Abstract
Accurate Digital Elevation Models (DEMs) are essential for precise terrain gravity field calculations, which are critical in gravity field modeling, airborne gravimeter and gradiometer calibration, and geophysical inversion. This study evaluates the accuracy of various satellite DEMs by comparing them with a LiDAR DEM at the Wudalianchi test site, a location requiring ultra-accurate terrain gravity fields. Major DEM error sources, particularly those related to vegetation, were identified and corrected using a least squares method that integrates canopy height, vegetation cover, NDVI, and airborne LiDAR DEM data. The impact of DEM vegetation errors on terrain gravity anomalies and gravity gradients was quantified using a partitioned adaptive gravity forward-modeling method at different measurement heights. The results indicate that the TanDEM-X DEM and AW3D30 DEM exhibit the highest vertical accuracy among the satellite DEMs evaluated in the Wudalianchi area. Vegetation significantly affects DEM accuracy, with vegetation-related errors causing an impact of approximately 0.17 mGal (RMS) on surface gravity anomalies. This effect is more pronounced in densely vegetated and volcanic regions. At 100 m above the surface and at an altitude of 1 km, vegetation height affects gravity anomalies by approximately 0.12 mGal and 0.07 mGal, respectively. Additionally, vegetation height impacts the vertical gravity gradient at 100 m above the surface by approximately 4.20 E (RMS), with errors up to 48.84 E over vegetation covered areas. The findings underscore the critical importance of using DEMs with vegetation errors removed for high-precision terrain gravity and gravity gradient modeling, particularly in applications such as airborne gravimeter and gradiometer calibration.
1. Introduction
Gravity anomalies are generally defined as the difference between the observed gravity field and that predicted by a reference model. Gravity gradients are the second derivatives of gravity potential in various directions. Both gravity anomalies and gravity gradients are effective in capturing variations in Earth’s mass distribution and the gravity field, making them broadly applicable in geological structure analysis, volcanic activity monitoring, mineral resource exploration, and submarine navigation [1,2,3,4].
With the development of gravimeters, gravity gradiometers, and measurement techniques, the demand for airborne gravity gradiometer test sites has also grown, as these sites are essential for instrument calibration and validation. Notable test sites include the Kauring airborne gravity and airborne gravity gradiometer test site, located 115 km northeast of Jandakot Airport in Perth, Western Australia [5]. This well-established site has been used for multiple calibrations of airborne gravity gradiometers [6,7] and has provided a wealth of gravity gradient data that has served as a foundation for previous research [8]. Other commonly used test sites include the Alexander Airborne Gravity Dynamic Test Site at Ottawa Airport, Canada [9], the Tietê Airborne Gravity Test Site near Turner Valley in Alberta, Canada [10,11], the Calabria Test Site in Italy [12], and the Nevada Test Site in the United States [13]. The Wudalianchi volcanic area in Heilongjiang Province, China, is currently being developed as the country’s first civil airborne gravity gradiometer test site [14]. Extensive geodetic data, including gravity, GPS, and LiDAR DEM, have been collected within the test site, providing foundational data for regional gravity field modeling and airborne gravity gradient calibration.
Airborne gravity gradient calibration, which employs the remove–restore technique to model gravity gradients at flight altitudes, depends heavily on ground gravity measurements and high-resolution Digital Elevation Models (DEMs). High-precision terrain correction is critical in the remove–restore technique [15]. This correction process, based on Newton’s law of universal gravitation, typically uses high-resolution terrain data within an area of at least 0.8° × 0.8° surrounding the point of interest [16]. High-precision DEMs for small areas are typically obtained through airborne Light Detection and Ranging (LiDAR) or ground surveys. In contrast, satellite measurements provide advantages such as wide coverage, large data volumes, and high accessibility [17], making satellite DEM products a valuable supplement for large-scale studies. However, studies in applications such as seismic monitoring, hydrological simulation, and natural disaster assessment have demonstrated that DEM elevation errors can significantly impact research outcomes [18,19,20,21]. Therefore, assessing the accuracy of satellite DEMs in the Wudalianchi region, as well as evaluating the impact of DEM elevation errors on terrain gravity fields, is crucial for constructing refined gravity field models, airborne gravity gradient calibration, geophysical inversion, and studies of crustal and subsurface structures [22,23,24].
Previous studies have predominantly evaluated the accuracy of typical global satellite DEM products, such as SRTM, AW3D30, TanDEM-X, and ASTER GDEM, using GPS data, satellite laser altimetry data, and airborne LiDAR data [25,26,27]. For instance, Ref. [28] assessed the vertical accuracy of different versions of ASTER GDEM and SRTM models in the Atlas region of Morocco using 3551 GPS control points. Ref. [29] used laser altimetry data from ICESat-2 as a reference to study the error statistics and spatial distribution characteristics of eight global-scale public DEM datasets in the coastal areas of mainland China, analyzing the effects of elevation, slope, geomorphology, and land use on vertical accuracy. Similarly, Ref. [30] tested the vertical accuracy of three fused DEM products (MERIT, NASADEM, and EarthEnv GDEM) in northern Peninsular Malaysia using GNSS data, high-resolution TanDEM-X DEM, and airborne IFSAR DEM, and evaluated the impact of land cover types on GDEM accuracy. Ref. [31] also evaluated DEM accuracy using elevation data obtained from publicly available civil aviation data compilations. However, most existing research has focused on these typical satellite DEM products, and comparative studies of various commonly used satellite DEM products remain relatively scarce. As DEM data processing technologies continue to evolve, new DEM products generated through the correction and fusion of global satellite DEM products such as SRTM, ASTER GDEM, and AW3D30 (e.g., NASADEM and COP-DEM) continue to be released, and their accuracy and usability also warrant evaluation.
The errors in terrain gravity fields derived from satellite DEM are influenced by both the data resolution and elevation errors caused by dense vegetation, complex terrain structures, and artificial interferences (e.g., power lines and buildings). These errors propagate through gravity models, affecting terrain corrections and gravity anomaly estimations, particularly in regions with complex topography [32,33]. Previous studies have investigated the influence of DEM resolution on gravity field calculations [16,34]. Abbak [35] compared the results obtained from the low-accuracy ASTER DEM and the higher-accuracy SRTM DEM, finding that, in complex and rugged terrain, the ASTER DEM introduced a free-air gravity anomaly error ranging from −4 to 10 mGal in geoid determination when compared to the SRTM DEM. Lin et al. [36] also demonstrated that, when applying the residual terrain modeling (RTM) method for local quasi-geoid modeling, significant variations in gravity anomalies could arise from DEMs with different resolutions. In other gravity forward-modeling studies, DEM elevation errors, typically derived from numerical simulations or DEM corrections, have been used to quantitatively assess the impact of DEM errors on the terrestrial gravity field using various forward-modeling methods. For example, based on the spherical model assumption, the functional relationship between DEM elevation errors and gravity gradient errors has been estimated [37,38]. However, this approach only considers the effect of single-point elevation errors, leading to significant deviations from the results obtained through mass integration methods in actual terrain gravity field calculations. As a result, it cannot accurately quantify the impact of DEM elevation errors on gravity field-forward-modeling outcomes. Ref. [39] proposed a simplified linear formula for flat terrain based on DEM height errors and the Bouguer formula, but it overlooks the error propagation patterns in rough terrain. Building on this, Ref. [40] derived the error propagation model of DEM errors in gravity terrain correction using two-dimensional Fourier transforms and applied this method to estimate terrain corrections and corresponding errors using SRTM data across the entire Australian continent. Additionally, Ref. [41] used MERIT DEM and vegetation height models to simulate and estimate the impact of vegetation height errors on surface terrain gravity fields. However, neither of these methods addressed the impact of DEM errors on gravity gradients.
In this study, we evaluated the vertical accuracy and influencing factors of 12 global satellite DEM products within the Wudalianchi airborne gravity gradiometer test site, which requires ultra-high accurate terrain gravity fields. Subsequently, the DEM products were corrected for vegetation using the least squares method, and the gravity errors and gravity gradient errors induced by vegetation during gravity forward modeling were quantified. In this study, we systematically examined the entire process of DEM data correction, including vegetation removal, and its effects on gravity field calculations. Unlike previous studies, we specifically evaluated the impact of vegetation errors on gravity and gradient measurements at different altitudes. These findings lay a foundation for gravity gradient calculation, the design of airborne gravity gradiometer test sites, and the development of airborne gravity gradient calibration. In response to the need for high-precision terrain corrections, many studies have explored the accuracy of DEM products, particularly in rugged terrain correction methods.
This paper is structured as follows. In Section 2, we introduce the Wudalianchi airborne gravity gradiometer test site, the satellite DEM products, and the ancillary datasets. Section 3 details the research methods used in this study, including the DEM accuracy assessment method, the vegetation correction method, and the principles and techniques of gravity forward modeling. In Section 4, we present the accuracy assessment results of the satellite DEM products and the error-corrected DEM and gravity anomalies and gravity gradients derived from forward modeling using DEM before and after vegetation correction, respectively. A detailed analysis is conducted to assess the impact of DEM elevation errors on the gravity forward-modeling results. Finally, the main conclusions of this study are summarized and discussed in Section 5.
2. Study Area and Datasets
2.1. Study Area
The core region of the Wudalianchi airborne gravity gradiometer test site (48.6°N–48.7°N, 126.0°E–126.1°E) and its surrounding areas were selected for this study. The core area is approximately 28.4 km2, with an altitude ranging from ~300 to ~520 m. The terrain structure in this area is complex, and the land cover is rich and diverse, including cropland, woodland (deciduous forest), grassland, and bare land. The two volcanoes, Wohushan (WHS) in the southwest and Bijiashan (BJS) in the northeast, exhibit significant relief, while the rest of the region is relatively flat. Additionally, to the northeast of the core area lies another volcano, Laoheishan (LHS), which is also included in the research. The existing airborne LiDAR DEM completely covers the core area and the LHS area (Figure 1), providing essential data for this study.
Figure 1.
The elevation distribution in the study area. The scope of gravity field-forward modeling is represented in the figure. The red and black boxes delineate the boundaries of the core area and the LHS area, respectively.
In the forward modeling of the gravity field, DEM data within a range of at least 0.8° × 0.8° around the calculation point should be utilized [42]. Consequently, DEM vegetation removal was performed within a 0.4° radius in all four directions, centered on the core area of the test site. The total region is approximately 70 km × 80 km, as illustrated in Figure 1.
2.2. Satellite DEM Products
In this study, the accuracy of 12 satellite DEM products with varying resolutions was evaluated, as detailed in Table 1. The AW3D30 DEM [43] and ASTER-GDEM v3 [44,45] were obtained by optical stereophotogrammetry. The SRTM DEM v4.1 [46,47,48], SRTMX DEM [49], TanDEM-X [50,51], and COP-DEM [52] were obtained by Interferometric Synthetic Aperture Radar (InSAR) technology. The GMTED2010 DEM [53], MERIT DEM [54], SRTMGL1 DEM [55], ALOS DEM [56], and NASADEM [57] are multi-source DEM fusion products. Additionally, we assessed the accuracy of stereographic mapping data from the GF-14 satellite, which was launched by China in December 2020. These data, with a mapping scale of 1:10,000, are captured using advanced multi-payload integrated Earth observation technology [58,59], combining stereoscopic cameras and laser altimeters to efficiently acquire high-precision global stereoscopic images.
Table 1.
The introduction of satellite DEM products.
All the DEM products mentioned above are based on the WGS-1984 horizontal reference system, with most data collected during autumn and winter. Notably, except for the MERIT DEM, which has undergone terrain flattening, the other products are strictly Digital Surface Models (DSMs), including the heights of surface features such as buildings, bridges, and trees. However, in practical applications, these products are often treated as being equivalent to DEMs. For simplicity, the term “DEM” is uniformly used throughout this article.
2.3. LiDAR DEM
The reference elevation values in this study were derived from airborne LiDAR DEM products. The elevation data were collected using the Riegl VUX-1LR LiDAR system mounted on a Pegasus D20 multi-rotor UAV during the autumn and winter. The UAV operated at an altitude of 150 m above the ground and maintained a speed of 10 m/s. The scanning frequency of LiDAR is 400 kHz, the side overlap degree is 40%, the track distance is 179 m, and the average point cloud density is 80 pt/m2. The original observation data underwent a series of preprocessing steps, including point cloud processing, strip adjustment, redundancy removal, noise filtering, and Cloth Simulation Filtering (CSF) [60]. The product utilized the WGS-1984 horizontal reference system and the WGS84 vertical reference system. The spatial resolution of the data is 1 m, with a horizontal error of 4.2 cm and a vertical accuracy of 4.6 cm [61]. This dataset covers the core area of the Wudalianchi airborne gravity gradiometer test site as well as the area near the LHS volcano.
2.4. Vegetation Height Dataset
This study utilized the vegetation height dataset [62], which estimates canopy height using RH100 data (the distance from the signal start to the ground peak [63]) derived from ICESat GLAS GLA14 land products. It corrects the canopy height bias caused by slope using slope data generated from SRTM. Ref. [62] used a random forest regression model, extrapolating specific RH100 values based on seven global variables (including average precipitation, average temperature, elevation, and tree cover) to produce a vegetation height dataset with a spatial resolution of 30 arc-seconds (~1 km). The dataset’s accuracy was validated at 66 FLUXNET sites, showing an accuracy of 6.1 m, with an RMSE of 4.4 m when outliers were excluded.
2.5. Auxiliary Data
We utilized the Vegetation Continuous Field (VCF) dataset, Normalized Difference Vegetation Index (NDVI) dataset, and vegetation type dataset to assist in DEM vegetation correction. The VCF data are based on the 30 m GFCC30TC v3 Global Tree Cover product [64]. This product, produced by the Land Processes Distributed Active Archive Center (LP DAAC) through NASA, is designed to record, archive, and distribute Global Forest Cover Change (GFCC) data. The dataset provides information on tree cover, tree cover fraction, and tree cover uncertainty for four periods centered around 2000, 2005, 2010, and 2015. The dataset details the percentage of pixel area covered by trees, water, clouds, shadows, and fill values. Considering the acquisition year of the TanDEM-X data, only the 2015 tree cover dataset was used in this study.
The NDVI data used in this study were sourced from the National Ecosystem Science Data Center (https://www.nesdc.org.cn/sdo/detail?id=60f68d757e28174f0e7d8d49, accessed on 30 April 2024). This dataset, derived using the maximum synthesis method, provides annual NDVI values from 2000 to 2022 with a spatial resolution of 30 m. For this study, the NDVI data from 2015 was employed.
Additionally, GlobeLand30 2010 (Data Source: https://www.webmap.cn/mapDataAction.do?method=globalLandCover accessed on 30 April 2024) offers global land cover data at a 30 m resolution and includes 10 primary land cover types, such as forests, water bodies, glaciers, and tundra. The dataset has been evaluated with an overall accuracy of 84.2% in China [65].
3. Methods
3.1. Data Preprocessing and Accuracy Evaluation
The use of different height datums (as listed in Table 1) across various satellite DEM datasets may result in systematic discrepancies. For example, some DEM products utilize the EGM96 geoid model (e.g., AW3D30, ASTER GDEM V3), while others are based on the EGM2008 model (e.g., COP-DEM). To address these potential inconsistencies, we standardized all DEM products to the WGS84 geodetic height system using the following formula:
where H represents the geodetic height, h is the orthometric height, and N denotes the geoid undulation obtained through spherical harmonic synthesis. This process employed coefficients up to degree 360 for EGM96 and up to degree 2159 for EGM2008. In this study, the N values were computed using GrafLab [66].
To resolve the discrepancies in spatial resolution between the datasets, we resampled the VCF dataset, the vegetation height dataset, and each satellite DEM from their original resolutions to the 1 m spatial resolution of the airborne LiDAR DEM using a third-order polynomial fitting method [67]. Additionally, we used the airborne LiDAR DEM as a reference to correct the offset of each satellite DEM in the horizontal position.
3.2. Vegetation Correction Method
The VCF data were used to quantify the vegetation coverage within each pixel. Ref. [68] established a vegetation correction function by identifying the relationship between VCF and the percentage of vegetation height to be removed. Additionally, NDVI, which can also represent the condition of surface vegetation, has rarely been used to assist in the removal of vegetation from DEMs. Ref. [69] previously enhanced the spatial resolution and accuracy of the SRTM DEM using NDVI time series through multiple linear regression and BP neural networks. However, they did not incorporate other datasets related to vegetation height to further improve the effectiveness of the method.
Building on this, we enhanced the method in [68] by incorporating NDVI data. The correction was based on the assumption that the relationship between the vegetation height, , removed from the TanDEM-X DEM and VCF, NDVI exists as a functional relationship:
To determine the optimal form of the vegetation correction, we applied four different functional forms (linear, quadratic, power, and exponential) to fit the vegetation height removed:
where a, b, c, d, and e are the parameters to be estimated.
3.3. Gravity Forward Modeling
The gravitational potential, , at the point p in space can be determined using the equation:
where represents the total volume, is the density point within the volume, ℓ denotes the Euclidean distance between the calculation point p and the volume point, and G is the gravitational constant. In practical calculations, the total volume is discretized into n mass elements, and the results are summed to obtain the gravitational potential .
In order to assess the impact of vegetation height on the forward-modeling results of the terrain gravity field, both the original DEM and the vegetation-corrected DEM were utilized to calculate the gravity anomalies and the gravity gradients. These correspond to the first and second derivatives of the gravitational potential, , at the point , with representing the spherical coordinates of radius, latitude, and longitude, respectively. The general formulation for the gravity disturbance , which closely approximates gravity anomalies in topographic gravity field calculations, and the gravity gradient can be expressed as [70]
with , representing the coordinate differences between the calculation point and the integration point in the local Cartesian directions , respectively, and denoting the Kronecker delta, where if and otherwise. The calculation points are set at the Earth’s surface, 100 m above the surface, and at an altitude of 1 km, considering the measurement heights for airborne gravity and gravity gradiometry.
We used an adaptive algorithm proposed by [71], which is based on the characteristic decay of the gravitational field with distance. The mass distributions are categorized into four regions: near, middle, mid-far, and far. High-resolution DEM and density models were used for the near and middle zones, where the mass distribution was modeled using polyhedron [72] and prism [73] representations, respectively, leading to highly accurate gravity field-forward-modeling results. For the mid-far and far zones, coarse DEM and density maps were employed, with the tesseroid [70] and point-mass methods used to represent the regularized mass distribution, respectively, to enhance computational efficiency. The computations were performed using the Matlab-based TGF software [42].
4. Numerical Experiments: Results and Discussion
4.1. DEM Accuracy Assessment
We used the Mean Error (ME), Standard Deviation (STD), and Root Mean Square Error (RMSE) of height differences between satellite DEMs and airborne LiDAR DEM [74] to assess the accuracy of various satellite DEM products. The histograms in Figure 2 illustrate the spatial distribution of height errors for each DEM. Overall, the actual accuracy of the various satellite DEMs within the study area surpasses their officially reported accuracy. Among them, AW3D30 DEM (Figure 2b) and TanDEM-X DEM (Figure 2d) exhibit the highest overall accuracy, with vertical offsets of 0.78 m and 0.84 m, respectively, and RMSE values of 1.69 m and 1.70 m. NASADEM (Figure 2e), COP-DEM (Figure 2i), and ALOS DEM (Figure 2a) also perform well, with RMSE values of 1.75 m, 1.90 m, and 1.98 m, respectively. In contrast, GMTED2010 DEM (Figure 2k), GF-14 DEM (Figure 2c), and ASTER-GDEM (Figure 2l) demonstrate lower accuracy, with vertical offsets as high as 1.57 m, 1.66 m, and −12.25 m, and RMSE values of 3.18 m, 3.05 m, and 12.58 m, respectively.
Figure 2.
Error distribution in satellite DEM products displayed as frequency histograms. The error represents the height differences between satellite DEM and airborne LiDAR DEM. The Mean Error (ME), Standard Deviation (STD), and Root Mean Square Error (RMSE) are also provided.
The results in Figure 2 indicate that most DEMs exhibit a nearly normal distribution of height errors within the study area, with relatively strong symmetry around zero. However, ASTER-GDEM v3 displays an pronounced systematic error, with an ME of ~−8.98 m and an RMS of ~13.48 m, indicating severe underestimation of terrain height. This finding is consistent with previous evaluations of ASTER-GDEM’s accuracy using TanDEM-X (12 m) data [75]. Notably, TanDEM-X DEM (Figure 2d) and COP-DEM (Figure 2j) exhibit right-skewed distributions. The long tails on the right side of these histograms indicate persistent positive errors, likely due to residual vegetation or other uncorrected features. GF-14 also shows a right-skewed error distribution with a substantial positive ME of ~1.57 m, suggesting that the DEM heights are generally higher than the reference heights.
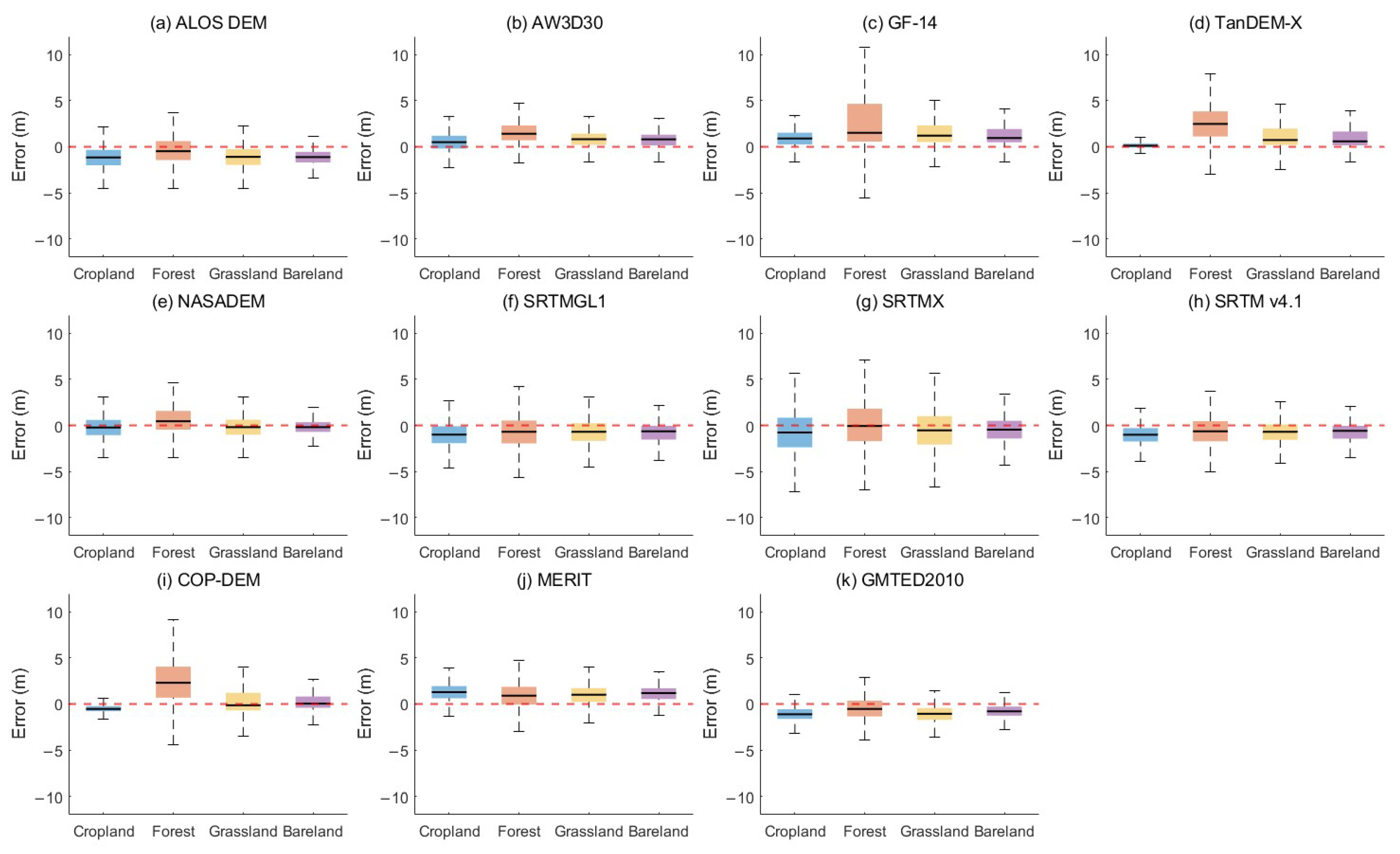
To further explore the error sources in DEM products, the study area was classified into four land cover types—cropland, forest, grassland, and bare land—based on GlobeLand30 2010. This division was then used to evaluate the impact of different land cover types on DEM accuracy. The box plots in Figure 3 illustrate the relationship between DEM height errors and land cover types. The results indicate that the DEM errors in forested areas are significantly higher than in cropland, grassland, and bare land areas, with a more dispersed spatial distribution of height differences. Among them, COP-DEM and TanDEM-X exhibit significant elevation deviations in forested areas while demonstrating good accuracy in non-forested regions. These findings confirm the substantial impact of vegetation height on DEM accuracy. In the following sections, we will focus on improving DEM accuracy by removing vegetation.
Figure 3.
Height differences (i.e., biases) between satellite DEM products and airborne LiDAR DEM by land cover types (cropland, forest, grassland, bare land).
4.2. Vegetation Correction of DEM
The results in Section 4.1 indicate that TanDEM-X DEM and AW3D30 DEM exhibit the highest overall accuracy within the study area. However, the the presence of vegetation, particularly in forested areas, causes significant systematic biases between the TanDEM-X DEM and the airborne LiDAR DEM. This could lead to substantial errors in terrain gravity field calculations. Consequently, developing a vegetation correction model for the TanDEM-X DEM is essential to quantify and mitigate these errors.
A least squares method that integrates canopy height, vegetation cover, NDVI, and airborne LiDAR DEM data was used for vegetation correction. Four candidate functions (Section 3.2) were tested, with 25% of the core area designated as the training region to develop the model. Two test regions were used to evaluate the model’s performance: the remaining 75% of the core area, which tested model performance within the training area, and the LHS area, which assessed the model’s extensibility. For each function, the RMS of the remaining DEM after vegetation correction was calculated to determine the optimal vegetation correction function. Since this method specifically targets vegetated areas, we removed all pixels in the VCF dataset corresponding to water bodies, clouds, shadows, and fill values, retaining only those with tree cover percentages between 0 and 100. Additionally, we removed non-vegetated pixels, such as water bodies, from the land cover type dataset.
The accuracy assessment of the error-corrected DEM (Table 2) indicates that the power function offers the most effective vegetation removal. Using the optimal vegetation correction function, we generated the vegetation height model for the 0.8° × 0.8° study area (Figure 1) and corrected the TanDEM-X DEM, producing the final TanDEM-X Digital Terrain Model (DTM) (Figure 4) for gravity field modeling. As shown in Table 3, the elevation offset in the TanDEM-X DTM was reduced from ~0.84 m and ~0.38 m to ~0.11 m and ~0.04 m in the two test areas, representing reductions of 86.90% and 89.47%, respectively, when compared to the TanDEM-X DEM. Furthermore, in comparison with the method proposed by [68], our approach reduces the ME by 21.43% in the core area and 50.00% in the LHS area (Table 3). In the core area, the accuracy of the TanDEM-X DTM improved by 32.94% (RMS), with significant quality enhancement observed in areas with dense vegetation, particularly in the northeastern part of the core area (Figure 5b). In the LHS area, the TanDEM-X DTM showed a 4.68% improvement in accuracy (RMS), effectively removing vegetation from the eastern and northern slopes of the mountain (Figure 5d). Compared to the approach in [68], our method improves the vegetation correction accuracy by 5.26% and 3.55% in the core and LHS areas, respectively (Table 3).
Table 2.
DEM correction results of different vegetation correction functions. The Root Mean Square (RMS) indicates the elevation error of the error-corrected DEM within the training area.
Figure 4.
The vegetation height model and the TanDEM-X DTM within the 70 km × 80 km study area.
Table 3.
Elevation error of the original DEM and the error-corrected DEMs in test areas.
Figure 5.
Elevation errors distribution of TanDEM-X DEM and TanDEM-X DTM. (a) The distribution of TanDEM-X DEM errors in the core area. (b) The distribution of TanDEM-X DTM errors in the core area. (c) The distribution of TanDEM-X DEM errors in the LHS area. (d) The distribution of TanDEM-X DTM errors in the LHS area.
4.3. The Gravity Anomalies Results
TanDEM-X DEM and TanDEM-X DTM are used to calculate the gravity anomalies and gravity gradients at the surface, 100 m above the surface (generally the flight height for airborne gradiometers in the test area), and at an altitude of 1 km (generally the flight height for airborne gravimeters in the test area) within the core area. By analyzing the ME, STD, and RMS of the results before and after vegetation correction, we assessed the impact of vegetation height on the gravity anomalies and gravity gradient within the study area.
Table 4 shows that the maximum surface gravity anomaly calculated using the TanDEM-X DEM is ~53.42 mGal, which decreases to ~52.58 mGal after the vegetation correction. Similar reductions are observed at both 100 m above the surface and an altitude of 1 km. The mean gravity anomaly remain stable, with a slight decrease after correction, suggesting a minor downward shift in the overall anomaly distribution. Additionally, the RMS and STD show slight declines after vegetation correction, suggesting improved accuracy and reduced variability in the gravity anomalies. These trends are most evident at the surface and 100 m above the surface, where the impact of vegetation is more significant.
Table 4.
The gravity anomaly forward-modeling results in the core area.
Figure 6 presents the gravity anomalies in the core area, along with the differences between the gravity anomalies derived from the TanDEM-X DEM and the TanDEM-X DTM. The results indicate a consistent spatial pattern of gravity anomalies at the surface (Figure 6a), 100 m above the surface (Figure 6b), and at an altitude of 1 km (Figure 6c), with higher gravity anomalies concentrated in the northeastern and southwestern parts of the study area. This trend persists across different altitudes, though the anomaly magnitudes slightly decrease with elevation. The pronounced anomalies near volcanic regions suggest a strong correlation with underlying geological structures. In contrast, lower gravity anomalies in other parts of the study area indicate a more homogeneous subsurface composition.
Figure 6.
The gravity anomalies and the gravity anomaly differences caused by vegetation in the core area. (a) means the surface gravity anomalies. (b) means the gravity anomalies at 100 m above the surface. (c) means the gravity anomalies at 1 km altitude. (d) means the gravity anomaly differences at the surface. (e) means the gravity anomaly differences at 100 m above the surface. (f) means the gravity anomaly differences at 1 km altitude.
Table 5 indicates that, under the influence of vegetation, the gravity anomalies at the surface show differences ranging from ~−1.02 to ~1.79 mGal (Figure 6d), with an MAE of ~0.09 mGal and an RMS of ~0.17 mGal. At 100 m above the surface, the gravity anomalies exhibit differences ranging from ~−0.41 to ~0.67 mGal (Figure 6e), with an MAE of ~0.07 mGal and an RMS of ~0.12 mGal. At an altitude of 1 km, the gravity anomalies show differences ranging from ~−0.21 to ~0.04 mGal (Figure 6f), with an MAE of ~0.05 mGal and an RMS of ~0.07 mGal. The spatial distribution of gravity anomaly differences in Figure 6 shows that the largest discrepancies occur at the surface, gradually diminishing with increasing altitude. These differences are particularly prominent in regions with dense vegetation and around volcanic structures.
Table 5.
The gravity anomaly differences caused by vegetation in the core area.
4.4. The Gravity Gradients Results
To measure the gravity gradients, the aircraft typically flies at an altitude of 80 to 100 m above the survey area. In this study, the gravity gradients at 100 m altitude above the core area were calculated. Figure 7 show the gravity gradient components (Vxx, Vyy, Vzz, Vxy, Vxz, and Vyz) based on the TanDEM-X DEM. Table 6 presents the statistical information for these gravity gradient values. The results indicate that the range of gravity gradients varies by approximately 400 E, with significant changes observed near the two volcanoes. Compared to gravity anomalies, gravity gradients provide a more precise indication of the locations of the volcanic craters.
Figure 7.
The gravity gradients in the core area. “E” denotes the unit of the gravity gradient, Eötvös (E). Vxx, Vyy, Vzz, Vxy, Vxz, and Vyz denote the gravity gradient components (Vxx, Vyy, Vzz, Vxy, Vxz, and Vyz) calculated at 100 m above the surface using the TanDEM-X DEM.
Table 6.
The gravity gradient forward-modeling results in the core area.
The gravity gradient differences caused by vegetation were analyzed at 100 m above the surface within the study area (Figure 8). Table 7 provides a statistical summary of these differences. The results reveal that the vegetation-induced gravity gradient errors are most pronounced in the vertical direction (Vzz), ranging from ~−39.76 E to ~48.84 E, with the most significant differences occurring in densely vegetated areas and near the volcanic features. Given the relatively low vegetation cover in the region, the current results may underestimate the impact of vegetation on the terrain gravity field. Compared to gravity anomalies, gravity gradients are more sensitive to the DEM height deviations caused by vegetation. Overall, the gravity gradient errors caused by vegetation are not negligible compared to the current measurement accuracy of airborne gravity gradiometer flight tests.
Figure 8.
The gravity gradient differences in the core area. ΔVxx, ΔVyy, ΔVzz, ΔVxy, ΔVxz, and ΔVyz denote the differences between the gravity gradient components at 100 m above the surface calculated using the TanDEM-X DEM and the TanDEM-X DTM.
Table 7.
Gravity gradient differences caused by vegetation.
5. Conclusions
This study systematically introduces the methods and processes for DEM accuracy assessment, vegetation correction, and the calculation of terrain gravity fields using DEMs. By employing a regional gravity forward-modeling method based on TGF software and the least squares method, the study quantitatively evaluated the impact of satellite DEM elevation errors due to vegetation on the regional gravity anomalies and gravity gradients derived from terrain gravity field-forward modeling. The experimental results conducted at the Wudalianchi airborne gravity gradiometer test site indicate that, at the surface level, DEM elevation errors caused by vegetation lead to significant errors in the gravity anomaly forward-modeling results, with values ranging from −1.02 mGal to 1.79 mGal and RMS of 0.17 mGal. These errors are more pronounced in densely vegetated and volcanic regions. At 100 m above the surface and an altitude of 1 km, the impact of DEM elevation errors due to vegetation on gravity anomalies is relatively small, with values contained within ±1 mGal. Gravity gradients are more sensitive to DEM elevation errors caused by vegetation. At the typical flight height for airborne gradiometers at the test site (100 m above the surface), vegetation height impacts the vertical gravity gradient by approximately 4.20 E (RMS), with errors up to 48.84 E over vegetation-covered areas. These findings are of great significance for accurate terrain corrections, high-precision gravity and gravity gradient modeling, and gravity gradient calibration at the Wudalianchi test site. They underscore the critical importance of using DEMs with vegetation errors removed, particularly for applications such as airborne gravimeter and gradiometer calibration, and provide valuable reference data for future airborne gravity gradient calibration missions.
Additionally, this study used high-precision DEM grid data generated from airborne LiDAR as the reference elevation. It comprehensively compared and evaluated the elevation accuracy of 12 types of satellite DEM products within the Wudalianchi airborne gravity gradiometer test site at the same scale. The results demonstrate that the TanDEM-X DEM and AW3D30 DEM exhibit the highest vertical accuracy in the study area, making it a reliable, publicly available foundational dataset for geoscientific research in the Wudalianchi region.
Author Contributions
Conceptualization, L.W. and M.Y.; methodology, L.W. and M.Y.; software, M.Y. and L.W.; validation, L.W.; formal analysis, L.W.; investigation, L.W.; resources, Z.H., M.Y., and W.F.; writing—original draft preparation, L.W.; writing—review and editing, M.Y., W.F., X.Y., and M.Z.; visualization, L.W.; supervision, W.F., X.Y., and M.Z.; funding acquisition, M.Y. and W.F. All authors have read and agreed to the published version of the manuscript.
Funding
This work was supported by the National Natural Science Foundation of China (Grant No. 42104083), the National Precise Gravity Measurement Facility (PGMF), and the Fundamental Research Funds for the Central Universities, Sun Yat-sen University (Grant Nos. 24xkjc027, and 23xkjc012).
Data Availability Statement
The data used to support the findings of this study are available from the authors upon request.
Conflicts of Interest
The authors declare no conflicts of interest.
References
- Dubey, C.P.; Roy, A. Joint inversion of gravity and gravity gradient and its application to mineral exploration. J. Ind. Geophys. Union 2023, 27, 1–18. [Google Scholar]
- Liu, J. Using gravity gradient component and their combination to interpret the geological structures in the eastern Tianshan Mountains. Geophys. J. Int. 2022, 228, 982–998. [Google Scholar] [CrossRef]
- Miller, C.A.; Williams-Jones, G.; Fournier, D.; Witter, J. 3D gravity inversion and thermodynamic modelling reveal properties of shallow silicic magma reservoir beneath Laguna del Maule, Chile. Earth Planet. Sci. Lett. 2017, 459, 14–27. [Google Scholar] [CrossRef]
- Mao, N.; Li, A.; Xu, J.; Li, F.; Qin, F.; He, H.; Li, J.; Zhu, B. Adaptive Gravity-Aided Inertial Navigation Based on Characteristic Analysis of Marine Gravity Anomaly from Satellite Altimetry. IEEE Trans. Geosci. Remote Sens. 2024, 62, 5920813. [Google Scholar] [CrossRef]
- Howard, D.; Grujic, M.; Lane, R. The Kauring airborne gravity and airborne gravity gradiometer test site, Western Australia. In Airborne Gravity 2010–Abstracts from the ASEG-PESA Airborne Gravity 2010 Workshop; Lane, R.J.L., Ed.; Geoscience Australia Record 2010/23; Geoscience Australia and the Geological Survey of New South Wales: Sydney, Australia, 2010; pp. 107–114. [Google Scholar]
- Christensen, A.N.; Dransfield, M.H. Noise and repeatability of airborne gravity gradiometry. In Proceedings of the 76th EAGE Conference and Exhibition 2014, Amsterdam, The Netherlands, 16–19 June 2014; European Association of Geoscientists & Engineers: Bunnik, The Netherlands, 2014; Volume 2014, pp. 1–5. [Google Scholar]
- Hatch, D.; Wong, H.; Annecchione, M.; Hefford, S. Validating the Gedex HD-AGG™ Airborne Gravity Gradiometer. ASEG Ext. Abstr. 2018, 2018, 1–5. [Google Scholar] [CrossRef]
- Tian, Y.; He, H.; Ye, Q.; Wang, Y. Method for assessing the three-dimensional density structure based on gravity gradient inversion and gravity gradient curvature. J. Geophys. Eng. 2022, 19, 1064–1081. [Google Scholar] [CrossRef]
- Bruton, A.M.; Hammada, Y.; Ferguson, S.; Schwarz, K.P.; Wei, M.; Halpenny, J. A comparison of inertial platform, damped 2-axis platform and strapdown airborne gravimetry. In Proceedings of the International Symposium on Kinematic Systems in Geodesy, Geomatics and Navigation, Banff, AB, Canada, 5–8 June 2001. [Google Scholar]
- Dal Pozzo, H.A.; Shukowsky, W.; Molina, E.C. Tietê Airborne Gravity Test Area. In Proceedings of the 10th International Congress of the Brazilian Geophysical Society, Rio de Janeiro, Brazil, 19–23 November 2007. [Google Scholar]
- Peirce, J.W.; Sander, S.; Charters, R.A.; Lavoie, V. Turner Valley, Canada—A case history in contemporary airborne gravity. In SEG Technical Program Expanded Abstracts 2002; Society of Exploration Geophysicists: Houston, TX, USA, 2002; pp. 783–787. [Google Scholar]
- Barzaghi, R.; Borghi, A.; Keller, K.; Forsberg, R.; Giori, I.; Loretti, I.; Olesen, A.V.; Stenseng, L. Airborne gravity tests in the Italian area to improve the geoid model of Italy. Geophys. Prospect. 2009, 57, 625–632. [Google Scholar] [CrossRef]
- Healey, D.L. Application of gravity data to geologic problems at Nevada Test Site. Geol. Soc. Am. Mem. 1968, 110, 147–156. [Google Scholar]
- Li, W.K.; Yang, M.; Zhong, M.; Feng, W. Methodology to calculate full tensor of airborne gravity gradient based on 3D gravity inversion. J. Huazhong Univ. Sci. Technol. (Nat. Sci. Ed.) 2022, 50, 90–95. [Google Scholar]
- Sajjadi, S.; Martinec, Z. Terrain Corrections in Gravity and Gradiometry. In Satellite Altimetry-Theory, Applications and Recent Advances; IntechOpen: London, UK, 2023. [Google Scholar]
- Yang, M. Investigation of the Residual Terrain Modelling (RTM) Technique for High-Frequency Gravity Calculations. Ph.D. Thesis, Technische Universität München, Munich, Germany, 2020. [Google Scholar]
- Croneborg, L.; Saito, K.; Matera, M.; McKeown, D.; van Aardt, J. Digital Elevation Models: A Guidance Note on How Digital Elevation Models Are Created and Used; World Bank: Washington, DC, USA, 2020. [Google Scholar]
- Wang, W.X.; Shao, Y.X.; Yao, W.Q.; Liu, J.; Han, L.F.; Liu, X.L.; Gao, Y.P.; Wang, Z.J.; Qin, K.X.; Tu, H.W. Rapid extraction of features and indoor reconstruction of 3D structures of Madoi MW7.4 earthquake surface ruptures based on photogrammetry method. Seismol. Geol. 2022, 44, 524–540. [Google Scholar]
- Rocha, J.; Duarte, A.; Silva, M.; Fabres, S.; Vasques, J.; Revilla-Romero, B.; Quintela, A. The importance of high resolution digital elevation models for improved hydrological simulations of a mediterranean forested catchment. Remote Sens. 2020, 12, 3287. [Google Scholar] [CrossRef]
- Watson, C.; Kargel, J.; Tiruwa, B. UAV-derived Himalayan topography: Hazard assessments and comparison with global DEM products. Drones 2019, 3, 18. [Google Scholar] [CrossRef]
- Rabby, Y.W.; Ishtiaque, A.; Rahman, M.S. Evaluating the effects of digital elevation models in landslide susceptibility mapping in Rangamati District, Bangladesh. Remote Sens. 2020, 12, 2718. [Google Scholar] [CrossRef]
- Fu, H.; Fu, B.; Ninomiya, Y.; Shi, P. New insights of geomorphologic and lithologic features on Wudalianchi volcanoes in the northeastern China from the ASTER multispectral data. Remote Sens. 2019, 11, 2663. [Google Scholar] [CrossRef]
- Yang, Y.; Lei, J.; Ai, Y.; Zhang, G.; Sun, C.; Fan, E.; Li, C.; Mi, Q.; Lu, M.; Liu, Z.; et al. Crustal structure beneath Northeast China from ambient noise tomography. Phys. Earth Planet. Inter. 2019, 293, 106257. [Google Scholar] [CrossRef]
- Li, S.; Xu, T.; Zhang, S.; Jia, X.; Tian, P.; Yue, D.; Zhang, Q.; Feng, B.; Feng, Z. Hot dry rock geothermal resource potential in the Wudalianchi volcanic field, NE CHINA: Implications from geophysical exploration. Energy Explor. Exploit. 2019, 37, 663–676. [Google Scholar]
- Fazilova, D.; Magdiev, K.; Sichugova, L. Vertical Accuracy Assessment of Open Access Digital Elevation Models Using GPS. Int. J. Geoinformatics 2021, 19, 19–26. [Google Scholar] [CrossRef]
- Narin, O.G.; Gullu, M. A comparison of vertical accuracy of global DEMs and DEMs produced by GEDI, ICESat-2. Earth Sci. Inform. 2023, 16, 2693–2707. [Google Scholar] [CrossRef]
- Lei, Q.J.; Liu, J.; Cao, X.Y. Accuracy evaluation of open DEM products based on airborne LiDAR data. Geomat. Inf. Sci. Wuhan Univ. 2022, 1–16. [Google Scholar] [CrossRef]
- El Mhamdi, A.; Aarab, M.; El Fariati, A. Evaluation of the Accuracy of Open-Source DEMs using GPS Data. Int. J. Environ. Geoinform. 2023, 10, 41–50. [Google Scholar] [CrossRef]
- Ding, H.; Liu, J.; Yang, S.; Luo, J.; Liu, Y.; Liang, X.; Na, J.; Jiang, S.; Fu, Y. Performance assessment of global open-access digital elevation models in China mainland coastal region. Earth Surf. Process. Landf. 2023, 48, 2133–2140. [Google Scholar] [CrossRef]
- Aziz, M.A.; Pa’suya, M.F.; Talib, N.; Din, A.H.M.; Hashim, S.; Ramli, M.Z. Vertical Accuracy Assessment of Improvised Global Digital Elevation Models (MERIT, NASADEM, EarthEnv) Using GNSS and Airborne IFSAR DEM. Int. J. Geoinform. 2023, 19, 11. [Google Scholar]
- Dai, Z.Y.; Zhang, L.H.; Liu, X.; Chen, Q. An Elevation Accuracy Assessment Method for Open DEM Data. Geomat. Sci. Technol. 2023, 11, 271. [Google Scholar] [CrossRef]
- Eppelbaum, L.; Khesin, B. Geophysical Studies in the Caucasus; Springer Science & Business Media: Berlin/Heidelberg, Germany, 2012. [Google Scholar]
- Eppelbaum, L. Geophysical Potential Fields: Geological and Environmental Applications; Elsevier: Amsterdam, The Netherlands, 2019. [Google Scholar]
- Hirt, C. RTM Gravity Forward-Modeling Using Topography/Bathymetry Data to Improve High-Degree Global Geopotential Models in the Coastal Zone. Mar. Geod. 2013, 36, 183–202. [Google Scholar] [CrossRef]
- Abbak, R.A. Effect of ASTER DEM on the Prediction of Mean Gravity Anomalies: A Case Study over the Auvergne Test Region. Acta Geod. Geophys. 2014, 49, 491–502. [Google Scholar] [CrossRef]
- Lin, M.; Yang, M.; Zhu, J. Experiences with the RTM Method in Local Quasi-Geoid Modeling. Remote Sens. 2023, 15, 3594. [Google Scholar] [CrossRef]
- Dransfield, M.; Zeng, Y. Airborne gravity gradiometry: Terrain corrections and elevation error. Geophysics 2009, 74, I37–I42. [Google Scholar] [CrossRef]
- Dransfield, M.H. Airborne Gravity Gradiometry. Ph.D. Thesis, The University of Western Australia, Crawley, Australia, 1994. [Google Scholar] [CrossRef]
- Szelachowska, M.; Kryński, J. Evaluation of the effect of uncertainty of height data on the accuracy of terrain corrections. Geod. Cartogr. 2009, 58, 71–88. [Google Scholar]
- McCubbine, J.C.; Featherstone, W.E.; Kirby, J.F. Fast-Fourier-based error propagation for the gravimetric terrain correction. Geophysics 2017, 82, G71–G76. [Google Scholar] [CrossRef]
- Yang, M.; Hirt, C.; Rexer, M.; Pail, R.; Yamazaki, D. The tree-canopy effect in gravity forward modelling. Geophys. J. Int. 2019, 219, 271–289. [Google Scholar] [CrossRef]
- Yang, M.; Hirt, C.; Pail, R. TGF: A new MATLAB-based software for terrain-related gravity field calculations. Remote Sens. 2020, 12, 1063. [Google Scholar] [CrossRef]
- Tadono, T.; Nagai, H.; Ishida, H.; Oda, F.; Naito, S.; Minakawa, K.; Iwamoto, H. Generation of the 30 m-mesh global digital surface model by ALOS PRISM. Int. Arch. Photogramm. Remote Sens. Spat. Inf. Sci. 2016, 41, 157–162. [Google Scholar] [CrossRef]
- Yamaguchi, Y.; Kahle, A.B.; Tsu, H.; Kawakami, T.; Pniel, M. Overview of advanced spaceborne thermal emission and reflection radiometer (ASTER). IEEE Trans. Geosci. Remote. Sens. 1998, 36, 1062–1071. [Google Scholar] [CrossRef]
- Abrams, M.; Crippen, R.; Fujisada, H. ASTER global digital elevation model (GDEM) and ASTER global water body dataset (ASTWBD). Remote Sens. 2020, 12, 1156. [Google Scholar] [CrossRef]
- Farr, T.G.; Kobrick, M. Shuttle Radar Topography Mission produces a wealth of data. Eos Trans. Am. Geophys. Union 2000, 81, 583–585. [Google Scholar] [CrossRef]
- Farr, T.G.; Rosen, P.A.; Caro, E.; Crippen, R.; Duren, R.; Hensley, S.; Kobrick, M.; Paller, M.; Rodriguez, E.; Alsdorf, D. The shuttle radar topography mission. Rev. Geophys. 2007, 45, 2. [Google Scholar] [CrossRef]
- Reuter, H.I.; Nelson, A.; Jarvis, A. An evaluation of void-filling interpolation methods for SRTM data. Int. J. Geogr. Inf. Sci. 2007, 21, 983–1008. [Google Scholar] [CrossRef]
- Hoffmann, J.; Walter, D. How complementary are SRTM-X and-C band digital elevation models? Photogramm. Eng. Remote Sens. 2006, 72, 261–268. [Google Scholar] [CrossRef]
- Krieger, G.; Moreira, A.; Fiedler, H.; Hajnsek, I.; Werner, M.; Younis, M.; Zink, M. TanDEM-X: A satellite formation for high-resolution SAR interferometry. IEEE Trans. Geosci. Remote Sens. 2007, 45, 3317–3341. [Google Scholar] [CrossRef]
- Wessel, B. TanDEM-X Ground Segment–DEM Products Specification Document; Earth Observation Center: Hatoyama Town, Hiki County, Saitama Prefecture, Japan, 2018. [Google Scholar]
- Airbus. Copernicus DEM: Copernicus Digital Elevation Model Product Handbook; Airbus: Blagnac, France, 2020. [Google Scholar]
- Danielson, J.J.; Gesch, D.B. Global Multi-Resolution Terrain Elevation Data 2010 (GMTED2010); US Geological Survey: Reston, VA, USA, 2011. [Google Scholar]
- Yamazaki, D.; Ikeshima, D.; Tawatari, R.; Yamaguchi, T.; O’Loughlin, F.; Neal, J.C.; Sampson, C.C.; Kanae, S.; Bates, P.D. A high accuracy map of global terrain elevations. Geophys. Res. Lett. 2017, 44, 5844–5853. [Google Scholar] [CrossRef]
- Li, P.; Li, Z.H.; Shi, C.; Liu, J.N. Quality evaluation of recently released 1 Arc Second SRTM DEM in China. Bull. Surv. Mapp. 2016, 9, 24–28. [Google Scholar]
- Laurencelle, J.; Logan, T.; Gens, R. ASF radiometrically terrain corrected ALOS PALSAR products. ASF-Alsk. Satell. Facil. 2015, 1, 12. [Google Scholar]
- Crippen, R.; Buckley, S.; Agram, P.; Belz, E.; Gurrola, E.; Hensley, S.; Kobrick, M.; Lavalle, M.; Martin, J.; Neumann, M.; et al. Nasadem Global Elevation Model: Methods and Progress. ISPRS—Int. Arch. Photogramm. Remote. Sens. Spat. Inf. Sci. 2016, XLI-B4, 125–128. [Google Scholar] [CrossRef]
- Wang, J.R.; Yang, Y.X.; Hu, Y.; Miu, Y.Z. Analysis on status quo and development trend of optical surveying and mapping satellites. Geomat. Inf. Sci. Wuhan Univ. 2023, 48, 333–338. [Google Scholar]
- Wang, J.R.; Yang, Y.X.; Hu, Y.; Lv, Y.; Yang, X.C.; Lu, X.L.; Cao, B.C. Preliminary location accuracy assessments of GF-14 stereo mapping satellite without ground control points. Acta Geod. Cartogr. Sin. 2023, 52, 8–14. [Google Scholar]
- Zhang, W.; Qi, J.; Wan, P.; Wang, H.; Xie, D.; Wang, X.; Yan, G. An easy-to-use airborne LiDAR data filtering method based on cloth simulation. Remote Sens. 2016, 8, 501. [Google Scholar] [CrossRef]
- Zhang, S.H.; Pang, Y.N.; Zhang, W.M.; Feng, W. UAV High-Precision Topographic Mapping of Airborne Gravity Gradient Test Site. J. Huazhong Univ. Sci. Technol. (Nat. Sci. Ed.) 2022, 50, 76–82. [Google Scholar]
- Simard, M.; Pinto, N.; Fisher, J.B.; Baccini, A. Mapping forest canopy height globally with spaceborne lidar. J. Geophys. Res. Biogeosciences 2011, 116, G4. [Google Scholar] [CrossRef]
- Harding, D.J.; Carabajal, C.C. ICESat waveform measurements of within-footprint topographic relief and vegetation vertical structure. Geophys. Res. Lett. 2005, 32, 21. [Google Scholar] [CrossRef]
- Townshend, J. Global Forest Cover Change (GFCC) Tree Cover Multi-Year Global 30 m V003; NASA EOSDIS Land Processes DAAC: Sioux Falls, SD, USA, 2016; pp. 176–184. [Google Scholar]
- Wang, Y.; Zhang, J.; Liu, D.; Yang, W.; Zhang, W. Accuracy assessment of GlobeLand30 2010 land cover over China based on geographically and categorically stratified validation sample data. Remote Sens. 2018, 10, 1213. [Google Scholar] [CrossRef]
- Bucha, B.; Janák, J. A MATLAB-based graphical user interface program for computing functionals of the geopotential up to ultra-high degrees and orders. Comput. Geosci. 2013, 56, 186–196. [Google Scholar] [CrossRef]
- Keys, R. Cubic convolution interpolation for digital image processing. IEEE Trans. Acoust. Speech Signal Process. 1981, 29, 1153–1160. [Google Scholar] [CrossRef]
- O’Loughlin, F.E.; Paiva, R.C.; Durand, M.; Alsdorf, D.E.; Bates, P.D. A multi-sensor approach towards a global vegetation corrected SRTM DEM product. Remote Sens. Environ. 2016, 182, 49–59. [Google Scholar] [CrossRef]
- Liu, H.J.; Ma, Y.Y.; Yang, H.X.; Guan, H.X.; Shao, S.; Shao, Y.Q. A new method to improve SRTM DEM with NDVI. Remote Sens. Technol. Appl. 2021, 36, 1083–1091. [Google Scholar]
- Grombein, T.; Seitz, K.; Heck, B. Optimized formulas for the gravitational field of a tesseroid. J. Geod. 2013, 87, 645–660. [Google Scholar] [CrossRef]
- Yang, M.; Hirt, C.; Tenzer, R.; Pail, R. Experiences with the use of mass-density maps in residual gravity forward modelling. Stud. Geophys. Geod. 2018, 62, 596–623. [Google Scholar] [CrossRef]
- Tsoulis, D. Analytical computation of the full gravity tensor of a homogeneous arbitrarily shaped polyhedral source using line integrals. Geophysics 2012, 77, F1–F11. [Google Scholar] [CrossRef]
- Nagy, D.; Papp, G.; Benedek, J. The gravitational potential and its derivatives for the prism. J. Geod. 2000, 74, 552–560, Correction in J. Geod. 2002, 76, 475. [Google Scholar] [CrossRef]
- Mesa-Mingorance, J.L.; Ariza-López, F.J. Accuracy assessment of digital elevation models (DEMs): A critical review of practices of the past three decades. Remote Sens. 2020, 12, 2630. [Google Scholar] [CrossRef]
- Guan, L.Y.; Chen, S.Y.; Zou, S.Y.; Wu, W. Comparative Analysis of Several Freely Available DEM Datasets. Geomat. Spat. Inf. Technol. 2020, 43, 21–23. [Google Scholar]
Disclaimer/Publisher’s Note: The statements, opinions and data contained in all publications are solely those of the individual author(s) and contributor(s) and not of MDPI and/or the editor(s). MDPI and/or the editor(s) disclaim responsibility for any injury to people or property resulting from any ideas, methods, instructions or products referred to in the content. |
© 2024 by the authors. Licensee MDPI, Basel, Switzerland. This article is an open access article distributed under the terms and conditions of the Creative Commons Attribution (CC BY) license (https://creativecommons.org/licenses/by/4.0/).







