Subsidence Monitoring Base on SBAS-InSAR and Slope Stability Analysis Method for Damage Analysis in Mountainous Mining Subsidence Regions
Abstract
:1. Introduction
2. Study Area
3. Subsidence Monitoring
3.1. SBAS-InSAR Technology
3.2. Experimental Process and Analysis
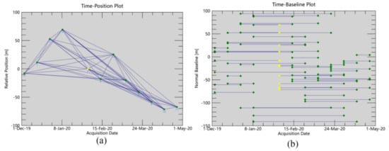
3.2.1. Data
3.2.2. Data Processing
3.2.3. Result Analysis
4. Slope Stability Analysis
4.1. Longwall Mining Boundary
4.2. Slope Stability Analysis
4.2.1. Slope Stability Evaluation
4.2.2. Force Analysis of Landslide
4.2.3. Process of Landslide
4.3. Discussion
5. Conclusions
Author Contributions
Funding
Institutional Review Board Statement
Informed Consent Statement
Data Availability Statement
Acknowledgments
Conflicts of Interest
References
- Chen, P. Study on integrated classification system for Chinese coal. Fuel Process. Technol. 2000, 62, 77–87. [Google Scholar] [CrossRef]
- Zhao, B.; Tong, C.; Liu, Z. Characteristics of mining-induced sur-face damage in western ecological fragile region. J. Cent. South. Univ. 2017, 48, 2991–2998. [Google Scholar]
- Tang, F.; Dong, L.; Wang, Z. InSAR three-dimensional displacement inversion model of near-horizontal coal seam mining based on subsidence sym-metry characteristics. J. China Coal Soc. 2019, 44, 210–220. [Google Scholar]
- Liang, T. Monitoring the surface deformation of mining area by using short baseset InSAR technique. Bull. Surv. Mapp. 2014, S1, 82–84. [Google Scholar]
- Chai, H.; Hu, J.; Geng, S. SBAS-InSAR Monitoring Method of ground sub-sidence in mining areas by fusion with measured Data. J. China Coal Soc. [CrossRef]
- Zhu, J.; Yang, Z.; Li, Z. Recent progress in retrieving and predicting mining-induced 3D displace-ments using InSAR. Acta Geod. Cartogr. Sin. 2019, 48, 135–144. [Google Scholar] [CrossRef] [Green Version]
- Ferretti, A.; Novali, F.; Bürgmann, R.; Hilley, G.; Prati, C. InSAR permanent scatterer analysis reveals ups and downs in San Francisco Bay Area. Eos Trans. Am. Geophys. Union 2004, 85, 317. [Google Scholar] [CrossRef]
- Zhu, J.-J.; Xing, X.-M.; Hu, J.; Li, Z.-W. Monitoring of ground surface deformation in mining area with InSAR technique. Chin. J. Nonferr. Met. 2011, 21, 2564–2576. [Google Scholar]
- Fan, H. Study on Several Key Algorithms of Insar Technique and Its Application in Land Subsidence Monitoring; China University of Mining and Technology: Xuzhou, China, 2010. [Google Scholar]
- Lanari, R.; Mora, O.; Manunta, M.; Mallorqui, J.J.; Berardino, P.; Sansosti, E. A small-baseline approach for investigating deformations on full-resolution differential SAR interferograms. IEEE Trans. Geosci. Remote. Sens. 2004, 42, 1377–1386. [Google Scholar] [CrossRef]
- Tian, Y.; Lei, S.; Bian, Z. Monitoring and forecasting on inner dump subsidence based on SBAS and chaotic theory. J. China Coal Soc. 2019, 44, 3865–3873. [Google Scholar] [CrossRef]
- Diao, X.; Bai, Z.; Wu, K.; Zhou, D.; Li, Z. Assessment of mining-induced damage to structures using InSAR time series analysis: A case study of Jiulong Mine, China. Environ. Earth Sci. 2018, 77, 1–14. [Google Scholar] [CrossRef]
- Li, J.; Gao, F.; Lu, J. An application of InSAR time-series analysis for the assessment of mining-induced structural damage in Panji Mine, China. Nat. Hazards 2019, 97, 243–258. [Google Scholar] [CrossRef]
- Liu, L.; Yu, J.; Chen, B.; Wang, Y. Urban subsidence monitoring by SBAS-InSAR technique with multi-platform SAR images: A case study of Beijing Plain, China. Eur. J. Remote Sens. 2020, 53, 141–153. [Google Scholar] [CrossRef] [Green Version]
- Li, D.; Deng, K.; Gao, X.; Haipeng, N. Monitoring and analysis of ground subsidence in mining areas based on SBAS-InSAR. J. Wuhan Univ. Inf. Sci. Ed. 2018, 43, 1531–1537. [Google Scholar]
- Casu, F.; Manzo, M.; Lanari, R. A quantitative assessment of the SBAS algorithm performance for surface deformation retrieval from DInSAR data. Remote Sens. Environ. 2006, 102, 195–210. [Google Scholar] [CrossRef]
- Yang, J.; Wu, K.; Diao, X. Application of SBAS-InSAR Deformation Characteristic Monitoring in Cause Analysis of Building Damage. Saf. Coal Mines 2020, 51, 174–178, 183. [Google Scholar]
- Mu, C.; Yu, X.; Zhao, B.; Zhang, D.; Mao, X.; Zhu, J. The Formation Mechanism of Surface Landslide Disasters in the Mining Area under Different Slope Angles. Adv. Civil Eng. 2021, 2021, 1–13. [Google Scholar] [CrossRef]
- Lian, X.; Li, Z.; Yuan, H.; Hu, H.; Cai, Y.; Liu, X. Determination of the Stability of High-Steep Slopes by Global Navigation Satellite System (GNSS) Real-Time Monitoring in Long Wall Mining. Appl. Sci. 2020, 10, 1952. [Google Scholar] [CrossRef] [Green Version]
- Salmi, E.F.; Nazem, M.; Karakus, M. The effect of rock mass gradual deterioration on the mechanism of post-mining subsidence over shallow abandoned coal mines. Int. J. Rock Mech. Min. Sci. 2017, 91, 59–71. [Google Scholar] [CrossRef]
- Berardino, P.; Fornaro, G.; Lanari, R.; Sansosti, E. A new algorithm for surface deformation monitoring based on small baseline differential SAR interferograms. IEEE Trans. Geosci. Remote Sens. 2002, 40, 2375–2383. [Google Scholar] [CrossRef] [Green Version]
- Zhou, L.; Guo, J.; Hu, J.; Li, J.; Xu, Y.; Pan, Y.; Shi, M. Wuhan Surface Subsidence Analysis in 2015–2016 Based on Sentinel-1A Data by SBAS-InSAR. Remote Sens. 2017, 9, 982. [Google Scholar] [CrossRef] [Green Version]
- Dong, S.; Chong, Y.; Hu, H. Ground subsidence monitoring during 2015-2018 in China Changzhou based on time series InSAR method. J. Nanjing Univ. 2019, 55, 370–380. [Google Scholar]
- Luo, Y. Us Longwall Mining and Subsidence REsearch. West. Va. Univ. 2011, 6, 106–125. [Google Scholar]
- He, S. Analysis of Influencing Factors of Slope Stability Based on Loess Gully Region. Coal Technol. 2019, 38, 48–51. [Google Scholar] [CrossRef]
- Zhu, H.; Zhang, L.M.; Xiao, T.; Li, X.Y. Enhancement of slope stability by vegetation considering uncertainties in root distribution. Comput. Geotech. 2017, 85, 84–89. [Google Scholar] [CrossRef]
- Stead, D. The Influence of Shales on Slope Instability. Rock Mech. Rock 2015, 49, 635–651. [Google Scholar] [CrossRef]
- Cocco, M.; Rice, J.R. Pore pressure and poroelasticity effects in Coulomb stress analysis of earthquake interactions. J. Geophys. Res.-Solid Earth 2002, 107, 17. [Google Scholar] [CrossRef]
- Shi, Y.L.; Yin, D.; Ren, T.X. The variation of coseismic static stress deviation consistent with theoretical prediction was observed for first time-Observation of borehole strain of the Yuanping ML 4.7 earthquake in Shanxi on 7 April 2016. Chin. J. Geophys. 2021, 64, 1937–1948. [Google Scholar] [CrossRef]













| The Mining Face | (m) | (m) | (°) | (m) | Coal Seam Thickness (m) |
|---|---|---|---|---|---|
| 15209 mining face | 1860 | 300 | 1–3 | 160–240 | 6.1 |
| 15210 mining face | 1860 | 295 | 1–3 | 160–240 | 5.9 |
| 14209 mining face | 1915 | 300 | 0 | 54–120 | 3.6 |
| Time | Imaging Mode | Number | Band | Polarization Mode | Orbital Direction |
|---|---|---|---|---|---|
| 3 December 2019–25 April 2020 | IW | 12 | C | VV + VH | Ascending |
| -Value | Stability | Possibility of Landslide |
|---|---|---|
| < 0.83 | good | less |
| 0.83 ≤ < 1 | general | possible |
| ≥ 1 | poor | more |
| (kg/m3) | (°) | (Pascal) | |
|---|---|---|---|
| 70 | 1800 | 31 | 8000 |
| Number | Slope Angle (°) | -Value | Slope Stability | Possibility of Landslide |
|---|---|---|---|---|
| 1 | 5 | 0.013 | good | low |
| 2 | 10 | 0.265 | good | low |
| 3 | 20 | 0.541 | good | low |
| 4 | 25 | 0.688 | good | low |
| 5 | 30 | 0.842 | general | possible |
| 6 | 40 | 1.183 | poor | high |
| 7 | 50 | 1.579 | poor | high |
| 8 | 70 | 2.402 | poor | high |
| 9 | 80 | 2.095 | poor | high |
Publisher’s Note: MDPI stays neutral with regard to jurisdictional claims in published maps and institutional affiliations. |
© 2021 by the authors. Licensee MDPI, Basel, Switzerland. This article is an open access article distributed under the terms and conditions of the Creative Commons Attribution (CC BY) license (https://creativecommons.org/licenses/by/4.0/).
Share and Cite
Yuan, M.; Li, M.; Liu, H.; Lv, P.; Li, B.; Zheng, W. Subsidence Monitoring Base on SBAS-InSAR and Slope Stability Analysis Method for Damage Analysis in Mountainous Mining Subsidence Regions. Remote Sens. 2021, 13, 3107. https://doi.org/10.3390/rs13163107
Yuan M, Li M, Liu H, Lv P, Li B, Zheng W. Subsidence Monitoring Base on SBAS-InSAR and Slope Stability Analysis Method for Damage Analysis in Mountainous Mining Subsidence Regions. Remote Sensing. 2021; 13(16):3107. https://doi.org/10.3390/rs13163107
Chicago/Turabian StyleYuan, Mingze, Mei Li, Hui Liu, Pingyang Lv, Ben Li, and Wenbin Zheng. 2021. "Subsidence Monitoring Base on SBAS-InSAR and Slope Stability Analysis Method for Damage Analysis in Mountainous Mining Subsidence Regions" Remote Sensing 13, no. 16: 3107. https://doi.org/10.3390/rs13163107
APA StyleYuan, M., Li, M., Liu, H., Lv, P., Li, B., & Zheng, W. (2021). Subsidence Monitoring Base on SBAS-InSAR and Slope Stability Analysis Method for Damage Analysis in Mountainous Mining Subsidence Regions. Remote Sensing, 13(16), 3107. https://doi.org/10.3390/rs13163107

