Improving Typhoon Muifa (2022) Forecasts with FY-3D and FY-3E MWHS-2 Satellite Data Assimilation under Clear Sky Conditions
Abstract
1. Introduction
2. Material and Methods
2.1. WRFDA System
2.2. Quality Control and Bias Correction
- (1)
- remove the radiance data with TBs lower than 50 K or higher than 550 K;
- (2)
- remove radiance data over mixed surface types;
- (3)
- remove the radiance data if the bias-corrected normalized first-guess departure (OMB) exceeded 3σ, where σ represents the specified standard deviation of the observation errors;
- (4)
- remove the radiance data if the difference between observation and background simulated light temperature is more than 15 K;
- (5)
- removes radiances with CLWP ≥ 0.2 kg/m2 calculated from the background.
2.3. Data Usage
3. Typhoon Case and Experimental Design
3.1. Overview of Typhoon Muifa
3.2. Experimental Design
4. Results
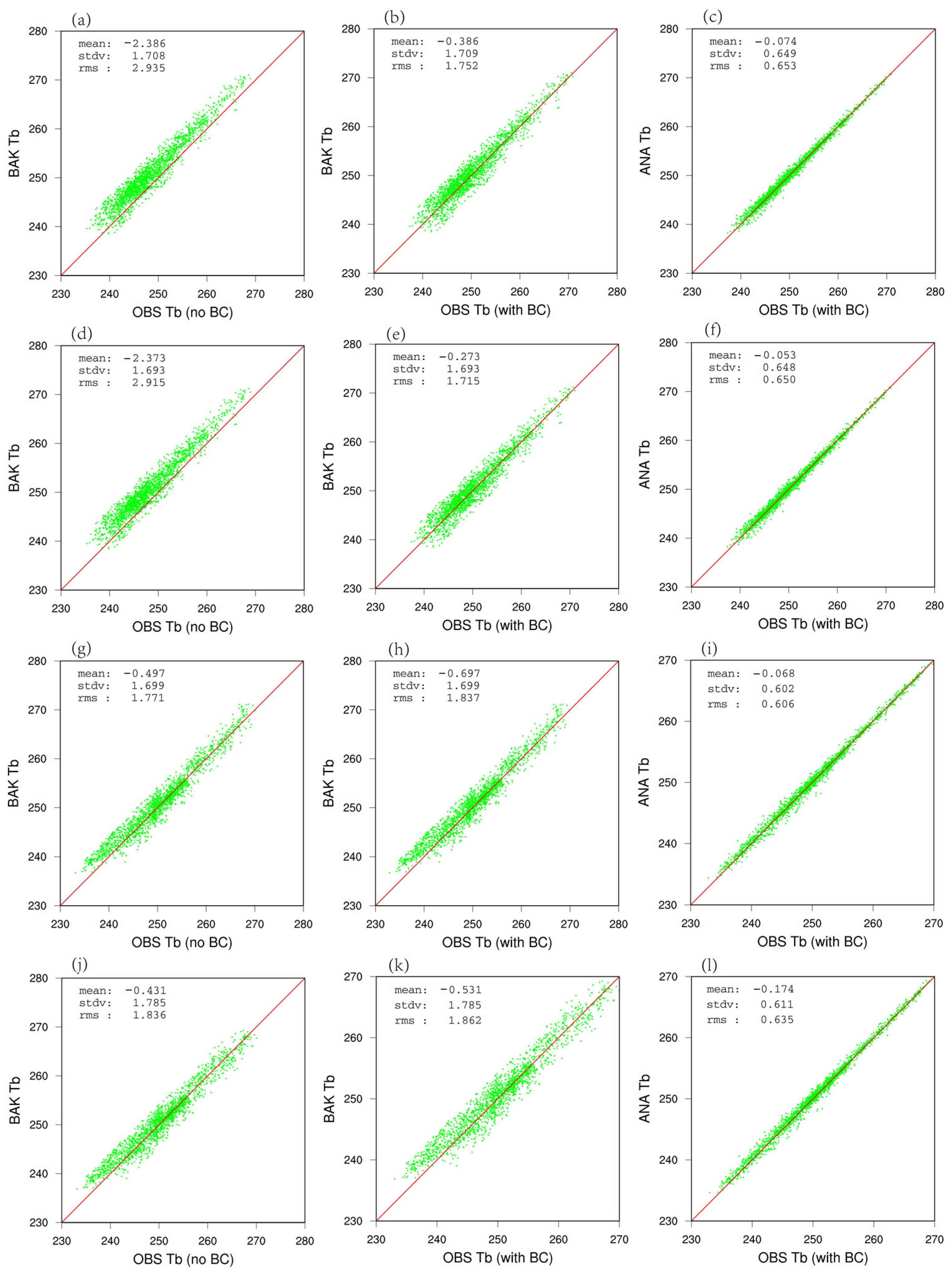
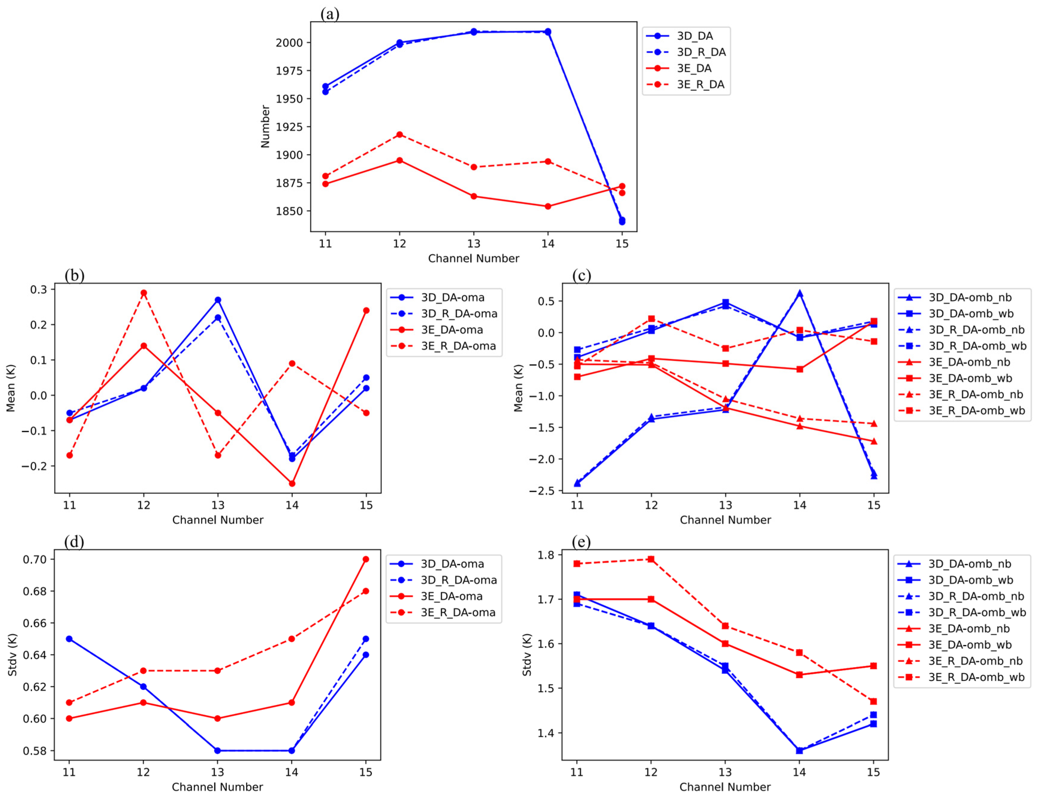
4.1. Radiance Simulations and Bias Correction
4.2. Typhoon Structure Analysis
4.2.1. Analysis of the Thermal Structures
4.2.2. The 500 hPa Geopotential Height
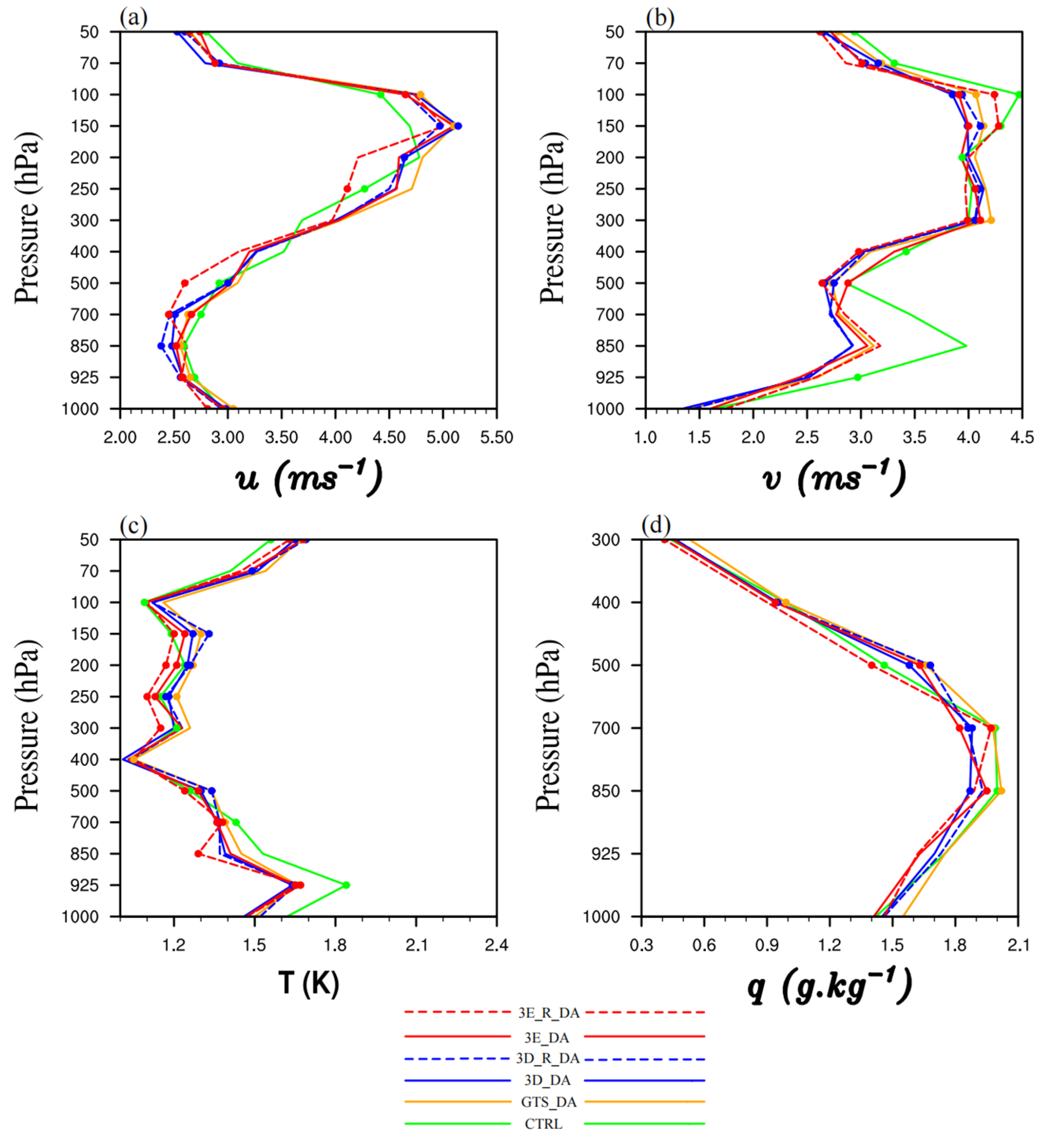
4.3. Forecast Performance
5. Discussions
6. Conclusions
Author Contributions
Funding
Data Availability Statement
Acknowledgments
Conflicts of Interest
References
- Saunders, R. The use of satellite data in numerical weather prediction. Weather 2021, 76, 95–97. [Google Scholar] [CrossRef]
- Eyre, J.R.; Bell, W.; Cotton, J.; English, S.J.; Forsythe, M.; Healy, S.B.; Pavelin, E.G. Assimilation of satellite data in numerical weather prediction. Part II: Recent years. Q. J. R. Meteorol. Soc. 2022, 743, 521–556. [Google Scholar] [CrossRef]
- Eyre, J.R.; English, J.S.; Forsythe, M. Assimilation of satellite data in numerical weather prediction. Part I: The early years. Q. J. R. Meteorol. Soc. 2020, 146, 49–68. [Google Scholar] [CrossRef]
- Xu, D.; Liu, Z.; Huang, X.Y.; Min, J.; Wang, H. Impact of Assimilating IASI Radiance Observations on Forecasts of Two Tropical Cyclones. Meteorol. Atmos. Phys. 2013, 122, 1–18. [Google Scholar] [CrossRef]
- Collard, A.; Hilton, F.; Forsythe, M.; Candy, B. From Observations to Forecasts-Part 8: The use of satellite observations in numerical weather prediction. Weather 2011, 66, 31–36. [Google Scholar] [CrossRef]
- Balsamo, G.; Agusti-Panareda, A.; Albergel, C.; Arduini, G.; Beljaars, A.; Bidlot, J.; Blyth, E.; Bousserez, N.; Boussetta, S.; Brown, A.; et al. Satellite and In Situ Observations for Advancing Global Earth Surface Modelling: A Review. Remote Sens. 2018, 10, 2038. [Google Scholar] [CrossRef]
- Zapotocny, T.H.; Jung, J.A.; Le Marshall, J.F.; Treadon, R.E. A two-season impact study of satellite and in situ data in the NCEP Global Data Assimilation System. Weather Forecast. 2007, 22, 887–909. [Google Scholar] [CrossRef]
- Errico, R.M.; Ohring, G.; Weng, F.; Bauer, P.; Ferrier, B.; Mahfouf, J.F.; Turk, J. Assimilation of Satellite Cloud and Precipitation Observations in Numerical Weather Prediction Models: Introduction to the JAS Special Collection. J. Atmos. Sci. 2007, 64, 3737–3741. [Google Scholar] [CrossRef]
- Xu, D.; Shu, A.; Shen, F. Effects of Clear-Sky Assimilation of GPM Microwave Imager on the Analysis and Forecast of Typhoon “Chan-Hom”. Sensors 2020, 20, 2674. [Google Scholar] [CrossRef]
- Xu, D.; Shen, F.; Min, J. Assimilation of GPM Microwave Imager Radiance for Track Prediction of Typhoon Cases with the WRF Hybrid En3DVAR System. Adv. Atmos. Sci. 2021, 38, 983–993. [Google Scholar] [CrossRef]
- Duncan, D.I.; Bormann, N.; Hólm, E.V. On the addition of microwave sounders and numerical weather prediction skill. Q. J. R. Meteorol. Soc. 2021, 147, 3703–3718. [Google Scholar] [CrossRef]
- Rosenkranz, P.W.; Komichak, M.J.; Staelin, D.H. A Method for Estimation of Atmospheric Water Vapor Profiles by Microwave Radiometry. J. Appl. Meteorol. Climatol. 1982, 21, 1364–1370. [Google Scholar] [CrossRef]
- Liu, Q.; Cao, C.; Grassotti, C.; Lee, Y.K. How Can Microwave Observations at 23.8 GHz Help in Acquiring Water Vapor in the Atmosphere over Land? Remote Sens. 2021, 13, 489. [Google Scholar] [CrossRef]
- Shen, F.; Min, J. Assimilating AMSU-A Radiance Data with the WRF Hybrid En3DVAR System for Track Predictions of Typhoon Megi (2010). Adv. Atmos. Sci. 2015, 32, 1231–1243. [Google Scholar] [CrossRef]
- Choudhury, D.; Gupta, A.; Rani, S.I.; George, J.P. Impact of SAPHIR radiances on the simulation of tropical cyclones over the Bay of Bengal using NCMRWF hybrid-4DVAR assimilation and forecast system. J. Earth Syst. Sci. 2020, 129, 209. [Google Scholar] [CrossRef]
- Dhanya, M.; Gopalakrishnan, D.; Chandrasekar, A.; Singh, S.K.; Prasad, V. The impact of assimilating Megha Tropiques SAPHIR radiances in the simulation of tropical cyclones over the Bay of Bengal using the WRF model. Int. J. Remote Sens. 2016, 37, 3086–3103. [Google Scholar] [CrossRef]
- Xie, Y.; Chen, M.; Shi, J.; Fan, S.; He, J.; Dou, Y. Impacts of Assimilating ATMS Radiances on Heavy Rainfall Forecast in RMAPS-ST. Remote Sens. 2020, 12, 1147. [Google Scholar] [CrossRef]
- Lai, Z.; Peng, S. The Effect of Assimilating AMSU-A Radiance Data from Satellites and Large-Scale Flows from GFS on Improving Tropical Cyclone Track Forecast. Atmosphere 2022, 13, 1988. [Google Scholar] [CrossRef]
- Dong, C.; Yang, J.; Zhang, W.; Yang, Z.; Lu, N.; Shi, J.; Zhang, P.; Liu, Y.; Cai, B. An Overview of a New Chinese Weather Satellite FY-3A. Bull. Am. Meteorol. Soc. 2009, 90, 1531–1544. [Google Scholar] [CrossRef]
- Zhang, P.; Lu, Q.; Hu, X.; Gu, S.; Yang, L.; Min, M.; Chen, L.; Xu, N.; Sun, L.; Bai, W.; et al. Latest progress of the Chinese meteorological satellite program and core data processing technologies. Adv. Atmos. Sci. 2019, 36, 1027–1045. [Google Scholar] [CrossRef]
- Zhang, P.; Hu, X.; Lu, Q.; Zhu, A.; Lin, M.; Sun, L.; Chen, L. FY-3E: The first operational meteorological satellite mission in an early morning orbit. Adv. Atmos. Sci. 2022, 39, 1–8. [Google Scholar] [CrossRef]
- Duncan, D.I.; Bormann, N. On the Addition of Microwave Sounders and NWP Skill, Including Assessment of FY-3D Sounders; European Centre for Medium-Range Weather Forecasts: Reading, UK, 2020. [Google Scholar]
- Carminati, F.; Migliorini, S. All-sky data assimilation of MWTS-2 and MWHS-2 in the Met Office global NWP system. Adv. Atmos. Sci. 2021, 38, 1682–1694. [Google Scholar] [CrossRef]
- Carminati, F.; Atkinson, N.; Candy, B.; Lu, Q. Insights into the Microwave Instruments Onboard the Fengyun 3D Satellite: Data Quality and Assimilation in the Met Office NWP System. Adv. Atmos. Sci. 2021, 38, 1379–1396. [Google Scholar] [CrossRef]
- Bormann, N.; Duncan, D.; English, S.; Healy, S.; Lonitz, K.; Chen, K.; Lawrence, H.; Lu, Q. Growing Operational Use of FY-3 Data in the ECMWF System. Adv. Atmos. Sci. 2021, 38, 1285–1298. [Google Scholar] [CrossRef]
- Xu, D.; Shu, A.; Li, H.; Shen, F.; Min, J. Effects of Assimilating Clear-Sky FY-3D MWHS2 Radiance on the Numerical Simulation of Typhoon Ampil. Remote Sens. 2021, 13, 2873. [Google Scholar] [CrossRef]
- Xiao, H.; Han, W.; Zhang, P.; Bai, Y. Assimilation of data from the MWHS-II onboard the first early morning satellite FY-3E into the CMA global 4D-Var system. Meteorol. Appl. 2023, 30, e2133. [Google Scholar] [CrossRef]
- Bi, M.; Zou, X. Comparison of Cloud/Rain Band Structures of Typhoon Muifa (2022) Revealed in FY-3E MWHS-2 Observations with All-Sky Simulations. J. Geophys. Res. 2023, 128, e2023JD039410. [Google Scholar] [CrossRef]
- Huang, L.; Xu, D.; Li, H.; Jiang, L.; Shu, A. Assimilating FY-3D MWHS2 Radiance Data to Predict Typhoon Muifa Based on Different Initial Background Conditions and Fast Radiative Transfer Models. Remote Sens. 2023, 15, 3220. [Google Scholar] [CrossRef]
- Chen, K.; Chen, Z.; Xian, Z.; Li, G. Impacts of the All-Sky Assimilation of FY-3C and FY-3D MWHS-2 Radiances on Analyses and Forecasts of Typhoon Hagupit. Remote Sens. 2023, 15, 2279. [Google Scholar] [CrossRef]
- Barker, D.; Huang, X.Y.; Liu, Z.; Auligné, T.; Zhang, X.; Rugg, S.; Ajjaji, R.; Bourgeois, A.; Bray, J.; Chen, Y.; et al. The weather research and forecasting model’s community variational/ensemble data assimilation system: WRFDA. Bull. Am. Meteorol. Soc. 2012, 93, 831–843. [Google Scholar] [CrossRef]
- Parrish, D.F.; Derber, J.C. The National Meteorological Center’s spectral statistical-interpolation analysis system. Mon. Weather Rev. 1992, 120, 1747–1763. [Google Scholar] [CrossRef]
- Barker, D.M.; Huang, W.; Guo, Y.R.; Bourgeois, A.J.; Xiao, Q.N. A three-dimensional variational data assimilation system for MM5: Implementation and initial results. Mon. Weather Rev. 2004, 132, 897–914. [Google Scholar] [CrossRef]
- Shen, F.; Song, L.; Li, H.; He, Z.; Xu, D. Effects of different momentum control variables in radar data assimilation on the analysis and forecast of strong convective systems under the background of northeast cold vortex. Atmos. Res. 2022, 280, 106415. [Google Scholar] [CrossRef]
- Sun, J.; Wang, H.; Tong, W.; Zhang, Y.; Lin, C.-Y.; Xu, D. Comparison of the impacts of momentum control variables on high-resolution variational data assimilation and precipitation forecasting. Mon. Weather Rev. 2016, 144, 149–169. [Google Scholar] [CrossRef]
- Xian, Z.; Chen, K.; Zhu, J. All-sky assimilation of the MWHS-2 observations and evaluation the impacts on the analyses and forecasts of binary typhoons. J. Geophys. Res. 2019, 124, 6359–6378. [Google Scholar] [CrossRef]
- Derber, J.C.; Wu, W.S. The use of TOVS cloud-cleared radiances in the NCEP SSI analysis system. Mon. Weather Rev. 1998, 126, 2287–2299. [Google Scholar] [CrossRef]
- Dee, D.P. Bias and data assimilation. Q. J. R. Meteorol. Soc. 2005, 131, 3323–3343. [Google Scholar] [CrossRef]
- Sun, S.; Shi, C.; Pan, Y.; Bai, L.; Xu, B.; Zhang, T.; Han, S.; Jiang, L. Applicability Assessment of the 1998–2018 CLDAS Multi-Source Precipitation Fusion Dataset over China. J. Meteorol. Res. 2020, 34, 879–892. [Google Scholar] [CrossRef]
- Han, S.; Liu, B.; Shi, C.; Liu, Y.; Qiu, M.; Sun, S. Evaluation of CLDAS and GLDAS Datasets for Near-Surface Air Temperature over Major Land Areas of China. Sustainability 2020, 12, 4311. [Google Scholar] [CrossRef]
- Liu, J.; Shi, C.; Sun, S.; Liang, J.; Yang, Z.-L. Improving Land Surface Hydrological Simulations in China Using CLDAS Meteorological Forcing Data. J. Meteorol. Res. 2019, 33, 1194–1206. [Google Scholar] [CrossRef]
- Dong, Z.; Zhao, Y.; Feng, X.; Liu, S. Applicability assessment of CLDAS temperature and precipitation products in Inner Mongolia. J. Arid Meteorol. 2023, 41, 811–819. [Google Scholar]
- Hersbach, H.; Bell, B.; Berrisford, P.; Hirahara, S.; Horányi, A.; Muñoz-Sabater, J.; Nicolas, J.; Peubey, C.; Radu, R.; Schepers, D.; et al. The ERA5 global reanalysis. Q. J. R. Meteorol. Soc. 2020, 146, 1999–2049. [Google Scholar] [CrossRef]
- Zhu, Y.; Mahajan, R.; Thomas, C.; Groff, D.; Van Delst, P.; Collard, A.; Kleist, D.; Treadon, R.; Derber, J.C. All-Sky Microwave Radiance Assimilation in NCEP’s GSI Analysis System. Mon. Weather Rev. 2016, 144, 4709–4735. [Google Scholar] [CrossRef]
- Wilson, A.B.; Bromwich, D.H.; Hines, K.M. Evaluation of Polar WRF forecasts on the Arctic System Reanalysis domain: Surface and upper air analysis. J. Geophys. Res. 2011, 116, D11. [Google Scholar] [CrossRef]
- Li, Z.; Han, W. Impact of HY-2B SMR radiance assimilation on CMA global medium-range weather forecasts. Q. J. R. Meteorol. Soc. 2024, 150, 937–957. [Google Scholar] [CrossRef]
- Hong, S.Y.; Lim, J.O. The WRF single-moment 6-class microphysics scheme (WSM6). J. Korean Phys. Soc. 2006, 42, 129–151. [Google Scholar]
- Hong, S.Y.; Noh, Y.; Dudhia, J. A new vertical diffusion package with an explicit treatment of entrainment processes. Mon. Weather Rev. 2006, 134, 2318–2341. [Google Scholar] [CrossRef]
- Dudhia, J. Numerical study of convection observed during the winter monsoon experiment using a mesoscale two-dimensional model. J. Atmos. Sci. 1989, 46, 3077–3107. [Google Scholar] [CrossRef]
- Mlawer, E.J.; Taubman, S.J.; Brown, P.D.; Iacono, M.J.; Clough, S.A. Radiative transfer for inhomogeneous atmospheres: RRTM, a validated correlated-k model for the longwave. J. Geophys. Res. Atmos. 1997, 102, 16663–16682. [Google Scholar] [CrossRef]
- Kain, J.S. The Kain–Fritsch convective parameterization: An update. J. Appl. Meteorol. 2004, 43, 170–181. [Google Scholar] [CrossRef]
- Li, Y.; Wang, X.; Xue, M. Assimilation of radar radial velocity data with the WRF ensemble-3DVAR hybrid system for the prediction of hurricane Ike (2008). Mon. Weather Rev. 2012, 140, 3507–3524. [Google Scholar] [CrossRef]
- Wang, X. Application of the WRF hybrid ETKF-3DVAR data assimilation system for hurricane track forecasts. Weather Forecast. 2011, 26, 868–884. [Google Scholar] [CrossRef]
- Ying, M.; Zhang, W.; Yu, H.; Lu, X.; Feng, J.; Fan, Y.; Zhu, Y.; Chen, D. An overview of the China Meteorological Administration tropical cyclone database. J. Atmos. Ocean. Technol. 2014, 31, 287–301. [Google Scholar] [CrossRef]
- Junker, N.W.; Hoke, J.E.; Sullivan, B.E.; Brill, K.F.; Hughes, F.J. Seasonal and geographic variations in quantitative precipitation prediction by NMC’s nested-grid model and medium-range forecast model. Weather Forecast. 1992, 7, 410–429. [Google Scholar] [CrossRef]















| Channel | Central Frequency (GHZ) (FY-3D) | Central Frequency (GHz) (FY-3E) | Polarizations | Resolution (km) | Bandwidth (MHz) | Main Sensitivity |
|---|---|---|---|---|---|---|
| 1 | 89 | H | 30 | 1500 | Surface | |
| 2 | 118.75 ± 0.08 | V | 30 | 20 | Temperature | |
| 3 | 118.75 ± 0.2 | V | 30 | 100 | Temperature | |
| 4 | 118.75 ± 0.3 | V | 30 | 165 | Temperature | |
| 5 | 118.75 ± 0.8 | V | 30 | 200 | Temperature | |
| 6 | 118.75 ± 1.1 | V | 30 | 200 | Temperature | |
| 7 | 118.75 ± 2.5 | V | 30 | 200 | Temperature | |
| 8 | 118.75 ± 3.0 | V | 30 | 1000 | Temperature | |
| 9 | 118.75 ± 5.0 | V | 30 | 2000 | Temperature | |
| 10 | 150 | 166 | H | 15 | 1500 | Surface |
| 11 | 183.31 ± 1 | V | 15 | 500 | Humidity | |
| 12 | 183.31 ± 1.8 | V | 15 | 700 | Humidity | |
| 13 | 183.31 ± 3 | V | 15 | 100 | Humidity | |
| 14 | 183.31 ± 4.5 | V | 15 | 2000 | Humidity | |
| 15 | 183.31 ± 7 | V | 15 | 2000 | Humidity | |
| DayHour | 1409 | 1415 | 1421 | 1503 | 1509 | 1515 | 1521 | 1600 | Average |
|---|---|---|---|---|---|---|---|---|---|
| CTRL | 19.93 | 39.10 | 73.16 | 82.63 | 112.86 | 230.95 | 249.27 | 293.96 | 137.73 |
| GTS_DA | 24.61 | 105.21 | 128.95 | 124.44 | 145.93 | 130.62 | 134.74 | 169.78 | 120.54 |
| 3D_DA | 24.61 | 105.21 | 117.89 | 130.60 | 135.74 | 138.79 | 115.14 | 169.78 | 117.22 |
| 3D_R_DA | 24.61 | 96.74 | 109.41 | 132.93 | 126.98 | 129.84 | 97.58 | 102.85 | 102.62 |
| 3E_DA | 24.61 | 105.21 | 116.18 | 127.23 | 156.39 | 138.71 | 116.86 | 72.16 | 107.17 |
| 3E_R_DA | 24.61 | 123.40 | 140.57 | 107.64 | 116.50 | 122.98 | 111.53 | 175.48 | 115.34 |
| DayHour | 1409 | 1415 | 1421 | 1503 | 1509 | 1515 | 1521 | 1600 | Average |
|---|---|---|---|---|---|---|---|---|---|
| CTRL | 35.06 | 23.97 | 11.63 | 4.85 | 2.97 | 3.77 | 5.13 | 6.30 | 11.71 |
| GTS_DA | 36.98 | 25.06 | 12.49 | 4.56 | 1.53 | 2.54 | 2.31 | 3.02 | 11.06 |
| 3D_DA | 37.0 | 25.15 | 12.56 | 4.66 | 1.68 | 2.82 | 1.88 | 2.84 | 11.07 |
| 3D_R_DA | 37.26 | 23.32 | 12.41 | 4.54 | 1.60 | 2.03 | 1.72 | 2.07 | 10.62 |
| 3E_DA | 37.08 | 24.41 | 11.17 | 3.67 | 0.79 | 1.53 | 2.32 | 2.75 | 10.46 |
| 3E_R_DA | 36.63 | 24.24 | 11.26 | 4.25 | 0.56 | 0.61 | 1.01 | 1.20 | 9.97 |
| DayHour | 1409 | 1415 | 1421 | 1503 | 1509 | 1515 | 1521 | 1600 | Average |
|---|---|---|---|---|---|---|---|---|---|
| CTRL | −18.29 | −18.29 | −9.70 | −5.93 | −5.06 | −5.74 | −6.83 | −6.95 | −9.60 |
| GTS_DA | −18.67 | −18.09 | −9.33 | −6.26 | −4.05 | −4.44 | −4.30 | −4.05 | −8.65 |
| 3D_DA | −18.73 | −18.38 | −9.32 | −5.96 | −4.58 | −4.15 | −3.79 | −2.72 | −8.45 |
| 3D_R_DA | −18.77 | −18.54 | −9.18 | −6.48 | −4.08 | −3.88 | −2.74 | −1.77 | −8.18 |
| 3E_DA | −18.64 | −17.17 | −9.16 | −6.10 | −4.29 | −4.37 | −3.73 | −2.80 | −8.28 |
| 3E_R_DA | −18.64 | −19.1 | −10.17 | −4.21 | −3.95 | −3.91 | −1.90 | −1.16 | −7.88 |
Disclaimer/Publisher’s Note: The statements, opinions and data contained in all publications are solely those of the individual author(s) and contributor(s) and not of MDPI and/or the editor(s). MDPI and/or the editor(s) disclaim responsibility for any injury to people or property resulting from any ideas, methods, instructions or products referred to in the content. |
© 2024 by the authors. Licensee MDPI, Basel, Switzerland. This article is an open access article distributed under the terms and conditions of the Creative Commons Attribution (CC BY) license (https://creativecommons.org/licenses/by/4.0/).
Share and Cite
Shen, F.; Yuan, X.; Li, H.; Xu, D.; Luo, J.; Shu, A.; Huang, L. Improving Typhoon Muifa (2022) Forecasts with FY-3D and FY-3E MWHS-2 Satellite Data Assimilation under Clear Sky Conditions. Remote Sens. 2024, 16, 2614. https://doi.org/10.3390/rs16142614
Shen F, Yuan X, Li H, Xu D, Luo J, Shu A, Huang L. Improving Typhoon Muifa (2022) Forecasts with FY-3D and FY-3E MWHS-2 Satellite Data Assimilation under Clear Sky Conditions. Remote Sensing. 2024; 16(14):2614. https://doi.org/10.3390/rs16142614
Chicago/Turabian StyleShen, Feifei, Xiaolin Yuan, Hong Li, Dongmei Xu, Jingyao Luo, Aiqing Shu, and Lizhen Huang. 2024. "Improving Typhoon Muifa (2022) Forecasts with FY-3D and FY-3E MWHS-2 Satellite Data Assimilation under Clear Sky Conditions" Remote Sensing 16, no. 14: 2614. https://doi.org/10.3390/rs16142614
APA StyleShen, F., Yuan, X., Li, H., Xu, D., Luo, J., Shu, A., & Huang, L. (2024). Improving Typhoon Muifa (2022) Forecasts with FY-3D and FY-3E MWHS-2 Satellite Data Assimilation under Clear Sky Conditions. Remote Sensing, 16(14), 2614. https://doi.org/10.3390/rs16142614
