Airborne Mapping of Atmospheric Ammonia in a Mixed Discrete and Diffuse Emission Environment
Abstract
1. Introduction
2. Materials and Methods
2.1. Airborne LWIR Hyperspectral Imager
2.2. Mobile Sensor Suite
2.3. Ground-Based Static Air Quality Station
3. Results
3.1. Ground-Based Mobile Measurements
3.2. Airborne Measurements
3.3. Airborne Retrievals
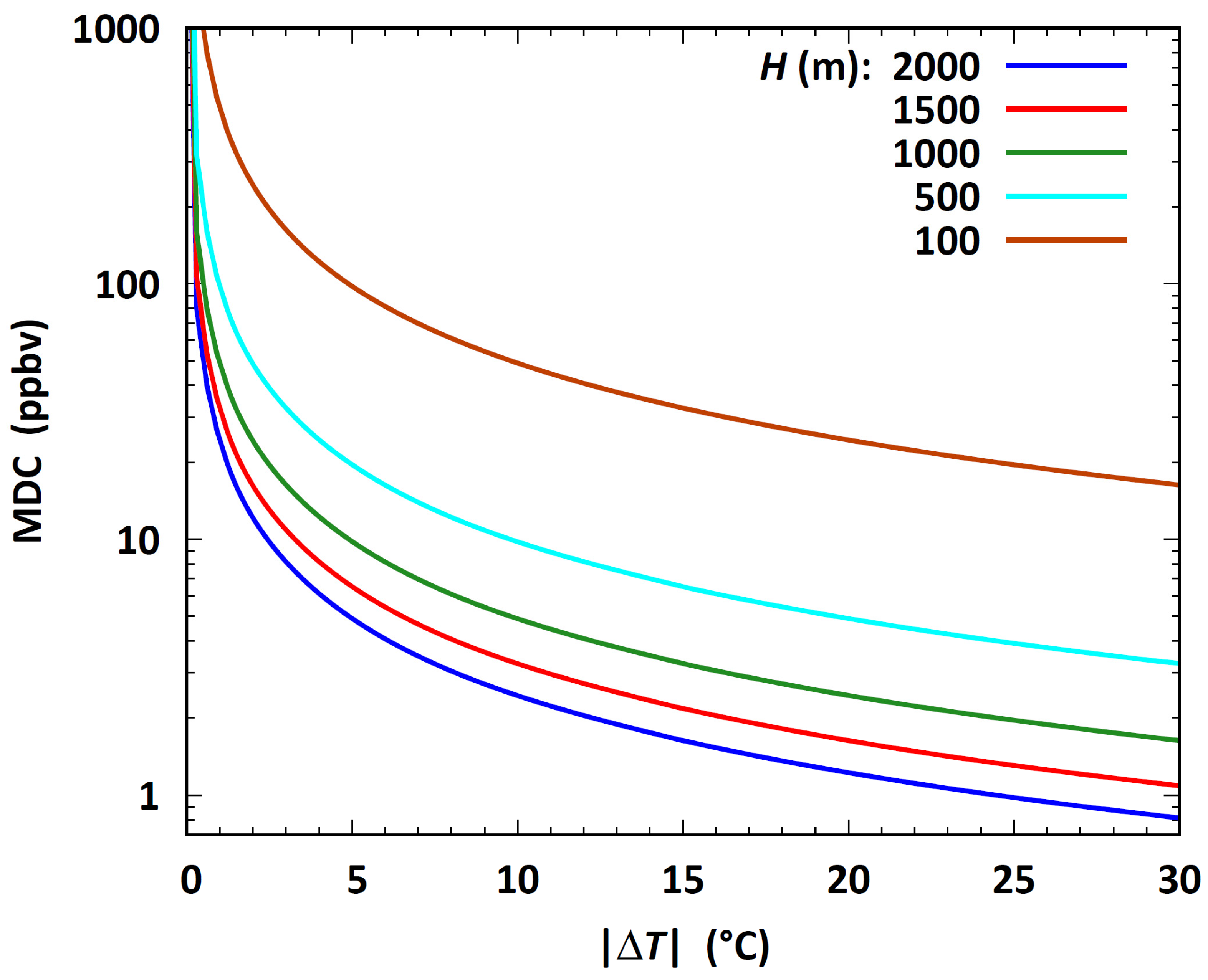
3.4. Airborne Retrieval Validation
3.5. Imperial Valley Surveys
3.6. Mecca Area Surveys
4. Discussion
Author Contributions
Funding
Data Availability Statement
Acknowledgments
Conflicts of Interest
Appendix A


References
- Nowak, J.B.; Neuman, J.A.; Bahreini, R.; Middlebrook, A.M.; Holloway, J.S.; McKeen, S.A.; Parrish, D.D.; Ryerson, T.B.; Trainer, M. Ammonia sources in the California South Coast Air Basin and their impact on ammonium nitrate formation. Geophys. Res. Lett. 2012, 39, L07804. [Google Scholar] [CrossRef]
- Paulot, F.; Jacob, D.J. Hidden cost of U.S. agricultural exports: Particulate matter from ammonia emissions. Environ. Sci. Technol. 2014, 48, 903–908. [Google Scholar] [CrossRef] [PubMed]
- Xing, Y.F.; Xu, Y.H.; Shi, M.H.; Lian, Y.X. The impact of PM2.5 on the human respiratory system. J. Thorac. Dis. 2016, 8, E69–E74. [Google Scholar] [CrossRef] [PubMed]
- Chiu, Y.T.T.; Carlton, A.G. Aerosol thermodynamics: Nitrate loss from regulatory PM2.5 filters in California. ACS EST Air 2024, 1, 25–32. [Google Scholar] [CrossRef] [PubMed]
- Sutton, M.A.; Reis, S.; Baker, S.M.H. (Eds.) Atmospheric Ammonia: Detecting Emission Changes and Environmental Impacts; Springer: Dordrecht, The Netherlands, 2009. [Google Scholar] [CrossRef]
- Gu, B.; Zhang, L.; Van Dingenen, R.; Vieno, M.; Van Grinsven, H.J.; Zhang, X.; Zhang, S.; Chen, Y.; Wang, S.; Ren, C.; et al. Abating ammonia is more cost-effective than nitrogen oxides for mitigating PM2.5 air pollution. Science 2021, 374, 758–762. [Google Scholar] [CrossRef]
- Final Reconsideration of the National Ambient Air Quality Standards for Particulate Matter (PM); U.S. Environmental Protection Agency: Washington, DC, USA, 2024. Available online: https://www.epa.gov/pm-pollution/final-reconsideration-national-ambient-air-quality-standards-particulate-matter-pm (accessed on 18 December 2024).
- Shephard, M.W.; Cady-Pereira, K.E.; Luo, M.; Henze, D.K.; Pinder, R.W.; Walker, J.T.; Rinsland, C.P.; Bash, J.O.; Zhu, L.; Payne, V.H.; et al. TES ammonia retrieval strategy and global observations of the spatial and seasonal variability of ammonia. Atmos. Chem. Phys. 2011, 11, 10743–10763. [Google Scholar] [CrossRef]
- Shephard, M.W.; Dammers, E.; Cady-Pereira, K.E.; Kharol, S.K.; Thompson, J.; Gainariu-Matz, Y.; Zhang, J.; McLinden, C.A.; Kovachik, A.; Moran, M.; et al. Ammonia measurements from space with the Cross-track Infrared Sounder: Characteristics and applications. Atmos. Chem. Phys. 2020, 20, 2277–2302. [Google Scholar] [CrossRef]
- Van Damme, M.; Clarisse, L.; Franco, B.; Sutton, M.A.; Erisman, J.W.; Kruit, R.W.; Van Zanten, M.; Whitburn, S.; Hadji-Lazaro, J.; Hurtmans, D.; et al. Global, regional and national trends of atmospheric ammonia derived from a decadal (2008–2018) satellite record. Environ. Res. Lett. 2021, 16, 055017. [Google Scholar] [CrossRef]
- Warner, J.X.; Wei, Z.; Strow, L.L.; Dickerson, R.R.; Nowak, J.B. The global tropospheric ammonia distribution as seen in the 13-year AIRS measurement record. Atmos. Chem. Phys. 2016, 16, 5467–5479. [Google Scholar] [CrossRef]
- Pinder, R.W.; Adams, P.J.; Pandis, S.N.; Gilliland, A.B. Temporally resolved ammonia emission inventories: Current estimates, evaluation tools, and measurement needs. J. Geophys. Res. Atmos. 2006, 111, D16310. [Google Scholar] [CrossRef]
- Pinder, R.W.; Walker, J.T.; Bash, J.O.; Cady-Pereira, K.E.; Henze, D.K.; Luo, M.; Osterman, G.B.; Shephard, M.W. Quantifying spatial and seasonal variability in atmospheric ammonia with in situ and space-based observations. Geophys. Res. Lett. 2011, 38, L04802. [Google Scholar] [CrossRef]
- Ammonia: Supplemental Information for EPA in Support of 15 µg/m3 Annual PM2.5 Standard; California Air Resources Board: Sacramento, CA, USA, 2023. Available online: https://ww2.arb.ca.gov/sites/default/files/2023-04/AmmoniaSupplementalInformation.pdf (accessed on 18 December 2024).
- Freedman, F.R.; English, P.; Wagner, J.; Liu, Y.; Venkatram, A.; Tong, D.Q.; Al-Hamdan, M.Z.; Sorek-Hamer, M.; Chatfield, R.; Rivera, A.; et al. Spatial particulate fields during high winds in the Imperial Valley, California. Atmosphere 2020, 11, 88. [Google Scholar] [CrossRef]
- Van der Eerden, L.J.M.; de Visser, P.H.B.; Van Dijk, C.J. Risk of damage to crops in the direct neighbourhood of ammonia sources. Environ. Pollut. 1998, 102, 49–53. [Google Scholar] [CrossRef]
- Krupa, S.V. Effects of atmospheric ammonia (NH3) on terrestrial vegetation: A review. Environ. Pollut. 2003, 124, 179–221. [Google Scholar] [CrossRef]
- Reece, F.N.; Lott, B.D.; Deaton, J.W. Ammonia in the atmosphere during brooding affects performance of broiler chickens. Poultry Sci. 1980, 59, 486–488. [Google Scholar] [CrossRef]
- Chen, D.; Miao, Z.; Peng, M.; Xing, H.; Zhang, H.; Teng, X. The co-expression of circRNA and mRNA in the thymuses of chickens exposed to ammonia. Ecotoxicol. Environ. Safety 2019, 176, 146–152. [Google Scholar] [CrossRef]
- Clarisse, L.; Shephard, M.W.; Dentener, F.; Hurtmans, D.; Cady-Pereira, K.; Karagulian, F.; Van Damme, M.; Clerbaux, C.; Coheur, P.-F. Satellite monitoring of ammonia: A case study of the San Joaquin Valley. J. Geophys. Res. Atmos. 2010, 115, D13302. [Google Scholar] [CrossRef]
- Burns, A.M.; Chandler, G.; Dunham, K.J.; Carlton, A.G. Data gap: Air quality networks miss air pollution from concentrated animal feeding operations. Environ. Sci. Technol. 2023, 57, 20718–20725. [Google Scholar] [CrossRef]
- Battye, W.; Aneja, V.P.; Roelle, P.A. Evaluation and improvement of ammonia emissions inventories. Atmos. Environ. 2003, 37, 3873–3883. [Google Scholar] [CrossRef]
- Amrhein, C.; Anderson, M.A.; Reese, B.K. Inorganic Carbon Precipitation and Anaerobic Reactions in Agricultural Wastewater; Soil Carbon and California’s Terrestrial Ecosystems Final Report: 2004218; Kearney Foundation of Soil Science; University of California: Davis, CA, USA, 2007; Available online: https://kearney.ucdavis.edu/OLD%20MISSION/2004_Final_Reports/2004218Amrhein%20_FINALkms.pdf (accessed on 18 December 2024).
- Tratt, D.M.; Young, S.J.; Lynch, D.K.; Buckland, K.N.; Johnson, P.D.; Hall, J.L.; Westberg, K.R.; Polak, M.L.; Kasper, B.P.; Qian, J. Remotely-sensed ammonia emission from fumarolic vents associated with a hydrothermally active fault in the Salton Sea geothermal field, California. J. Geophys. Res. Atmos. 2011, 116, D21308. [Google Scholar] [CrossRef]
- Tratt, D.M.; Young, S.J.; Johnson, P.D.; Buckland, K.N.; Lynch, D.K. Multi-year study of remotely-sensed ammonia emission from fumaroles in the Salton Sea Geothermal Field. In Proceedings of the 8th IEEE Workshop on Hyperspectral Image and Signal Processing: Evolution in Remote Sensing—WHISPERS, Los Angeles, CA, USA, 21–24 August 2016. [Google Scholar] [CrossRef]
- Hall, J.L.; Boucher, R.H.; Buckland, K.N.; Gutierrez, D.J.; Keim, E.R.; Tratt, D.M.; Warren, D.W. Mako airborne thermal infrared imaging spectrometer–performance update. Proc. SPIE 2016, 9976, 997604. [Google Scholar] [CrossRef]
- Buckland, K.N.; Young, S.J.; Keim, E.R.; Johnson, B.R.; Johnson, P.D.; Tratt, D.M. Tracking and quantification of gaseous chemical plumes from anthropogenic emission sources within the Los Angeles Basin. Remote Sens. Environ. 2017, 201, 275–296. [Google Scholar] [CrossRef]
- Thiruvenkatachari, R.R.; Carranza, V.; Ahangar, F.; Marklein, A.; Hopkins, F.; Venkatram, A. Uncertainty in using dispersion models to estimate methane emissions from manure lagoons in dairies. Agric. For. Meteorol. 2020, 290, 108011. [Google Scholar] [CrossRef]
- Site Survey Report for Mecca; South Coast Air Quality Management District: Diamond Bar, CA, USA, 2024. Available online: https://www.aqmd.gov/docs/default-source/clean-air-plans/air-quality-monitoring-network-plan/aaqmnp-saul-martinez.pdf (accessed on 18 December 2024).
- Young, S.J.; Johnson, B.R.; Hackwell, J.A. An in-scene method for atmospheric compensation of thermal hyperspectral data. J. Geophys. Res. Atmos. 2002, 107, 4774. [Google Scholar] [CrossRef]
- Hall, J.L.; Chang, C.S.; Westberg, K.; Tratt, D.M. Scene Analysis for Gas Estimation (SAGE): A tool for quantification of diffuse and point-source atmospheric trace gas abundance. Remote Sens. Environ. 2025; under review. [Google Scholar]
- Berk, A.; Conforti, P.; Kennett, R.; Perkins, T.; Hawes, F.; van den Bosch, J. MODTRAN®6: A major upgrade of the MODTRAN® radiative transfer code. Proc. SPIE 2014, 9088, 90880H. [Google Scholar] [CrossRef]
- Dowell, D.C.; Alexander, C.R.; James, E.P.; Weygandt, S.S.; Benjamin, S.G.; Manikin, G.S.; Blake, B.T.; Brown, J.M.; Olson, J.B.; Hu, M.; et al. The High-Resolution Rapid Refresh (HRRR): An hourly updating convection-allowing forecast model. Part I: Motivation and system description. Wea. Forecast. 2022, 37, 1371–1395. [Google Scholar] [CrossRef]
- James, E.P.; Alexander, C.R.; Dowell, D.C.; Weygandt, S.S.; Benjamin, S.G.; Manikin, G.S.; Brown, J.M.; Olson, J.B.; Hu, M.; Smirnova, T.G.; et al. The High-Resolution Rapid Refresh (HRRR): An hourly updating convection-allowing forecast model. Part II: Forecast performance. Wea. Forecast. 2022, 37, 1397–1417. [Google Scholar] [CrossRef]
- Bishop, H.K.; Bricarello, J.R. Scaling and corrosion in an experimental geothermal power plant. J. Petroleum Technol. 1978, 30, 1240–1242. [Google Scholar] [CrossRef]
- Nega, W.; Balew, A. The relationship between land use land cover and land surface temperature using remote sensing: Systematic reviews of studies globally over the past 5 years. Environ. Sci. Pollut. Res. 2022, 29, 42493–42508. [Google Scholar] [CrossRef]
- Lehning, M.; Richner, H.; Kok, G.L. Transport of air pollutants from the boundary layer to the free troposphere over complex terrain. Phys. Chem. Earth 1998, 23, 667–672. [Google Scholar] [CrossRef]
- Hanna, S.R.; Briggs, G.A.; Hosker, R.P. Handbook on Atmospheric Diffusion; Rep. DOE/TIC-11223; Office of Health and Environmental Research, Dept. of Energy: Oak Ridge, TN, USA, 1982. [Google Scholar] [CrossRef]
- Briggs, G.A. Diffusion Estimation for Small Emissions; Rep. TID-28289; Atmospheric Turbulence and Diffusion Lab., National Oceanic and Atmospheric Administration: Oak Ridge, TN, USA, 1973. [Google Scholar] [CrossRef]
- Pasquill, F. The Estimation of the Dispersion of Windborne Material. Meteorol. Mag. 1961, 90, 33–49. Available online: https://digital.nmla.metoffice.gov.uk/IO_58fec883-2be8-42e2-a3b1-e29cbe13f19e (accessed on 18 December 2024).
- Van Damme, M.; Clarisse, L.; Dammers, E.; Liu, X.; Nowak, J.B.; Clerbaux, C.; Flechard, C.R.; Galy-Lacaux, C.; Xu, W.; Neuman, J.A.; et al. Towards validation of ammonia (NH3) measurements from the IASI satellite. Atmos. Meas. Tech. 2015, 8, 1575–1591. [Google Scholar] [CrossRef]
- Guo, X.; Wang, R.; Pan, D.; Zondlo, M.A.; Clarisse, L.; Van Damme, M.; Whitburn, S.; Coheur, P.F.; Clerbaux, C.; Franco, B.; et al. Validation of IASI satellite ammonia observations at the pixel scale using in situ vertical profiles. J. Geophys. Res. Atmos. 2021, 126, e2020JD033475. [Google Scholar] [CrossRef]









| Parameter | Specification | 
|---|---|
| Spectral coverage | 7.6–13.2 μm | 
| Spectral resolution (128 channels) | 44 nm | 
| Instantaneous field of view | 0.56 mrad | 
| GSD (12 kft AGL) | 2 m | 
| Base frame rate | 3255 Hz | 
| Noise-equivalent spectral radiance (10 μm, 4 coadds) | <0.5 μW cm−2 sr−1 μm−1 | 
| Noise-equivalent temperature difference (10 μm, 300 K) | 0.03 K | 
| Instrument | Observation | Frequency | 
|---|---|---|
| GPS 16X, Garmin Ltd. global positioning unit | Geolocation (latitude, longitude) | 1 Hz | 
| METSENS500, Campbell Scientific, Inc. 1 weather station with 2D sonic anemometer | Ambient temperature, relative humidity, pressure, wind speed, and wind direction | 1 Hz | 
| Picarro G2123 extended-range NH3 concentration in air analyzer | NH3 mole fraction and % H2O in air | ~0.3 Hz | 
| Site | In Situ Time (UTC) | In situ NH3 (ppbv) | Overpass Time (UTC) | Mako Ammonia Retrieval (ppbv) | Plume Depth (m) | ||
|---|---|---|---|---|---|---|---|
| Median | Std Dev | Peak | |||||
| A | 17:18 | 418 | 17:31 | 62 | 44 | 259 | 120 | 
| B | 17:27 | 1146 | 17:52 | 311 | 211 | 1041 | 120 | 
| C | 17:28 | 575 | 17:52 | 108 | 65 | 302 | 120 | 
| D | 17:45 | 80 | 17:52 | 17 | 6 | 26 | 637 | 
| E | 17:55 | 71 | 17:31 | 13 | 5 | 41 | 371 | 
| F | 18:11 | 29 | 17:30 | 31 | 11 | 65 | 445 | 
| Overpass Time (UTC) | In Situ NH3 (ppbv) | Mako Ammonia Retrieval (ppbv) | ΔT (°C) | H (m) | MDC (ppbv) | ||
|---|---|---|---|---|---|---|---|
| Median | Std Dev | Peak | |||||
| 16:40 | 4.98 | 0.00 | 0.00 | 0.00 | 3.64 | 400 | 33.0 | 
| 16:53 | 5.29 | 0.00 | 0.00 | 0.00 | 4.05 | 430 | 27.6 | 
| 17:09 | 4.87 | 0.00 | 0.00 | 0.00 | 4.46 | 482 | 22.4 | 
| 22:11 | 3.81 | 3.21 | 2.17 | 6.47 | 9.35 | 1662 | 3.09 | 
| 22:23 | 4.20 | 2.64 | 1.70 | 7.56 | 9.00 | 1690 | 3.15 | 
| 22:38 | 4.40 | 0.00 | 0.50 | 2.82 | 7.30 | 1723 | 3.82 | 
| Disclaimer/Publisher’s Note: The statements, opinions and data contained in all publications are solely those of the individual author(s) and contributor(s) and not of MDPI and/or the editor(s). MDPI and/or the editor(s) disclaim responsibility for any injury to people or property resulting from any ideas, methods, instructions or products referred to in the content. | 
© 2024 by the authors. Licensee MDPI, Basel, Switzerland. This article is an open access article distributed under the terms and conditions of the Creative Commons Attribution (CC BY) license (https://creativecommons.org/licenses/by/4.0/).
Share and Cite
Tratt, D.M.; Chang, C.S.; Keim, E.R.; Buckland, K.N.; Alvarez, M.; Kalashnikova, O.; Hasheminassab, S.; Garay, M.J.; Miao, Y.; Porter, W.C.; et al. Airborne Mapping of Atmospheric Ammonia in a Mixed Discrete and Diffuse Emission Environment. Remote Sens. 2025, 17, 95. https://doi.org/10.3390/rs17010095
Tratt DM, Chang CS, Keim ER, Buckland KN, Alvarez M, Kalashnikova O, Hasheminassab S, Garay MJ, Miao Y, Porter WC, et al. Airborne Mapping of Atmospheric Ammonia in a Mixed Discrete and Diffuse Emission Environment. Remote Sensing. 2025; 17(1):95. https://doi.org/10.3390/rs17010095
Chicago/Turabian StyleTratt, David M., Clement S. Chang, Eric R. Keim, Kerry N. Buckland, Morad Alvarez, Olga Kalashnikova, Sina Hasheminassab, Michael J. Garay, Yaning Miao, William C. Porter, and et al. 2025. "Airborne Mapping of Atmospheric Ammonia in a Mixed Discrete and Diffuse Emission Environment" Remote Sensing 17, no. 1: 95. https://doi.org/10.3390/rs17010095
APA StyleTratt, D. M., Chang, C. S., Keim, E. R., Buckland, K. N., Alvarez, M., Kalashnikova, O., Hasheminassab, S., Garay, M. J., Miao, Y., Porter, W. C., Hopkins, F. M., Pakbin, P., & Sowlat, M. (2025). Airborne Mapping of Atmospheric Ammonia in a Mixed Discrete and Diffuse Emission Environment. Remote Sensing, 17(1), 95. https://doi.org/10.3390/rs17010095
 
        

 
                                                

 
       