Abstract
In arid regions, climatic fluctuations significantly affect vegetation structure and function. Sun-induced chlorophyll fluorescence (SIF) can quantify certain physiological parameters of vegetation but has limitations in characterizing responses to climate change. This study analyzed the spatiotemporal differences in response to climate change across various ecological regions and vegetation types from 2000 to 2020 in Xinjiang. According to China’s ecological zoning, R1 (Altai Mountains-Western Junggar Mountains forest-steppe) and R5 (Pamir-Kunlun Mountains-Altyn Tagh high-altitude desert grasslands) represent two ecological extremes, while R2–R4 span desert and forest-steppe ecosystems. We employed the standardized precipitation evapotranspiration index (SPEI) at different timescales to represent drought intensity and frequency in conjunction with global OCO-2 SIF products (GOSIF) and the normalized difference vegetation index (NDVI) to assess vegetation growth conditions. The results show that (1) between 2000 and 2020, the overall drought severity in Xinjiang exhibited a slight deterioration, particularly in northern regions (R1 and R2), with a gradual transition from short-term to long-term drought conditions. The R4 and R5 ecological regions in southern Xinjiang also displayed a slight deterioration trend; however, R5 remained relatively stable on the SPEI24 timescale. (2) The NDVI and SIF values across Xinjiang exhibited an upward trend. However, in densely vegetated areas (R1–R3), both NDVI and SIF declined, with a more pronounced decrease in SIF observed in natural forests. (3) Vegetation in northern Xinjiang showed a significantly stronger response to climate change than that in southern Xinjiang, with physiological parameters (SIF) being more sensitive than structural parameters (NDVI). The R1, R2, and R3 ecological regions were primarily influenced by long-term climate change, whereas the R4 and R5 regions were more affected by short-term climate change. Natural grasslands showed a significantly stronger response than forests, particularly in areas with lower vegetation cover that are more structurally impacted. This study provides an important scientific basis for ecological management and climate adaptation in Xinjiang, emphasizing the need for differentiated strategies across ecological regions to support sustainable development.
1. Introduction
With the intensification of global climate change and anthropogenic activities, the frequency and severity of droughts have increased annually [1,2,3,4]. Drought affects ecosystems by altering soil moisture, nutrient conditions, community structure, productivity, and carbon cycling [5,6]. Drought has led to a reduction in the net primary productivity (NPP) of global terrestrial ecosystems by 0.55 PgC per year [3] and has significantly changed the plant community structure in some regions, particularly in arid areas. As the foundation of ecosystems, vegetation is sensitive to changes and can reflect the response of ecosystems to climate change; thus, it is regarded as an “indicator” of global change [7]. Drought not only affects the physiological processes of vegetation (such as photosynthesis and respiration) by reducing water supply but also manifests at the structural level of vegetation, leading to a notable decline in vegetation growth conditions [8,9]. Research indicates that the climate of China tends to be arid, and the wet-dry pattern has changed [10]. Xinjiang is the most arid region in China and has the largest arid land area, with the largest deserts, extensive desert forests, and grassland areas. Over the past 20 years, the drought pattern in Xinjiang has changed, with an overall trend toward increased humidity and gradual increases in precipitation [11]. However, research on the ecological responses of natural forests and grasslands to meteorological drought in extremely arid areas in the context of climate change is insufficient.
Meteorological drought indices serve as proxies for tracking and quantifying climate change. Commonly used meteorological drought indices include the standardized precipitation index (SPI), the Palmer drought severity index (PDSI), and the standardized precipitation evapotranspiration index (SPEI) [12]. Among these, the SPEI combines the multi-timescale advantages of the SPI while considering the impact of temperature on drought and evaluating the degree of water deficit through the difference between precipitation and potential evapotranspiration (PET) [13]. Consequently, SPEI is widely used to characterize climate change, especially showing high applicability in monitoring the characteristics of wet and dry climates in Xinjiang. Although several scholars have conducted relevant research on vegetation and climate change in Xinjiang [14,15,16], most studies have focused on the correlation between single climatic factors and vegetation cover [17,18] and the timescale of the study is relatively limited, making it difficult to comprehensively reflect the impact of climate change on vegetation. Studies have shown the lagged and cumulative effects of drought on vegetation [19]. Vicente-Serrano et al. [20] found that more than 70% of global terrestrial vegetation is affected by persistent drought, as evidenced by the use of SPEI. Wang et al. [21] reported that drought simultaneously induces both lagged and cumulative effects on most vegetation types. Therefore, the use of a multiscale SPEI to characterize regional climate change can more effectively reveal the complex response mechanisms of vegetation to climate change.
Vegetation indices are widely used to characterize the response of vegetation to climate change. Several scholars have used vegetation indices, such as the normalized difference vegetation index (NDVI), enhanced vegetation index (EVI), and vegetation condition index (VCI), to analyze the response mechanisms of vegetation growth to drought at the regional scale in combination with annual precipitation, soil moisture, and SPEI [22,23]. However, these vegetation indices primarily reflect the response of the vegetation canopy to drought and do not directly reflect the state of vegetation physiological activity under drought stress. Chlorophyll fluorescence is closely linked to photosynthesis and represents a rapid light signal released by plants after absorbing sunlight [24]. Sun-induced chlorophyll fluorescence (SIF) provides a more direct measurement of plant carbon fixation through photosynthesis [25] and a new perspective for studying vegetation growth and its response mechanisms to environmental stresses at both global and regional scales [26]. Wang X et al. [27] investigated the impact of extreme drought and heat waves on terrestrial ecosystems in southern China and found that the SIF effectively captured the spatiotemporal dynamics of drought and heat wave development in the early stages. Compared with NDVI and EVI, SIF is more sensitive to heat stress. Additionally, physiological signals derived from SIF, such as ΦF, have been used to quantify the response of U.S. corn crops to environmental stresses, demonstrating higher stress sensitivity and spatial scalability [28]. Although SIF has the potential for drought monitoring and assessment, its acquisition and processing remain challenging. Therefore, combining other vegetation indices to comprehensively analyze the response of vegetation to climate change is a new approach to monitoring and describing the impact of drought on vegetation growth.
This study employed the SPEI to quantify climatic droughts by calculating the deviation in the difference between precipitation and potential evapotranspiration from the average state, thus evaluating the severity of water deficiency. The multi-timescale SPEI was used to represent the cumulative water balance over recent months to reflect the lag in the response of vegetation to drought. Simultaneously, SIF and NDVI were used to quantify the physiological and structural responses of vegetation to climate change. Correlation analysis of the SPEI at different timescales was performed to explore the sensitivity of vegetation in different ecological regions and vegetation types in Xinjiang to various drought types. This has significant scientific value for understanding the mechanisms of vegetation responses to specific environmental conditions in Xinjiang and for assessing the impacts of wet-dry variations on vegetation. These findings are practically important for formulating effective vegetation protection and management measures as well as for mitigating the impacts of drought disasters caused by climate change, thereby safeguarding ecosystem stability.
2. Materials and Methods
2.1. Study Region
The Xinjiang Uyghur Autonomous Region is located in the northwest of China (34°25′N–49°10′N, 73°40′E–96°23′E) at the heart of the Eurasian continent. It borders the Tibet, Qinghai, and Gansu provinces, as well as eight countries, including Mongolia and Central Asian nations. Xinjiang is the largest province in China, with an area of 1.6649 million km2. The region experiences a typical temperate continental arid climate characterized by fluctuating spring temperatures, hot summers, cool autumns, and long, cold winters. Xinjiang can be classified into northern and southern regions based on the Tianshan Mountains. The northern region is bordered by the Altai Mountains, whereas the southern region is bordered by the Kunlun Mountains. These ranges are in the Junggar and Tarim basins. Precipitation and snowmelt in Xinjiang are primarily sourced from the surrounding mountain ranges, which provide major water resources for the region. The plains receive minimal precipitation and have high evaporation rates, exhibiting a distribution pattern of more precipitation in the west, less in the east, more in the north, and less in the south. Mountainous areas receive more precipitation than the plains. The annual precipitation is approximately 150 mm [29]. Due to water scarcity, Xinjiang contains extensive deserts and bare land, resulting in an extremely fragile ecological environment. [30,31]. However, the unique natural geography and climatic conditions foster diverse vegetation types. According to the ecological zoning of China (Geographic Data Sharing Infrastructure, College of Urban and Environmental Science, Peking University http://geodata.pku.edu.cn, accessed on 20 December 2024), Xinjiang is divided into five ecological regions: R1, Altai Mountains-Western Junggar Mountains forest-steppe ecological region; R2, Junggar Basin Desert ecological region; R3, Tianshan Mountain forest-steppe ecological region; R4, Tarim Basin–Eastern Xinjiang Desert ecological region; and R5, Pamir-Kunlun Mountains-Altyn Tagh high-altitude desert grassland ecological region (Figure 1).
Figure 1.
Study area of the Xinjiang arid region in northwest China (Vegetation is classified as follows: Forest (red), high coverage grassland (HCG, >50%, dark green), moderate coverage grassland (MCG, 20–50%, medium green), and low coverage grassland (LCG, 5–20%, light green). The ecological regions (R1–R5) are delineated with different hatching patterns, and meteorological stations are marked with red dots. The map was created using the standard map approved by the Ministry of Natural Resources of China (review number GS (2024) 0650). The base map provided by the Ministry of Natural Resources was used without any modifications. Similarly, all other maps in this study were created using standardized methods and remain unaltered.
2.2. Datasets
2.2.1. Vegetation Cover Data
Natural grassland data were obtained from the Resource and Environment Science and Data Platform (https://www.resdc.cn/, accessed on 20 October 2024) using the CNLUCC dataset (2000–2020). Grasslands were classified into high (>50%), moderate (20–50%), and low (5–20%) coverage levels based on vegetation coverage percentages derived from remote sensing data. Natural forest data were sourced from the GUO-LAB Digital Ecosystem Group (https://www.3decology.org/, accessed on 20 October 2024), employing distribution data generated every five years from the China Vegetation Products dataset (version 1.0), which includes both planted and natural forests (Table 1).
Table 1.
Information of the data used in the study.
2.2.2. SIF Data
GOSIF is an OCO-2-based Sun-induced fluorescence product provided by the Earth Systems Research Center at the University of New Hampshire (http://data.globalecology.unh.edu/data/GOSIF_v2/, accessed on 20 October 2024). GOSIF offers greater spatial continuity and broader coverage than the directly measured SIF data, making it a more accurate and reliable indicator of vegetation dynamics. In this study, monthly GOSIF data from 2000 to 2020 were used, with negative values as noise was adjusted to zero.
2.2.3. Climate Data
The SPEI characterizes drought conditions by calculating the deviation of the difference between precipitation and potential evapotranspiration from the average state. In this study, we used data from SPEIbase v.2.10 of the Global SPEI database (https://spei.csic.es/database.html, accessed on 20 October 2024), which is based on calculations from the climatic research unit (CRU) dataset at the University of East Anglia. Monthly SPEI values for four timescales (SPEI-03, SPEI-06, SPEI-12, and SPEI-24) were extracted for 2000–2020. SPEI-n represents the cumulative water surplus or deficit over the preceding n months, with different timescales capturing varying wet and dry conditions: SPEI-03 reflects short-term changes, SPEI-06 represents mid-term changes, and SPEI-12 and SPEI-24 indicate long-term changes. Thus, the SPEI at different timescales represents drought accumulation of varying durations. While SPEIbase provides robust and standardized drought indicators, uncertainties may arise from its reliance on precipitation and potential evapotranspiration (PET) data. The CRU dataset, which aggregates global climate data from meteorological stations, may exhibit variability in data quality and resolution, particularly in sparsely monitored regions like Xinjiang. Additionally, PET in SPEI is often calculated using temperature-based methods (e.g., Thornthwaite), which may not fully account for other key factors such as wind speed, solar radiation, and humidity.
2.2.4. NDVI Data
NDVI data were obtained from the National Tibetan Plateau Data Center (https://data.tpdc.ac.cn/, accessed on 20 October 2024) using the China Regional 250m NDVI dataset (2000–2022). NDVI data from 2000 to 2020 were used in this study.
2.3. Research Methods
2.3.1. Trend Analysis
The Mann–Kendall (M-K) trend analysis method was used to estimate the SPEI trend in the Xinjiang region from 2000 to 2020. The significance of the trend was assessed at a significance level of α = 0.05, with the Z-score representing the strength of the trend. A positive Z-value indicates an upward trend, whereas a negative Z-value indicates a downward trend; the larger the absolute value of Z, the more significant the trend. When |Z| exceeded 1.96, the trend was considered statistically significant at a 95% confidence level (Table 2).
Table 2.
Grading of SPEI variation trends.
2.3.2. Calculation Formula and Grade Division of Drought Index
The calculation method for monthly water deficit Di, defined as the difference between precipitation and potential evapotranspiration, is as follows:
where Di represents the water deficit in month i, Pi denotes the precipitation in month i, and PETi denotes the potential evapotranspiration in month i. As the Di data series may contain negative values, it was standardized using a logarithmic normalization function to obtain SPEI values at different timescales. Lower SPEI values indicate more severe drought conditions. Drought intensity is categorized into five levels, ranging from extreme drought to no drought, as follows: no drought (SPEI ≥ −0.5), mild drought (−1.0 ≤ SPEI < −0.5), moderate drought (−1.5 ≤ SPEI < −1.0), severe drought (−2.0 ≤ SPEI < −1.5), and extreme drought (SPEI < −2.0).
2.3.3. Classification of Vegetation Coverage Levels
Vegetation coverage levels were classified into four categories using NDVI, ranging from high vegetation coverage to bare soil. The categories are defined as follows: high vegetation coverage (NDVI > 0.6), moderate vegetation coverage (0.3 < NDVI ≤ 0.6), low vegetation coverage (0.1 < NDVI ≤ 0.3), and bare soil (NDVI ≤ 0.1).
2.3.4. Selection of Drought Periods and Corresponding SPEI Timescales
Drought impacts vary across temporal scales, requiring appropriate SPEI timescales to capture short-term to long-term dynamics. This study selected SPEI-03, SPEI-06, SPEI-12, and SPEI-24 to represent climate drought conditions in Xinjiang over different periods, focusing on cumulative water balance. SPEI-03 reflects short-term drought conditions over three months, capturing rapid changes in water availability during critical growing seasons. SPEI-06 represents intermediate droughts spanning six months, suitable for assessing cumulative seasonal water deficits. SPEI-12 reflects annual drought patterns, aligning with vegetation growth cycles and ecosystem processes. SPEI-24 captures multi-year drought conditions, providing insights into persistent water deficits and their long-term impacts on vegetation in arid and semi-arid regions.
2.3.5. Correlation Analysis
Pearson’s correlation analysis was employed to assess the relationship between vegetation growth and drought, using the maximum correlation coefficient to evaluate the response of vegetation in Xinjiang to climate change in terms of both response magnitude and timing. Correlation analyses were conducted between the SPEI at different timescales (SPEI-03, SPEI-06, SPEI-12, and SPEI-24) and NDVI and GOSIF. The analysis involved resampling all the raster data to a spatial resolution of 0.05°, and the monthly NDVI and GOSIF values were correlated with each SPEI timescale on a pixel-by-pixel basis (NDVI was resampled using a spatial aggregation method based on mean values). The maximum correlation coefficients, Rn for NDVI and RS for GOSIF, were used to quantify the structural and physiological responses of vegetation to climate variability. The highest value, Rmax, represents the maximum response magnitude, with the corresponding NDVI or GOSIF, indicating that the vegetation index was the most responsive to climate change. The associated timescale n is considered as the response time of vegetation photosynthesis to variations in moisture conditions.
2.3.6. Technical Roadmap
The technical roadmap (Figure 2) outlines the structured workflow of this study. It comprises three main stages: data collection and preprocessing, spatiotemporal analysis, and vegetation response to climate change.
Figure 2.
Technical roadmap for research of vegetation responses to climate change.
3. Results
3.1. Spatiotemporal Variation Characteristics of Drought in Xinjiang
3.1.1. Overall Trend Analysis of Drought in the Study Region
This study analyzed the spatial and temporal characteristics of drought in Xinjiang from 2000 to 2020 using SPEI data at 3-, 6-, 12- and 24-month timescales. Long-term trends were assessed using a linear regression model and the Mann–Kendall test. Figure 3 illustrates the SPEI variations in the study region at each timescale. Shorter timescales (e.g., 3 months) exhibit more frequent fluctuations, whereas longer timescales (e.g., 12 and 24 months) display longer and more pronounced oscillation periods. Despite the differences in the fluctuation frequency across timescales, the overall trend remained consistent. SPEI-3 captured the dynamics of short-term droughts, showing the most frequent variability, whereas the 12-month and 24-month timescales represented long-term drought dynamics with more pronounced periodicity. According to the Mann–Kendall test results, all timescales exhibit slope values less than −0.0005, |Z| below 1.96, and p-values above 0.05, indicating that the downward trend is not statistically significant, with a slight overall deterioration in drought severity. A drought event was indicated when the SPEI descended below −0.5. Over the past 20 years, Xinjiang has experienced three severe drought events, with the drought from 2006 to 2010 being the longest and most severe. Since 2016, the extent of drought has eased.
Figure 3.
Temporal variation of SPEI in Xinjiang from 2000 to 2020 (a) Temporal variation of SPEI at a 3-month timescale (SPEI-03). (b) Temporal variation of SPEI at a 6-month timescale (SPEI-06). (c) Temporal variation of SPEI at a 12-month timescale (SPEI-12). (d) Temporal variation of SPEI at a 24-month timescale (SPEI-24). Each panel shows the SPEI data series (blue) and trend line (red). Statistical values, including Z-score, p-value, and slope, are provided for each timescale to indicate the trend significance and direction.
3.1.2. Overall Spatial Distribution of Drought in the Study Region
Based on the drought indices of four different timescales, SPEI-03, SPEI-06, SPEI-12, and SPEI-24, the spatial distribution of drought in Xinjiang from 2000 to 2020 was analyzed across short-term (SPEI-03), medium-term (SPEI-06), and long-term (SPEI-12 and SPEI-24) scales (Figure 4). Overall, the distribution of drought severity was consistent across all four timescales. The most severe drought areas were primarily concentrated in the R4 ecological region, and the minimum value reached −1 for moderate drought. The severity of drought increased with an increase in scale, with the minimum value for SPEI-24 reaching −1.5, indicating severe drought, and the affected area expanded gradually to include the R2 ecological region. On the SPEI-03 scale, the non-drought areas were primarily located in regions R1, R3, and R5. However, as drought severity and spatial extent increased, the non-drought area significantly decreased to approximately half of its original size. Meanwhile, the maximum SPEI value increased from 0.5 at SPEI-03 to 1.0 at SPEI-24, indicating that, although the non-drought area decreased, the level of wetness in these regions increased over longer timescales.
Figure 4.
Spatial distribution of multi-year average SPEI in Xinjiang from 2000 to 2020 across different timescales. (a) Spatial distribution of SPEI at a 3-month timescale (SPEI-03). (b) Spatial distribution of SPEI at a 6-month timescale (SPEI-06). (c) Spatial distribution of SPEI at a 12-month timescale (SPEI-12). (d) Spatial distribution of SPEI at a 24-month timescale (SPEI-24). Red areas indicate drier conditions, whereas blue areas represent wetter conditions.
3.1.3. Trend Analysis of Drought in Different Ecological Regions of Xinjiang
At the 3-month SPEI timescale, the MK test results across the ecological zones of Xinjiang were generally consistent, with all zones showing a slight increase in drought severity, except for R3, which remained relatively stable. The trends for SPEI-6 and SPEI-12 were similar, although R1 and R2 shifted from a slight to a significant increase in drought severity compared with SPEI-3, indicating a transition from short- to long-term drought in parts of northern Xinjiang. Conversely, the 12- and 24-month SPEI timescales revealed more pronounced differences in the drought trends. At these longer timescales, the drought severity in the northern R1 and R2 zones further intensified, with R2 reaching a Z-value of −5.51 at the 24-month scale, indicating an extremely significant long-term drought trend in this area. Simultaneously, the R3 zone shifted from stability to a slight increase in drought severity, suggesting that this zone was primarily affected by long-term climatic drought, whereas the R5 zone transitioned from a slight increase to relative stability, showing signs of drought alleviation (Table 3). Overall, the SPEI analysis across different timescales revealed the spatiotemporal characteristics of drought in the ecological zones of Xinjiang. Particularly, Northern Xinjiang exhibited significant mid- to long-term drought intensification, whereas the southern ecological zones generally showed a slight increase in drought severity. Notably, the R5 zone showed indications of drought relief at the SPEI-24 timescale.
Table 3.
Trend analysis of SPEI in different ecological regions.
3.2. Spatiotemporal Variation Characteristics of Vegetation in Xinjiang
3.2.1. Spatiotemporal Variation Analysis of Vegetation NDVI and SIF
Using NDVI and SIF data from 2000 to 2020, the mean values of NDVI and SIF over the past 20 years were calculated (with all negative values set to zero during processing). This analysis produced interannual variation (Figure 5) and spatial distribution (Figure 6) maps for the multiyear average NDVI and SIF, where NDVI represented vegetation structural conditions, and SIF reflected vegetation physiological conditions.
Figure 5.
Inter-annual variation analysis of vegetation NDVI and SIF. (a) Annual mean NDVI with trend line and confidence interval. The trend line (red) represents the linear trend, with the equation y = 0.0012x + 0.1276y = 0.0012x + 0.1276y = 0.0012x + 0.1276 and a correlation coefficient of 0.8929. (b) Annual mean SIF with trend line and confidence interval. The trend line (red) shows the linear trend, with the equation y = 0.0005x + 0.0741y = 0.0005x + 0.0741y = 0.0005x + 0.0741 and a correlation coefficient of 0.7521. Blue triangles represent observed data, and the shaded area indicates the confidence interval around the trend line.
Figure 6.
Spatial distribution of mean NDVI and SIF in Xinjiang from 2000 to 2020. (a) Spatial distribution of mean NDVI, representing vegetation structural conditions across Xinjiang. The color bar indicates NDVI values, with yellow to dark green representing increasing vegetation coverage from 0.0 to 1.0. (b) Spatial distribution of mean SIF, indicating vegetation physiological activity levels. The color bar reflects SIF values, ranging from 0.00 to 0.20 W·m−2·μm−1·sr−1, with dark green areas showing higher fluorescence.
The interannual time series of the NDVI in Xinjiang revealed an upward trend in the annual mean NDVI, which was largely consistent with the trend observed in the SIF time series. During the study period, the highest and lowest annual mean NDVI values were recorded in 2017 (0.1534) and 2001 (0.1272), respectively. Meanwhile, the mean SIF value increased from 0.0770 in 2000 to 0.0827 W·m−2·μm−1·sr−1 in 2020. It reached a peak of 0.0859 in 2016 and a minimum of 0.0734 in 2010. The average NDVI was 0.140, while the average SIF was 0.0792 W·m−2·μm−1·sr−1 over the study period. Drought events were identified for NDVI during 2007–2011 and 2012–2016. In contrast, SIF experienced three periods of decline: 2002–2007, 2009–2013, and 2013–2016. These periods aligned closely with the timing of the drought events identified by SPEI-12 and SPEI-24, suggesting that vegetation growth was affected by drought conditions. Furthermore, the intervals of the minimum values in NDVI and SIF were nearly identical, with SIF showing more frequent extremes than NDVI. The years in which SIF displayed minimum values coincided more closely with the drought events identified by the SPEI, indicating that SIF was more sensitive to drought than NDVI.
From the spatial distribution across Xinjiang (Figure 6), areas with high vegetation coverage (NDVI > 0.6) occupied the smallest proportion, mainly in ecological regions R1 and R3, accounting for only 1.21% of the total area of Xinjiang. Moderate coverage zones (NDVI 0.3–0.6) are primarily concentrated in R1 and R2 and extend into R2 and R5, with a few on the edges of the R4 desert region, comprising 10.96% of the area of Xinjiang. Low coverage areas (NDVI 0.1–0.3) represent 23.46% of the total area and are the most common vegetation type. The bare soil regions (NDVI < 0.1) constituted 52.69% of the total area of Xinjiang. These figures indicate that, besides vast bare soil areas, most vegetation in Xinjiang remains in a low-coverage state over the long term. The spatial distribution of SIF was generally similar to that of NDVI. Low SIF areas (0.00–0.05) were the most widespread, present across all ecological regions. Slightly lower SIF areas (0.05–0.10) were concentrated in northern Xinjiang. Similar to the moderate SIF areas (0.10–0.15), their distribution was relatively scattered, though the former was more concentrated in the R1. Higher SIF areas (0.15–0.20) and very high SIF areas (>0.20) were the least represented, mainly located in R3. This distribution pattern reflects functional differences in vegetation across ecological regions, where R1 and R3 exhibited higher vegetation productivity, as indicated by elevated NDVI and SIF values, whereas R4 and R5 were characterized by sparse vegetation with lower productivity and photosynthetic activity. These findings suggest that the northern ecological regions of Xinjiang are more favorable for vegetation growth and photosynthesis, whereas the southern regions are dominated by deserts and low-coverage vegetation with weaker ecological functionality.
3.2.2. Analysis of Multi-Year Trend Change of Vegetation Based on Pixel
The trend changes and spatial distribution of the annual mean NDVI and SIF provide an overall view of the vegetation conditions in Xinjiang. To gain deeper insight, a long-term trend analysis was conducted on the monthly NDVI and SIF data from 2000 to 2020 at the pixel level by calculating the correlation coefficient for each pixel. Figure 7 illustrates the distribution of the correlation coefficients for the NDVI and SIF (with numerous invalid SIF values, mainly in the desert areas of southern Xinjiang). The results showed that 92.65% of the NDVI correlation coefficients were positive, indicating an upward trend in most areas across Xinjiang, which is consistent with the inter-annual variation in the annual mean NDVI. The regions with negative NDVI correlation coefficients were primarily located in northern Xinjiang, aligning with the downward trend observed in the SPEI of the ecological region. For SIF, 74.66% of the correlation coefficient regions were positive, whereas negative regions were more pronounced in the R3 ecological zone, further supporting the observation that SIF was more sensitive to drought than NDVI. The decline in SIF within R3, in contrast to the overall upward trend in the study area, suggests that areas with high vegetation coverage in Xinjiang are more severely affected by drought, whereas drought conditions in the overall region have shown relative alleviation.
Figure 7.
Spatial distribution of correlation coefficients for NDVI and SIF from 2000 to 2020 in Xinjiang. (a) Spatial distribution of the correlation coefficient between NDVI and SPEI across pixels over the study period. (b) Spatial distribution of the correlation coefficient between SIF and SPEI across pixels over the study period. The color scale represents correlation values from −1 to 1, where blue areas indicate a strong positive correlation and red areas indicate a strong negative correlation. The inset bar chart shows the proportion of pixels with positive and negative correlation trends.
3.2.3. Spatiotemporal Distribution Characteristics of Natural Forest Grasslands in Xinjiang
The distribution of natural forests and grasslands in Xinjiang was extracted based on land cover data from 2000 to 2020 (Figure 8a). The results showed that natural forests and grasslands were primarily located in ecological regions R1, R3, and R5. Forest areas occupied the smallest proportion (1.25%) and were mainly concentrated in the mountainous regions of R1 and R3. Grasslands, which cover the largest area, were classified into three categories based on coverage. High-coverage grasslands (>50%) account for 22.51% of the total and are mainly located in the R1 and R3 regions, where moisture availability is relatively high. Medium-coverage grasslands (20–50%) cover 22.46% of the area and are more widely distributed, although with less favorable moisture conditions. Low-coverage grasslands (5–20%) occupy the largest area, covering nearly half of the grasslands of Xinjiang. Due to prolonged moisture deficits, low-coverage grasslands exhibit sparse vegetation structures. Figure 8b illustrates the changes in the spatial distribution of natural forests and grasslands in Xinjiang between 2000 and 2020. The results indicated minimal change in the overall forest and grassland areas, with an increase of 25.77% and a decrease of 24.97%, suggesting a slight net expansion (25.77% > 24.97%). Spatially, the vegetation increase was notably higher than the decrease in the R1 and R5 regions, whereas in the R2 and R4 regions, the decrease outpaced the increase. The vegetation cover in R3 remained relatively stable.
Figure 8.
Spatial distribution and changes in vegetation types from 2000 to 2020 in Xinjiang. (a) Spatial distribution of vegetation types, including forest, high-coverage grassland (HCG), moderate-coverage grassland (MCG), and low-coverage grassland (LCG). (b) Spatial distribution of vegetation change over the study period, identifying common, increased, and decreased areas. The bar chart inserted shows the percentage of each type.
Temporal trend analysis indicated differing change patterns in the NDVI and SIF values for natural forests and grasslands. As shown in Figure 9, the regression analysis for NDVI revealed a strong upward trend, particularly in forested areas. Conversely, the SIF values for forests exhibited a slight decline, whereas grasslands showed a modest increase. Throughout the study period, the NDVI and SIF values for grasslands remained consistently lower than those for forests, suggesting both consistency and divergence between NDVI and SIF in reflecting vegetation conditions.
Figure 9.
Trends in NDVI and SIF for grassland and forested areas (2000–2020). For forest areas, NDVI shows a statistically significant increasing trend (y = 0.0017x + 0.5584, Corr. = 0.569), whereas SIF displays a slight decreasing trend (y = −0.0004x + 0.1943, Corr. = −0.2389). For grassland areas, NDVI exhibits a positive trend (y = 0.0017x + 0.194, Corr. = 0.8019), with a minimal increase in SIF (y = 0.0001x + 0.0779, Corr. = 0.0712). The shaded regions indicate the confidence intervals for each regression line.
3.3. Response of Vegetation to Drought in Xinjiang
3.3.1. Spatial Distribution of Vegetation Condition Response to Climate Change in Xinjiang
The maximum correlation coefficients (Rmax) quantify the sensitivity of vegetation indices to climate variability across various SPEI timescales, with the corresponding timescale reflecting the drought tolerance of vegetation. Details on the calculation of Rmax are provided in Section 2.3.5. A higher correlation between vegetation growth conditions and a shorter timescale SPEI indicates a faster drought response, whereas a higher correlation with a longer timescale SPEI suggests a slower response, implying greater drought resistance. As shown in Figure 10, the NDVI and SPEI exhibited a negative correlation across much of Xinjiang, covering approximately 61% of the study area. This negative correlation was strongest in southern Xinjiang (south of the Tianshan Mountains), particularly in the R4 and R5 ecological regions, where Rmax values ranged between −0.327 and −0.2. Conversely, a strong positive correlation was observed in northern and eastern Xinjiang, with over 90% of the R1 and R2 ecological regions showing a positive correlation and Rmax values of approximately 0.5, indicating a more responsive vegetation response to climate or environmental conditions in these areas. The SIF correlation map shows that most areas exhibit a positive correlation, accounting for approximately 86% of the study region. Positive correlations were particularly prevalent in R1 and R3, where more than 90% of the area showed a positive correlation, with Rmax values ranging from 0.3 to 0.7. This indicated a positive response of vegetation photosynthetic activity to climate variability in these regions. A notable spatial difference was observed between the NDVI and SIF distributions, especially in the southern areas, where NDVI showed a stronger negative correlation with SPEI, whereas SIF displayed a weaker negative or even localized positive correlation. This pattern suggests that the vegetation in these regions, despite showing poorer structural indicators (NDVI), maintains a relatively high photosynthetic efficiency (SIF), further indicating the drought resilience of vegetation in arid areas.
Figure 10.
Spatial distribution of maximum correlation coefficients (Rmax) between vegetation indices and SPEI in Xinjiang. (a) The spatial distribution of the maximum correlation coefficients (Rmax) between NDVI and SPEI across Xinjiang, with values ranging from −0.372 to 0.745, indicating varying vegetation responses to climatic changes in different ecological regions. (b) The spatial distribution of the maximum correlation coefficients (Rmax) between SIF and SPEI, with values from −0.8 to 0.9. This figure highlights the spatial variation in vegetation sensitivity to drought stress across different regions.
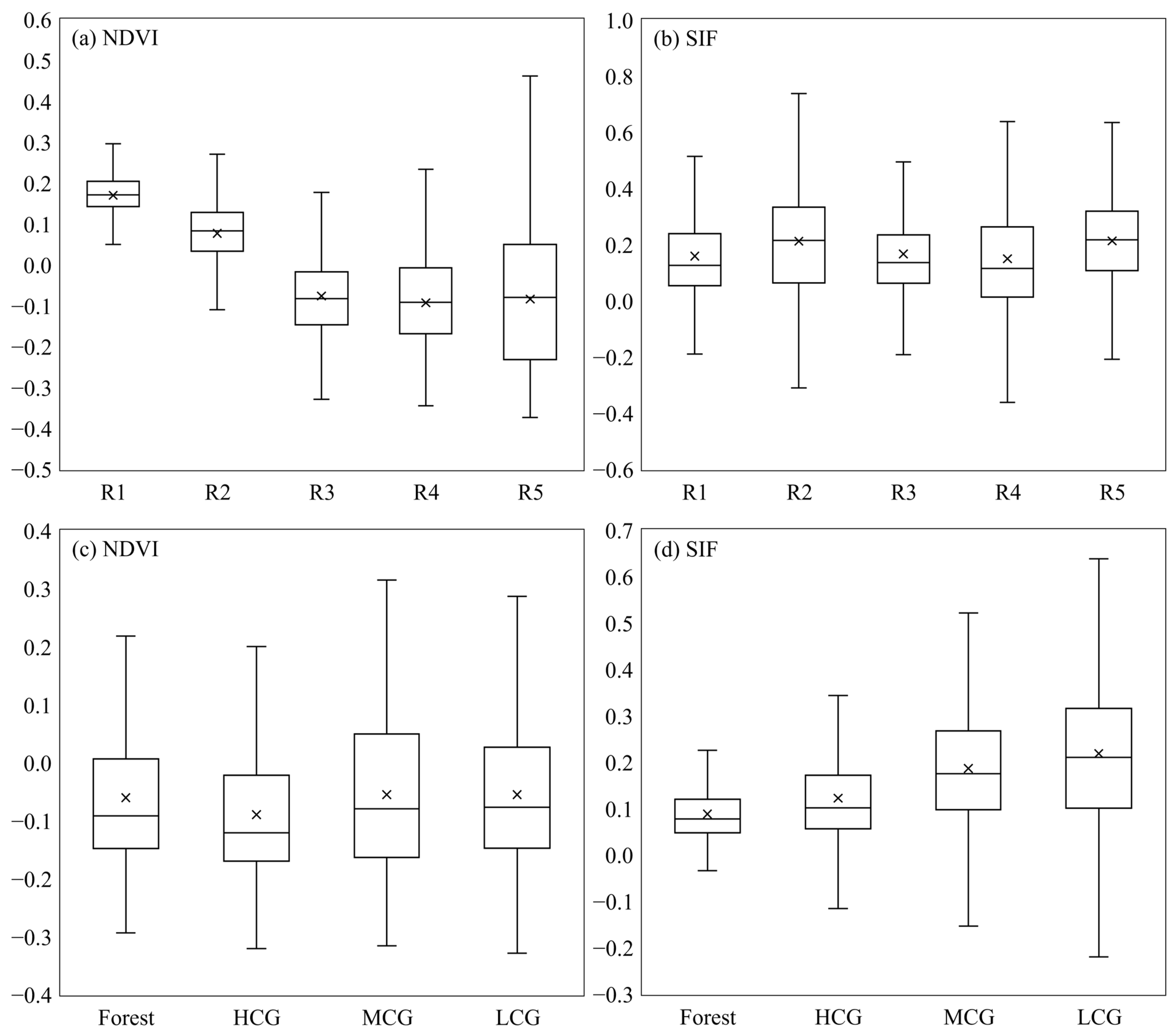
The correlation between the vegetation indices and SPEI varied across different ecological regions and vegetation types (Figure 11). The R1 ecological region showed the highest overall NDVI–SPEI correlation, with positive correlations in >99% of the area. In contrast, the NDVI–SPEI correlation in the R2 region was generally weak. The remaining three ecological regions (R3, R4, and R5) showed similar NDVI responses to the SPEI, with negative correlations covering 80%, 77%, and 61% of their areas, respectively. The R5 region exhibited the greatest variability in correlation coefficients, ranging from a maximum of 0.5 to a minimum of −0.3. For SIF-SPEI correlations, most regions demonstrated a positive relationship, with overall correlations slightly higher than those observed for NDVI-SPEI, although not particularly strong. The R2 and R4 regions displayed the largest variation in SIF-SPEI correlations, with maximum values of 0.7 and 0.6, respectively. These results further suggest that vegetation in northern Xinjiang responds more sensitively to SPEI than that in southern Xinjiang, with physiological responses (SIF) being more sensitive than structural responses (NDVI).
Figure 11.
Maximum correlation coefficients between vegetation indices and SPEI. Box plots depict the distribution of maximum correlation coefficients (Rmax) between NDVI and SIF with SPEI, separated by ecological regions (R1–R5) and vegetation types (Forest, HCG, MCG, and LCG). (a) shows NDVI correlations across ecological regions, whereas (b) displays SIF correlations. (c,d) present NDVI and SIF correlations, respectively, by vegetation type.
The NDVI-SPEI correlation coefficients for natural forests and grasslands in Xinjiang were mostly negative, with 71.6% of the area showing a negative correlation. Among the different vegetation types, moderate-coverage grasslands exhibited the highest correlation coefficient of approximately 0.3. This indicates that using solely NDVI to represent vegetation conditions in Xinjiang is insufficient, as vegetation may also be influenced by other environmental factors, and the vegetation structure (NDVI) in arid regions may not directly reflect vegetation health. In terms of the vegetation response to climate change, as indicated by the SIF, the SIF-SPEI correlation coefficients for natural forests and grasslands were generally higher than those of the NDVI-SPEI, with 92.7% of the area displaying positive correlations. Low-coverage natural grasslands showed the highest SIF-SPEI correlation (up to 0.6), whereas natural forests showed the lowest. This suggests that the physiological responses of vegetation to climate change are more pronounced than the structural responses. The presence of negative correlations further implies that vegetation is influenced by factors other than droughts.
3.3.2. Spatial Distribution of Vegetation Condition Response Times to Climate Change in Xinjiang
The response times of vegetation conditions to climate change (different SPEI timescales) exhibited significant spatial variation in Xinjiang (Figure 12). The shorter the timescale corresponding to the highest correlation coefficient between the vegetation indices and SPEI, the faster the vegetation response to drought stress. Conversely, a longer timescale indicates a slower response, suggesting stronger drought tolerance. For NDVI, 54.4% of the region showed a strong correlation with SPEI03, representing the broadest spatial distribution across the study area, which was primarily concentrated in southwestern Xinjiang. Only 0.6% of the region responded strongly to the mid-term climate change. In 21.3% of the area, the NDVI was significantly correlated with SPEI12, mainly in northern Xinjiang and the western Ili region (ecological regions R1, R2, and R3). Additionally, 23.7% of the region showed a strong correlation between NDVI and SPEI24, primarily in the eastern areas. This indicates that the vegetation in Xinjiang is influenced by both short- and long-term climate change. The timescale distribution of the SIF response to SPEI revealed that 39.1% of the region exhibited a strong correlation with SPEI12. According to the available SIF data, vegetation in northern Xinjiang is mainly affected by long-term climate change, which is closely aligned with the pattern observed for NDVI.
Figure 12.
Spatial distribution of the SPEI time scales corresponding to the maximum correlation coefficients between vegetation conditions represented by NDVI (a) and SIF (b) and SPEI. (a) NDVI and (b) SIF are shown with SPEI03, SPEI06, SPEI12, and SPEI24, representing the dominant timescales of vegetation response to drought. This figure illustrates the temporal dynamics of vegetation response to drought stress.
Figure 10 and Figure 12 complement each other by providing spatial and temporal perspectives on vegetation responses to drought. Figure 10 emphasizes spatial sensitivity, while Figure 12 highlights temporal dynamics, offering a more comprehensive understanding.
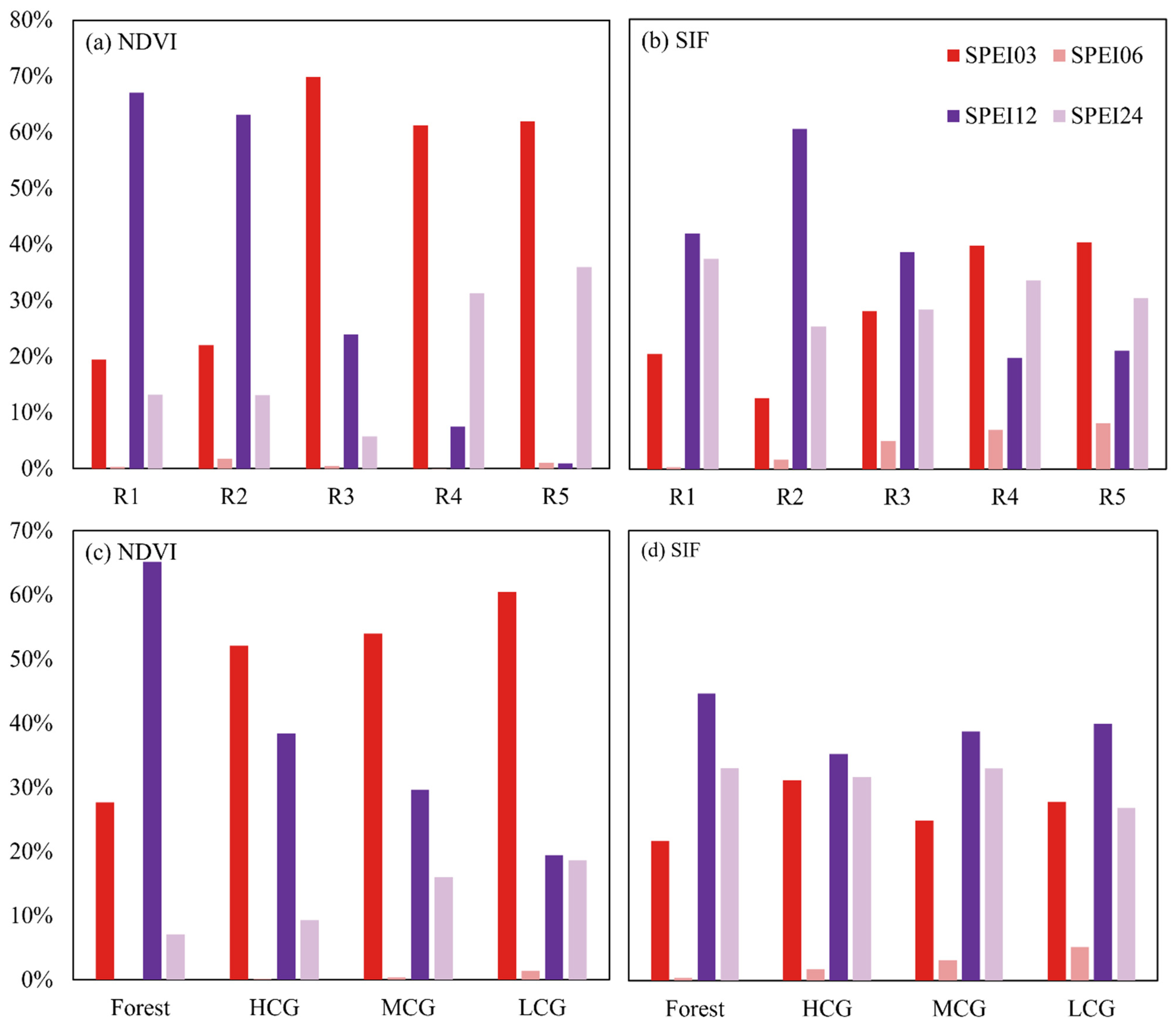
The timescale of vegetation response to climate change varies significantly across different ecological regions and vegetation types (Figure 13). Based on NDVI analysis, the response times of vegetation growth to climate change were similar in the R3, R4, and R5 ecological zones. In R3, the largest proportion of the NDVI response was to SPEI03 (69.8%), whereas R4 and R5 exhibited greater response areas to SPEI24 than R3, accounting for 31.3% and 36.0%, respectively. For all five ecological zones, the proportion of NDVI responses to SPEI12 decreased sequentially, with the highest percentages occurring in R1 and R2 (67.0% and 63.1%, respectively). This suggests that vegetation in the R1 and R2 regions of northern Xinjiang exhibited the highest drought tolerance, followed by southern R4 and R5 regions, with central R3 displaying the lowest tolerance. Among the vegetation types, low-coverage natural grasslands had the longest response times to climate change, with the largest proportion of NDVI responses associated with SPEI24 (18.63%). Natural forests showed the smallest response to SPEI24; however, they had a high response to SPEI12, covering 65.2% of the area. For natural grasslands, the lower the coverage, the greater the proportion of the NDVI response to SPEI03, whereas the response to SPEI12 was smaller. This indicated that as grassland coverage decreased, drought tolerance weakened. A contrasting trend was observed between the SPEI24 and SPEI12 response proportions, indicating that prolonged interannual climate change adversely affected low-coverage grasslands. Additionally, regions with high drought tolerance (with a large SPEI12 response area) had far smaller SPEI24 response areas than those responding to SPEI12, suggesting that even highly drought-tolerant vegetation is affected by long-term interannual climate variability.
Figure 13.
Area proportion of SPEI time scales corresponding to maximum correlation coefficients between vegetation indices and SPEI across different ecological regions and vegetation types. (a) displays NDVI correlations by region, whereas (b) shows SIF correlations by region. (c,d) present NDVI and SIF correlations, respectively, by vegetation type.
Based on the analysis of vegetation conditions represented by SIF, the overall proportion of areas where SIF responded to SPEI03 was notably smaller than that of NDVI, probably due to the lack of valid SIF data in parts of southern Xinjiang. However, in ecological zones R1, R2, and R3, the response time of vegetation to climate change appeared to extend, particularly with a higher overall proportion of SIF responses to SPEI24 compared to NDVI. This suggests that vegetation exhibits stronger drought tolerance at the physiological level. The response time distribution of natural forests and grasslands to climate change was nearly uniform, with the largest area proportion associated with SPEI12, followed by SPEI24, and the smallest with SPEI06. Compared with NDVI, the proportion of SIF responses to SPEI03 was significantly reduced, shifting from the varied response times seen in NDVI to a more similar distribution for SIF. This indicates that while different vegetation types show temporal differences in surface responses to climate change, their physiological response times are relatively consistent. For example, although natural forests structurally demonstrate a higher drought tolerance than natural grasslands, their physiological response times are nearly identical.
4. Discussion
This study systematically analyzed the spatial and temporal dynamics of drought and vegetation responses in Xinjiang from 2000 to 2020, highlighting the ecological challenges faced by this region under global climate change. The SPEI-based climate drought analysis indicated a slight overall intensification of drought across Xinjiang, with the northern R1 and R2 ecological zones experiencing a notable shift from short-term to prolonged drought. In comparison, zones R3 and R4 showed moderate increases in long-term drought, whereas the southern R5 region remained relatively stable in long-term drought patterns. These findings align with those of Yang et al. [37] which observed increasing temperature and precipitation trends at most meteorological stations across Xinjiang from 1980 to 2020, which were particularly pronounced with rising spring temperatures and winter precipitation. In recent years, Xinjiang has experienced several extreme precipitation events [38]. However, despite the increased precipitation, higher temperatures have intensified evaporation, diminishing the water supplementation provided by rainfall. This effect likely drives the intensification of long-term drought trends (as indicated by SPEI-12 and SPEI-24), reflecting cumulative water deficits. This pattern of intensified drought is closely linked to rising vapor pressure deficit (VPD), which increases transpiration rates and reduces stomatal conductance, exacerbating plant water stress [39]. This effect is particularly pronounced in water-limited regions like Xinjiang, further amplifying the adverse impacts on plant physiological activity.
In terms of vegetation conditions, both NDVI and SIF generally showed an upward trend, indicating gradual vegetation recovery in Xinjiang against the backdrop of global climate change. However, in densely vegetated areas within certain northern ecological zones (such as R1, R2, and R3), NDVI and SIF exhibited downward trends, likely due to elevated temperatures offsetting precipitation gains, which intensified soil moisture evaporation and inhibited photosynthesis [40]. From the trends observed in NDVI for forested areas (Figure 9), forests in Xinjiang have shown a significant increase in NDVI from 2000 to 2020, likely indicating forest expansion. This trend may primarily result from increased precipitation and higher temperatures creating favorable conditions for forest growth [41]. However, the slight decline in SIF suggests that photosynthetic efficiency might be constrained by environmental stressors, such as drought or heat [27]. This highlights the complex relationship between structural improvement and physiological stress in forests. In other words, this phenomenon may result from the inadequate adaptive adjustment of vegetation to climate change, leading to decreased vegetation activity in some areas.
The differences in the responses of NDVI and SIF reflect their distinct ecological significance. NDVI, derived from the reflectance characteristics of vegetation in the red and near-infrared wavelengths, effectively represents canopy structural attributes and their changes. However, its response to environmental stresses, such as drought, tends to lag behind physiological adjustments. In contrast, SIF, as a fluorescence signal emitted during photosynthesis, directly reflects photosynthetic efficiency and physiological activity, making it more sensitive to changes caused by water or heat stress. For instance, under drought conditions, NDVI may still indicate stable canopy greenness, while SIF rapidly detects declines in photosynthetic activity. Wu et al. [42] observed that in a semi-arid grassland, SIF and GPP exhibited a strong correlation during drought conditions (R2 = 0.79), with SIF variations predominantly driven by physiological regulation, increasing from 19.29% during wet periods to 60.23% during drought. These findings highlight SIF as a sensitive indicator of the physiological impacts of drought on vegetation, complementing structural indices like NDVI to provide a more comprehensive understanding of vegetation responses to climate change. In arid and semiarid ecosystems, water stress is the primary factor influencing vegetation growth. However, studies have suggested that vegetation in drought areas may adopt various strategies to adapt to environmental pressures, which may not always result in clear stress signals in remote sensing indices [43,44]. Therefore, the overall upward trends in NDVI and SIF can be interpreted as evidence that vegetation adapts to climate change through physiological mechanisms. Conversely, the decreasing trends observed in certain densely vegetated areas of northern Xinjiang probably reflect the ecological impact of increased water stress in these regions.
Significant differences exist in the responses of vegetation to climate change across the different ecological zones. The vegetation in northern Xinjiang showed a slightly higher sensitivity to climate change than that in southern Xinjiang, with physiological responses (e.g., photosynthetic activity as reflected by SIF) being more pronounced than structural responses (e.g., vegetation cover changes indicated by NDVI). Natural grasslands respond more strongly to climate change than forest areas. The relatively warmer and more humid climate in northern Xinjiang likely contributed to its heightened sensitivity to climate variability. In regions with water deficit, the sensitivity of vegetation to drought tended to decrease [45]. The response of vegetation to climate change inherently involves a degree of lag; physiological responses, such as adjustments in photosynthetic rate and water-use efficiency, can react quickly to environmental changes, whereas structural changes often require a longer timescale. Thus, SIF, which is closely related to photosynthetic activity, may respond more rapidly to environmental stresses, such as water or heat stress [46,47,48]. Grassland plants typically have shorter growth cycles and higher growth rates, enabling them to rapidly adjust their physiological processes in response to climate change. This rapid adaptability allows grasslands to sustain their growth under fluctuations in precipitation and temperature. Contrarily, forest vegetation with longer growth cycles generally exhibits structural changes that lag behind physiological responses.
In terms of response times, certain northern ecological zones (R1, R2, and R3) in Xinjiang were primarily influenced by long-term climate variability (SPEI-12), whereas the southwestern areas of the southern ecological zones (R4 and R5) were mainly affected by short-term climate change (SPEI-3). Natural forests are more responsive to long-term climate changes, whereas natural grasslands are more sensitive to short-term climatic fluctuations, reflecting their distinct adaptation strategies at different timescales. Studies indicate that plants adapt to water availability at different timescales, with short-term adjustments relying on stomatal regulation to maintain water balance and medium-term adaptations involving reductions in photosynthetic activity [40,49], which is particularly crucial in water-limited conditions.
In the long term, plants respond to sustained water stress through deeper root development and growth strategy adjustments, such as growth dormancy. Vegetation response mechanisms to climate change vary by region owing to differing climate characteristics and vegetation types across geographic zones. Natural forests are mainly distributed in northern Xinjiang, with natural grasslands being more prevalent in the north than in the south. In water-limited environments, extensive root systems may reach deeper soil layers to access additional moisture, with deep-soil moisture responding more slowly to precipitation changes, thereby alleviating the effects of water stress on plant growth. In contrast, shallow soil moisture reacts more quickly to precipitation and temperature changes, playing a critical role in vegetation’s short-term drought responses. High temperatures increase evaporation rates, rapidly depleting shallow soil moisture and intensifying water stress during dry periods [50]. These dynamics underscore the importance of considering both shallow and deep soil moisture in evaluating vegetation resilience to climate variability.
Conversely, the arid climate and uneven rainfall distribution in southern Xinjiang, particularly during sudden changes in precipitation, necessitate rapid vegetation adaptation to shifting climate conditions. This difference is further shaped by biological traits: forest vegetation, with its slower growth rate, tends to exhibit delayed adaptation responses to environmental changes, whereas grassland plants, owing to their shorter life cycles and faster growth rates, can respond more rapidly to climate fluctuations. Vegetation cover directly affects resilience and recovery capacity in response to environmental changes. Areas with lower vegetation cover are more vulnerable to climate variability, which can lead to soil erosion, drought, and ecological degradation.
This study provides valuable insights into the ecological responses of vegetation in Xinjiang to climate change. However, a detailed analysis of these influencing factors was not conducted. In the context of ongoing global climate change, understanding the vegetation in arid and semi-arid regions, such as Xinjiang, remains a crucial area of research. Future studies should explore integrating SIF with other physiological indicators, such as leaf chlorophyll content (LCC), to enhance drought monitoring and vegetation assessments. Combining SIF and LCC has shown potential for improving the estimation of gross primary production (GPP) and understanding photosystem-level dynamics under environmental stress [51]. Leveraging far-red SIF observations (FRSIFobs) alongside LCC can improve the accuracy of total red SIF (RSIFtotal) derivation and better capture the physiological responses of vegetation to stress. However, challenges remain in scaling and data integration for broader ecosystem applications. Future studies should focus on more refined ecological indicators and response mechanisms to further explore vegetation adaptive strategies and ecosystem resilience across ecological zones.
5. Conclusions
This study revealed trends in climatic drought and vegetation response characteristics in Xinjiang from 2000 to 2020. Overall, climate drought in Xinjiang showed a slightly worsening trend, especially in the northern R1 and R2 ecological zones, where short-term droughts slightly intensified and long-term droughts significantly increased, suggesting a shift from short- to long-term drought conditions. Conversely, the southern R4 and R5 zones exhibited relatively stable drought conditions, with some alleviation of long-term drought in R5. However, this zone showed considerable interannual climate variability, resulting in some uncertainty in long-term trends.
In terms of the vegetation response, while the overall NDVI and SIF trends increased, declines were observed in certain densely vegetated zones (such as R1, R2, and R3), suggesting the influence of water stress in these areas. Vegetation responses to climate change vary significantly across regions, with physiological responses in northern Xinjiang being notably stronger than those in the south and physiological responses showing greater sensitivity than structural responses. Zones R1, R2, and R3 in northern Xinjiang were mainly affected by long-term climate change, whereas zones R4 and R5 in southern Xinjiang were more responsive to short-term climate variation. Natural grasslands showed a stronger response to climate change than forests, with structurally greater impacts observed in areas with lower vegetation cover.
Author Contributions
Conceptualization, J.H. and J.F.; methodology, J.H.; software, J.H.; validation, J.H., J.F., Z.L. and S.L.; formal analysis, J.H.; investigation, J.H.; resources, J.F.; data curation, J.H.; writing—original draft preparation, J.H.; writing—review and editing, J.H. and J.F.; visualization, J.H.; supervision, J.F. and S.L.; project administration, J.F.; funding acquisition, J.F. All authors have read and agreed to the published version of the manuscript.
Funding
This research was funded by the Key Research and Development Program of Xinjiang Uygur Autonomous Region, China (2022B03030), and the Third Comprehensive Scientific Expedition to Xinjiang Project (2021xjkk0305).
Data Availability Statement
The data presented in this study are openly available in publicly accessible repositories as follows: Natural Grassland Data: China Multi-Period Land Use Remote Sensing Monitoring Dataset (CNLUCC), available at https://www.resdc.cn/ (accessed on 20 October 2024). Natural Forest Data: Sourced from the GUO-LAB Digital Ecosystem Group, accessible at https://www.3decology.org/ (accessed on 20 October 2024). SIF Data: Global OCO-2 Sun-Induced Fluorescence (GOSIF) dataset, provided by the Earth Systems Research Center, University of New Hampshire, available at http://data.globalecology.unh.edu/data/GOSIF_v2/ (accessed on 20 October 2024). SPEI Data: SPEIbase v2.10, accessible at https://spei.csic.es/database.html (accessed on 20 October 2024). NDVI Data: China Regional 250 m Normalized Difference Vegetation Index (NDVI) Dataset (2000–2023), available at https://data.tpdc.ac.cn/ (accessed on 20 October 2024).
Conflicts of Interest
The authors declare no conflicts of interest.
References
- Ciais, P.; Reichstein, M.; Viovy, N.; Granier, A.; Ogée, J.; Allard, V.; Aubinet, M.; Buchmann, N.; Bernhofer, C.; Carrara, A. Europe-Wide Reduction in Primary Productivity Caused by the Heat and Drought in 2003. Nature 2005, 437, 529–533. [Google Scholar] [CrossRef]
- Jolly, W.M.; Dobbertin, M.; Zimmermann, N.E.; Reichstein, M. Divergent Vegetation Growth Responses to the 2003 Heat Wave in the Swiss Alps. Geophys. Res. Lett. 2005, 32, 2005GL023252. [Google Scholar] [CrossRef]
- Zhao, M.; Running, S.W. Drought-Induced Reduction in Global Terrestrial Net Primary Production from 2000 through 2009. Science 2010, 329, 940–943. [Google Scholar] [CrossRef] [PubMed]
- Yuan, W.; Cai, W.; Chen, Y.; Liu, S.; Dong, W.; Zhang, H.; Yu, G.; Chen, Z.; He, H.; Guo, W.; et al. Severe Summer Heatwave and Drought Strongly Reduced Carbon Uptake in Southern China. Sci. Rep. 2016, 6, 18813. [Google Scholar] [CrossRef]
- Schuldt, B.; Buras, A.; Arend, M.; Vitasse, Y.; Beierkuhnlein, C.; Damm, A.; Gharun, M.; Grams, T.E.E.; Hauck, M.; Hajek, P.; et al. A First Assessment of the Impact of the Extreme 2018 Summer Drought on Central European Forests. Basic Appl. Ecol. 2020, 45, 86–103. [Google Scholar] [CrossRef]
- Zou, X.-Y.; Peng, X.-Y.; Zhao, X.-X.; Chang, C.-P. The Impact of Extreme Weather Events on Water Quality: International Evidence. Nat. Hazards 2023, 115, 1–21. [Google Scholar] [CrossRef]
- Li, M.; Han, Y.; Zhao, H.; Wang, Y. Analysis on Spatial-Temporal Variation Characteristics and Driving Factors of Fractional Vegetation Cover in Ningxia Based on Geographical Detector. Ecol. Environ. 2022, 31, 1317. [Google Scholar] [CrossRef]
- Winsemius, H.C.; Jongman, B.; Veldkamp, T.I.; Hallegatte, S.; Bangalore, M.; Ward, P.J. Disaster Risk, Climate Change, and Poverty: Assessing the Global Exposure of Poor People to Floods and Droughts. Environ. Dev. Econ. 2018, 23, 328–348. [Google Scholar] [CrossRef]
- Xu, C.; McDowell, N.G.; Fisher, R.A.; Wei, L.; Sevanto, S.; Christoffersen, B.O.; Weng, E.; Middleton, R.S. Increasing Impacts of Extreme Droughts on Vegetation Productivity under Climate Change. Nat. Clim. Chang. 2019, 9, 948–953. [Google Scholar] [CrossRef]
- Zhang, C.; Ren, Y.; Cao, L.; Wu, J.; Zhang, S.; Hu, C.; Zhujie, S. Characteristics of Dry-Wet Climate Change in China during the Past 60 Years and Its Trends Projection. Atmosphere 2022, 13, 275. [Google Scholar] [CrossRef]
- Yu, J.; Zhang, J.; Zhang, M.; Yu, R. SAPEI-Based Spatial and Temporal Variation Characteristics of Drought in Xinjiang. Agric. Res. Arid. Areas 2023, 41, 275–288. [Google Scholar]
- Yang, S.Y.; Meng, D.; Li, X.J.; Wu, X.L. Multi-Scale Responses of Vegetation Changes Relative to the SPEI Meteorological Drought Index in North China in 2001–2014. Acta Ecol. Sin. 2018, 38, 1028–1039. [Google Scholar]
- Thi, N.Q.; Govind, A.; Le, M.-H.; Linh, N.T.; Anh, T.T.M.; Hai, N.K.; Ha, T.V. Spatiotemporal Characterization of Droughts and Vegetation Response in Northwest Africa from 1981 to 2020. Egypt. J. Remote Sens. Space Sci. 2023, 26, 393–401. [Google Scholar] [CrossRef]
- Hao, H.; Yao, J.; Chen, Y.; Xu, J.; Li, Z.; Duan, W.; Ismail, S.; Wang, G. Ecological Transitions in Xinjiang, China: Unraveling the Impact of Climate Change on Vegetation Dynamics (1990–2020). J. Geogr. Sci. 2024, 34, 1039–1064. [Google Scholar] [CrossRef]
- Xue, J.; Wang, Y.; Teng, H.; Wang, N.; Li, D.; Peng, J.; Biswas, A.; Shi, Z. Dynamics of Vegetation Greenness and Its Response to Climate Change in Xinjiang over the Past Two Decades. Remote Sens. 2021, 13, 4063. [Google Scholar] [CrossRef]
- Ci, H.; Zhang, Q. Spatio-Temporal Patterns of NDVI Variations and Possible Relations with Climate Changes in Xinjiang Province. J. Geo-Inf. Sci. 2017, 19, 662–671. [Google Scholar]
- Chen, Y.-H.; Rusuli, Y.; Wusiman, A. Analysis of Spatial and Temporal Variation in Grassland Vegetation Cover in Xinjiang Section of Tianshan Mountains and the Driving Factors from 2001 to 2020. Chin. J. Plant Ecol. 2024, 48, 561. [Google Scholar] [CrossRef]
- Chen, C.; Li, G.; Peng, J. Spatio-Temporal Characteristics of Xinjiang Grassland NDVI and Its Response to Climate Change from 1981 to 2018. Acta Ecol. Sin. 2023, 43, 1537–1552. [Google Scholar]
- Vicente-Serrano, S.M.; Beguería, S.; López-Moreno, J.I. A Multiscalar Drought Index Sensitive to Global Warming: The Standardized Precipitation Evapotranspiration Index. J. Clim. 2010, 23, 1696–1718. [Google Scholar] [CrossRef]
- Vicente-Serrano, S.M.; Gouveia, C.; Camarero, J.J.; Beguería, S.; Trigo, R.; López-Moreno, J.I.; Azorín-Molina, C.; Pasho, E.; Lorenzo-Lacruz, J.; Revuelto, J.; et al. Response of Vegetation to Drought Time-Scales across Global Land Biomes. Proc. Natl. Acad. Sci. USA 2013, 110, 52–57. [Google Scholar] [CrossRef]
- Wang, Y.; Chen, T.; Wang, Q.; Peng, L. Time-Lagged and Cumulative Effects of Drought and Anthropogenic Activities on China’s Vegetation Greening from 1990 to 2018. Int. J. Digit. Earth 2023, 16, 2233–2258. [Google Scholar] [CrossRef]
- Qu, X.; Yang, S.; Wang, Y.; Zou, X. Response of VCI to SPEI at Different Time Scales from 2000 to 2017 in Inner Mongolia Chinese Agricultural. Sci. Bull. 2020, 36, 106–111. [Google Scholar]
- Xu, H.; Wang, X.; Zhao, C.; Yang, X. Diverse Responses of Vegetation Growth to Meteorological Drought across Climate Zones and Land Biomes in Northern China from 1981 to 2014. Agric. For. Meteorol. 2018, 262, 1–13. [Google Scholar] [CrossRef]
- Van Der Tol, C.; Berry, J.A.; Campbell, P.K.E.; Rascher, U. Models of Fluorescence and Photosynthesis for Interpreting Measurements of Solar-induced Chlorophyll Fluorescence. J. Geophys. Res. Biogeosci. 2014, 119, 2312–2327. [Google Scholar] [CrossRef] [PubMed]
- Wang, Y.; Chi, Y.; Zhou, L. Spatiotemporal Patterns and Climate Regulation of Gross Primary Productivity and Sun-Induced Chlorophyll Fluorescence of Terrestrial Vegetation in China from 2007 to 2018. Remote Sens. Technol. Appl. 2022, 37, 692–701. [Google Scholar]
- Shi, M.; Tong, X.; Li, J.; Yang, M.; Wang, Y.; Wang, Y. Response of Forest over Eastern Monsoon China to Dry-Wet Change Based on Solar-Induced Chlorophyll Fluorescence. Chin. J. Appl. Ecol. 2024, 35, 3107–3118. [Google Scholar] [CrossRef]
- Wang, X.; Qiu, B.; Li, W.; Zhang, Q. Impacts of Drought and Heatwave on the Terrestrial Ecosystem in China as Revealed by Satellite Solar-Induced Chlorophyll Fluorescence. Sci. Total Environ. 2019, 693, 133627. [Google Scholar] [CrossRef] [PubMed]
- Kimm, H.; Guan, K.; Jiang, C.; Miao, G.; Wu, G.; Suyker, A.E.; Ainsworth, E.A.; Bernacchi, C.J.; Montes, C.M.; Berry, J.A. A Physiological Signal Derived from Sun-Induced Chlorophyll Fluorescence Quantifies Crop Physiological Response to Environmental Stresses in the US Corn Belt. Environ. Res. Lett. 2021, 16, 124051. [Google Scholar] [CrossRef]
- Yang, L.; Wei, W.; Wang, T.; Li, L. Temporal-Spatial Variations of Vegetation Cover and Surface Soil Moisture in the Growing Season across the Mountain-Oasis-Desert System in Xinjiang, China. Geocarto Int. 2022, 37, 3912–3940. [Google Scholar] [CrossRef]
- Gao, Q.; Wan, Y.; Xu, H.; Li, Y.; Jiangcun, W.-z.; Borjigidai, A. Alpine Grassland Degradation Index and Its Response to Recent Climate Variability in Northern Tibet, China. Quat. Int. 2010, 226, 143–150. [Google Scholar] [CrossRef]
- Liu, Y.; Li, L.; Chen, X.; Zhang, R.; Yang, J. Temporal-Spatial Variations and Influencing Factors of Vegetation Cover in Xinjiang from 1982 to 2013 Based on GIMMS-NDVI3g. Glob. Planet. Chang. 2018, 169, 145–155. [Google Scholar] [CrossRef]
- Xu, X.; Liu, J.; Zhang, S.; Li, R.; Yan, C.; Wu, S. China Multi Period Land Use Remote Sensing Monitoring Dataset (CNLUCC); Resource and Environmental Science Data Registration and Publishing System: Beijing, China, 2018. [Google Scholar]
- Cheng, K.; Yang, H.; Guan, H.; Ren, Y.; Chen, Y.; Chen, M.; Yang, Z.; Lin, D.; Liu, W.; Xu, J.; et al. Unveiling China’s Natural and Planted Forest Spatial–Temporal Dynamics from 1990 to 2020. ISPRS J. Photogramm. Remote Sens. 2024, 209, 37–50. [Google Scholar] [CrossRef]
- Li, X.; Xiao, J. A Global, 0.05-Degree Product of Solar-Induced Chlorophyll Fluorescence Derived from OCO-2, MODIS, and Reanalysis Data. Remote Sens. 2019, 11, 517. [Google Scholar] [CrossRef]
- Vicente-Serrano, S.M.; Beguería, S.; López-Moreno, J.I.; Angulo, M.; El Kenawy, A. A New Global 0.5 Gridded Dataset (1901–2006) of a Multiscalar Drought Index: Comparison with Current Drought Index Datasets Based on the Palmer Drought Severity Index. J. Hydrometeorol. 2010, 11, 1033–1043. [Google Scholar] [CrossRef]
- Gao, J.; Shi, Y.; Zhang, H.; Chen, X.; Zhang, W.; Shen, W.; Xiao, T.; Zhang, Y. China Regional 250 m Normalized Difference Vegetation Index Data Set (2000–2022); National Tibetan Plateau/Third Pole Environment Data Center: Beijing, China, 2023. [Google Scholar]
- Yang, J.; Li, Y.; Zhou, L.; Zhang, Z.; Zhou, H.; Wu, J. Effects of Temperature and Precipitation on Drought Trends in Xinjiang, China. J. Arid Land 2024, 16, 1098–1117. [Google Scholar] [CrossRef]
- Chen, Y.-R.; Liu, B.; Cai, X.; Zhou, T.-J.; He, Q. Moisture Transport and Sources of an Extreme Rainfall Event of June 2021 in Southern Xinjiang, China. Adv. Clim. Chang. Res. 2022, 13, 843–850. [Google Scholar] [CrossRef]
- López, J.; Way, D.A.; Sadok, W. Systemic Effects of Rising Atmospheric Vapor Pressure Deficit on Plant Physiology and Productivity. Glob. Chang. Biol. 2021, 27, 1704–1720. [Google Scholar] [CrossRef]
- Qi, X.-W.; Chen, M.; Wang, H.-s. Detecting Response of Vegetation Photosynthesis to Meteorological Drought Based on Solar-Induced Chlorophyll Fluorescence. Chin. J. Agrometeorol. 2023, 44, 133. [Google Scholar]
- Fayech, D.; Tarhouni, J. Climate Variability and Its Effect on Normalized Difference Vegetation Index (NDVI) Using Remote Sensing in Semi-Arid Area. Model. Earth Syst. Environ. 2021, 7, 1667–1682. [Google Scholar] [CrossRef]
- Wu, Y.; Zhang, Z.; Wu, L.; Zhang, Y. Solar-Induced Chlorophyll Fluorescence Tracks Canopy Photosynthesis under Dry Conditions in a Semi-Arid Grassland. Agric. For. Meteorol. 2024, 356, 110174. [Google Scholar] [CrossRef]
- Gross, N.; Maestre, F.T.; Liancourt, P.; Berdugo, M.; Martin, R.; Gozalo, B.; Ochoa, V.; Delgado-Baquerizo, M.; Maire, V.; Saiz, H. Unforeseen Plant Phenotypic Diversity in a Dry and Grazed World. Nature 2024, 632, 808–814. [Google Scholar] [CrossRef]
- Damm, A.; Paul-Limoges, E.; Haghighi, E.; Simmer, C.; Morsdorf, F.; Schneider, F.D.; van der Tol, C.; Migliavacca, M.; Rascher, U. Remote Sensing of Plant-Water Relations: An Overview and Future Perspectives. J. Plant Physiol. 2018, 227, 3–19. [Google Scholar] [CrossRef]
- Li, D.; An, L.; Zhong, S.; Shen, L.; Wu, S. Declining Coupling between Vegetation and Drought over the Past Three Decades. Glob. Chang. Biol. 2024, 30, e17141. [Google Scholar] [CrossRef]
- Song, L.; Guanter, L.; Guan, K.; You, L.; Huete, A.; Ju, W.; Zhang, Y. Satellite Sun-Induced Chlorophyll Fluorescence Detects Early Response of Winter Wheat to Heat Stress in the Indian Indo-Gangetic Plains. Glob. Chang. Biol. 2018, 24, 4023–4037. [Google Scholar] [CrossRef]
- Wang, S.; Huang, C.; Zhang, L.; Lin, Y.; Cen, Y.; Wu, T. Monitoring and Assessing the 2012 Drought in the Great Plains: Analyzing Satellite-Retrieved Solar-Induced Chlorophyll Fluorescence, Drought Indices, and Gross Primary Production. Remote Sens. 2016, 8, 61. [Google Scholar] [CrossRef]
- Yoshida, Y.; Joiner, J.; Tucker, C.; Berry, J.; Lee, J.-E.; Walker, G.; Reichle, R.; Koster, R.; Lyapustin, A.; Wang, Y. The 2010 Russian Drought Impact on Satellite Measurements of Solar-Induced Chlorophyll Fluorescence: Insights from Modeling and Comparisons with Parameters Derived from Satellite Reflectances. Remote Sens. Environ. 2015, 166, 163–177. [Google Scholar] [CrossRef]
- Anjum, S.A.; Xie, X.; Wang, L.; Saleem, M.F.; Man, C.; Lei, W. Morphological, Physiological and Biochemical Responses of Plants to Drought Stress. Afr. J. Agric. Res. 2011, 6, 2026–2032. [Google Scholar]
- Cartwright, J.M.; Littlefield, C.E.; Michalak, J.L.; Lawler, J.J.; Dobrowski, S.Z. Topographic, Soil, and Climate Drivers of Drought Sensitivity in Forests and Shrublands of the Pacific Northwest, USA. Sci. Rep. 2020, 10, 18486. [Google Scholar] [CrossRef] [PubMed]
- Wu, L.; Zhang, Y.; Zhang, Z.; Zhang, X.; Wu, Y.; Chen, J.M. Deriving Photosystem-Level Red Chlorophyll Fluorescence Emission by Combining Leaf Chlorophyll Content and Canopy Far-Red Solar-Induced Fluorescence: Possibilities and Challenges. Remote Sens. Environ. 2024, 304, 114043. [Google Scholar] [CrossRef]
Disclaimer/Publisher’s Note: The statements, opinions and data contained in all publications are solely those of the individual author(s) and contributor(s) and not of MDPI and/or the editor(s). MDPI and/or the editor(s) disclaim responsibility for any injury to people or property resulting from any ideas, methods, instructions or products referred to in the content. |
© 2025 by the authors. Licensee MDPI, Basel, Switzerland. This article is an open access article distributed under the terms and conditions of the Creative Commons Attribution (CC BY) license (https://creativecommons.org/licenses/by/4.0/).












