | |
| 33~41 | 6.308 | 0.000136 | 0.000857 | 0.922 | 5.816 | |
| 41~52 | 10.064 | 0.000220 | 0.002214 | 0.936 | 9.417 | |
| 52~90 | 8.354 | 0.000179 | 0.001498 | 0.919 | 7.677 | |
| Aspect (°) (F2) | −1 | 0.000 | 0.000000 | 0.000000 | 0.000 | 0.000 |
| 0~22.5, 337.5~0 | 0.829 | 0.000017 | 0.000014 | 0.885 | 0.734 | |
| 22.5~67.5 | 0.856 | 0.000020 | 0.000017 | 1.000 | 0.856 | |
| 67.5~112.5 | 0.708 | 0.000013 | 0.000009 | 0.769 | 0.544 | |
| 112.5~157.5 | 1.418 | 0.000029 | 0.000041 | 0.866 | 1.228 | |
| 157.5~202.5 | 1.597 | 0.000032 | 0.000051 | 0.847 | 1.352 | |
| 202.5~247.5 | 1.218 | 0.000023 | 0.000028 | 0.802 | 0.977 | |
| 247.5~292.5 | 0.717 | 0.000016 | 0.000012 | 0.964 | 0.691 | |
| 292.5~337.5 | 0.905 | 0.000021 | 0.000019 | 1.000 | 0.905 | |
| Elevation (m) (F1) | 655~1209 | 0.112 | 0.000002 | 0.000000 | 0.854 | 0.096 |
| 1209~1623 | 1.261 | 0.000028 | 0.000035 | 0.946 | 1.193 | |
| 1623~2104 | 1.503 | 0.000033 | 0.000049 | 0.935 | 1.405 | |
| 2104~2643 | 3.384 | 0.000075 | 0.000254 | 0.956 | 3.234 | |
| 2643~3212 | 6.130 | 0.000115 | 0.000707 | 0.811 | 4.969 | |
| 3212~3817 | 4.531 | 0.000093 | 0.000423 | 0.888 | 4.023 | |
| 3817~4587 | 0.463 | 0.000011 | 0.000005 | 1.000 | 0.463 | |
| 4587~7444 | 0.000 | 0.000000 | 0.000000 | 0.000 | 0.000 | |
| Relief amplitude (m) (F4) | 0~17 | 0.010 | 0.000000 | 0.000000 | 0.800 | 0.008 |
| 17~47 | 0.691 | 0.000013 | 0.000009 | 0.829 | 0.572 | |
| 47~83 | 3.336 | 0.000067 | 0.000223 | 0.857 | 2.859 | |
| 83~118 | 4.053 | 0.000095 | 0.000384 | 1.000 | 4.053 | |
| 118~155 | 5.650 | 0.000111 | 0.000625 | 0.838 | 4.732 | |
| 155~204 | 9.098 | 0.000180 | 0.001636 | 0.846 | 7.698 | |
| 204~285 | 10.305 | 0.000224 | 0.002307 | 0.930 | 9.581 | |
| 285~989 | 5.239 | 0.000140 | 0.000733 | 1.143 | 5.988 | |
| Engineering geological rock group (F5) | Hard | 1.940 | 0.000045 | 0.000087 | 1.000 | 1.940 |
| Less hard | 3.649 | 0.000071 | 0.000260 | 0.841 | 3.070 | |
| Less soft | 2.769 | 0.000062 | 0.000173 | 0.972 | 2.692 | |
| Soft | 2.864 | 0.000059 | 0.000169 | 0.887 | 2.541 | |
| Softer | 0.187 | 0.000004 | 0.000001 | 1.000 | 0.187 | |
| Water | 0.000 | 0.000000 | 0.000000 | 0.000 | 0.000 | |
| Fault density (F6) | 0~0.06 | 0.000 | 0.000000 | 0.000000 | 0.000 | 0.000 |
| 0.06~0.18 | 0.015 | 0.000000 | 0.000000 | 1.000 | 0.015 | |
| 0.18~0.29 | 1.461 | 0.000033 | 0.000049 | 0.981 | 1.433 | |
| 0.29~0.4 | 0.484 | 0.000011 | 0.000005 | 1.000 | 0.484 | |
| 0.4~0.5 | 3.471 | 0.000065 | 0.000226 | 0.808 | 2.804 | |
| 0.5~0.6 | 2.197 | 0.000050 | 0.000110 | 0.981 | 2.155 | |
| 0.6~0.76 | 1.896 | 0.000036 | 0.000068 | 0.811 | 1.538 | |
| 0.76~1.00 | 0.121 | 0.000003 | 0.000000 | 1.000 | 0.121 | |
| River density (F7) | 0~0.08 | 0.000 | 0.000000 | 0.000000 | 0.000 | 0.000 |
| 0.08~0.18 | 1.252 | 0.000023 | 0.000029 | 0.790 | 0.989 | |
| 0.18~0.28 | 1.506 | 0.000035 | 0.000052 | 0.989 | 1.490 | |
| 0.28~0.38 | 1.067 | 0.000024 | 0.000026 | 0.979 | 1.045 | |
| 0.38~0.49 | 1.320 | 0.000024 | 0.000032 | 0.795 | 1.050 | |
| 0.49~0.59 | 1.018 | 0.000020 | 0.000021 | 0.855 | 0.870 | |
| 0.59~0.69 | 1.598 | 0.000031 | 0.000050 | 0.844 | 1.349 | |
| 0.69~1.00 | 0.709 | 0.000016 | 0.000012 | 1.000 | 0.709 | |
| Average annual rainfall (mm) (F8) | 31~59 | 0.000 | 0.000000 | 0.000000 | 0.000 | 0.000 |
| 59~88 | 0.456 | 0.000010 | 0.000005 | 0.986 | 0.450 | |
| 88~123 | 0.301 | 0.000007 | 0.000002 | 1.000 | 0.301 | |
| 123~168 | 1.299 | 0.000026 | 0.000034 | 0.870 | 1.130 | |
| 168~223 | 4.467 | 0.000091 | 0.000406 | 0.876 | 3.914 | |
| 223~283 | 4.325 | 0.000096 | 0.000415 | 0.955 | 4.129 | |
| 283~346 | 4.037 | 0.000073 | 0.000294 | 0.777 | 3.136 | |
| 346~609 | 0.109 | 0.000001 | 0.000000 | 0.500 | 0.054 | |
| NDVI (F9) | −1.00~−0.40 | 2.246 | 0.000031 | 0.000070 | 0.600 | 1.348 |
| −0.40~−0.23 | 2.885 | 0.000065 | 0.000188 | 0.974 | 2.810 | |
| −0.23~−0.15 | 0.767 | 0.000015 | 0.000011 | 0.830 | 0.636 | |
| −0.15~−0.06 | 1.232 | 0.000026 | 0.000032 | 0.900 | 1.109 | |
| −0.06~0.08 | 1.071 | 0.000022 | 0.000023 | 0.873 | 0.935 | |
| 0.08~0.26 | 1.325 | 0.000028 | 0.000037 | 0.920 | 1.219 | |
| 0.26~0.45 | 0.734 | 0.000019 | 0.000014 | 1.143 | 0.839 | |
| 0.45~1.00 | 0.104 | 0.000002 | 0.000000 | 1.000 | 0.104 | |
| Quarry density (F10) | 0~0.03 | 0.188 | 0.000010 | 0.000002 | 0.797 | 0.149 |
| 0.03~0.1 | 0.436 | 0.000030 | 0.000013 | 1.000 | 0.436 | |
| 0.1~0.19 | 1.273 | 0.000085 | 0.000108 | 0.970 | 1.235 | |
| 0.19~0.3 | 1.852 | 0.000127 | 0.000235 | 1.000 | 1.852 | |
| 0.3~0.42 | 2.960 | 0.000199 | 0.000590 | 0.981 | 2.903 | |
| 0.42~0.57 | 4.560 | 0.000308 | 0.001403 | 0.983 | 4.482 | |
| 0.57~0.76 | 2.271 | 0.000156 | 0.000354 | 1.000 | 2.271 | |
| 0.76~1.00 | 9.046 | 0.000576 | 0.005206 | 0.927 | 8.384 | |
| Distance to road (m) (F11) | 0~100 | 9.496 | 0.047747 | 0.008396 | 0.703 | 6.675 |
| 100~200 | 2.258 | 0.003842 | 0.000676 | 1.000 | 2.258 | |
| 200~400 | 1.273 | 0.001220 | 0.000215 | 1.000 | 1.273 | |
| 400~800 | 0.550 | 0.000228 | 0.000040 | 1.000 | 0.550 | |
| 800~1600 | 0.399 | 0.000104 | 0.000018 | 0.870 | 0.347 | |
| 1600~3200 | 0.537 | 0.000165 | 0.000029 | 0.759 | 0.408 | |
| 3200~6400 | 0.367 | 0.000074 | 0.000013 | 0.726 | 0.267 | |
| >6400 | 0.104 | 0.000008 | 0.000001 | 0.980 | 0.102 | |
| Hydropower station density (F12) | 0~0.04 | 0.309 | 0.000017 | 0.000005 | 0.932 | 0.288 |
| 0.04~0.14 | 1.435 | 0.000047 | 0.000068 | 0.565 | 0.811 | |
| 0.14~0.24 | 1.713 | 0.000095 | 0.000163 | 0.952 | 1.631 | |
| 0.24~0.35 | 2.269 | 0.000088 | 0.000201 | 0.667 | 1.512 | |
| 0.35~0.47 | 8.546 | 0.000389 | 0.003324 | 0.778 | 6.647 | |
| 0.47~0.62 | 4.410 | 0.000258 | 0.001138 | 1.000 | 4.410 | |
| 0.62~0.77 | 1.712 | 0.000100 | 0.000171 | 1.000 | 1.712 | |
| 0.77~1.00 | 2.900 | 0.000170 | 0.000492 | 1.000 | 2.900 |
| Class | Major Rock Types |
|---|---|
| Hard | Unweathered to slightly weathered: granite, syenite, diorite, diabase, basalt, andesite, gneiss, siliceous slate, quartzite, siliceous consolidated conglomerate, quartz sandstone, siliceous limestone, etc. |
| Less hard | (1) Moderately (weakly) weathered hard rock; (2) unweathered to slightly weathered: fused tuff, marble, slate, dolomite, limestone, calcareous sandstone, coarse crystal marble, etc. |
| Less soft | (1) Strongly weathered hard rock; (2) moderately (weakly) weathered less hard rock; (3) un-weathered to slightly weathered: tuff, phyllite, sandy mudstone, marl, argillaceous sandstone, siltstone, sandy shale, etc. |
| Soft | (1) Strongly weathered less hard rock; (2) moderately (weakly) weathered less soft rock; (3) unweathered to slightly weathered mudstone, argillaceous shale, chlorite schist, sericite schist, etc. |
| Softer | (1) Completely weathered rock; (2) strongly weathered less soft rock; (3) moderately (weakly) weathered to strongly weathered soft rock; (4) various semi-diagenetic rock; (5) quaternary loose accumulation. |
| Water | Lakes, reservoirs, etc. |
| Factors | F1 | F2 | F3 | F4 | F5 | F6 | F7 | F8 | F9 | F10 | F11 | F12 | Weight |
|---|---|---|---|---|---|---|---|---|---|---|---|---|---|
| F1 | 1 | 0.170 | |||||||||||
| F2 | 1/6 | 1 | 0.031 | ||||||||||
| F3 | 1/7 | 1/2 | 1 | 0.020 | |||||||||
| F4 | 1/2 | 5 | 6 | 1 | 0.127 | ||||||||
| F5 | 1/3 | 4 | 5 | 1/2 | 1 | 0.092 | |||||||
| F6 | 1/2 | 5 | 6 | 1 | 2 | 1 | 0.127 | ||||||
| F7 | 1/5 | 2 | 3 | 1/4 | 1/3 | 1/4 | 1 | 0.046 | |||||
| F8 | 1/3 | 4 | 5 | 1/2 | 1 | 1/2 | 3 | 1 | 0.092 | ||||
| F9 | 1/8 | 1/3 | 1/2 | 1/7 | 1/6 | 1/7 | 1/4 | 1/6 | 1 | 0.012 | |||
| F10 | 1/3 | 4 | 5 | 1/2 | 1 | 1/2 | 3 | 1 | 6 | 1 | 0.092 | ||
| F11 | 1/2 | 5 | 6 | 1 | 2 | 1 | 4 | 2 | 7 | 2 | 1 | 0.127 | |
| F12 | 1/4 | 3 | 4 | 1/3 | 1/2 | 1/3 | 2 | 1/2 | 5 | 1/2 | 1/3 | 1 | 0.065 |
Disclaimer/Publisher’s Note: The statements, opinions and data contained in all publications are solely those of the individual author(s) and contributor(s) and not of MDPI and/or the editor(s). MDPI and/or the editor(s) disclaim responsibility for any injury to people or property resulting from any ideas, methods, instructions or products referred to in the content. |
© 2025 by the authors. Licensee MDPI, Basel, Switzerland. This article is an open access article distributed under the terms and conditions of the Creative Commons Attribution (CC BY) license (https://creativecommons.org/licenses/by/4.0/).
Share and Cite
Yi, X.; Shang, Y.; Liang, S.; Meng, H.; Meng, Q.; Shao, P.; Cui, Z. Landslide Susceptibility Mapping Considering Landslide Spatial Aggregation Using the Dual-Frequency Ratio Method: A Case Study on the Middle Reaches of the Tarim River Basin. Remote Sens. 2025, 17, 381. https://doi.org/10.3390/rs17030381
Yi X, Shang Y, Liang S, Meng H, Meng Q, Shao P, Cui Z. Landslide Susceptibility Mapping Considering Landslide Spatial Aggregation Using the Dual-Frequency Ratio Method: A Case Study on the Middle Reaches of the Tarim River Basin. Remote Sensing. 2025; 17(3):381. https://doi.org/10.3390/rs17030381
Chicago/Turabian StyleYi, Xuetao, Yanjun Shang, Shichuan Liang, He Meng, Qingsen Meng, Peng Shao, and Zhendong Cui. 2025. "Landslide Susceptibility Mapping Considering Landslide Spatial Aggregation Using the Dual-Frequency Ratio Method: A Case Study on the Middle Reaches of the Tarim River Basin" Remote Sensing 17, no. 3: 381. https://doi.org/10.3390/rs17030381
APA StyleYi, X., Shang, Y., Liang, S., Meng, H., Meng, Q., Shao, P., & Cui, Z. (2025). Landslide Susceptibility Mapping Considering Landslide Spatial Aggregation Using the Dual-Frequency Ratio Method: A Case Study on the Middle Reaches of the Tarim River Basin. Remote Sensing, 17(3), 381. https://doi.org/10.3390/rs17030381

