A CFAR Algorithm Based on Monte Carlo Method for Millimeter-Wave Radar Road Traffic Target Detection
Abstract
:1. Introduction
2. Traffic Scene Overview, Radar CFAR Detection Principle, and Background Noise Analysis
2.1. Traffic Scene Overview
- High detection sensitivity. All targets in the field of view can be completely detected, including partial occlusion of the target;
- Low information delay capability. It can reflect road conditions in real-time, i.e., the delay between data acquisition and road conditions output is required to be as short as possible (ideally, the delay should not exceed 100 ms);
- Weather resistance. The sensor shall minimize the impact caused by night, fog, and other weather.
2.2. Conventional Adaptive CFAR Detection Based on RDM
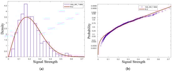
2.3. Radar Background Noise Analysis in Traffic Scenea
- In the static target region of the RDM matrix, the variation amplitude of noise power fluctuates greatly. However, in the moving target area of the RDM matrix, the amplitude distribution of background noise power is uniform, the dispersion is small, and there is no edge effect;
- In the moving target area in the RDM matrix, the noise amplitude of each unit is independent of each other and meets the probability density distribution (Rayleigh distribution) with similar parameters.
3. A CFAR Algorithm Based on Monte Carlo Sampling
3.1. Expectation Calculation Principle Based on Monte Carlo Sampling
3.2. MC-CFAR Algorithm Model
3.3. MC-CFAR Algorithm Parameter Settings
3.3.1. Random Sampling Strategy
3.3.2. Sampling Points Number M and Threshold Factor
4. Numerical Simulations and Real Experiments
4.1. Performance Simulation of MC-CFAR
4.1.1. Algorithm Detection Sensitivity
4.1.2. Multi-target Detection Performance
4.1.3. Algorithm Time Complexity
4.2. Real Experiments
4.2.1. Define an Evaluation Method and Add a New Scenario
4.2.2. Algorithm Testing at an “Ideal Distance”
4.2.3. Algorithm Detection Probability at Different Distances
5. Conclusions
Author Contributions
Funding
Data Availability Statement
Conflicts of Interest
Abbreviations
| ITS | Intelligent Transportation Systems |
| CFAR | Constant False Alarm Detection |
| RDM | Range–Doppler Matrix |
| ADC | Analog-to-Digital Converter |
| FFT | the Fast Fourier Transform |
| RF | Radio Frequency |
| SNR | Signal-to-Noise Ratio |
| False Alarm Probability | |
| Detection Probability | |
| CA-CFAR | Cell Average Constant False Alarm Detection |
| OS-CFAR | Ordered Statistical Constant False Alarm Detection |
| OSCA-CFAR | An algorithm to combine the CA-CFAR algorithm and the OS-CFAR algorithm |
| MC-CFAR | The algorithm proposed in this paper |
References
- Wang, J.; Ding, M.; Yarovoy, A. Matrix-Pencil Approach-Based Interference Mitigation for FMCW Radar Systems. IEEE Trans. Microw. Theory Tech. 2021, 69, 5099–5115. [Google Scholar] [CrossRef]
- Wang, J.; Ding, M.; Yarovoy, A. Interference Mitigation for FMCW Radar With Sparse and Low-Rank Hankel Matrix Decomposition. IEEE Trans. Signal Process. 2022, 70, 822–834. [Google Scholar] [CrossRef]
- Xu, Z.; Shi, Q. Interference Mitigation for Automotive Radar Using Orthogonal Noise Waveforms. IEEE Geosci. Remote Sens. Lett. 2018, 15, 137–141. [Google Scholar] [CrossRef]
- Xu, Z.; Yuan, M. An Interference Mitigation Technique for Automotive Millimeter Wave Radars in the Tunable Q-Factor Wavelet Transform Domain. IEEE Trans. Microw. Theory Tech. 2021, 69, 5270–5283. [Google Scholar] [CrossRef]
- Xu, Z.; Baker, C.J.; Pooni, S. Range and Doppler Cell Migration in Wideband Automotive Radar. IEEE Trans. Veh. Technol. 2019, 68, 5527–5536. [Google Scholar] [CrossRef]
- Moustafa, A.; Ahmed, F.M.; Moustafa, K.H.; Halwagy, Y. A new CFAR processor based on guard cells information. In Proceedings of the 2012 IEEE Radar Conference, Atlanta, GA, USA, 7–11 May 2012; pp. 133–137. [Google Scholar]
- Farina, A.; Studer, F.A. A review of CFAR detection techniques in radar systems. Microw. J. 1986, 29, 115. [Google Scholar]
- Gandhi, P.; Kassam, S. Analysis of CFAR processors in nonhomogeneous background. IEEE Trans. Aerosp. Electron. Syst. 1988, 24, 427–445. [Google Scholar] [CrossRef]
- Finn, H.M. Adaptive detection mode with threshold control as a function of spatially sampled-clutter-level estimates. RCA Rev. 1968, 29, 414–465. [Google Scholar]
- Trunk, G. Range Resolution of Targets Using Automatic Detectors. IEEE Trans. Aerosp. Electron. Syst. 1978, AES-14, 750–755. [Google Scholar] [CrossRef]
- Pace, P.; Taylor, L. False alarm analysis of the envelope detection GO-CFAR processor. IEEE Trans. Aerosp. Electron. Syst. 1994, 30, 848–864. [Google Scholar] [CrossRef]
- Rohling, H. Radar CFAR Thresholding in Clutter and Multiple Target Situations. IEEE Trans. Aerosp. Electron. Syst. 1983, AES-19, 608–621. [Google Scholar] [CrossRef]
- Blake, S. OS-CFAR theory for multiple targets and nonuniform clutter. IEEE Trans. Aerosp. Electron. Syst. 1988, 24, 785–790. [Google Scholar] [CrossRef]
- Yan, J.; Li, X.; Shao, Z. Intelligent and fast two-dimensional CFAR procedure. In Proceedings of the 2015 IEEE International Conference on Communication Problem-Solving (ICCP), Guilin, China, 16–18 October 2015; pp. 461–463. [Google Scholar] [CrossRef]
- Liu, Y.; Zhang, S.; Suo, J.; Zhang, J.; Yao, T. Research on a New Comprehensive CFAR (Comp-CFAR) Processing Method. IEEE Access 2019, 7, 19401–19413. [Google Scholar] [CrossRef]
- Gouri, A.; Mezache, A.; Oudira, H. Radar CFAR detection in Weibull clutter based on zlog(z) estimator. Remote Sens. Lett. 2020, 11, 581–589. [Google Scholar] [CrossRef]
- Carretero, M.V.i.; Harmanny, R.I.A.; Trommel, R.P. Smart-CFAR, a machine learning approach to floating level detection in radar. In Proceedings of the 2019 16th European Radar Conference (EuRAD), Paris, France, 2–4 October 2019; pp. 161–164. [Google Scholar]
- Lin, J.J.; Li, Y.P.; Hsu, W.C.; Lee, T.S. Design of an FMCW radar baseband signal processing system for automotive application. Springerplus 2016, 5, 42. [Google Scholar] [CrossRef] [PubMed] [Green Version]
- Liao, H.E.; Lin, G.Y.; Sheu, M.H.; Siao, S.M.; Wan, S.S. A Computation Efficiency AND-CFAR for FMCW Radar Receiver. In Proceedings of the 2013 Ninth International Conference on Intelligent Informatio Hiding and Multimedia Signal Processing, Beijing, China, 16–18 October 2013; pp. 108–112. [Google Scholar] [CrossRef]
- Acosta, G.G.; Villar, S.A. Accumulated CA–CFAR Process in 2-D for Online Object Detection From Sidescan Sonar Data. IEEE J. Ocean. Eng. 2015, 40, 558–569. [Google Scholar] [CrossRef]
- Villar, S.A.; Acosta, G.G.; Solari, F.J. OS-CFAR process in 2-D for object segmentation from Sidescan Sonar data. In Proceedings of the 2015 XVI Workshop on Information Processing and Control (RPIC), Cordoba, Argentina, 6–9 October 2015; pp. 1–6. [Google Scholar] [CrossRef]
- Kronauge, M.; Rohling, H. Fast Two-Dimensional CFAR Procedure. IEEE Trans. Aerosp. Electron. Syst. 2013, 49, 1817–1823. [Google Scholar] [CrossRef]
- Ma, H.; Liu, Y. Research Based on the Monte-Carlo Method to Calculate the Definite Integral. In Proceedings of the 2011 Third Pacific-Asia Conference on Circuits, Communications and System (PACCS), Wuhan, China, 17–18 July 2011; pp. 1–3. [Google Scholar]
- Djurić, P.M. Monte Carlo methods for signal processing: Recent advances. In Proceedings of the 2004 12th European Signal Processing Conference, Vienna, Austria, 6–10 September 2004; pp. 853–860. [Google Scholar]
- Xiang, W. Analysis of the Time Complexity of Quick Sort Algorithm. In Proceedings of the 2011 International Conference on Information Management, Innovation Management and Industrial Engineering, Shenzhen, China, 26–27 November 2011; Volume 1, pp. 408–410. [Google Scholar]



















| CFAR Algorithms | Advantages | Disadvantages | Reference Window |
|---|---|---|---|
| CA-CFAR | High detection SNR in uniform noise | Low multi-target detection capability, High detection performance in non-uniform noise | YES |
| GO-CFAR | Good false alarm control in clutter edge | Low multi-target detection capability | YES |
| SO-CFAR | High multi-target detection capability | Low false alarm control ability | YES |
| OS-CFAR | Strong robustness to multi-target detection | High resulting CFAR loss | YES |
| OSCA-CFAR | High robust in multi-target situations, Low resulting CFAR loss | Performance degradation in non-pure noise situations | YES |
| Comp-CFAR | Suppression of clutter interference with long smearing effect characteristics | High algorithm complexity | YES |
| zlog(z)-CFAR | Reduce the false alarm rate in Weibull clutter | High algorithm complexity | YES |
| Machine learning | High detection accuracy | Low timeliness | YES |
| Item | Parameters | Item | Parameters |
|---|---|---|---|
| Chirp number | 256 | Range FFT points | 512 |
| B | 160 MHz | 20 MHz | |
| 200 m | 0.732 m | ||
| 31.847 m/s | 0.249 m/s |
| Algorithm | Window Length/Samples Number | Threshold Factor | Good Frame Rate (%) |
|---|---|---|---|
| CA-CFAR | 10–14 | 5–6 | 30–33 |
| OS-CFAR | 10–16 | 8–10 | 30–33 |
| OSCA-CFAR | 10–14 | 7–9 | 28–31 |
| MC-CFAR | 384–896 | 6–8 | 40–43 |
| Algorithm | Window Length/Samples Number | Threshold Factor |
|---|---|---|
| CA-CFAR | 14 | 5 |
| OS-CFAR | 16 | 8 |
| OSCA-CFAR | 12 | 8 |
| MC-CFAR | 768 | 7 |
| Algorithm | Clock Cycle |
|---|---|
| CA-CFAR | 11,478,544 |
| OS-CFAR | 524,288 |
| OSCA-CFAR | 234,837 |
| MC-CFAR | 8448 |
Publisher’s Note: MDPI stays neutral with regard to jurisdictional claims in published maps and institutional affiliations. |
© 2022 by the authors. Licensee MDPI, Basel, Switzerland. This article is an open access article distributed under the terms and conditions of the Creative Commons Attribution (CC BY) license (https://creativecommons.org/licenses/by/4.0/).
Share and Cite
Yang, B.; Zhang, H. A CFAR Algorithm Based on Monte Carlo Method for Millimeter-Wave Radar Road Traffic Target Detection. Remote Sens. 2022, 14, 1779. https://doi.org/10.3390/rs14081779
Yang B, Zhang H. A CFAR Algorithm Based on Monte Carlo Method for Millimeter-Wave Radar Road Traffic Target Detection. Remote Sensing. 2022; 14(8):1779. https://doi.org/10.3390/rs14081779
Chicago/Turabian StyleYang, Bo, and Hua Zhang. 2022. "A CFAR Algorithm Based on Monte Carlo Method for Millimeter-Wave Radar Road Traffic Target Detection" Remote Sensing 14, no. 8: 1779. https://doi.org/10.3390/rs14081779
APA StyleYang, B., & Zhang, H. (2022). A CFAR Algorithm Based on Monte Carlo Method for Millimeter-Wave Radar Road Traffic Target Detection. Remote Sensing, 14(8), 1779. https://doi.org/10.3390/rs14081779

