Simulation of Soil Organic Carbon Content Based on Laboratory Spectrum in the Three-Rivers Source Region of China
Abstract
:1. Introduction
2. Materials and Methods
2.1. Study Area
2.2. Sample Collection and Preparation
2.3. Determination of Soil Spectrum and SOC Content
2.4. Pre-Processing Transformations
2.5. Hyperspectral Retrieval Models of SOC Content
2.5.1. Individual Models
2.5.2. Stacking Model
2.6. Modeling Evaluation
3. Results and Analysis
3.1. Summary Statistics of SOC Content
3.2. Correlation Analysis of Soil Spectrum Reflectance and SOC Content
3.3. Comparison of SOC Content Modeling Results Based on Single Model
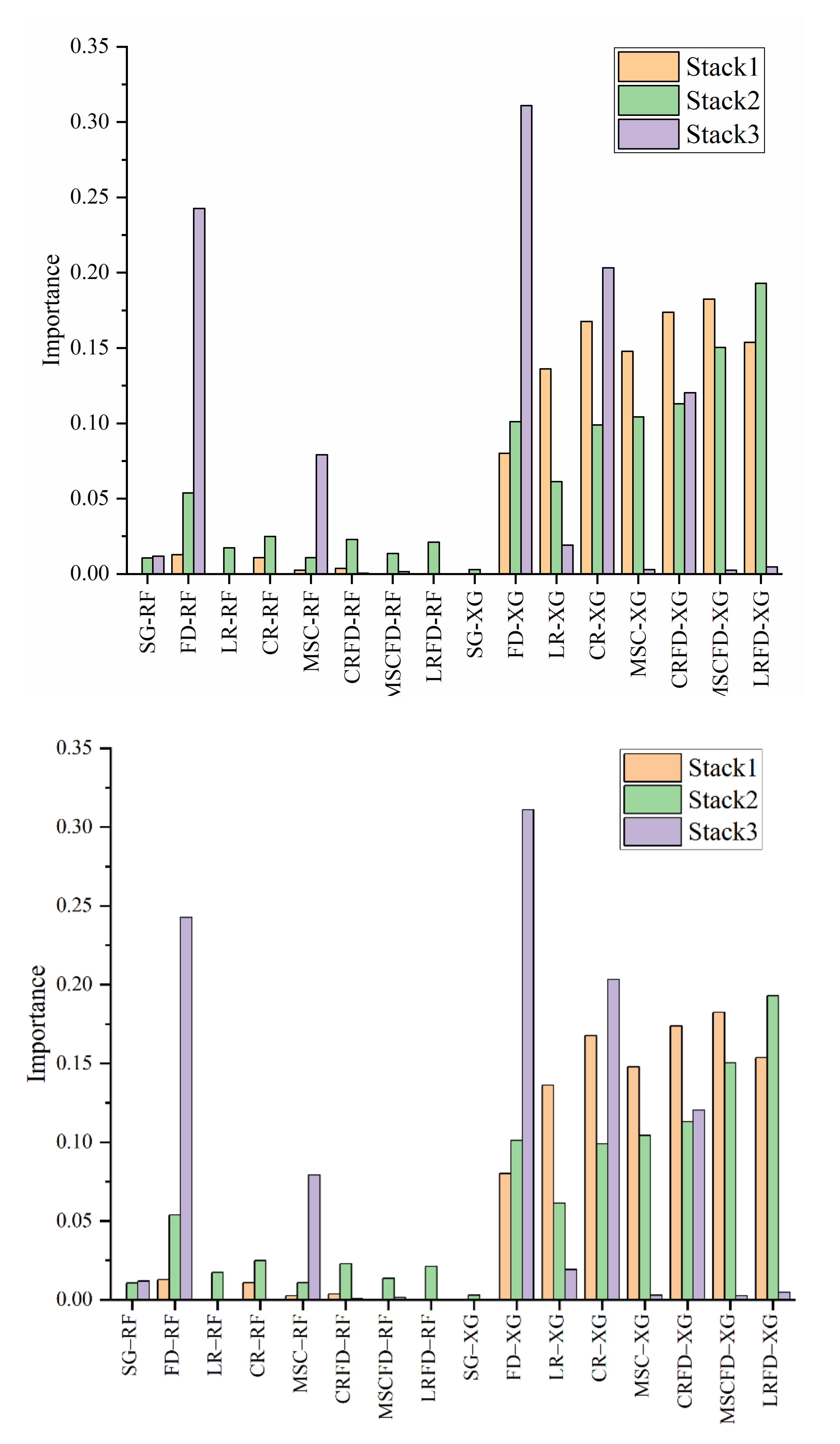
3.4. Models Stacking Results and Feature Importance Analysis
4. Discussion
4.1. Combine of Pre-Processing Transformations and Models in SOC Simulation
4.2. Spatial Differentiation of SOC Content
4.3. Soil Carbon Change Analysis across Tibetan Plateau
5. Conclusions
Author Contributions
Funding
Institutional Review Board Statement
Informed Consent Statement
Data Availability Statement
Acknowledgments
Conflicts of Interest
References
- Zhou, Y.; Chen, S.; Zhu, A.X.; Hu, B.; Li, Y. Revealing the scale- and location-specific controlling factors of soil organic carbon in Tibet. Geoderma 2021, 382, 114713. [Google Scholar] [CrossRef]
- Liao, Q.H.; Gu, X.H.; Li, C.J.; Chen, L.P.; Huang, W.J.; Du, S.Z.; Fu, Y.Y.; Wang, J.H. Estimation of fluvo-aquic soil organic matter content from hyperspectral reflectance based on continuous wavelet transformation. Trans. Chin. Soc. Agric. Eng. 2012, 28, 132–139. [Google Scholar]
- Peng, J.; Zhang, Y.Z.; Zhou, Q.; Liu, X.L.; Zhou, W.J. Spectral characteristics of soils in Hunan province as affected by removal of soil organic matter. Soils 2006, 38, 453–458. [Google Scholar]
- Veum, K.S.; Goyne, K.W.; Kremer, R.J.; Miles, R.J.; Sudduth, K.A. Biological indicators of soil quality and soil organic matter characteristics in an agricultural management continuum. Biogeochemistry 2014, 117, 81–99. [Google Scholar] [CrossRef]
- Ward, K.J.; Chabrillat, S.; Brell, M.; Castaldi, F.; Foerster, S. Mapping Soil Organic Carbon for Airborne and Simulated EnMAP Imagery Using the LUCAS Soil Database and a Local PLSR. Remote Sens. 2020, 12, 3451. [Google Scholar] [CrossRef]
- Bangelesa, F.; Adam, E.; Knight, J.; Dhau, I.; Mokotjomela, T.M. Predicting Soil Organic Carbon Content Using Hyperspectral Remote Sensing in a Degraded Mountain Landscape in Lesotho. Appl. Environ. Soil Sci. 2020, 2020, 1–11. [Google Scholar] [CrossRef]
- Ji, W.J.; Li, X.; Li, C.X.; Zhou, Y.; Shi, Z. Using different data mining algorithms to predict soil organic matter based on visible-near infrared spectroscopy. Spectrosc. Spect. Anal. 2012, 32, 2393–2398. [Google Scholar]
- Vohland, M.; Besold, J.; Hill, J.; Fründ, H.C. Comparing different multivariate calibration methods for the determination of soil organic carbon pools with visible to near infrared spectroscopy. Geoderma 2011, 166, 198–205. [Google Scholar] [CrossRef]
- Zhou, T.; Geng, Y.J.; Ji, C.; Xu, X.R.; Hong, W.; Pan, J.J.; Bumberger, J.; Haase, D.; Lausch, A. Prediction of soil organic carbon and the C:N ratio on a national scale using machine learning and satellite data: A comparison between Sentinel-2, Sentinel-3 and Landsat-8 images. Sci. Total Environ. 2020, 755, 142661. [Google Scholar] [CrossRef]
- Biney, J.K.M.; Saberioon, M.; Borůvka, L.; Houška, J.; Vašát, R.; Chapman Agyeman, P.; Coblinski, J.A.; Klement, A. Exploring the Suitability of UAS-Based Multispectral Images for Estimating Soil Organic Carbon: Comparison with Proximal Soil Sensing and Spaceborne Imagery. Remote Sens. 2021, 13, 308. [Google Scholar] [CrossRef]
- Yu, L.; Hong, Y.S.; Zhou, Y.; Zhu, Q. Inversion of soil organic matter content using hyperspectral data based on continuous wavelet transformation. Spectrosc. Spect. Anal. 2016, 36, 1428–1433. [Google Scholar]
- JOHN, K.; Abraham Isong, I.; Michael Kebonye, N.; Okon Ayito, E.; Chapman Agyeman, P.; Marcus Afu, S. Using Machine Learning Algorithms to Estimate Soil Organic Carbon Variability with Environmental Variables and Soil Nutrient Indicators in an Alluvial Soil. Land 2020, 9, 487. [Google Scholar] [CrossRef]
- Taghizadeh-Mehrjardi, R.; Schmidt, K.; Chakan, A.A.; Rentschler, T.; Scholten, T. Improving the Spatial Prediction of Soil Organic Carbon Content in Two Contrasting Climatic Regions by Stacking Machine Learning Models and Rescanning Covariate Space. Remote Sens. 2020, 12, 1095. [Google Scholar] [CrossRef] [Green Version]
- Zhou, W.; Yang, H.; Xie, L.J.; Li, H.R.; Yue, T.X. Hyperspectral inversion of soil heavy metals in Three-River Source Region based on random forest model. Catena 2021, 202, 105222. [Google Scholar] [CrossRef]
- Yang, C.B.; Li, D.H.; Liu, J.Y.; Wu, M.H. The study of extracting farmland soil organic matter content from hyperion data by the wavelet packet analysis. J. Basic Sci. Eng. 2017, 25, 6–16. [Google Scholar]
- Wu, D.W.; Wu, Y.Z.; Ma, H.R. Study on the prediction of soil heavy metal elements content based on mid-infrared diffuse reflectance spectra. Spectrosc. Spect. Anal. 2010, 30, 1498–1502. [Google Scholar]
- Zhang, Q.; Zhang, H.; Liu, W.; Zhao, S. Inversion of heavy metals content with hyperspectral reflectance in soil of well-facilitied capital farmland construction areas. Trans. Chin. Soc. Agric. Eng. 2017, 33, 230–239. [Google Scholar]
- Zheng, G.H.; Zhou, S.L.; Wu, S.H. Prediction of as in soil with reflectance spectroscopy. Spectrosc. Spect. Anal. 2011, 31, 173–176. [Google Scholar]
- Sharma, P.; Laor, Y.; Raviv, M.; Medina, S.; Saadi, I.; Krasnovsky, A.; Vager, M.; Levy, G.J.; Bar-Tal, A.; Borisover, M. Compositional characteristics of organic matter and its water-extractable components across a profile of organically managed soil. Geoderma 2017, 286, 73–82. [Google Scholar] [CrossRef]
- Peng-Yao, D.; Bian, X.H.; Wang, Z.F.; Liu, W. Study on the Selection of Spectral Preprocessing Methods. Spectrosc. Spect. Anal. 2019, 39, 2800–2806. [Google Scholar]
- Malone, B.P.; Minasny, B.; Odgers, N.P.; Mcbratney, A.B. Using model averaging to combine soil property rasters from legacy soil maps and from point data. Geoderma 2014, 232, 34–44. [Google Scholar] [CrossRef]
- Zhou, Y.; Xue, J.; Chen, S.C.; Zhou, Y.; Liang, Z.Z.; Wang, N.; Shi, Z. Fine-resolution mapping of soil total nitrogen across China based on weighted model averaging. Remote Sens. 2020, 12, 85. [Google Scholar] [CrossRef] [Green Version]
- Chen, Y.; Ma, L.X.; Yu, D.S.; Zhang, H.D.; Feng, K.Y.; Wang, X.; Song, J. Comparison of feature selection methods for mapping soil organic matter in subtropical restored forests. Ecol. Indic. 2022, 135, 108545. [Google Scholar] [CrossRef]
- Bolón-Canedo, V.; Alonso-Betanzos, A. Ensembles for feature selection: A review and future trends. Inform. Fusion. 2019, 52, 1–12. [Google Scholar] [CrossRef]
- Liu, J.Y.; Xu, X.L.; Shao, Q.Q. Grassland degradation in the “Three-River Headwaters” region, Qinghai Province. J. Geogr. Sci. 2008, 18, 259–273. [Google Scholar] [CrossRef]
- Schuur, E.A.G.; McGuire, A.D.; Schaedel, C.; Grosse, G.; Harden, J.W.; Hayes, D.J.; Hugelius, G.; Koven, C.D.; Kuhry, P.; Lawrence, D.M.; et al. Climate change and the permafrost carbon feedback. Nature 2015, 520, 171–179. [Google Scholar] [CrossRef]
- Ding, J.; Chen, L.; Ji, C.; Hugelius, G.; Li, Y.; Liu, L.; Qin, S.; Zhang, B.; Yang, G.; Li, F. Decadal soil carbon accumulation across Tibetan permafrost regions. Nat. Geosci. 2017, 10, 420–424. [Google Scholar] [CrossRef] [Green Version]
- Xun, W.; Yan, R.; Ren, Y.; Jin, D.; Xiong, W.; Zhang, G.; Cui, Z.; Xin, X.; Zhang, R. Grazing-induced microbiome alterations drive soil organic carbon turnover and productivity in meadow steppe. Microbiome 2018, 6, 170. [Google Scholar] [CrossRef] [Green Version]
- Yuan, Z.Q.; Jiang, X.J.; Liu, G.J.; Jin, H.J.; Chen, J.; Wu, Q.B. Responses of soil organic carbon and nutrient stocks to human-induced grassland degradation in a Tibetan alpine meadow. Catena 2019, 178, 40–48. [Google Scholar] [CrossRef]
- Ji, W.; Viscarra Rossel, R.A.; Shi, Z. Improved estimates of organic carbon using proximally sensed vis-NIR spectra corrected by piecewise direct standardization. Eur. J. Soil Sci. 2015, 66, 670–678. [Google Scholar] [CrossRef]
- Jiang, L.; Zhang, C. Ecosystem change assessment in the Three-river Headwater Region, China: Patterns, causes, and implications. Ecol. Eng. 2016, 93, 43–46. [Google Scholar] [CrossRef]
- Savitzky, A. Smoothing and differentiation of data by simplified least squares procedures. Anal. Chem. 1964, 36, 1627–1639. [Google Scholar] [CrossRef]
- Vasques, G.M.; Grunwald, S.; Sickman, J.O. Comparison of multivariate methods for inferential modeling of soil carbon using visible/near-infrared spectra. Geoderma 2008, 146, 14–25. [Google Scholar] [CrossRef]
- Rossel, R. ParLeS: Software for chemometric analysis of spectroscopic data. Chemom. Intell. Lab. Syst. 2008, 90, 72–83. [Google Scholar] [CrossRef]
- Brunet, D.; Barthès, B.G.; Chotte, J.L.; Feller, C. Determination of carbon and nitrogen contents in Alfisols, Oxisols and Ultisols from Africa and Brazil using NIRS analysis: Effects of sample grinding and set heterogeneity. Geoderma 2007, 139, 106–117. [Google Scholar] [CrossRef]
- Mutuo, P.K.; Shepherd, K.D.; Albrecht, A.; Cadisch, G. Prediction of carbon mineralization rates from different soil physical fractions using diffuse reflectance spectroscopy. Soil Biol. Biochem. 2006, 38, 1658–1664. [Google Scholar] [CrossRef]
- Moron, A.; Cozzolino, D. Determination of potentially mineralizable nitrogen and nitrogen in particulate organic matter fractions in soil by visible and near-infrared reflectance spectroscopy. J. Agric. Sci. 2004, 142, 335–343. [Google Scholar] [CrossRef]
- Shi, T.Z.; Cui, L.J.; Wang, J.J.; Fei, T.; Chen, Y.Y.; Wu, G.F. Comparison of multivariate methods for estimating soil total nitrogen with visible/near-infrared spectroscopy. Plant Soil 2013, 366, 363–375. [Google Scholar] [CrossRef]
- Odebiri, O.; Odindi, J.; Mutanga, O. Basic and deep learning models in remote sensing of soil organic carbon estimation: A brief review. Int. J. Appl. Earth Obs. 2021, 102, 102389. [Google Scholar] [CrossRef]
- Rasaei, Z.; Bogaert, P. Spatial filtering and bayesian data fusion for mapping soil properties: A case study combining legacy and remotely sensed data in Iran. Geoderma 2019, 344, 50–62. [Google Scholar] [CrossRef]
- Shen, R.P.; Guo, J.; Zhang, J.X.; Li, L.X. Construction of a drought monitoring model using the random forest based remote sensing. J. Geo-Inf. Sci. 2017, 19, 125–133. [Google Scholar]
- Khanal, S.; Fulton, J.; Klopfenstein, A.; Douridas, N.; Shearer, S. Computers and electronics in agriculture integration of high resolution remotely sensed data and machine learning techniques for spatial prediction of soil properties and corn yield. Comput. Electron. Agr. 2018, 153, 213–225. [Google Scholar] [CrossRef]
- Elith, J.; Leathwick, J.R.; Hastie, T. A working guide to boosted regression trees. J. Anim. Ecol. 2008, 77, 802–813. [Google Scholar] [CrossRef]
- Arabameri, A.; Yamani, M.; Pradhan, B.; Melesse, A.; Shirani, K.; Bui, D.T. Novel ensembles of COPRAS multi-criteria decision-making with logistic regression, boosted regression tree, and random forest for spatial prediction of gully erosion susceptibility. Sci. Total Environ. 2019, 688, 903–916. [Google Scholar] [CrossRef] [PubMed]
- Ricardo, V.; Christophe, G.C.; Pavel, B.; Carlos, S. Using Meta-Learning to Support Data Mining. Int. J. Comput. Appl. T. 2004, 1, 31–45. [Google Scholar]
- Alexandros, K.; Melanie, H. Model selection via meta-learning: A comparative study. Int. J. Artif. Intell. T. 2001, 10, 525–554. [Google Scholar] [CrossRef]
- Khaledian, Y.; Miller, B.A. Selecting appropriate machine learning methods for digital soil mapping. Appl. Math. Model. 2020, 81, 401–418. [Google Scholar] [CrossRef]
- Nawar, S.; Mouazen, A.M. Predictive performance of mobile vis-near infrared spectroscopy for key soil properties at different geographical scales by using spiking and data mining techniques. Catena 2017, 151, 118–129. [Google Scholar] [CrossRef] [Green Version]
- Rossel, R.A.V.; Walvoort, D.J.J.; McBratney, A.B. Determining the composition of mineral-organic mixes using UV-vis-NIR diffuse reflectance spectroscopy. Geoderma 2006, 137, 70–82. [Google Scholar] [CrossRef]
- Viscarra Rossel, R.A.; Behrens, T. Using data mining to model and interpret soil diffuse reflectance spectra. Geoderma 2010, 158, 46–54. [Google Scholar] [CrossRef]
- Shi, Z.; Wang, Q.L.; Peng, J.; Ji, W.J.; Liu, H.J.; Li, X. Development of a national VNIR soil-spectral library for soil classification and prediction of organic matter concentrations. Scientia Sinica 2014, 44, 978–988. [Google Scholar] [CrossRef]
- Moura-Bueno, J.M.; Dalmolin, R.; Horst-Heinen, T.Z.; Grunwald, S.; Caten, A.T. Environmental covariates improve the spectral predictions of organic carbon in subtropical soils in southern Brazil. Geoderma 2021, 393, 114981. [Google Scholar] [CrossRef]
- Ward, K.J.; Chabrillat, S.; Neumann, C.; Foerster, S. A remote sensing adapted approach for soil organic carbon prediction based on the spectrally clustered LUCAS soil database. Geoderma 2019, 353, 297–307. [Google Scholar] [CrossRef]
- Yang, Y.; Gao, X.H.; Jia, W.; Zhang, W.; Li, J.S.; Zhang, Y.J.; Tian, C.M. Hyperspectral retrieval of soil organic matter for different soil types in the Three-River Headwaters Region. Remote Sens. Technol. Appl. 2015, 30, 186–198. [Google Scholar]
- Xiao, Y.F.; Gao, X.H.; Li, G.W. Optimal selection of calibration sample sets for predicting soil organic matter contents from visible and near infrared reflection spectrum. Soils 2020, 52, 404–413. [Google Scholar]
- Wei, L.; Yuan, Z.; Wang, Z.; Zhao, L.; Zhang, Y.; Lu, X.; Cao, L. Hyperspectral Inversion of Soil Organic Matter Content Based on a Combined Spectral Index Model. Sensors 2020, 20, 2777. [Google Scholar] [CrossRef]
- Chen, S.C.; Xu, D.Y.; Li, S.; Ji, W.J.; Shi, Z. Monitoring soil organic carbon in alpine soils using in situ vis-NIR spectroscopy and a multilayer perceptron. Land Degrad. Dev. 2019, 31, 1026–1038. [Google Scholar] [CrossRef]
- Ogrič, M.; Knadel, M.; Kristiansen, S.M.; Peng, Y.; Jonge, L.W.; De Adhikari, K.; Greve, M.H. Soil organic carbon predictions in Subarctic Greenland by visible–near infrared spectroscopy. Arct. Antarct. Alp. Res. 2019, 51, 1679939. [Google Scholar] [CrossRef] [Green Version]
- Biney, J.; Blcher, J.R.; Boruvka, L.; Vaát, R. Does the limited use of orthogonal signal correction pre-treatment approach to improve the prediction accuracy of soil organic carbon need attention? Geoderma 2021, 388, 114945. [Google Scholar] [CrossRef]
- Wang, L.; Ou, Y.H.; Zhou, C.P.; Zhang, F.; Bai, J.H.; Peng, K. Distribution characteristics of soil organic matter and nitrogen on the eastern slope of Mt.Gongga. J. Geogr. Sci. 2004, 1288–1293. [Google Scholar]
- Wu, C.S.; Liu, G.H.; Liu, Q.S.; Huang, C.; Zhang, Y.J.; Guan, X.D. The spatial distribution of soil organic matter on the north- central Mongolian Plateau. Resour. Sci. 2016, 38, 994–1002. [Google Scholar]
- Zhaoning, G.O.N.G.; Hong, L.I.; Duo, A. Spatial distribution characteristics of organic matter in the water level fluctuation zone of Guanting Reservoir. Acta Ecologica Sinica 2017, 37, 8336–8347. [Google Scholar]
- Wu, D.H.; Liu, D.; Wang, T.; Ding, J.Z.; He, Y.J.; Ciais, P.; Zhang, G.X.; Piao, S.L. Carbon turnover times shape topsoil carbon difference between Tibetan Plateau and Arctic tundra. Sci. Bull. 2021, 66, 1698–1704. [Google Scholar] [CrossRef]
- Davidson, E.A.; Janssens, I.A. Temperature sensitivity of soil carbon decomposition and feedbacks to climate change. Nature 2006, 440, 165–173. [Google Scholar] [CrossRef] [PubMed]
- Zhai, P.M.; Zhang, X.B.; Wan, H.; Pan, X.H. Trends in total precipitation and frequency of daily precipitation extremes over China. J. Climate. 2005, 18, 1096–1108. [Google Scholar] [CrossRef]
- Yu, C.Q.; Zhang, Y.J.; Claus, H.; Zeng, R.; Zhang, X.Z.; Wang, J.S. Ecological and environmental issues faced by a developing Tibet. Environ. Sci. Technol. 2012, 46, 1979–1980. [Google Scholar] [CrossRef] [PubMed]
- Zhou, W.; Huang, L.; Yang, H.; Ju, W.M.; Yue, T.X. Interannual variation in grassland net ecosystem productivity and its coupling relation to climatic factors in China. Environ. Geochem. Health 2019, 41, 1583–1597. [Google Scholar] [CrossRef]
- Sun, J.; Liu, M.; Fu, B.; Kemp, D.; Liu, S. Reconsidering the efficiency of grazing exclusion using fences on the Tibetan Plateau. Sci. Bull. 2020, 65, 1405–1414. [Google Scholar] [CrossRef]







| Vegetation Type | Sample Number | Elevation (m) | Soil Type |
|---|---|---|---|
| Alpine meadow | 101 | 3200–4000 | Grass felt soil, Dark felt soil, |
| Alpine grassland | 36 | 3400–4200 | Grass felt soil, Chestnut soil |
| Alpine meadow grassland | 46 | 3700–4400 | Meadow soil |
| Swamp meadow | 8 | 4500–4700 | Swamp soil |
| Temperate grassland | 59 | 3100–3200 | Chestnut soil |
| Desert grassland | 6 | 2900–3000 | Chestnut soil |
| Farmland | 13 | 2600–3000 | Chestnut soil |
| Woodland | 3 | 3390–3692 | Mountain forest soil |
| Number | m (g) | c (mol/L) | V0 (mL) | V (mL) | SOC (g/kg) |
|---|---|---|---|---|---|
| 1 | 0.2037 | 0.20 | 20.60 | 12.1400 | 27.4087 |
| 2 | 0.1503 | 0.20 | 20.60 | 8.8900 | 51.4170 |
| 3 | 0.1991 | 0.20 | 20.60 | 12.8100 | 25.8211 |
| 4 | 0.2038 | 0.20 | 20.60 | 10.4000 | 33.0297 |
| 5 | 0.2006 | 0.20 | 20.60 | 13.1800 | 24.4108 |
| 6 | 0.1955 | 0.20 | 20.60 | 11.9000 | 29.3685 |
| 7 | 0.2036 | 0.20 | 20.60 | 11.3200 | 30.0801 |
| 8 | 0.2009 | 0.20 | 20.60 | 13.7000 | 22.6662 |
| 9 | 0.2018 | 0.20 | 20.60 | 16.1100 | 14.6837 |
| 10 | 0.2050 | 0.20 | 20.60 | 13.6100 | 22.5026 |
| Sample Type | Sample Number | Average (g/kg) | Standard Deviation (g/kg) | Kurtosis | Skewness | Coefficient of Variation (%) |
|---|---|---|---|---|---|---|
| Overall samples | 272 | 34.68 | 22.92 | 3.3 | 1.66 | 66.1 |
| Modeling samples | 182 | 34.9 | 23.31 | 3.39 | 1.67 | 66.81 |
| Verification samples | 90 | 34.23 | 22.22 | 3.3 | 1.64 | 64.92 |
| Transformations | Models | Modeling Sets | Verification Sets | ||||
|---|---|---|---|---|---|---|---|
| RMSE | R2 | RMSE | R2 | RPD | RPIQ | ||
| R | PLSR | 11.1135 | 0.771 | 9.9241 | 0.8089 | 2.2325 | 2.4733 |
| RF | 5.796 | 0.9496 | 13.3588 | 0.6413 | 1.6585 | 1.8374 | |
| XGBoost | 1.5866 | 0.9956 | 16.1217 | 0.5456 | 1.3743 | 1.5225 | |
| LR | PLSR | 11.1135 | 0.771 | 9.9241 | 0.8089 | 2.2325 | 2.4733 |
| RF | 5.796 | 0.9496 | 13.3588 | 0.6413 | 1.6585 | 1.8374 | |
| XGBoost | 1.5866 | 0.9956 | 16.1217 | 0.5456 | 1.3743 | 1.5225 | |
| CR | PLSR | 8.8811 | 0.8538 | 9.2152 | 0.8468 | 2.4042 | 2.6636 |
| RF | 3.8146 | 0.9789 | 8.0446 | 0.8728 | 2.7541 | 3.0511 | |
| XGBoost | 0.4813 | 0.9996 | 8.2032 | 0.872 | 2.7008 | 2.9921 | |
| MSC | PLSR | 12.1779 | 0.7251 | 10.8348 | 0.7693 | 2.0448 | 2.2654 |
| RF | 4.5176 | 0.9714 | 9.9916 | 0.7994 | 2.2174 | 2.4566 | |
| XGBoost | 0.7942 | 0.9989 | 10.1022 | 0.8055 | 2.1931 | 2.4297 | |
| FD | PLSR | 10.8081 | 0.7835 | 9.5417 | 0.8208 | 2.322 | 2.5724 |
| RF | 3.5427 | 0.9824 | 7.8371 | 0.8755 | 2.827 | 3.1319 | |
| XGBoost | 1.8435 | 0.9939 | 7.805 | 0.8902 | 2.8386 | 3.1448 | |
| CRFD | PLSR | 7.1537 | 0.9051 | 8.4846 | 0.8699 | 2.6113 | 2.8929 |
| RF | 4.0651 | 0.974 | 7.9954 | 0.8797 | 2.771 | 3.0699 | |
| XGBoost | 0.2504 | 0.9999 | 8.1545 | 0.9011 | 2.717 | 3.01 | |
| MSCFD | PLSR | 7.1537 | 0.9051 | 8.4846 | 0.8699 | 2.6113 | 2.8929 |
| RF | 3.5235 | 0.9801 | 9.7311 | 0.8281 | 2.2768 | 2.5224 | |
| XGBoost | 0.016 | 0.9999 | 7.7869 | 0.8966 | 2.8452 | 3.1521 | |
| LRFD | PLSR | 9.1212 | 0.8458 | 9.3074 | 0.8427 | 2.3804 | 2.6372 |
| RF | 3.7104 | 0.9791 | 7.8726 | 0.8817 | 2.8143 | 3.1178 | |
| XGBoost | 0.5386 | 0.9995 | 8.0785 | 0.8976 | 2.7425 | 3.0383 | |
| Models | Modeling Sets | Verification Sets | ||||
|---|---|---|---|---|---|---|
| RMSE | R2 | RMSE | R2 | RPD | RPIQ | |
| Stack1 (16 combinations + SVR) | 0.3757 | 0.9998 | 7.4795 | 0.8968 | 2.9622 | 3.2817 |
| Stack2 (16 combinations + RF) | 0.5313 | 0.9996 | 7.5067 | 0.8939 | 2.9514 | 3.2698 |
| Stack3 (16 combinations + XGBoost) | 0.0743 | 1.0000 | 7.7530 | 0.8807 | 2.8577 | 3.1659 |
| Stack4 (7 selected combinations + SVR) | 1.7979 | 0.9940 | 7.9486 | 0.8893 | 2.7873 | 3.0880 |
| Stack5 (8 selected combinations + RF) | 0.3987 | 0.9997 | 7.4721 | 0.8953 | 2.9651 | 3.2849 |
| Stack6 (5 selected combinations + XGBoost) | 0.9194 | 0.9987 | 7.3511 | 0.8962 | 3.0139 | 3.3390 |
| Reference | Depth | Pre-Processing Transformations | Models | R2 | RPIQ | RPD |
|---|---|---|---|---|---|---|
| Yang et al., 2015 | 0–20 | FD, SD, LR, BD | PLS, BP neural network | 0.01~0.96 | ||
| Chen et al., 2019 | 0–20 | SG, log(1/R) | PLS, MLP | 0.80~0.92 | 2.3~3.68 | |
| Xiao et al., 2020 | 0–20 | SG, FD | PLSR | 0.62~0.79 | 1.6~2.2 | |
| Ogrič, M et al., 2019 | 0–20 | FD, SD | PLSR | 0.78~0.95 | 0.47~5.31 | 0.41~4.74 |
| Wei, et al., 2020 | 0–100 | MSC, MC, MA, SG, SG-FD, SG-SD, FD, SD, CR, LR | RR, KRR, BRR, AdaBoost | 0.58~0.91 | ||
| This study, 2022 | 0–20 | SG, MSC, LR, CR, FD, MSCFD, LRFD, CRFD | PLS, RF, SVR, XGBoost | 0.51–0.90 (single model); 0.88~0.90 (stack models) | 1.84~3.15; 3.17~3.34 | 1.37~2.85; 2.86~3.01 |
| Sample Type | Sample Size | Average (g/kg) | Standard Deviation (g/kg) | Kurtosis | Skewness | Coefficient of Variation (%) |
|---|---|---|---|---|---|---|
| Overall | 272 | 34.6800 | 22.9200 | 3.2000 | 1.6400 | 66.1000 |
| Alpine meadow | 101 | 43.8963 | 20.6124 | 0.3268 | 0.6335 | 46.9570 |
| Alpine grassland | 36 | 21.9632 | 9.6188 | 1.1223 | 1.1721 | 43.7952 |
| Alpine meadow grassland | 46 | 31.8256 | 15.3990 | 1.5478 | 1.2023 | 48.3856 |
| Swamp meadow | 8 | 98.9051 | 28.7973 | −1.8473 | −0.1171 | 29.1161 |
| Temperate grassland | 59 | 23.1995 | 11.7917 | 31.8100 | 5.0835 | 50.8274 |
| Desert grassland | 6 | 5.0734 | 2.6793 | −1.6993 | 0.4736 | 52.8112 |
| Farmland | 13 | 18.1501 | 4.0150 | −0.9805 | −0.6302 | 22.1209 |
| Woodland | 3 | 45.5200 | 11.6000 | - | 1.7200 | 25.4800 |
Publisher’s Note: MDPI stays neutral with regard to jurisdictional claims in published maps and institutional affiliations. |
© 2022 by the authors. Licensee MDPI, Basel, Switzerland. This article is an open access article distributed under the terms and conditions of the Creative Commons Attribution (CC BY) license (https://creativecommons.org/licenses/by/4.0/).
Share and Cite
Zhou, W.; Li, H.; Wen, S.; Xie, L.; Wang, T.; Tian, Y.; Yu, W. Simulation of Soil Organic Carbon Content Based on Laboratory Spectrum in the Three-Rivers Source Region of China. Remote Sens. 2022, 14, 1521. https://doi.org/10.3390/rs14061521
Zhou W, Li H, Wen S, Xie L, Wang T, Tian Y, Yu W. Simulation of Soil Organic Carbon Content Based on Laboratory Spectrum in the Three-Rivers Source Region of China. Remote Sensing. 2022; 14(6):1521. https://doi.org/10.3390/rs14061521
Chicago/Turabian StyleZhou, Wei, Haoran Li, Shiya Wen, Lijuan Xie, Ting Wang, Yongzhong Tian, and Wenping Yu. 2022. "Simulation of Soil Organic Carbon Content Based on Laboratory Spectrum in the Three-Rivers Source Region of China" Remote Sensing 14, no. 6: 1521. https://doi.org/10.3390/rs14061521
APA StyleZhou, W., Li, H., Wen, S., Xie, L., Wang, T., Tian, Y., & Yu, W. (2022). Simulation of Soil Organic Carbon Content Based on Laboratory Spectrum in the Three-Rivers Source Region of China. Remote Sensing, 14(6), 1521. https://doi.org/10.3390/rs14061521
