Evaluating Different Crown Reconstruction Approaches from Airborne LiDAR for Quantifying APAR Distribution Using a 3D Radiative Transfer Model
Abstract
1. Introduction
2. Material and Methods
2.1. Main Workflow
2.2. 3D Virtual Forest Scene
2.3. ALS Simulation
2.4. Crown Reconstruction from ALS
2.5. Leaf-Scale APAR Simulation
2.6. Assessment and Comparison
3. Results
3.1. Visualization Comparison of 3D APAR Distribution
3.2. Comparison of APAR in the Vertical Profile of Canopy
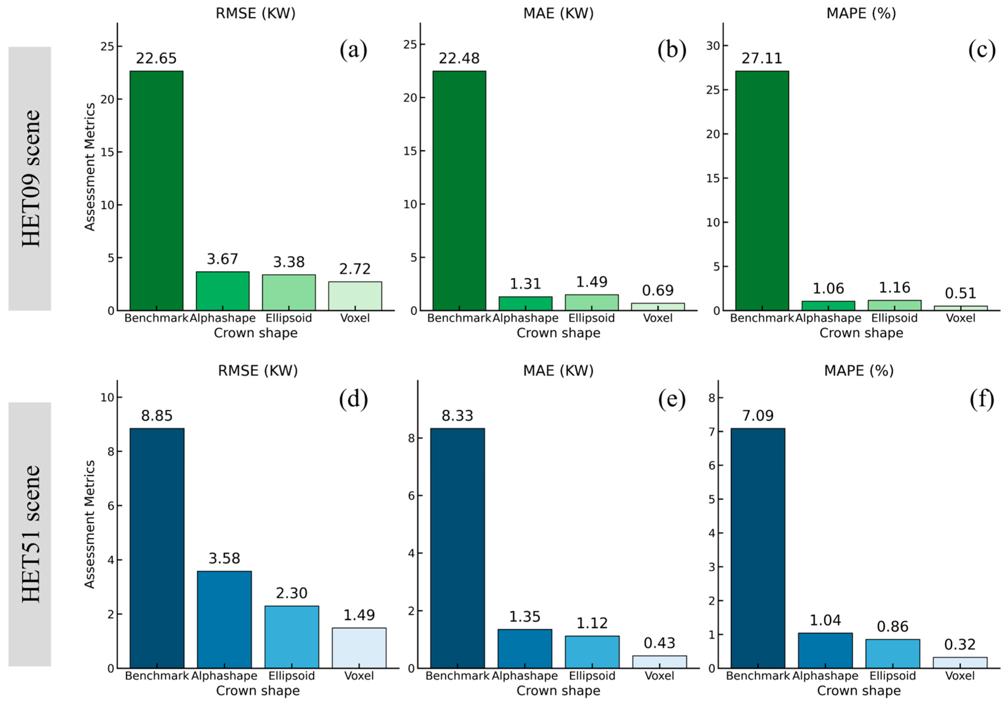
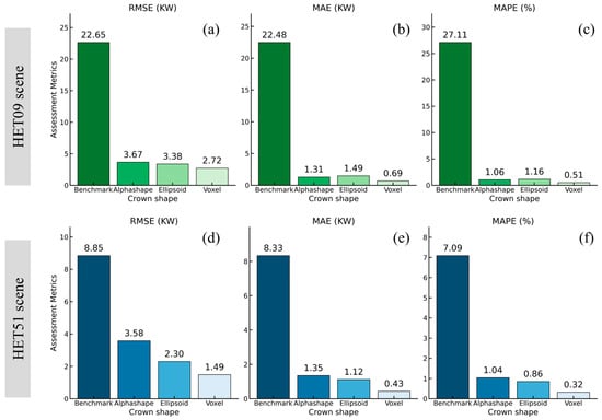
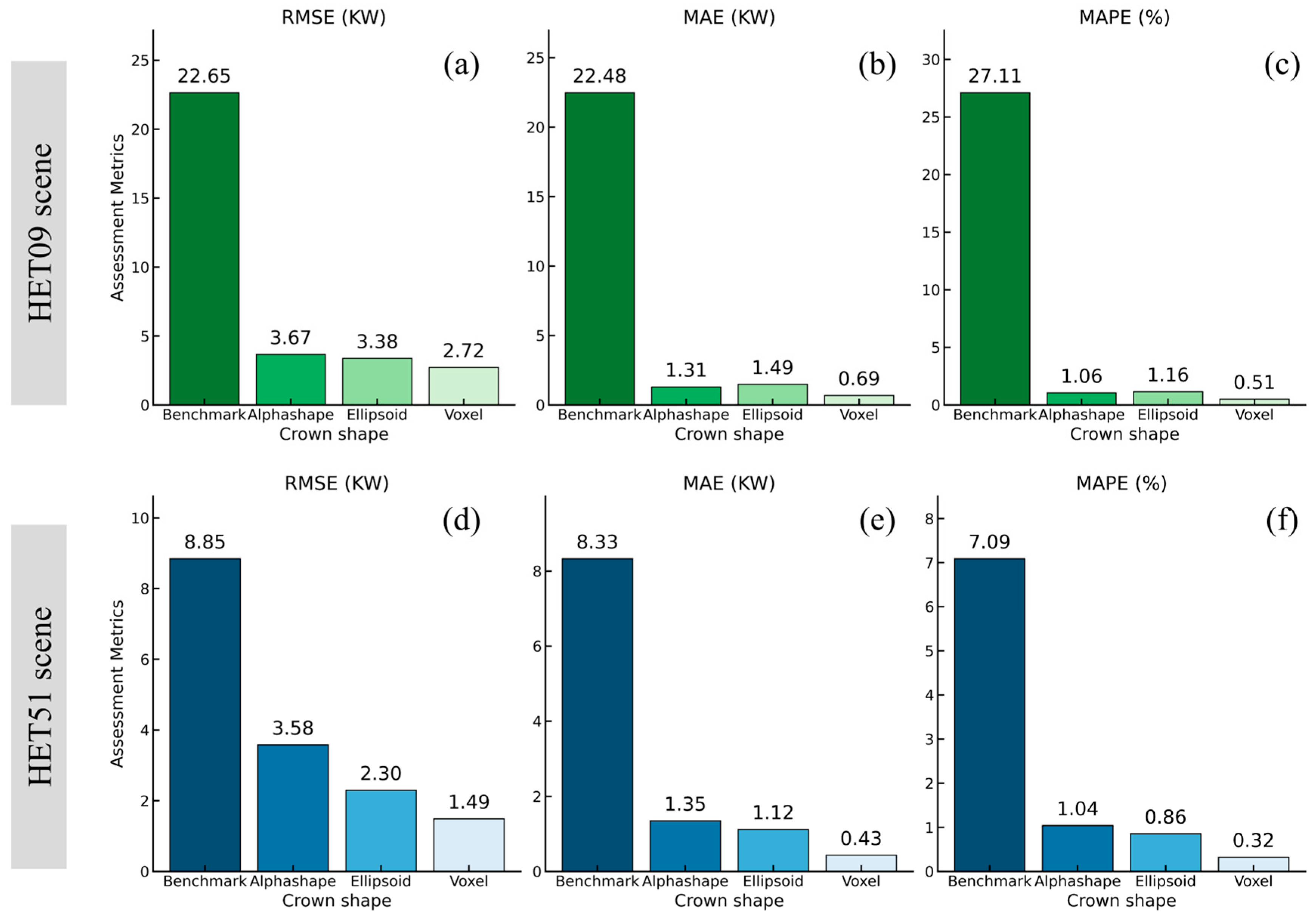
3.3. Quantitative Comparison of 3D APAR
4. Discussion
4.1. Impact of Crown Reconstruction Methods on APAR Simulation
4.2. Impact of Branches
4.3. Limitations
5. Conclusions
Author Contributions
Funding
Data Availability Statement
Conflicts of Interest
References
- Liu, R.; Ren, H.; Liu, S.; Liu, Q.; Li, X. Modelling of Fraction of Absorbed Photosynthetically Active Radiation in Vegetation Canopy and Its Validation. Biosyst. Eng. 2015, 133, 81–94. [Google Scholar] [CrossRef]
 - Hilker, T.; Coops, N.C.; Wulder, M.A.; Black, T.A.; Guy, R.D. The Use of Remote Sensing in Light Use Efficiency Based Models of Gross Primary Production: A Review of Current Status and Future Requirements. Sci. Total Environ. 2008, 404, 411–423. [Google Scholar] [CrossRef] [PubMed]
 - Kesselring, J.; Morsdorf, F.; Kükenbrink, D.; Gastellu-Etchegorry, J.-P.; Damm, A. Diversity of 3D APAR and LAI Dynamics in Broadleaf and Coniferous Forests: Implications for the Interpretation of Remote Sensing-Based Products. Remote Sens. Environ. 2024, 306, 114116. [Google Scholar] [CrossRef]
 - Ma, H.; Liu, Q.; Liang, S.; Xiao, Z. Simultaneous estimation of leaf area index, fraction of absorbed photosynthetically active radiation, and surface albedo from multiple-satellite data. IEEE Trans. Geosci. Remote Sens. 2017, 55, 4334–4354. [Google Scholar] [CrossRef]
 - Pei, Y.; Dong, J.; Zhang, Y.; Yuan, W.; Doughty, R.; Yang, J.; Zhou, D.; Zhang, L.; Xiao, X. Evolution of Light Use Efficiency Models: Improvement, Uncertainties, and Implications. Agric. For. Meteorol. 2022, 317, 108905. [Google Scholar] [CrossRef]
 - Senna, M.C.A.; Costa, M.H.; Shimabukuro, Y.E. Fraction of Photosynthetically Active Radiation Absorbed by Amazon Tropical Forest: A Comparison of Field Measurements, Modeling, and Remote Sensing. J. Geophys. Res. Biogeosci. 2005, 110, G01008. [Google Scholar] [CrossRef]
 - Kükenbrink, D.; Schneider, F.D.; Schmid, B.; Gastellu-Etchegorry, J.-P.; Schaepman, M.E.; Morsdorf, F. Modelling of Three-Dimensional, Diurnal Light Extinction in Two Contrasting Forests. Agric. For. Meteorol. 2021, 296, 108230. [Google Scholar] [CrossRef]
 - Xue, X.; Jin, S.; An, F.; Zhang, H.; Fan, J.; Eichhorn, M.P.; Jin, C.; Chen, B.; Jiang, L.; Yun, T. Shortwave Radiation Calculation for Forest Plots Using Airborne LiDAR Data and Computer Graphics. Plant Phenomics 2022, 2022, 9856739. [Google Scholar] [CrossRef]
 - Zhao, X.; Qi, J.; Yu, Z.; Yuan, L.; Huang, H. Fine-Scale Quantification of Absorbed Photosynthetically Active Radiation (APAR) in Plantation Forests with 3D Radiative Transfer Modeling and LiDAR Data. Plant Phenomics 2024, 6, 166. [Google Scholar] [CrossRef]
 - Sitch, S.; Smith, B.; Prentice, I.C.; Arneth, A.; Bondeau, A.; Cramer, W.; Kaplan, J.O.; Levis, S.; Lucht, W.; Sykes, M.T.; et al. Evaluation of Ecosystem Dynamics, Plant Geography and Terrestrial Carbon Cycling in the LPJ Dynamic Global Vegetation Model. Glob. Change Biol. 2003, 9, 161–185. [Google Scholar] [CrossRef]
 - Scott Denning, A.; Nicholls, M.; Prihodko, L.; Baker, I.; Vidale, P.-L.; Davis, K.; Bakwin, P. Simulated Variations in Atmospheric CO2 over a Wisconsin Forest Using a Coupled Ecosystem–Atmosphere Model. Glob. Change Biol. 2003, 9, 1241–1250. [Google Scholar] [CrossRef]
 - Gastellu-Etchegorry, J.-P.; Yin, T.; Lauret, N.; Cajgfinger, T.; Gregoire, T.; Grau, E.; Feret, J.-B.; Lopes, M.; Guilleux, J.; Dedieu, G.; et al. Discrete Anisotropic Radiative Transfer (DART 5) for Modeling Airborne and Satellite Spectroradiometer and LIDAR Acquisitions of Natural and Urban Landscapes. Remote Sens. 2015, 7, 1667–1701. [Google Scholar] [CrossRef]
 - Qi, J.; Xie, D.; Jiang, J.; Huang, H. 3D Radiative Transfer Modeling of Structurally Complex Forest Canopies through a Lightweight Boundary-Based Description of Leaf Clusters. Remote Sens. Environ. 2022, 283, 113301. [Google Scholar] [CrossRef]
 - Qi, J.; Xie, D.; Yin, T.; Yan, G.; Gastellu-Etchegorry, J.-P.; Li, L.; Zhang, W.; Mu, X.; Norford, L.K. LESS: LargE-Scale Remote Sensing Data and Image Simulation Framework over Heterogeneous 3D Scenes. Remote Sens. Environ. 2019, 221, 695–706. [Google Scholar] [CrossRef]
 - Bian, Z.; Wu, S.; Roujean, J.-L.; Cao, B.; Li, H.; Yin, G.; Du, Y.; Xiao, Q.; Liu, Q. A TIR Forest Reflectance and Transmittance (FRT) Model for Directional Temperatures with Structural and Thermal Stratification. Remote Sens. Environ. 2022, 268, 112749. [Google Scholar] [CrossRef]
 - Gao, S.; Zhong, R.; Yan, K.; Ma, X.; Chen, X.; Pu, J.; Gao, S.; Qi, J.; Yin, G.; Myneni, R.B. Evaluating the Saturation Effect of Vegetation Indices in Forests Using 3D Radiative Transfer Simulations and Satellite Observations. Remote Sens. Environ. 2023, 295, 113665. [Google Scholar] [CrossRef]
 - Makhloufi, A.; Kallel, A. Inversion of a New Designed ANN-Based 3-D-RTM Emulator by Continuous MCMC Technique to Monitor Crop Biophysical Properties Using Sentinel-2 Images. IEEE Trans. Geosci. Remote Sens. 2023, 61, 1–14. [Google Scholar] [CrossRef]
 - Lin, S.; Li, L.; Liu, S.; Gao, G.; Zhao, X.; Chen, L.; Qi, J.; Shen, Q.; Huang, H. Stratified Burn Severity Assessment by Integrating Spaceborne Spectral and Waveform Attributes in Great Xing’an Mountain. Remote Sens. Environ. 2024, 307, 114152. [Google Scholar] [CrossRef]
 - Zhao, X.; Qi, J.; Xu, H.; Yu, Z.; Yuan, L.; Chen, Y.; Huang, H. Evaluating the Potential of Airborne Hyperspectral LiDAR for Assessing Forest Insects and Diseases with 3D Radiative Transfer Modeling. Remote Sens. Environ. 2023, 297, 113759. [Google Scholar] [CrossRef]
 - Liu, W.; Atherton, J.; Mottus, M.; Gastellu-Etchegorry, J.-P.; Malenovsky, Z.; Raumonen, P.; Akerblom, M.; Makipaa, R.; Porcar-Castell, A. Simulating Solar-Induced Chlorophyll Fluorescence in a Boreal Forest Stand Reconstructed from Terrestrial Laser Scanning Measurements. Remote Sens. Environ. 2019, 232, 111274. [Google Scholar] [CrossRef]
 - Li, W.; Hu, X.; Su, Y.; Tao, S.; Ma, Q.; Guo, Q. A new method for voxel-based modelling of three-dimensional forest scenes with integration of terrestrial and airborne LiDAR data. Methods Ecol. Evol. 2024, 15, 569–582. [Google Scholar] [CrossRef]
 - Schneider, F.D.; Leiterer, R.; Morsdorf, F.; Gastellu-Etchegorry, J.-P.; Lauret, N.; Pfeifer, N.; Schaepman, M.E. Simulating Imaging Spectrometer Data: 3D Forest Modeling Based on LiDAR and in Situ Data. Remote Sens. Environ. 2014, 152, 235–250. [Google Scholar] [CrossRef]
 - Calders, K.; Origo, N.; Burt, A.; Disney, M.; Nightingale, J.; Raumonen, P.; Åkerblom, M.; Malhi, Y.; Lewis, P. Realistic Forest Stand Reconstruction from Terrestrial LiDAR for Radiative Transfer Modelling. Remote Sens. 2018, 10, 933. [Google Scholar] [CrossRef]
 - Janoutová, R.; Homolová, L.; Novotný, J.; Navrátilová, B.; Pikl, M.; Malenovský, Z. Detailed Reconstruction of Trees from Terrestrial Laser Scans for Remote Sensing and Radiative Transfer Modelling Applications. In Silico Plants 2021, 3, diab026. [Google Scholar] [CrossRef]
 - Widlowski, J.-L.; Côté, J.-F.; Béland, M. Abstract Tree Crowns in 3D Radiative Transfer Models: Impact on Simulated Open-Canopy Reflectances. Remote Sens. Environ. 2014, 142, 155–175. [Google Scholar] [CrossRef]
 - Li, W.; Guo, Q.; Tao, S.; Su, Y. VBRT: A novel voxel-based radiative transfer model for heterogeneous three-dimensional forest scenes. Remote Sens. Environ. 2018, 206, 318–335. [Google Scholar] [CrossRef]
 - Persson, H.J.; Ekström, M.; Ståhl, G. Quantify and Account for Field Reference Errors in Forest Remote Sensing Studies. Remote Sens. Environ. 2022, 283, 113302. [Google Scholar] [CrossRef]
 - Widlowski, J.-L.; Mio, C.; Disney, M.; Adams, J.; Andredakis, I.; Atzberger, C.; Brennan, J.; Busetto, L.; Chelle, M.; Ceccherini, G.; et al. The Fourth Phase of the Radiative Transfer Model Intercomparison (RAMI) Exercise: Actual Canopy Scenarios and Conformity Testing. Remote Sens. Environ. 2015, 169, 418–437. [Google Scholar] [CrossRef]
 - Wang, Y.; Kallel, A.; Yang, X.; Regaieg, O.; Lauret, N.; Guilleux, J.; Chavanon, E.; Gastellu-Etchegorry, J.-P. DART-Lux: An Unbiased and Rapid Monte Carlo Radiative Transfer Method for Simulating Remote Sensing Images. Remote Sens. Environ. 2022, 274, 112973. [Google Scholar] [CrossRef]
 - Luo, Y.; Xie, D.; Qi, J.; Zhou, K.; Yan, G.; Mu, X. LESS LiDAR: A full-waveform and discrete-return multispectral LiDAR simulator based on ray tracing algorithm. Remote Sens. 2023, 15, 4529. [Google Scholar] [CrossRef]
 - Zhou, K.; Xie, D.; Qi, J.; Zhang, Z.; Bo, X.; Yan, G.; Mu, X. Explicitly Reconstructing RAMI-V Scenes for Accurate 3-Dimensional Radiative Transfer Simulation Using the LESS Model. J. Remote Sens. 2023, 3, 0033. [Google Scholar] [CrossRef]
 - Qi, J.; Xie, D.; Guo, D.; Yan, G. A Large-Scale Emulation System for Realistic Three-Dimensional (3-D) Forest Simulation. IEEE J. Sel. Top. Appl. Earth Obs. Remote Sens. 2017, 10, 4834–4843. [Google Scholar] [CrossRef]
 - He, S.; Qi, J.; Wang, D.; Yan, K.; Huang, H. Estimation of Canopy Photon Recollision Probability from Airborne Laser Scanning. Remote Sens. Environ. 2024, 311, 114264. [Google Scholar] [CrossRef]
 - Zhang, W.; Qi, J.; Wan, P.; Wang, H.; Xie, D.; Wang, X.; Yan, G. An Easy-to-Use Airborne LiDAR Data Filtering Method Based on Cloth Simulation. Remote Sens. 2016, 8, 501. [Google Scholar] [CrossRef]
 - Edelsbrunner, H.; Mucke, E. Three-Dimensional Alpha Shapes. ACM Trans. Graph. 1994, 13, 43–72. [Google Scholar] [CrossRef]
 - Lin, X.; Li, A.; Bian, J.; Zhang, Z.; Lei, G.; Chen, L.; Qi, J. Reconstruction of a Large-Scale Realistic Three-Dimensional (3-D) Mountain Forest Scene for Radiative Transfer Simulations. GISci. Remote Sens. 2023, 60, 2261993. [Google Scholar] [CrossRef]
 - Gao, G.; Qi, J.; Lin, S.; Hu, R.; Huang, H. Estimating Plant Area Density of Individual Trees from Discrete Airborne Laser Scanning Data Using Intensity Information and Path Length Distribution. Int. J. Appl. Earth Obs. Geoinf. 2023, 118, 103281. [Google Scholar] [CrossRef]
 - Zhao, X.; Qi, J.; Jiang, J.; Liu, S.; Xu, H.; Lin, S.; Yu, Z.; Li, L.; Huang, H. Fine-Scale Retrieval of Leaf Chlorophyll Content Using a Semi-Empirically Accelerated 3D Radiative Transfer Model. Int. J. Appl. Earth Obs. Geoinf. 2024, 135, 104285. [Google Scholar] [CrossRef]
 - Chen, S.; Liu, L.; Zhang, X.; Liu, X.; Chen, X.; Qian, X.; Xu, Y.; Xie, D. Retrieval of the Fraction of Radiation Absorbed by Photosynthetic Components (FAPARgreen) for Forest Using a Triple-Source Leaf-Wood-Soil Layer Approach. Remote Sens. 2019, 11, 2471. [Google Scholar] [CrossRef]
 - Wilson, R.T. Py6S: A Python Interface to the 6S Radiative Transfer Model. Comput. Geosci. 2013, 51, 166–171. [Google Scholar] [CrossRef]
 - Duursma, R.A.; Falster, D.S.; Valladares, F.; Sterck, F.J.; Pearcy, R.W.; Lusk, C.H.; Sendall, K.M.; Nordenstahl, M.; Houter, N.C.; Atwell, B.J.; et al. Light Interception Efficiency Explained by Two Simple Variables: A Test Using a Diversity of Small- to Medium-Sized Woody Plants. New Phytol. 2012, 193, 397–408. [Google Scholar] [CrossRef]
 - Plaga, B.N.E.; Bauhus, J.; Pretzsch, H.; Pereira, M.G.; Forrester, D.I. Influence of Crown and Canopy Structure on Light Absorption, Light Use Efficiency, and Growth in Mixed and Pure Pseudotsuga Menziesii and Fagus Sylvatica Forests. Eur. J. For. Res. 2024, 143, 479–491. [Google Scholar] [CrossRef]
 - Li, Y.; Su, Y.; Hu, T.; Xu, G.; Guo, Q. Retrieving 2-D Leaf Angle Distributions for Deciduous Trees from Terrestrial Laser Scanner Data. IEEE Trans. Geosci. Remote Sens. 2018, 56, 4945–4955. [Google Scholar] [CrossRef]
 - Ando, R.; Ozasa, Y.; Guo, W. Robust Surface Reconstruction of Plant Leaves from 3D Point Clouds. Plant Phenomics 2021, 2021, 3184185. [Google Scholar] [CrossRef] [PubMed]
 - Cai, S.; Zhang, W.; Zhang, S.; Yu, S.; Liang, X. Branch architecture quantification of large-scale coniferous forest plots using UAV-LiDAR data. Remote Sens. Environ. 2024, 306, 114121. [Google Scholar] [CrossRef]
 









| Parameters | Values | Unit | 
|---|---|---|
| Pulse energy | 1 | mJ | 
| Pulse divergence angle | 0.25 | mrad | 
| Acquisition rate | 0.13 | ns | 
| Altitude of flight | 80 | m | 
| Across-track resolution | 0.3 | m | 
| Along-track resolution | 0.3 | m | 
Disclaimer/Publisher’s Note: The statements, opinions and data contained in all publications are solely those of the individual author(s) and contributor(s) and not of MDPI and/or the editor(s). MDPI and/or the editor(s) disclaim responsibility for any injury to people or property resulting from any ideas, methods, instructions or products referred to in the content.  | 
© 2024 by the authors. Licensee MDPI, Basel, Switzerland. This article is an open access article distributed under the terms and conditions of the Creative Commons Attribution (CC BY) license (https://creativecommons.org/licenses/by/4.0/).
Share and Cite
Zhao, X.; Liu, C.; Qi, J.; Yuan, L.; Yu, Z.; He, S.; Huang, H. Evaluating Different Crown Reconstruction Approaches from Airborne LiDAR for Quantifying APAR Distribution Using a 3D Radiative Transfer Model. Remote Sens. 2025, 17, 53. https://doi.org/10.3390/rs17010053
Zhao X, Liu C, Qi J, Yuan L, Yu Z, He S, Huang H. Evaluating Different Crown Reconstruction Approaches from Airborne LiDAR for Quantifying APAR Distribution Using a 3D Radiative Transfer Model. Remote Sensing. 2025; 17(1):53. https://doi.org/10.3390/rs17010053
Chicago/Turabian StyleZhao, Xun, Can Liu, Jianbo Qi, Lijuan Yuan, Zhexiu Yu, Siying He, and Huaguo Huang. 2025. "Evaluating Different Crown Reconstruction Approaches from Airborne LiDAR for Quantifying APAR Distribution Using a 3D Radiative Transfer Model" Remote Sensing 17, no. 1: 53. https://doi.org/10.3390/rs17010053
APA StyleZhao, X., Liu, C., Qi, J., Yuan, L., Yu, Z., He, S., & Huang, H. (2025). Evaluating Different Crown Reconstruction Approaches from Airborne LiDAR for Quantifying APAR Distribution Using a 3D Radiative Transfer Model. Remote Sensing, 17(1), 53. https://doi.org/10.3390/rs17010053
        
