Impact of the Russia–Ukraine Conflict on Global Marine Network Based on Massive Vessel Trajectories
Abstract
1. Introduction
2. Related Works
3. Materials and Methods
3.1. Study Area
3.2. Data Preprocessing and Statistical Distribution Analysis
3.3. Methodology
3.3.1. Visualization of the Network and Identification of Key Network Properties
3.3.2. Resilience Calculation
3.3.3. Simulated Attacks
4. Analysis and Results
4.1. Construction of the Global Maritime Complex Network
4.2. Resilience of the Global Maritime Network and Its Temporal Variations
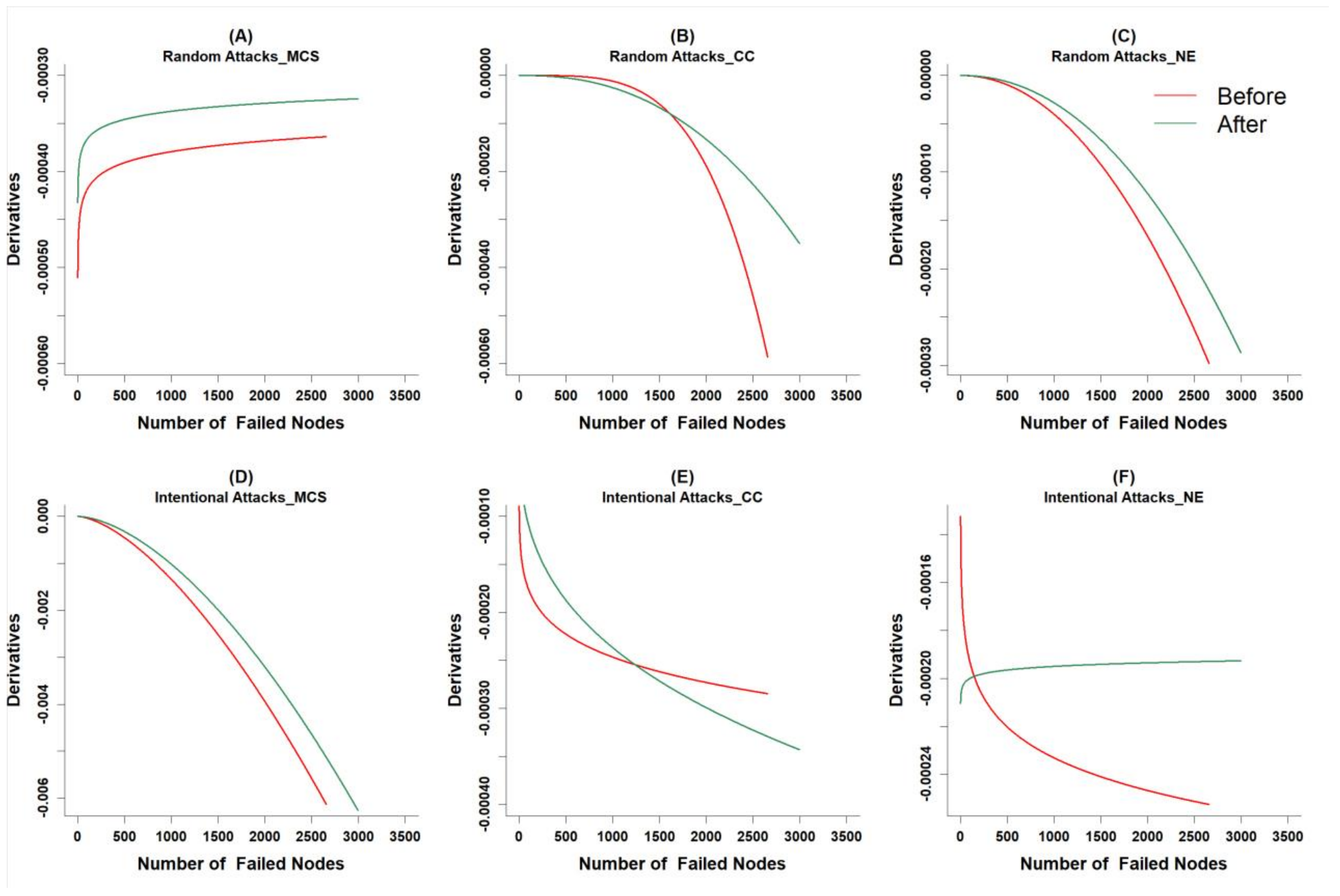
4.3. Simulated Attacks
5. Discussion
6. Conclusions
Author Contributions
Funding
Data Availability Statement
Acknowledgments
Conflicts of Interest
Appendix A
References
- March, D.; Metcalfe, K.; Tintoré, J.; Godley, B.J. Tracking the Global Reduction of Marine Traffic during the COVID-19 Pandemic. Nat. Commun. 2021, 12, 2415. [Google Scholar] [CrossRef]
- United Nations Conference on Trade and Development. Review of Maritime Transport 2022; Review of Maritime Transport/United Nations Conference on Trade and Development, Geneva; United Nations: Geneva, Switzerland, 2022; ISBN 978-92-1-113073-7.
- Omer, M.; Mostashari, A.; Nilchiani, R.; Mansouri, M. A Framework for Assessing Resiliency of Maritime Transportation Systems. Marit. Policy Manag. 2012, 39, 685–703. [Google Scholar] [CrossRef]
- Peng, P.; Lu, F.; Cheng, S.; Yang, Y. Mapping the Global Liquefied Natural Gas Trade Network: A Perspective of Maritime Transportation. J. Clean. Prod. 2021, 283, 124640. [Google Scholar] [CrossRef]
- Peng, P.; Poon, J.P.H.; Yang, Y.; Lu, F.; Cheng, S. Global Oil Traffic Network and Diffusion of Influence among Ports Using Real Time Data. Energy 2019, 172, 333–342. [Google Scholar] [CrossRef]
- Cao, Y.; Liang, S.; Sun, L.; Liu, J.; Cheng, X.; Wang, D.; Chen, Y.; Yu, M.; Feng, K. Trans-Arctic Shipping Routes Expanding Faster than the Model Projections. Glob. Environ. Chang. 2022, 73, 102488. [Google Scholar] [CrossRef]
- Fang, Z.; Yu, H.; Lu, F.; Feng, M.; Huang, M. Maritime Network Dynamics before and after International Events. J. Geogr. Sci. 2018, 28, 937–956. [Google Scholar] [CrossRef]
- Lin, F.; Li, X.; Jia, N.; Feng, F.; Huang, H.; Huang, J.; Fan, S.; Ciais, P.; Song, X.-P. The Impact of Russia-Ukraine Conflict on Global Food Security. Glob. Food Secur. 2023, 36, 100661. [Google Scholar] [CrossRef]
- Jagtap, S.; Trollman, H.; Trollman, F.; Garcia-Garcia, G.; Parra-López, C.; Duong, L.; Martindale, W.; Munekata, P.E.S.; Lorenzo, J.M.; Hdaifeh, A.; et al. The Russia-Ukraine Conflict: Its Implications for the Global Food Supply Chains. Foods 2022, 11, 2098. [Google Scholar] [CrossRef]
- Wu, F.; Zhan, X.; Zhou, J.; Wang, M. Stock Market Volatility and Russia–Ukraine Conflict. Financ. Res. Lett. 2023, 55, 103919. [Google Scholar] [CrossRef]
- Yousaf, I.; Patel, R.; Yarovaya, L. The Reaction of G20+ Stock Markets to the Russia–Ukraine Conflict “Black-Swan” Event: Evidence from Event Study Approach. J. Behav. Exp. Financ. 2022, 35, 100723. [Google Scholar] [CrossRef]
- Yang, Y.; Zhao, L.; Zhu, Y.; Chen, L.; Wang, G.; Wang, C. Spillovers from the Russia-Ukraine Conflict. Res. Int. Bus. Financ. 2023, 66, 102006. [Google Scholar] [CrossRef]
- Meng, X.; Yu, Y. Does the Russia-Ukraine Conflict Affect Gasoline Prices? Energy Econ. 2023, 128, 107113. [Google Scholar] [CrossRef]
- Umar, Z.; Polat, O.; Choi, S.-Y.; Teplova, T. The Impact of the Russia-Ukraine Conflict on the Connectedness of Financial Markets. Financ. Res. Lett. 2022, 48, 102976. [Google Scholar] [CrossRef]
- Henry, D.; Ramirez-Marquez, J.E. Generic Metrics and Quantitative Approaches for System Resilience as a Function of Time. Reliab. Eng. Syst. Saf. 2012, 99, 114–122. [Google Scholar] [CrossRef]
- Bruneau, M.; Chang, S.E.; Eguchi, R.T.; Lee, G.C.; O’Rourke, T.D.; Reinhorn, A.M.; Shinozuka, M.; Tierney, K.; Wallace, W.A.; von Winterfeldt, D. A Framework to Quantitatively Assess and Enhance the Seismic Resilience of Communities. Earthq. Spectra 2003, 19, 733–752. [Google Scholar] [CrossRef]
- Serulle, N.U.; Heaslip, K.; Brady, B.; Louisell, W.C.; Collura, J. Resiliency of Transportation Network of Santo Domingo, Dominican Republic Case Study. Transp. Res. Rec. 2011, 2234, 22–30. [Google Scholar] [CrossRef]
- Sun, X.; Wei, Y.; Jin, Y.; Song, W.; Li, X. The Evolution of Structural Resilience of Global Oil and Gas Resources Trade Network. Glob. Netw. 2022, 23, 391–411. [Google Scholar] [CrossRef]
- Shipping Route Modelling of AIS Maritime Traffic Data at the Approach to Ports. Ocean Eng. 2023, 289, 115868. [CrossRef]
- Karataş, G.B.; Karagoz, P.; Ayran, O. Trajectory Pattern Extraction and Anomaly Detection for Maritime Vessels. Internet Things 2021, 16, 100436. [Google Scholar] [CrossRef]
- Huang, C.; Qi, X.; Zheng, J.; Zhu, R.; Shen, J. A Maritime Traffic Route Extraction Method Based on Density-Based Spatial Clustering of Applications with Noise for Multi-Dimensional Data. Ocean Eng. 2023, 268, 113036. [Google Scholar] [CrossRef]
- Cho, J.; Hong, E.K.; Yoo, J.; Cheong, I. The Impact of Global Protectionism on Port Logistics Demand. Sustainability 2020, 12, 1444. [Google Scholar] [CrossRef]
- Murray-Tuite, P.M. A Comparison of Transportation Network Resilience under Simulated System Optimum and User Equilibrium Conditions. In Proceedings of the 2006 Winter Simulation Conference, Monterey, CA, USA, 3–6 December 2006; IEEE: New York, NY, USA, 2006; Volumes 1–5, pp. 1398–1405. [Google Scholar]
- Peng, P.; Cheng, S.; Chen, J.; Liao, M.; Wu, L.; Liu, X.; Lu, F. A Fine-Grained Perspective on the Robustness of Global Cargo Ship Transportation Networks. J. Geogr. Sci. 2018, 28, 881–889. [Google Scholar] [CrossRef]
- Campo, M.; Mayer, H.; Rovito, J. Supporting Secure and Resilient Inland Waterways Evaluating Off-Loading Capabilities at Terminals During Sudden Catastrophic Closures. Transp. Res. Rec. 2012, 2273, 10–17. [Google Scholar] [CrossRef]
- Dixit, V.; Verma, P.; Tiwari, M.K. Assessment of Pre and Post-Disaster Supply Chain Resilience Based on Network Structural Parameters with CVaR as a Risk Measure. Int. J. Prod. Econ. 2020, 227, 107655. [Google Scholar] [CrossRef]
- Mou, N.; Sun, S.; Yang, T.; Wang, Z.; Zheng, Y.; Chen, J.; Zhang, L. Assessment of the Resilience of a Complex Network for Crude Oil Transportation on the Maritime Silk Road. IEEE Access 2020, 8, 181311–181325. [Google Scholar] [CrossRef]
- Birol, D.F. World Energy Outlook 2022; International Energy Agency: Paris, France, 2022.
- IEA. Coal Market Update_July 2023; International Energy Agency: Paris, France, 2023.
- Yang, D.; Wu, L.; Wang, S.; Jia, H.; Li, K.X. How Big Data Enriches Maritime Research—A Critical Review of Automatic Identification System (AIS) Data Applications. Transp. Rev. 2019, 39, 755–773. [Google Scholar] [CrossRef]
Date | Including Fishing Vessels | Excluding Fishing Vessels |
---|---|---|
4th February–23rd February | 171,614 | 159,556 |
25th February–16th March | 185,503 | 172,518 |
Country | Before | After |
---|---|---|
Russia | 58,198 | 63,838 |
Ukraine | 14,072 | 19,489 |
Date | Network Connectivity | Network Size | Network Density | Network Centrality | Gini Coefficient | R |
---|---|---|---|---|---|---|
4th February–23rd February | 7,056,992 | 32,346 | 1.7605 | 0.0084 | 0.82 | |
25th February–16th March | 8,973,020 | 44,172 | 2.3317 | 0.0092 | 0.83 |
Disclaimer/Publisher’s Note: The statements, opinions and data contained in all publications are solely those of the individual author(s) and contributor(s) and not of MDPI and/or the editor(s). MDPI and/or the editor(s) disclaim responsibility for any injury to people or property resulting from any ideas, methods, instructions or products referred to in the content. |
© 2024 by the authors. Licensee MDPI, Basel, Switzerland. This article is an open access article distributed under the terms and conditions of the Creative Commons Attribution (CC BY) license (https://creativecommons.org/licenses/by/4.0/).
Share and Cite
Cong, L.; Zhang, H.; Wang, P.; Chu, C.; Wang, J. Impact of the Russia–Ukraine Conflict on Global Marine Network Based on Massive Vessel Trajectories. Remote Sens. 2024, 16, 1329. https://doi.org/10.3390/rs16081329
Cong L, Zhang H, Wang P, Chu C, Wang J. Impact of the Russia–Ukraine Conflict on Global Marine Network Based on Massive Vessel Trajectories. Remote Sensing. 2024; 16(8):1329. https://doi.org/10.3390/rs16081329
Chicago/Turabian StyleCong, Lin, Hengcai Zhang, Peixiao Wang, Chen Chu, and Jinzi Wang. 2024. "Impact of the Russia–Ukraine Conflict on Global Marine Network Based on Massive Vessel Trajectories" Remote Sensing 16, no. 8: 1329. https://doi.org/10.3390/rs16081329
APA StyleCong, L., Zhang, H., Wang, P., Chu, C., & Wang, J. (2024). Impact of the Russia–Ukraine Conflict on Global Marine Network Based on Massive Vessel Trajectories. Remote Sensing, 16(8), 1329. https://doi.org/10.3390/rs16081329