Investigation of Thermal Effects of Lakes on Their Adjacent Lands Across Tibetan Plateau Using Satellite Observation During 2000 to 2022
Abstract
Highlights
- In contrast to the “cold island” effect observed in summer (1.3 km), the “warm island” effect in autumn extends over a much larger area (5.5 km).
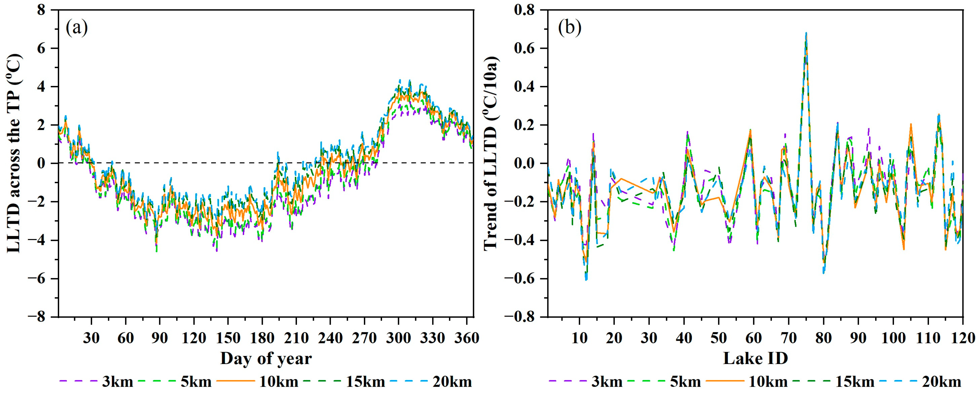
- A total of 79.2% of the lakes experienced declining LLTDs during 2000–2022.
- Atmospheric boundary layer stability contributes to the lake thermal effect.
- Land responds more rapidly to climate than lakes.
Abstract
1. Introduction
2. Materials and Data
2.1. Study Area
2.2. Data
3. Methods
3.1. Temperature Difference Between Lakes and Surrounding Lands
3.2. Lake Influence Distance
4. Results
4.1. Spatial Distribution of LLTD
4.2. Seasonal Variations in LLTD
4.3. Interannual Variations in LLTD
4.4. Effect Distance and Effect Intensity of Lakes
5. Discussion
5.1. Relationships Between Lake Thermal Effects and Lake Characteristics
5.2. Limitations and Outlook
6. Conclusions
- (1)
- Lakes on the Tibetan Plateau significantly modulate local surface temperatures, with the lake–land temperature difference (LLTD) within a 10 km buffer ranging from –2.8 °C to 3.4 °C. Spatially, lakes in the northern arid regions generally exhibit a negative LLTD (cooling effect), while seasonal variations reveal a negative LLTD in spring and summer due to higher lake heat capacity, transitioning to positive values (warming effect) in autumn as lakes release stored heat. During winter, southern TP lakes maintain a pronounced warming influence.
- (2)
- Considerable spatial and temporal heterogeneity in LLTD is observed across basins and climate zones. Lakes in the Inner Basin dominate the overall LLTD pattern of the TP, while arid-region lakes show the lowest LLTD values. Temporally, 79.2% of lakes exhibited a declining trend in LLTD from 2000 to 2022, with summer contributing most significantly to this decrease (–0.56 °C/decade), whereas winter LLTD increased (0.3 °C/decade).
- (3)
- The spatial extent of lake thermal effects, quantified via a sigmoid model, indicates a broader “warm island” effect in autumn (5.5 km) compared to the summer “cold island” effect (1.3 km). Geographically, southwestern lakes exhibit stronger warming intensities, while northwestern lakes show more pronounced cooling intensities.
- (4)
- Key lake characteristics—including depth, freeze-up phenology, and salinity—significantly influence lake thermal effects. Lake depth shows a strong positive correlation with winter LLTD (R = 0.33), and an earlier lake freeze-up start date is negatively correlated with winter LLTD (R = –0.41), highlighting the role of persistent open water in enhancing local heating. Higher salinity reduces autumn LLTD, likely due to reduced heat capacity and increased latent heat dissipation. Future research should focus on the climatic and ecological implications of these thermal effects under ongoing climate change.
Supplementary Materials
Author Contributions
Funding
Data Availability Statement
Conflicts of Interest
Appendix A


References
- Fu, B. The Climatic Effects Of Waters In Different Natural Conditions. Acta Geogr. Sin. 1997, 52, 246–253. [Google Scholar]
- Long, Z.; Perrie, W.; Gyakum, J.; Caya, D.; Laprise, R. Northern lake impacts on local seasonal climate. J. Hydrometeorol. 2007, 8, 881–896. [Google Scholar] [CrossRef]
- Guo, L.; Zheng, H.; Wu, Y.; Zhang, T.; Zhang, B. Responses of Lake Ice Phenology to Climate Change at Tibetan Plateau. IEEE J. Sel. Top. Appl. Earth Obs. Remote Sens. 2020, 13, 3856–3861. [Google Scholar] [CrossRef]
- Lofgren, B.M. Simulated effects of idealized Laurentian Great Lakes on regional and large-scale climate. J. Clim. 1997, 10, 2847–2858. [Google Scholar] [CrossRef]
- Rouse, W.R.; Oswald, C.J.; Binyamin, J.; Spence, C.R.; Schertzer, W.M.; Blanken, P.D.; Bussieres, N.; Duguay, C.R. The role of northern lakes in a regional energy balance. J. Hydrometeorol. 2005, 6, 291–305. [Google Scholar] [CrossRef]
- Kirillin, G.B.; Shatwell, T.; Wen, L.J. Ice-Covered Lakes of Tibetan Plateau as Solar Heat Collectors. Geophys. Res. Lett. 2021, 48, 12. [Google Scholar] [CrossRef]
- Qiu, Y.L.; Chen, J.; Chen, D.L.; Thiery, W.; Mercado-Bettín, D.; Xiong, L.H.; Xia, J.; Woolway, R.I. Enhanced heating effect of lakes under global warming. Nat. Commun. 2025, 16, 11. [Google Scholar] [CrossRef] [PubMed]
- Dai, Y.; Yao, T.; Li, X.; Ping, F. The impact of lake effects on the temporal and spatial distribution of precipitation in the Nam Co basin, Tibetan Plateau. Quat. Int. 2018, 475, 63–69. [Google Scholar] [CrossRef]
- Wang, F.; Li, Q.; Wang, Y.W. Lake-atmosphere exchange impacts ozone simulation around a large shallow lake with large cities. Atmos. Environ. 2021, 246, 13. [Google Scholar] [CrossRef]
- Wang, W.; Lee, X.H.; Xiao, W.; Liu, S.D.; Schultz, N.; Wang, Y.W.; Zhang, M.; Zhao, L. Global lake evaporation accelerated by changes in surface energy allocation in a warmer climate. Nat. Geosci. 2018, 11, 410–414. [Google Scholar] [CrossRef]
- Lv, Z.M.; Zhang, S.B.; Jin, J.M.; Wu, Y.H.; Ek, M.B. Coupling of a physically based lake model into the climate forecast system to improve winter climate forecasts for the Great Lakes region. Clim. Dyn. 2019, 53, 6503–6517. [Google Scholar] [CrossRef]
- Bartosiewicz, M.; Ptak, M.; Woolway, R.I.; Sojka, M. On thinning ice: Effects of atmospheric warming, changes in wind speed and rainfall on ice conditions in temperate lakes (Northern Poland). J. Hydrol. 2021, 597, 11. [Google Scholar] [CrossRef]
- Sills, D.M.L.; Brook, J.R.; Levy, I.; Makar, P.A.; Zhang, J.; Taylor, P.A. Lake breezes in the southern Great Lakes region and their influence during BAQS-Met 2007. Atmos. Chem. Phys. 2011, 11, 7955–7973. [Google Scholar] [CrossRef]
- Yang, T.; Li, H.Y.; Cao, J.; Lu, Q.Q.; Wang, Z.F.; He, L.T.; Sun, H.H.; Han, K. Investigating the climatology of North China’s urban inland lake based on six years of observations. Sci. Total Environ. 2022, 826, 11. [Google Scholar] [CrossRef]
- Purificaçao, C.; Potes, M.; Rodrigues, G.; Salgado, R.; Costa, M.J. Lake and Land Breezes at a Mediterranean Artificial Lake: Observations in Alqueva Reservoir, Portugal. Atmosphere 2021, 12, 535. [Google Scholar] [CrossRef]
- Boike, J.; Georgi, C.; Kirilin, G.; Muster, S.; Abramova, K.; Fedorova, I.; Chetverova, A.; Grigoriev, M.; Bornemann, N.; Langer, M. Thermal processes of thermokarst lakes in the continuous permafrost zone of northern Siberia—Observations and modeling (Lena River Delta, Siberia). Biogeosciences 2015, 12, 5941–5965. [Google Scholar] [CrossRef]
- Notaro, M.; Holman, K.; Zarrin, A.; Fluck, E.; Vavrus, S.; Bennington, V. Influence of the Laurentian Great Lakes on Regional Climate. J. Clim. 2013, 26, 789–804. [Google Scholar] [CrossRef]
- O’Reilly, C.M.; Sharma, S.; Gray, D.K.; Hampton, S.E.; Read, J.S.; Rowley, R.J.; Schneider, P.; Lenters, J.D.; McIntyre, P.B.; Kraemer, B.M.; et al. Rapid and highly variable warming of lake surface waters around the globe. Geophys. Res. Lett. 2015, 42, 10773–10781. [Google Scholar] [CrossRef]
- Zhang, G.Q.; Yao, T.D.; Xie, H.J.; Qin, J.; Ye, Q.H.; Dai, Y.F.; Guo, R.F. Estimating surface temperature changes of lakes in the Tibetan Plateau using MODIS LST data. J. Geophys. Res. Atmos. 2014, 119, 8552–8567. [Google Scholar] [CrossRef]
- Zhu, L.; Ju, J.; Qiao, B.; Liu, C.; Wang, J.; Yang, R.; Ma, Q.; Guo, L.; Pang, S. Physical and biogeochemical responses of Tibetan Plateau lakes to climate change. Nat. Rev. Earth Environ. 2025, 6, 284–298. [Google Scholar] [CrossRef]
- Zhang, G.; Yao, T.; Xie, H.; Yang, K.; Zhu, L.; Shum, C.K.; Bolch, T.; Yi, S.; Allen, S.; Jiang, L.; et al. Response of Tibetan Plateau lakes to climate change: Trends, patterns, and mechanisms. Earth-Sci. Rev. 2020, 208, 103269. [Google Scholar] [CrossRef]
- Sun, R.H.; Chen, A.L.; Chen, L.D.; Lü, Y.H. Cooling effects of wetlands in an urban region: The case of Beijing. Ecol. Indic. 2012, 20, 57–64. [Google Scholar] [CrossRef]
- Park, C.Y.; Lee, D.K.; Asawa, T.; Murakami, A.; Kim, H.G.; Lee, M.K.; Lee, H.S. Influence of urban form on the cooling effect of a small urban river. Landsc. Urban Plan. 2019, 183, 26–35. [Google Scholar] [CrossRef]
- Kirillin, G.; Lepparanta, M.; Terzhevik, A.; Granin, N.; Bernhardt, J.; Engelhardt, C.; Efremova, T.; Golosov, S.; Palshin, N.; Sherstyankin, P.; et al. Physics of seasonally ice-covered lakes: A review. Aquat. Sci. 2012, 74, 659–682. [Google Scholar] [CrossRef]
- Yao, T.D.; Qin, D.H.; Shen, Y.P.; Zhao, L.; Lu, A.X. Cryospheric changes and their impacts on regional water cycle and ecological conditions in the Qinghai-Tibetan Plateau. Chin. J. Nat. 2013, 35, 179–186. [Google Scholar]
- Leppäranta, M. Lake Ice Climatology. In Freezing of Lakes and the Evolution of Their Ice Cover; Springer: Berlin/Heidelberg, Germany, 2023; pp. 307–337. [Google Scholar]
- Burpee, B.T.; Saros, J.E. Cross-ecosystem nutrient subsidies in Arctic and alpine lakes: Implications of global change for remote lakes. Environ. Sci. Process Impacts 2020, 22, 1166–1189. [Google Scholar] [CrossRef] [PubMed]
- Gunawardana, P.; Pearce, N.J.T.; Austin, J.A.; Hollenhorst, T.; Hoffman, J.C.; Xenopoulos, M.A. The Metabolic Balance of Lake Superior’s Mixed Layer. Geophys. Res. Lett. 2025, 52, 11. [Google Scholar] [CrossRef]
- Kugler, S.; Horváth, L.; Machon, A. Estimation of nitrogen balance between the atmosphere and Lake Balaton and a semi natural grassland in Hungary. Environ. Pollut. 2008, 154, 498–503. [Google Scholar] [CrossRef]
- Brothers, S.; Vadeboncoeur, Y. Shoring up the foundations of production to respiration ratios in lakes. Limnol. Oceanogr. 2021, 66, 2762–2778. [Google Scholar] [CrossRef]
- Xiong, J.F.; Lin, C.; Ma, R.H.; Wang, X.Y.; Xue, K.; Cao, Z.G.; Hu, M.Q.; Chen, L. Remote Sensing Observations of Phosphorus in Eutrophic Lakes: From Concentration to Storage. IEEE Trans. Geosci. Remote Sens. 2025, 63, 12. [Google Scholar] [CrossRef]
- Xiao, C.L.; Lofgren, B.M.; Wang, J.; Chu, P.Y. Improving the lake scheme within a coupled WRF-lake model in the Laurentian Great Lakes. J. Adv. Model. Earth Syst. 2016, 8, 1969–1985. [Google Scholar] [CrossRef]
- Krinner, G. Impact of lakes and wetlands on boreal climate. J. Geophys. Res. Atmos. 2003, 108, 18. [Google Scholar] [CrossRef]
- Rouse, W.R.; Blanken, P.D.; Bussières, N.; Oswald, C.J.; Schertzer, W.M.; Spence, C.; Walker, A.E. Investigation of the Thermal and Energy Balance Regimes of Great Slave and Great Bear Lakes. J. Hydrometeorol. 2008, 9, 1318–1333. [Google Scholar] [CrossRef]
- Thiery, W.; Davin, E.L.; Panitz, H.J.; Demuzere, M.; Lhermitte, S.; van Lipzig, N. The Impact of the African Great Lakes on the Regional Climate. J. Clim. 2015, 28, 4061–4085. [Google Scholar] [CrossRef]
- Xu, S.; Cheng, J.; Zhang, Q. Reconstructing All-Weather Land Surface Temperature Using the Bayesian Maximum Entropy Method Over the Tibetan Plateau and Heihe River Basin. IEEE J. Sel. Top. Appl. Earth Obs. Remote Sens. 2019, 12, 3307–3316. [Google Scholar] [CrossRef]
- Jimenez-Munoz, J.C.; Sobrino, J.A.; Skokovic, D.; Mattar, C.; Cristobal, J. Land Surface Temperature Retrieval Methods From Landsat-8 Thermal Infrared Sensor Data. IEEE Geosci. Remote Sens. Lett. 2014, 11, 1840–1843. [Google Scholar] [CrossRef]
- Wan, Z.M.; Dozier, J. A generalized split-window algorithm for retrieving land-surface temperature from space. IEEE Trans. Geosci. Remote Sens. 1996, 34, 892–905. [Google Scholar] [CrossRef]
- Sobrino, J.A.; Jiménez-Muñoz, J.C.; Paolini, L. Land surface temperature retrieval from LANDSAT TM 5. Remote Sens. Environ. 2004, 90, 434–440. [Google Scholar] [CrossRef]
- Dash, P.; Göttsche, F.M.; Olesen, F.S.; Fischer, H. Land surface temperature and emissivity estimation from passive sensor data:: Theory and practice-current trends. Int. J. Remote Sens. 2002, 23, 2563–2594. [Google Scholar] [CrossRef]
- Yu, X.; Guo, X.; Wu, Z. Land Surface Temperature Retrieval from Landsat 8 TIRS-Comparison between Radiative Transfer Equation-Based Method, Split Window Algorithm and Single Channel Method. Remote Sens. 2014, 6, 9829–9852. [Google Scholar] [CrossRef]
- Wang, H.; Mao, K.; Yuan, Z.; Shi, J.; Cao, M.; Qin, Z.; Duan, S.; Tang, B. A method for land surface temperature retrieval based on model-data-knowledge-driven and deep learning. Remote Sens. Environ. 2021, 265, 112665. [Google Scholar] [CrossRef]
- Holmes, T.R.H.; De Jeu, R.A.M.; Owe, M.; Dolman, A.J. Land surface temperature from Ka band (37 GHz) passive microwave observations. J. Geophys. Res. Atmos. 2009, 114, D04113. [Google Scholar] [CrossRef]
- Gong, Y.T.; Li, H.F.; Hu, X.Q.; Shen, H.F. Cross Validation of FY3D MWRI Passive Microwave LST With MODIS LST Under Clear-Sky Conditions. IEEE J. Sel. Top. Appl. Earth Obs. Remote Sens. 2025, 18, 10786–10802. [Google Scholar] [CrossRef]
- Liang, M.J.; Mao, K.B.; Shi, J.C.; Bateni, S.M.; Meng, F. An AI-Based Nested Large-Small Model for Passive Microwave Soil Moisture and Land Surface Temperature Retrieval Method. Remote Sens. 2025, 17, 1198. [Google Scholar] [CrossRef]
- Wu, P.; Su, Y.; Duan, S.-b.; Li, X.; Yang, H.; Zeng, C.; Ma, X.; Wu, Y.; Shen, H. A two-step deep learning framework for mapping gapless all-weather land surface temperature using thermal infrared and passive microwave data. Remote Sens. Environ. 2022, 277, 113070. [Google Scholar] [CrossRef]
- Layden, A.; Merchant, C.; MacCallum, S. Global climatology of surface water temperatures of large lakes by remote sensing. Int. J. Climatol. 2015, 35, 4464–4479. [Google Scholar] [CrossRef]
- Sharma, S.; Gray, D.K.; Read, J.S.; O’Reilly, C.M.; Schneider, P.; Qudrat, A.; Gries, C.; Stefanoff, S.; Hampton, S.E.; Hook, S.; et al. A global database of lake surface temperatures collected by in situ and satellite methods from 1985–2009. Sci. Data 2015, 2, 150008. [Google Scholar] [CrossRef] [PubMed]
- Wan, W.; Li, H.; Xie, H.; Hong, Y.; Long, D.; Zhao, L.; Han, Z.; Cui, Y.; Liu, B.; Wang, C. A comprehensive data set of lake surface water temperature over the Tibetan Plateau derived from MODIS LST products 2001–2015. Sci. Data 2017, 4, 170095. [Google Scholar] [CrossRef]
- Liu, B.J.; Wan, W.; Xie, H.J.; Li, H.; Zhu, S.Y.; Zhang, G.Q.; Wen, L.J.; Hong, Y. A long-term dataset of lake surface water temperature over the Tibetan Plateau derived from AVHRR 1981–2015. Sci. Data 2019, 6, 11. [Google Scholar] [CrossRef]
- Layden, A.; MacCallum, S.N.; Merchant, C.J. Determining lake surface water temperatures worldwide using a tuned one-dimensional lake model (FLake, v1). Geosci. Model Dev. 2016, 9, 2167–2189. [Google Scholar] [CrossRef]
- Prats, J.; Danis, P.A. An epilimnion and hypolimnion temperature model based on air temperature and lake characteristics. Knowl. Manag. Aquat. Ecosyst. 2019, 420, 8. [Google Scholar] [CrossRef]
- Guo, L.A.; Zheng, H.X.; Wu, Y.H.; Fan, L.X.; Wen, M.X.; Li, J.S.; Zhang, F.F.; Zhu, L.P.; Zhang, B. An integrated dataset of daily lake surface water temperature over the Tibetan Plateau. Earth Syst. Sci. Data 2022, 14, 3411–3422. [Google Scholar] [CrossRef]
- Wu, Y.; Zheng, H.; Zhang, B.; Chen, D.; Lei, L. Long-Term Changes of Lake Level and Water Budget in the Nam Co Lake Basin, Central Tibetan Plateau. J. Hydrometeorol. 2014, 15, 1312–1322. [Google Scholar] [CrossRef]
- Yao, T.; Wu, F.; Lin, D.; Sun, J.; Zhu, L.; Piao, S.; Tao, D.; Ni, X.; Zheng, H.; Hua, O. Multispherical interactions and their effects on the Tibetan Plateau’s earth system: A review of the recent researches. Natl. Sci. Rev. 2015, 2, 468–488. [Google Scholar] [CrossRef]
- Wang, S.M.; Dou, H.S. Records of Lakes in China; Science Press: Beijing, China, 1998; pp. 342–483. [Google Scholar]
- Wan, Z. Collection-6 MODIS Land Surface Temperature Products Users’ Guide. In Proceedings of the ICESS, University of California, Santa Barbara, CA, USA, 2–3 June 2019. [Google Scholar]
- Wan, Z. New refinements and validation of the MODIS Land-Surface Temperature/Emissivity products. Remote Sens. Environ. 2008, 112, 59–74. [Google Scholar] [CrossRef]
- Wang, K.; Liang, S. Evaluation of ASTER and MODIS land surface temperature and emissivity products using long-term surface longwave radiation observations at SURFRAD sites. Remote Sens. Environ. 2009, 113, 1556–1565. [Google Scholar] [CrossRef]
- Koenig, L.S.; Hall, D.K. Comparison of satellite, thermochron and air temperatures at Summit, Greenland, during the winter of 2008/09. J. Glaciol. 2010, 56, 735–741. [Google Scholar] [CrossRef]
- Wan, Z. New refinements and validation of the collection-6 MODIS land-surface temperature/emissivity product. Remote Sens. Environ. 2014, 140, 36–45. [Google Scholar] [CrossRef]
- Wang, B.; Ma, Y.; Ma, W. Estimation of land surface temperature retrieved from EOS/MODIS in Naqu area over Tibetan Plateau. J. Remote Sens. 2012, 16, 1289–1298. [Google Scholar]
- Zou, D.; Zhao, L.; Wu, T.; Wu, X.; Pang, Q.; Qiao, Y.; Wang, Z. Assessing the applicability of MODIS land surface temperature products in continuous permafrost regions in the central Tibetan Plateau. J. Glaciol. Geocryol. 2015, 37, 308–317. [Google Scholar]
- Messager, M.L.; Lehner, B.; Grill, G.; Nedeva, I.; Schmitt, O. Estimating the volume and age of water stored in global lakes using a geo-statistical approach. Nat. Commun. 2016, 7, 11. [Google Scholar] [CrossRef] [PubMed]
- Guo, L.; Wu, Y.; Zheng, H.; Zhang, B.; Chi, H.; Fan, L. Lake ice Phenology across Tibetan Plateau (TPLIP). Figshare Dataset 2022. [Google Scholar] [CrossRef]
- Wu, Y.H.; Guo, L.A.; Zhang, B.; Zheng, H.X.; Fan, L.X.; Chi, H.J.; Li, J.S.; Wang, S.L. Ice phenology dataset reconstructed from remote sensing and modelling for lakes over the Tibetan Plateau. Sci. Data 2022, 9, 9. [Google Scholar] [CrossRef] [PubMed]
- Cai, Y.; Ke, C.-Q.; Li, X.; Zhang, G.; Duan, Z.; Lee, H. Variations of Lake Ice Phenology on the Tibetan Plateau From 2001 to 2017 Based on MODIS Data. J. Geophys. Res. Atmos. 2019, 124, 825–843. [Google Scholar] [CrossRef]
- Zhu, L. Electrical Conductivity (Salinity) Data of Lakes over 10 km2 on the Qinghai Tibet Plateau from 1982 to 2020; National Tibetan Plateau/Third Pole Environment Data Center: Beijing, China, 2024. [Google Scholar] [CrossRef]
- Chen, Y.-C.; Tan, C.-H.; Wei, C.; Su, Z.-W. Cooling Effect of Rivers on Metropolitan Taipei Using Remote Sensing. Int. J. Environ. Res. Public Health 2014, 11, 1195–1210. [Google Scholar] [CrossRef]
- Zhou, Y.; Gao, W.; Yang, C.; Shen, Y. Exploratory analysis of the influence of landscape patterns on lake cooling effect in Wuhan, China. Urban Clim. 2021, 39, 100969. [Google Scholar] [CrossRef]
- Yu, K.; Chen, Y.H.; Liang, L.; Gong, A.; Li, J. Quantitative analysis of the interannual variation in the seasonal water cooling island (WCI) effect for urban areas. Sci. Total Environ. 2020, 727, 13. [Google Scholar] [CrossRef]
- Zheng, J.Y.; Bian, J.J.; Ge, Q.S.; Hao, Z.X.; Yin, Y.H.; Liao, Y.M. The climate regionalization in China for 1981–2010. Chin. Sci. Bull. 2013, 58, 3088–3099. (In Chinese) [Google Scholar] [CrossRef]
- Kendall, M.G. Rank Correlation Methods, 2nd ed.; Hafner Publishing Co.: London, UK, 1955. [Google Scholar]
- Mann, H.B. Nonparametric Tests Against Trend. Econometrica 1945, 13, 245–259. [Google Scholar] [CrossRef]
- Tong, Y.; Feng, L.; Wang, X. Global lakes are warming slower than surface air temperature due to accelerated evaporation. Nat. Water 2023, 1, 929–940. [Google Scholar] [CrossRef]
- Bishop, M.A.; Liu, D.; Zhang, G.; Tsamchu, D.; Yang, L.; Qian, F.; Li, F. Rapid growth of the Bar-headed Goose Anser indicus wintering population in Tibet, China: 1991–2017. Bird Conserv. Int. 2022, 32, 398–413. [Google Scholar] [CrossRef]







| Basin | Number | Climate Region | Number |
|---|---|---|---|
| Inner | 96 | HIIC | 7 |
| Brahmaputra | 3 | HIID | 9 |
| Indus | 5 | HIB | 2 |
| Qaidam | 6 | HIC | 77 |
| Yangtze | 3 | HID | 25 |
| Yellow | 7 | ||
| Total | 120 | Total | 120 |
Disclaimer/Publisher’s Note: The statements, opinions and data contained in all publications are solely those of the individual author(s) and contributor(s) and not of MDPI and/or the editor(s). MDPI and/or the editor(s) disclaim responsibility for any injury to people or property resulting from any ideas, methods, instructions or products referred to in the content. |
© 2025 by the authors. Licensee MDPI, Basel, Switzerland. This article is an open access article distributed under the terms and conditions of the Creative Commons Attribution (CC BY) license (https://creativecommons.org/licenses/by/4.0/).
Share and Cite
Guo, L.; Sun, W.; Wu, Y.; Xiong, J.; Jiang, J. Investigation of Thermal Effects of Lakes on Their Adjacent Lands Across Tibetan Plateau Using Satellite Observation During 2000 to 2022. Remote Sens. 2025, 17, 3314. https://doi.org/10.3390/rs17193314
Guo L, Sun W, Wu Y, Xiong J, Jiang J. Investigation of Thermal Effects of Lakes on Their Adjacent Lands Across Tibetan Plateau Using Satellite Observation During 2000 to 2022. Remote Sensing. 2025; 17(19):3314. https://doi.org/10.3390/rs17193314
Chicago/Turabian StyleGuo, Linan, Wenbin Sun, Yanhong Wu, Junfeng Xiong, and Jianing Jiang. 2025. "Investigation of Thermal Effects of Lakes on Their Adjacent Lands Across Tibetan Plateau Using Satellite Observation During 2000 to 2022" Remote Sensing 17, no. 19: 3314. https://doi.org/10.3390/rs17193314
APA StyleGuo, L., Sun, W., Wu, Y., Xiong, J., & Jiang, J. (2025). Investigation of Thermal Effects of Lakes on Their Adjacent Lands Across Tibetan Plateau Using Satellite Observation During 2000 to 2022. Remote Sensing, 17(19), 3314. https://doi.org/10.3390/rs17193314

