Spatial and Temporal Changes and Assessment of Multi-Species Habitat in Hainan Jianfengling Protected Area
Abstract
1. Introduction
2. Materials and Methods
2.1. Research Area
2.2. Species Distribution Data
2.3. Environment Variable
2.4. Model Construction
3. Results
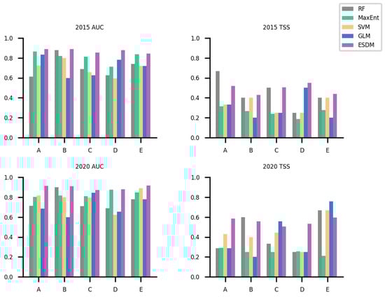
3.1. Indicators for Evaluation of Models
3.2. Habitat Prediction Results and Changes for Each Species
3.2.1. Habitat Prediction Results and Changes in Muntiacus muntjak
3.2.2. Habitat Prediction Results and Changes in Sus scrofa
3.2.3. Habitat Prediction Results and Changes in Dremomys pyrrhomerus
3.2.4. Habitat Prediction Results and Changes in Atherurus macrourus
3.2.5. Habitat Prediction Results and Changes in Melogale moschata
3.2.6. Comprehensive Results of Multiple Species
3.3. Differences in Main Environmental Data
4. Discussion
4.1. Comprehensive Analysis of Habitat Changes in Multiple Species
4.2. Comprehensive Analysis of Environmental Factors of Habitat Changes
4.3. Recommendation
5. Conclusions
Author Contributions
Funding
Data Availability Statement
Conflicts of Interest
References
- Yan, P.; Fernández-Martínez, M.; Van Meerbeek, K.; Yu, G.; Migliavacca, M.; He, N. The Essential Role of Biodiversity in the Key Axes of Ecosystem Function. Glob. Chang. Biol. 2023, 29, 4569–4585. [Google Scholar] [CrossRef] [PubMed]
- Zachos, F.E.; Habel, J.C. (Eds.) Biodiversity Hotspots: Distribution and Protection of Conservation Priority Areas; Springer Science & Business Media: Berlin/Heidelberg, Germany, 2011. [Google Scholar]
- Geldmann, J.; Joppa, L.N.; Burgess, N.D. Mapping Change in Human Pressure Globally on Land and within Protected Areas. Conserv. Biol. 2014, 28, 1604–1616. [Google Scholar] [CrossRef] [PubMed]
- Nagendra, H.; Lucas, R.; Honrado, J.P.; Jongman, R.H.G.; Tarantino, C.; Adamo, M.; Mairota, P. Remote Sensing for Conservation Monitoring: Assessing Protected Areas, Habitat Extent, Habitat Condition, Species Diversity, and Threats. Ecol. Indic. 2013, 33, 45–59. [Google Scholar] [CrossRef]
- McNeely, J.A. Today’s protected areas: Supporting a more sustainable future for humanity. Integr. Zool. 2020, 15, 603–616. [Google Scholar] [CrossRef] [PubMed]
- DeFries, R.; Hansen, A.; Turner, B.L.; Reid, R.; Liu, J. Land Use Change Around Protected Areas: Management to Balance Human Needs and Ecological Function. Ecol. Appl. 2007, 17, 1031–1038. [Google Scholar] [CrossRef]
- Hansen, A.J.; DeFries, R. Ecological Mechanisms Linking Protected Areas to Surrounding Lands. Ecol. Appl. 2007, 17, 974–988. [Google Scholar] [CrossRef]
- Andrade, G.S.M.; Rhodes, J.R. Protected Areas and Local Communities: An Inevitable Partnership toward Successful Conservation Strategies? Ecol. Soc. 2012, 17, 14.1–14.16. [Google Scholar] [CrossRef]
- Zhao, J.; Xiao, Y.; Zhang, Y.; Shao, Y.; Ma, T.; Kou, X.; Zhang, Y.; Sang, W.; Axmacher, J.C. Socioeconomic Development Shows Positive Links to the Conservation Efficiency of China’s Protected Area Network. Glob. Chang. Biol. 2023, 29, 3433–3448. [Google Scholar] [CrossRef]
- Li, G.; Fang, C.; Watson, J.E.M.; Sun, S.; Qi, W.; Wang, Z.; Liu, J. Mixed Effectiveness of Global Protected Areas in Resisting Habitat Loss. Nat. Commun. 2024, 15, 8389. [Google Scholar] [CrossRef]
- Fuller, R.A.; McDonald-Madden, E.; Wilson, K.A.; Carwardine, J.; Grantham, H.S.; Watson, J.E.M.; Klein, C.J.; Green, D.C.; Possingham, H.P. Replacing Underperforming Protected Areas Achieves Better Conservation Outcomes. Nature 2010, 466, 365–367. [Google Scholar] [CrossRef] [PubMed]
- Mascia, M.B.; Pailler, S. Protected Area Downgrading, Downsizing, and Degazettement (PADDD) and Its Conservation Implications. Conserv. Lett. 2011, 4, 9–20. [Google Scholar] [CrossRef]
- Ribas, L.G.d.S.; Pressey, R.L.; Loyola, R.; Bini, L.M. A Global Comparative Analysis of Impact Evaluation Methods in Estimating the Effectiveness of Protected Areas. Biol. Conserv. 2020, 246, 108595. [Google Scholar] [CrossRef]
- Gong, M.; Fan, Z.; Zhang, X.; Liu, G.; Wen, W.; Zhang, L. Measuring the Effectiveness of Protected Area Management by Comparing Habitat Utilization and Threat Dynamics. Biol. Conserv. 2017, 210, 253–260. [Google Scholar] [CrossRef]
- Rodrigues, A.S.L.; Akçakaya, H.R.; Andelman, S.J.; Bakarr, M.I.; Boitani, L.; Brooks, T.M.; Chanson, J.S.; Fishpool, L.D.C.; DA Fonseca, G.A.B.; Gaston, K.J.; et al. Global gap analysis: Priority regions for expanding the global protected-area network. BioScience 2004, 54, 1092–1100. [Google Scholar] [CrossRef]
- Brooks, T.M.; Bakarr, M.I.; Boucher, T.; Da Fonseca, G.A.B.; Hilton-Taylor, C.; Hoekstra, J.M.; Moritz, T.; Olivieri, S.; Parrish, J.; Pressey, R.L.; et al. Coverage provided by the global protected-area system: Is it enough? BioScience 2004, 54, 1081–1091. [Google Scholar] [CrossRef]
- Kleiman, D.G.; Reading, R.P.; Miller, B.J.; Clark, T.W.; Scott, J.M.; Robinson, J.; Wallace, R.L.; Cabin, R.J.; Felleman, F. Improving the Evaluation of Conservation Programs. Conserv. Biol. 2000, 14, 356–365. [Google Scholar] [CrossRef]
- Ghaffari, H.; Safaei-Mahroo, B.; Niamir, A. Amphibian Hotspots in Iran: Effectiveness of Current Protected Area and Priorities for Conservation Planning. Glob. Ecol. Conserv. 2024, 54, e03178. [Google Scholar] [CrossRef]
- Liu, Z.; Tian, S.; Lu, S.; Zhu, Z.; Peng, Y.; Li, X.; An, L.; Li, J.; Xu, J.; Wang, Y. Climate and land-use changes threaten the effectiveness of protected areas for protecting Galliformes in Southeast Asia. Front. Ecol. Evol. 2023, 11, 1216769. [Google Scholar] [CrossRef]
- Campos-Cerqueira, M.; Terando, A.J.; Murray, B.A.; Collazo, J.A.; Aide, T.M. Climate change is creating a mismatch between protected areas and suitable habitats for frogs and birds in Puerto Rico. Biodivers. Conserv. 2021, 30, 3509–3528. [Google Scholar] [CrossRef]
- Gong, M.; Guan, T.; Hou, M.; Liu, G.; Zhou, T. Hopes and Challenges for Giant Panda Conservation under Climate Change in the Qinling Mountains of China. Ecol. Evol. 2017, 7, 596–605. [Google Scholar] [CrossRef] [PubMed]
- Huang, M.; Gong, D.; Zhang, L.; Lin, H.; Chen, Y.; Zhu, D.; Xiao, C.; Altan, O. Spatiotemporal Dynamics and Forecasting of Ecological Security Pattern under the Consideration of Protecting Habitat: A Case Study of the Poyang Lake Ecoregion. Int. J. Digit. Earth 2024, 17, 2376277. [Google Scholar] [CrossRef]
- Norberg, A.; Abrego, N.; Blanchet, F.G.; Adler, F.R.; Anderson, B.J.; Anttila, J.; Araújo, M.B.; Dallas, T.; Dunson, D.; Elith, J.; et al. A comprehensive evaluation of predictive performance of 33 species distribution models at species and community levels. Ecol. Monogr. 2019, 89, e01370. [Google Scholar] [CrossRef]
- Guillera-Arroita, G.; Lahoz-Monfort, J.J.; Elith, J.; Gordon, A.; Kujala, H.; Lentini, P.E.; McCarthy, M.A.; Tingley, R.; Wintle, B.A. Is My Species Distribution Model Fit for Purpose? Matching Data and Models to Applications. Glob. Ecol. Biogeogr. 2015, 24, 276–292. [Google Scholar] [CrossRef]
- Li, L.; Tang, H.; Lei, J.; Song, X. Spatial Autocorrelation in Land Use Type and Ecosystem Service Value in Hainan Tropical Rain Forest National Park. Ecol. Indic. 2022, 137, 108727. [Google Scholar] [CrossRef]
- Xie, C.; Chen, L.; Luo, W.; Jim, C.Y. Species Diversity and Distribution Pattern of Venerable Trees in Tropical Jianfengling National Forest Park (Hainan, China). J. Nat. Conserv. 2024, 77, 126542. [Google Scholar] [CrossRef]
- Miao, N.; Xu, H.; Moermond, T.C.; Li, Y.; Liu, S. Density-Dependent and Distance-Dependent Effects in a 60-Ha Tropical Mountain Rain Forest in the Jianfengling Mountains, Hainan Island, China: Spatial Pattern Analysis. For. Ecol. Manag. 2018, 429, 226–232. [Google Scholar] [CrossRef]
- Hobbie, S.E. Plant Species Effects on Nutrient Cycling: Revisiting Litter Feedbacks. Trends Ecol. Evol. 2015, 30, 357–363. [Google Scholar] [CrossRef] [PubMed]
- Mo, J.; Ji, Y.; Xu, H.; Li, D.; Liu, F. Camera-Trapping Survey on Mammals and Birds in a Forest Dynamics Plot in Hainan Jianfengling National Nature Reserve. Biodivers. Sci. 2021, 29, 819. [Google Scholar] [CrossRef]
- Hristov, N.I.; Betke, M.; Kunz, T.H. Applications of thermal infrared imaging for research in aeroecology. Integr. Comp. Biol. 2008, 48, 50–59. [Google Scholar] [CrossRef]
- Syphard, A.D.; Franklin, J. Differences in Spatial Predictions among Species Distribution Modeling Methods Vary with Species Traits and Environmental Predictors. Ecography 2009, 32, 907–918. [Google Scholar] [CrossRef]
- Di Febbraro, M.; Menchetti, M.; Russo, D.; Ancillotto, L.; Aloise, G.; Roscioni, F.; Preatoni, D.G.; Loy, A.; Martinoli, A.; Bertolino, S.; et al. Integrating Climate and Land-Use Change Scenarios in Modelling the Future Spread of Invasive Squirrels in Italy. Divers. Distrib. 2019, 25, 644–659. [Google Scholar] [CrossRef]
- Sun, Z.; Orozco-Terwengel, P.; Chen, G.; Sun, R.; Sun, L.; Wang, H.; Shi, W.; Zhang, B. Spatial dynamics of Chinese Muntjac related to past and future climate fluctuations. Curr. Zool. 2021, 67, 361–370. [Google Scholar] [CrossRef] [PubMed]
- Ficetola, G.F.; Bonardi, A.; Mairota, P.; Leronni, V.; Padoa-Schioppa, E. Predicting wild boar damages to croplands in a mosaic of agricultural and natural areas. Curr. Zool. 2014, 60, 170–179. [Google Scholar] [CrossRef]
- Matsushita, B.; Yang, W.; Chen, J.; Onda, Y.; Qiu, G. Sensitivity of the enhanced vegetation index (EVI) and normalized difference vegetation index (NDVI) to topographic effects: A case study in high-density cypress forest. Sensors 2007, 7, 2636–2651. [Google Scholar] [CrossRef] [PubMed]
- Bucklin, D.N.; Basille, M.; Benscoter, A.M.; Brandt, L.A.; Mazzotti, F.J.; Romañach, S.S.; Speroterra, C.; Watling, J.I. Comparing Species Distribution Models Constructed with Different Subsets of Environmental Predictors. Divers. Distrib. 2015, 21, 23–35. [Google Scholar] [CrossRef]
- Randin, C.F.; Dirnböck, T.; Dullinger, S.; Zimmermann, N.E.; Zappa, M.; Guisan, A. Are Niche-Based Species Distribution Models Transferable in Space? J. Biogeogr. 2006, 33, 1689–1703. [Google Scholar] [CrossRef]
- Graham, M.H. Confronting multicollinearity in ecological multiple regression. Ecology 2003, 84, 2809–2815. [Google Scholar] [CrossRef]
- Frans, V.F.; Augé, A.A.; Fyfe, J.; Zhang, Y.; McNally, N.; Edelhoff, H.; Balkenhol, N.; Engler, J.O. Integrated SDM Database: Enhancing the Relevance and Utility of Species Distribution Models in Conservation Management. Methods Ecol. Evol. 2022, 13, 243–261. [Google Scholar] [CrossRef]
- Iturbide, M.; Bedia, J.; Gutiérrez, J.M. Background Sampling and Transferability of Species Distribution Model Ensembles under Climate Change. Glob. Planet. Chang. 2018, 166, 19–29. [Google Scholar] [CrossRef]
- Hao, T.; Elith, J.; Guillera-Arroita, G.; Lahoz-Monfort, J.J. A Review of Evidence about Use and Performance of Species Distribution Modelling Ensembles like BIOMOD. Divers. Distrib. 2019, 25, 839–852. [Google Scholar] [CrossRef]
- Schmitt, S.; Pouteau, R.; Justeau, D.; de Boissieu, F.; Birnbaum, P. Ssdm: An r Package to Predict Distribution of Species Richness and Composition Based on Stacked Species Distribution Models. Methods Ecol. Evol. 2017, 8, 1795–1803. [Google Scholar] [CrossRef]
- Valavi, R.; Elith, J.; Lahoz-Monfort, J.J.; Guillera-Arroita, G. Modelling Species Presence-Only Data with Random Forests. Ecography 2021, 44, 1731–1742. [Google Scholar] [CrossRef]
- Booth, T.H.; Nix, H.A.; Busby, J.R.; Hutchinson, M.F.; Franklin, J. BIOCLIM: The first species distribution modelling package, its early applications and relevance to most current MAXENT studies. Divers. Distrib. 2014, 20, 1–9. [Google Scholar] [CrossRef]
- Jiménez-Valverde, A. Insights into the Area under the Receiver Operating Characteristic Curve (AUC) as a Discrimination Measure in Species Distribution Modelling. Glob. Ecol. Biogeogr. 2012, 21, 498–507. [Google Scholar] [CrossRef]
- Leroy, B.; Delsol, R.; Hugueny, B.; Meynard, C.N.; Barhoumi, C.; Barbet-Massin, M.; Bellard, C. Without Quality Presence–Absence Data, Discrimination Metrics Such as TSS Can Be Misleading Measures of Model Performance. J. Biogeogr. 2018, 45, 1994–2002. [Google Scholar] [CrossRef]
- Teng, L.; Liu, Z.; Song, Y.-L.; Zeng, Z. Forage and Bed Sites Characteristics of Indian Muntjac (Muntiacus muntjak) in Hainan Island, China. Ecol. Res. 2004, 19, 675–681. [Google Scholar] [CrossRef]
- Sales, L.P.; Ribeiro, B.R.; Hayward, M.W.; Paglia, A.; Passamani, M.; Loyola, R. Niche Conservatism and the Invasive Potential of the Wild Boar. J. Anim. Ecol. 2017, 86, 1214–1223. [Google Scholar] [CrossRef] [PubMed]
- Uchida, K.; Hamill, K.; Wist, B.; Cripps, R.; Kaisanlahti-Jokimäki, M.-L.; Kampmann, M.-A.; Lindtner, M.-L.; Jokimäki, J. Regional-Dependent Tolerance to Humans: A Multi-Country Comparison of Horizontal and Vertical Escape Distance in Arboreal Squirrels. Landsc. Urban Plan. 2025, 253, 105198. [Google Scholar] [CrossRef]











| Data | Dataset | Spatial/Temporal Resolution | Period | Data Sources |
|---|---|---|---|---|
| 19 bioclimatic variables | WorldClim Version 2.1 climate data | 30 s (~1 km), month | average value | https://www.worldclim.org/data/worldclim21.html (accessed on 1 October 2024). |
| Distance from road | OSM | Vector | 2015/2020 | https://www.openstreetmap.org/ (accessed on 26 September 2024). |
| Distance from water source | OSM | Vector | 2015/2020 | https://www.openstreetmap.org/ (accessed on 24 September 2024). |
| Digital elevation data/slope/aspect | ASETER GDEM v3 | 30 m | 2017 | https://www.gscloud.cn/ (accessed on 24 September 2024). |
| Land cover | GLC_FCS30 | 30 m | 2015/2020 | https://data.casearth.cn/ (accessed on 1 October 2024). |
| Enhanced vegetation index | LANDSAT/COMPOSITES/C02/T1_L2_ANNUAL_EVI | 30 m | 2015/2020 | https://earthengine.google.com/ (accessed on 2 October 2024). |
Disclaimer/Publisher’s Note: The statements, opinions and data contained in all publications are solely those of the individual author(s) and contributor(s) and not of MDPI and/or the editor(s). MDPI and/or the editor(s) disclaim responsibility for any injury to people or property resulting from any ideas, methods, instructions or products referred to in the content. |
© 2024 by the authors. Licensee MDPI, Basel, Switzerland. This article is an open access article distributed under the terms and conditions of the Creative Commons Attribution (CC BY) license (https://creativecommons.org/licenses/by/4.0/).
Share and Cite
Ma, Y.; Liu, L.; Yao, W.; Zeng, Z.; Zhang, M.; Shang, E.; Zhang, S.; Yang, J. Spatial and Temporal Changes and Assessment of Multi-Species Habitat in Hainan Jianfengling Protected Area. Remote Sens. 2025, 17, 46. https://doi.org/10.3390/rs17010046
Ma Y, Liu L, Yao W, Zeng Z, Zhang M, Shang E, Zhang S, Yang J. Spatial and Temporal Changes and Assessment of Multi-Species Habitat in Hainan Jianfengling Protected Area. Remote Sensing. 2025; 17(1):46. https://doi.org/10.3390/rs17010046
Chicago/Turabian StyleMa, Yong, Lixi Liu, Wutao Yao, Zhigao Zeng, Mingjun Zhang, Erping Shang, Shuyan Zhang, and Jing Yang. 2025. "Spatial and Temporal Changes and Assessment of Multi-Species Habitat in Hainan Jianfengling Protected Area" Remote Sensing 17, no. 1: 46. https://doi.org/10.3390/rs17010046
APA StyleMa, Y., Liu, L., Yao, W., Zeng, Z., Zhang, M., Shang, E., Zhang, S., & Yang, J. (2025). Spatial and Temporal Changes and Assessment of Multi-Species Habitat in Hainan Jianfengling Protected Area. Remote Sensing, 17(1), 46. https://doi.org/10.3390/rs17010046

