Combined Impact of Sample Size and Modeling Approaches for Predicting Stem Volume in Eucalyptus spp. Forest Plantations Using Field and LiDAR Data
Abstract
1. Introduction
2. Materials and Methods
2.1. Study Area
2.2. Field Data
2.3. LiDAR Data Collection Specifications and Processing
2.4. Modeling Development and Assessment
- (i)
- Ordinary least-squares (OLS) multiple regression: The OLS regression algorithm fits a linear model by minimizing the residual sum of squares between the observed values in the training dataset and the predicted values by the linear model [41].
- (ii)
- Random forest (RF) algorithm: RF is a combination of a decision tree with a value of a random independently sampled vector and with the same distribution for all trees in the forest [22]. Based on binary rule-based decisions, the algorithm indicates which particular tree should be used for each specific data input. RF was adjusted using 1000 trees, and one-third of the number of variables to be randomly sampled at each split.
- (iii)
- k-nearest neighbors (k-NN) imputation: k-NN methods work by direct substitution (imputation) of measured values from sample locations (references) for locations for which we desire a prediction (targets). In this strategy, key considerations include the distance metric that is used to identify suitable references and the number of references (k) that are used in a single imputation [20]. In this study, we examined k = 1 neighbors for each of the mentioned distance metrics in order to keep the original variation in the data [42]. Many imputation methods can be used for associating target and reference observations. We decided to evaluate six different distance metrics for the k-NN-based approach: raw, Euclidean (k-NN-EUC), Mahalanobis (k-NN-MA), most similar neighbor (k-NN-MSN), independent component analysis (k-NN-ICA), and random forest (k-NN-RF).
- (iv)
- Support vector machine (SVM): SVM considers a statistical learning principle to fit a hyperplane that superimposes as much training data as possible. Instead of error minimization, SVM uses structural risk minimization of the distance from training points to the hyperplane [43,44]. To warranty a nonlinear response space, our SVM uses a Radial Base Function for the Kernel function.
- (v)
- Artificial neural network (ANN): The ANNs algorithm is inspired by the work of neurons in the human brain [45]. The neural network was set up with two hidden layers: 7 neurons in the first layer (same length of the variables vector) and one neuron in the second layer. The initial weights were set randomly, and the decay parameter was set to 0.1.
2.5. Statistical Comparisons
3. Results
3.1. Predictor Variable Selection
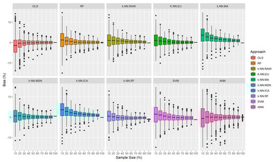
3.2. Combined Impact of Sample Size and Data Modeling
4. Discussion
5. Conclusions
Author Contributions
Funding
Acknowledgments
Conflicts of Interest
References
- FAO (Food and Agriculture Organization of the United Nations). Global Forest Resources Assessment 2015: How Are the World’s Forests Changing? FAO: Rome, Itally, 2015; p. 9. Available online: http://www.fao.org/3/a-i4793e.pdf (accessed on 21 August 2019).
- Gao, T.; Zhu, J.; Deng, S.; Zheng, X.; Zhang, J.; Shang, G.; Huang, L. Timber production assessment of a plantation forest: An integrated framework with field-based inventory, multi-source remote sensing data and forest management history. Int. J. Appl. Earth Obs. Geoinf. 2016, 52, 155–165. [Google Scholar] [CrossRef]
- Rockwood, D.L.; Rudie, A.W.; Ralph, S.A.; Zhu, J.Y.; Winandy, J.E. Energy product options for Eucalyptus species grown as short rotation woody crops. Int. J. Mol. Sci. 2008, 9, 1361–1378. [Google Scholar] [CrossRef] [PubMed]
- Indústria Brasileira de Árvores. Relatório Lbá 2019; Indústria Brasileira de Árvores: Brasília, Brazil, 2019; p. 80. Available online: https://iba.org/datafiles/publicacoes/relatorios/iba-relatorioanual2019.pdf (accessed on 21 August 2019).
- Mohan, M.; de Mendonça, B.A.F.; Silva, C.A.; Klauberg, C.; de Saboya Ribeiro, A.S.; de Araújo, E.J.G.; Monte, M.A.; Cardil, A. Optimizing individual tree detection accuracy and measuring forest uniformity in coconut (Cocos nucifera L.) plantations using airborne laser scanning. Ecol. Model. 2019, 409, 108736. [Google Scholar] [CrossRef]
- González-garcía, M.; Hevia, A.; Majada, J.; Anta, R.C.; Barrio-Anta, M. Dynamic growth and yield model including environmental factors for Eucalyptus nitens (Deane & Maiden) Maiden short rotation woody crops in Northwest Spain. New For. 2015, 46, 387–407. [Google Scholar] [CrossRef]
- Retslaff, F.A.; Filho, A.F.; Dias, A.N.; Bernett, L.G.; Figura, M.C. Curvas de sítio e relações hipsométricas para Eucalyptus grandis na região dos Campos Gerais, Paraná. Cerne 2015, 21, 219–225. [Google Scholar] [CrossRef]
- Morgenroth, J.; Visser, R. Uptake and barriers to the use of geospatial technologies in forest management. N. Z. J. For. Sci. 2013, 43, 1–16. [Google Scholar] [CrossRef]
- Montaghi, A.; Corona, P.; Dalponte, M.; Gianelle, D.; Chirici, G.; Olsson, H. Airborne laser scanning of forest resources: An overview of research in Italy as a commentary case study. Int. J. Appl. Earth Obs. Geoinf. 2013, 23, 288–300. [Google Scholar] [CrossRef]
- Silva, C.A.; Valbuena, R.; Pinagé, E.R.; Mohan, M.; de Almeida, D.R.; North Broadbent, E.; Wan Mohd Jaafa, W.S.; de Almeida Papa, D.; Cardil, A.; Klauberg, C. ForestGapR: An r Package for forest gap analysis from canopy height models. Methods Ecol. Evol. 2019, 10, 1347–1356. [Google Scholar] [CrossRef]
- Dalla Corte, A.P.; Rex, F.E.; Almeida, D.R.A.D.; Sanquetta, C.R.; Silva, C.A.; Moura, M.M.; Wilkinson, B.; Zambrano, A.M.A.; Cunha Neto, E.M.D.; Veras, H.F.; et al. Measuring Individual Tree Diameter and Height Using GatorEye High-Density UAV-Lidar in an Integrated Crop-Livestock-Forest System. Remote Sens. 2020, 12, 863. [Google Scholar] [CrossRef]
- Næsset, E.; Nilsson, M.; Gobakken, T.; Maltamo, M. Laser scanning of forest resources: The Nordic experience. Scand. J. For. Res. 2014, 19, 482–499. [Google Scholar] [CrossRef]
- White, J.C.; Wulder, M.A.; Vastaranta, M.; Coops, N.C.; Pitt, D.; Woods, M. The Utility of Image-Based Point Clouds for Forest Inventory: A Comparison with Airborne Laser Scanning. Forests 2013, 4, 518–536. [Google Scholar] [CrossRef]
- Silva, C.A.; Hudak, A.T.; Vierling, L.A.; Loudermilk, E.L.; O’Brien, J.J.; Hiers, J.K.; Jack, S.B.; Gonzalez-Benecke, C.; Lee, H.; Falkowski, M.J.; et al. Imputation of individual longleaf pine (Pinus palustris Mill.) tree attributes from field and LiDAR data. Can. J. Remote Sens. 2016, 42, 554–573. [Google Scholar] [CrossRef]
- Lefsky, M.A.; Hudak, A.; Cohenc, W.B.; Ack, S.A. Patterns of covariance between forest stand and canopy structure in the Pacific Northwest. Remote Sens. Environ. 2005, 95, 517–531. [Google Scholar] [CrossRef]
- Aubry-Kientz, M.; Dutrieux, R.; Ferraz, A.; Saatchi, S.; Hamraz, H.; Williams, J.; Coomes, D.; Piboule, A.; Vincent, G. A comparative assessment of the performance of individual tree crowns delineation algorithms from ALS data in tropical forests. Remote Sens. 2019, 11, 1086. [Google Scholar] [CrossRef]
- Silva, C.A.; Hudak, A.T.; Vierling, L.A.; Liesenberg, V.L.; Bernett, L.G.; Scheraiber, C.F.; Schoeninger, E. Estimating stand height and tree density in pinus taeda plantations using in-situ data, airborne LiDAR and k-nearest neighbor imputation. Anais Academia Brasileira Ciências 2018, 90, 295–309. [Google Scholar] [CrossRef]
- Silva, C.A.; Klauberg, C.; e Carvalho, S.D.P.C.; Hudak, A.T. Mapping aboveground carbon stocks using LiDAR data in Eucalyptus spp. plantations in the state of Sao Paulo, Brazil. Sci. For. 2014, 42, 591–604. [Google Scholar]
- Sačkov, I.; Kulla, L.; Bucha, T. A Comparison of Two Tree Detection Methods for Estimation of Forest Stand and Ecological Variables from Airborne LiDAR Data in Central European Forests. Remote Sens. 2019, 11, 1431. [Google Scholar] [CrossRef]
- Shin, J.; Temesgen, H.; Strunk, J.L.; Hilker, T. Comparing Modeling Methods for Predicting Forest Attributes Using LiDAR Metrics and Ground Measurements. Can. J. Remote Sens. 2016, 42, 739–765. [Google Scholar] [CrossRef]
- Were, K.; Bui, D.T.; Dick, Ø.B.; Singh, B.R. A comparative assessment of support vector regression, artificial neural networks, and random forests for predicting and mapping soil organic carbon stocks across an Afromontane landscape. Ecol. Indic. 2015, 52, 394–403. [Google Scholar] [CrossRef]
- Breiman, L. Random forests. Mach. Learn. 2001, 45, 5–32. [Google Scholar] [CrossRef]
- Zhao, K.; Popescu, S.; Nelson, R. Lidar remote sensing of forest biomass: A scale-invariant estimation approach using airborne lasers. Remote Sens. Environ. Amst. 2009, 113, 182–196. [Google Scholar] [CrossRef]
- Falkowski, M.J.; Hudak, A.T.; Crookston, N.L.; Gessler, P.E.; Uebler, E.H.; Smith, A.M. Landscape-scale parameterization of a tree-level forest growth model: A k-nearest neighbor imputation approach incorporating LiDAR data. Can. J. For. Res. 2010, 40, 184–199. [Google Scholar] [CrossRef]
- Zhao, K.; Popescu, S.; Meng, X.; Pang, Y.; Agca, M. Characterizing forest canopy structure with lidar composite metrics and machine learning. Remote Sens. Environ. Amst. 2011, 115, 1978–1996. [Google Scholar] [CrossRef]
- Hudak, A.T.; Haren, A.T.; Crookston, N.L.; Liebermann, R.J.; Ohmann, J.L. Imputing forest structure attributes from stand inventory and remotely sensed data in western Oregon, USA. For. Sci. 2014, 60, 253–269. [Google Scholar] [CrossRef]
- Racine, E.B.; Coops, N.C.; St-Onge, B.; Bégin, J. Estimating forest stand age from LiDAR-derived predictors and nearest neighbour imputation. For. Sci. 2014, 60, 128–136. [Google Scholar] [CrossRef]
- Xu, L.; Saatchi, S.S.; Yang, Y.; Yu, Y.; White, L. Performance of non-parametric algorithms for spatial mapping of tropical forest structure. Carbon Balance Manag. 2016, 11, 18. [Google Scholar] [CrossRef]
- Penner, M.; Pitt, D.G.; Woods, M.E. Parametric vs. nonparametric LiDAR models for operational forest inventory in boreal Ontario. Can. J. Remote Sens. 2013, 39, 426–443. [Google Scholar]
- Valbuena, R.; Hernando, A.; Manzanera, J.A.; Martínez-Falero, E.; García-Abril, A.; Mola-Yudego, B. Most similar neighbor imputation of forest attributes using metrics derived from combined airborne LIDAR and multispectral sensors. Int. J. Digit. Earth 2018, 11, 1205–1218. [Google Scholar] [CrossRef]
- Silva, C.A.; Klauberg, C.; Hudak, A.T.; Vierling, L.A.; Jaafar, W.S.W.M.; Mohan, M.; Garcia, M.; Ferraz, A.; Cardil, A.; Saatchi, S. Predicting Stem Total and Assortment Volumes in an Industrial Pinus taeda L. Forest Plantation Using Airborne Laser Scanning Data and Random Forest. Forests 2017, 8, 254. [Google Scholar] [CrossRef]
- Alvares, C.A.; Stape, J.L.; Sentelhas, P.C.; de Moraes, G.; Leonardo, J.; Sparovek, G. Köppen’s climate classification map for Brazil. Meteorologische Zeitschrift 2013, 22, 711–728. [Google Scholar] [CrossRef]
- Hall, F.; Schumacher, F. Logarithmic expression of timber-tree. J. Agric. Res. 1933, 47, 719. [Google Scholar]
- McGaughey, R.J. FUSION/LDV: Software for LiDAR Data Analysis and Visualization, Version 3.01. US Department of Agriculture, Forest Service, Pacific Northwest Research Station, University of Washington: Seattle, WA, USA. 2012. Available online: http://forsys.cfr.washington.edu/FUSION/fusion_overview.html (accessed on 21 August 2019).
- Kraus, K.; Pfeifer, N. Determination of terrain models in wooded areas with airborne laser scanner data. ISPRS J. Photogramm. Remote Sens. 1998, 53, 120–127. [Google Scholar] [CrossRef]
- Hudak, A.T.; Crookston, N.L.; Evans, J.S.; Falkowski, M.J.; Smith, A.M.; Gessler, P.E.; Morgan, P. Regression modeling and mapping of coniferous forest basal area and tree density from discrete-return lidar and multispectral data. Can. J. Remote Sens. 2006, 32, 126–138. [Google Scholar] [CrossRef]
- García-Gutiérrez, J.; Martínez-Álvarez, F.; Troncoso, A.; Riquelme, J.C. A comparison of machine learning regression techniques for LiDAR-derived estimation of forest variables. Neurocomputing 2015, 167, 24–31. [Google Scholar] [CrossRef]
- Cao, L.; Pan, J.; Li, R.; Li, J.; Li, Z. Integrating Airborne LiDAR and Optical Data to Estimate Forest Aboveground Biomass in Arid and Semi-Arid Regions of China. Remote Sens. 2018, 10, 532. [Google Scholar] [CrossRef]
- Sokal, R.; Rohlf, F. Biometry, 4th ed.; WH Freeman: New York, NY, USA, 2012; p. 937. [Google Scholar]
- Hudak, A.T.; Strand, E.K.; Vierling, L.A.; Byrne, J.C.; Eitel, J.U.; Martinuzzi, S.; Falkowski, M.J. Quantifying aboveground forest carbon pools and fluxes from repeat LiDAR surveys. Remote Sens. Environ. 2012, 123, 25–40. [Google Scholar] [CrossRef]
- Cui, Z.; Gong, G. The effect of machine learning regression algorithms and sample size on individualized behavioral prediction with functional connectivity features. Neuroimage 2018, 178, 622–637. [Google Scholar] [CrossRef]
- Hudak, A.T.; Crookston, N.L.; Evans, J.S.; Hall, D.E.; Falkowski, M.J. Nearest neighbor imputation of species-level, plot-scale forest structure attributes from LiDAR data. Remote Sens. Environ. 2008, 112, 2232–2245. [Google Scholar] [CrossRef]
- Smola, A.J.; Scholkopf, B. A tutorial on support vector regression. Stat. Comput. 2004, 14, 199–222. [Google Scholar] [CrossRef]
- Görgens, E.B.; Montaghi, A.; Rodriguez, L.C.E. A performance comparison of machine learning methods to estimate the fast-growing forest plantation yield based on laser scanning metrics. Comput. Electron. Agric. 2015, 116, 221–227. [Google Scholar] [CrossRef]
- Hassoun, M.H. Fundamentals of Artificial Neural Networks. 1996. Available online: https://www.researchgate.net/profile/Terrence_Fine/publication/3078997_Fundamentals_of_Artificial_Neural_Networks-Book_Reviews/links/56ebf73a08aee4707a3849a6.pdf (accessed on 21 August 2019).
- R Core Team. R: A Language and Environment for Statistical Computing; R Foundation for Statistical Computing: Vienna, Austria, 2015; Available online: https://www.r-project.org/ (accessed on 15 February 2018).
- Liaw, A.; Wiener, M. Classification and regression by randomForest. R News 2002, 2, 18–22. [Google Scholar]
- Crookston, N.L.; Finley, A.O. yaImpute: An R Package for kNN Imputation. J. Stat. Softw. 2008, 23, 1–16. [Google Scholar] [CrossRef]
- Dimitriadou, E.; Hornik, K.; Leisch, F.; Meyer, D.; Weingessel, A. Misc functions of the Department of Statistics (e1071), TU Wien. R Package 2008, 1, 5–24. [Google Scholar]
- Venables, W.N.; Ripley, B.D. Modern Applied Statistics with S; Springer: New York, NY, USA, 2002. [Google Scholar]
- Carvalho, S.P.C.; Rodriguez, L.C.E.; Silva, L.D.; Carvalho, L.M.T.; Calegario, N.; Lima, M.P.; Silva, C.A.; Mendonça, A.R.; Nicoletti, M.R. Predição do volume de árvores integrando LiDAR e Geoestatística. Sci. For. 2015, 43, 627–637. [Google Scholar]
- Fassnacht, F.E.; Hartig, F.; Latifi, H.; Berger, C.; Hernández, J.; Corvalán, P.; Koch, B. Importance of sample size, data type and prediction method for remote sensing-based estimations of aboveground forest biomass. Remote Sens. Environ. 2014, 154, 102–114. [Google Scholar] [CrossRef]
- Jaafar, W.M.; Shafrina, W.; Woodhouse, I.H.; Silva, C.A.; Omar, H.; Maulud, A.; Nizam, K.; Hudak, A.T.; Klauberg, C.; Cardil, A.; et al. Improving Individual Tree Crown Delineation and Attributes Estimation of Tropical Forests Using Airborne LiDAR Data. Forests 2018, 9, 759. [Google Scholar] [CrossRef]
- Gregorutti, B.; Michel, B.; Saint-Pierre, P. Correlation and variable importance in random forests. Stat. Comput. 2017, 27, 659–678. [Google Scholar] [CrossRef]
- Li, Y.; Andersen, H.K.; McGaughey, R. A comparison of statistical methods for estimating forest biomass from light detection and ranging data. West. J. Appl. For. 2008, 23, 223–231. [Google Scholar] [CrossRef]
- Tesfamichael, S.G.; Van Aardt, J.A.N.; Ahmed, F. Estimating plot-level tree height and volume of Eucalyptus grandis plantations using small-footprint, discrete return lidar data. Prog. Phys. Geogr. 2010, 34, 515–540. [Google Scholar] [CrossRef]
- Packalén, P.; Mehtätalo, L.; Maltamo, M. ALS-based estimation of plot volume and site index in a eucalyptus plantation with a nonlinear mixed-effect model that accounts for the clone effect. Ann. For. Sci. 2011, 68, 1085–1092. [Google Scholar] [CrossRef]
- Xu, Q.; Man, A.; Fredrickson, M.; Hou, Z.; Pitkänen, J.; Wing, B.; Ramirez, C.; Li, B.; Greenberg, J.A. Quantification of uncertainty in aboveground biomass estimates derived from small-footprint airborne LiDAR. Remote Sens. Environ. 2018, 216, 514–528. [Google Scholar] [CrossRef]
- Thanh Noi, P.; Kappas, M. Comparison of random forest, k-nearest neighbor, and support vector machine classifiers for land cover classification using Sentinel-2 imagery. Sensors 2018, 18, 18. [Google Scholar] [CrossRef]
- Gobakken, T.; Næsset, E. Assessing effects of laser point density, ground sampling intensity, and field sample plot size on biophysical stand properties derived from airborne laser scanner data. Can. J. For. Res. 2008, 38, 1095–1109. [Google Scholar] [CrossRef]
- Stereńczak, K.; Lisańczuk, M.; Erfanifard, Y. Delineation of homogeneous forest patches using combination of field measurements and LiDAR point clouds as a reliable reference for evaluation of low resolution global satellite data. For. Ecosyst. 2018, 5, 1. [Google Scholar] [CrossRef]
- Hao, X.; Yujun, S.; Xinjie, W.; Jin, W.; Yao, F. Linear mixed-effects models to describe individual tree crown width for China-fir in Fujian province, southeast China. PLoS ONE 2015, 10. [Google Scholar] [CrossRef]
- Crecente-Campo, F.; Tomé, M.; Soares, P.; Diéguez-Aranda, U. A generalized nonlinear mixed-effects height–diameter model for Eucalyptus globulus L. in northwestern Spain. For. Ecol. Manag. 2010, 259, 943–952. [Google Scholar] [CrossRef]
- Wang, Y.; LeMay, V.M.; Baker, T.G. Modelling and prediction of dominant height and site index of Eucalyptus globulus plantations using a nonlinear mixed-effects model approach. Can. J. For. Res. 2007, 37, 1390–1403. [Google Scholar] [CrossRef]
- Faraway, J.J. Extending the Linear Model with R: Generalized Linear, Mixed Effects and Nonparametric Regression Models; CRC Press: Boca Raton, FL, USA, 2016. [Google Scholar]
- de Souza Vismara, E.; Mehtätalo, L.; Batista, J.L.F. Linear mixed-effects models and calibration applied to volume models in two rotations of Eucalyptus grandis plantations. Can. J. For. Res. 2016, 46, 132–141. [Google Scholar] [CrossRef]
- Kallio, E.; Maltamo, M.; Packalén, P. Effect of sampling intensity on the accuracy of species-specific volume estimates derived with aerial data: A case study on five privately owned forest holdings. In Proceedings of the 10th International Conference on LiDAR Applications for Assessing Forest Ecosystems, Freiburg, Germany, 14–17 September 2010; pp. 169–178. [Google Scholar]
- Strunk, J.; Temesgen, H.; Andersen, H.E.; Flewelling, J.P.; Madsen, L. Effects of lidar pulse density and sample size on a model-assisted approach to estimate forest inventory variables. Can. J. Remote Sens. 2012, 38, 644–654. [Google Scholar] [CrossRef]
- Hernández-Stefanoni, J.L.; Reyes-Palomeque, G.; Castillo-Santiago, M.Á.; George-Chacón, S.P.; Huechacona-Ruiz, A.H.; Tun-Dzul, F.; Rondon-Rivera, D.; Dupuy, J.M. Effects of sample plot size and GPS location errors on aboveground biomass estimates from LiDAR in tropical dry forests. Remote Sens. 2018, 10, 1586. [Google Scholar] [CrossRef]
- Tilley, B.K.; Munn, I.A.; Evans, D.L.; Parker, R.C.; Roberts, S.D. Cost Considerations of Using LiDAR for Timber Inventory. 2004. Available online: https://pdfs.semanticscholar.org/236b/cd6724d040a1f3c1cc89af778c00f249c02f.pdf (accessed on 21 August 2019).
- Laranja, D.C.F.; Gorgens, E.B.; Soares, C.P.B.; Silva, A.G.P.; Da Rodriguez, L.C.E. Redução do erro amostral na estimativa do volume de povoamentos de Eucalyptus ssp. por meio de escaneamento laser aerotransportado. Sci. For. 2015, 43, 845–852. [Google Scholar] [CrossRef][Green Version]
- Sankey, T.T.; McVay, J.; Swetnam, T.L.; McClaran, M.P.; Heilman, P.; Nichols, M. UAV hyperspectral and lidar data and their fusion for arid and semi-arid land vegetation monitoring. Remote Sens. Ecol. Conserv. 2018, 4, 20–33. [Google Scholar] [CrossRef]
- Yang, B.; Chen, C. Automatic registration of UAV-borne sequent images and LiDAR data. ISPRS J. Photogramm. Remote Sens. 2015, 101, 262–274. [Google Scholar] [CrossRef]
- Wu, X.; Shen, X.; Cao, L.; Wang, G.; Cao, F. Assessment of Individual Tree Detection and Canopy Cover Estimation using Unmanned Aerial Vehicle based Light Detection and Ranging (UAV-LiDAR) Data in Planted Forests. Remote Sens. 2019, 11, 908. [Google Scholar] [CrossRef]
- Ahmed, O.S.; Franklin, S.E.; Wulder, M.A.; White, J.C. Characterizing stand-level forest canopy cover and height using Landsat time series, samples of airborne lidar, and the random forest algorithm. ISPRS J. Photogramm. Remote Sens. 2015, 101, 89–101. [Google Scholar] [CrossRef]







| Ages | dbh (cm) | Ht (m) | V (m3·ha−1) | N Plots | |||
|---|---|---|---|---|---|---|---|
| Mean | SD | Mean | SD | Mean | SD | ||
| 2.2 | 10.27 | 1.19 | 14.34 | 1.23 | 58.34 | 20.30 | 6 |
| 3.2 | 12.75 | 0.88 | 21.83 | 1.05 | 160.35 | 24.77 | 5 |
| 3.8 | 14.09 | 0.56 | 22.35 | 1.49 | 189.15 | 23.87 | 10 |
| 4.5 | 15.55 | 1.32 | 25.90 | 0.86 | 280.63 | 39.35 | 5 |
| 4.8 | 15.82 | 0.87 | 29.34 | 1.38 | 329.44 | 42.14 | 37 |
| 5.1 | 15.36 | 1.06 | 28.62 | 1.67 | 333.35 | 55.23 | 38 |
| 6 | 16.51 | 1.56 | 29.13 | 2.81 | 349.53 | 87.25 | 57 |
| Parameter | Value |
|---|---|
| Scan angle (°) | ±45° |
| Footprint | 0.33 m |
| Flying altitude | 438 m |
| Swath width | 363.11 m |
| Overlap | 100% (50% side-lap) |
| Scan frequency | 300 kHz |
| Average point density | 10 pts·m−2 |
| Variable | Description | Variable | Description |
|---|---|---|---|
| HMAX | Height maximum | H25TH | Height 25th percentile |
| HMEAN | Height mean | H30TH | Height 30th percentile |
| HMODE | Height mode | H40TH | Height 40th percentile |
| HSD | Height standard deviation | H50TH | Height 50th percentile |
| HVAR | Height variance | H60TH | Height 60th percentile |
| HCV | Height coefficient of variation | H70TH | Height 70th percentile |
| HIQ | Height interquartile distance | H75TH | Height 75th percentile |
| HSKEW | Height skewness | H80TH | Height 80th percentile |
| HKURT | Height kurtosis | H90TH | Height 90th percentile |
| H01TH | Height 20th percentile | H95TH | Height 95th percentile |
| H05TH | Height 20th percentile | H99TH | Height 99th percentile |
| H10TH | Height 20th percentile | CR | Canopy relief ratio |
| H20TH | Height 20th percentile | COV | Canopy cover (percentage of first returns above 1.30 m) |
| r | HMEAN | HMODE | HCV | HKUR | H25TH | H99TH | COV |
|---|---|---|---|---|---|---|---|
| HMODE | 0.66 *** | ||||||
| HCV | −0.10 | −0.02 | |||||
| HKUR | 0.23 | 0 | −0.79 *** | ||||
| H25TH | 0.67 *** | 0.39 ** | −0.69 *** | 0.54 *** | |||
| H99TH | 0.76 *** | 0.52 *** | 0.53 *** | −0.32 * | 0.10 | ||
| COV | −0.27 | −0.24 | −0.07 | 0.22 | −0.23 | −0.26 |
| PCs | Ev | Eigenvectors (Eg) | ||||||
|---|---|---|---|---|---|---|---|---|
| HMEAN | HMODE | HCV | HKUR | H25TH | H99TH | COV | ||
| PC1 | 2.80 | 0.54 | 0.42 | −0.26 | 0.26 | 0.52 | 0.29 | −0.20 |
| PC2 | 2.47 | −0.19 | −0.23 | −0.55 | 0.50 | 0.23 | −0.51 | 0.23 |
| PC3 | 0.91 | 0.19 | 0.14 | 0.14 | 0.19 | −0.13 | 0.25 | 0.90 |
| PC4 | 0.48 | −0.29 | 0.84 | −0.13 | −0.21 | −0.12 | −0.36 | 0.08 |
| PC5 | 0.27 | 0.01 | −0.17 | −0.14 | −0.71 | 0.58 | −0.07 | 0.31 |
© 2020 by the authors. Licensee MDPI, Basel, Switzerland. This article is an open access article distributed under the terms and conditions of the Creative Commons Attribution (CC BY) license (http://creativecommons.org/licenses/by/4.0/).
Share and Cite
Silva, V.S.d.; Silva, C.A.; Mohan, M.; Cardil, A.; Rex, F.E.; Loureiro, G.H.; Almeida, D.R.A.d.; Broadbent, E.N.; Gorgens, E.B.; Dalla Corte, A.P.; et al. Combined Impact of Sample Size and Modeling Approaches for Predicting Stem Volume in Eucalyptus spp. Forest Plantations Using Field and LiDAR Data. Remote Sens. 2020, 12, 1438. https://doi.org/10.3390/rs12091438
Silva VSd, Silva CA, Mohan M, Cardil A, Rex FE, Loureiro GH, Almeida DRAd, Broadbent EN, Gorgens EB, Dalla Corte AP, et al. Combined Impact of Sample Size and Modeling Approaches for Predicting Stem Volume in Eucalyptus spp. Forest Plantations Using Field and LiDAR Data. Remote Sensing. 2020; 12(9):1438. https://doi.org/10.3390/rs12091438
Chicago/Turabian StyleSilva, Vanessa Sousa da, Carlos Alberto Silva, Midhun Mohan, Adrián Cardil, Franciel Eduardo Rex, Gabrielle Hambrecht Loureiro, Danilo Roberti Alves de Almeida, Eben North Broadbent, Eric Bastos Gorgens, Ana Paula Dalla Corte, and et al. 2020. "Combined Impact of Sample Size and Modeling Approaches for Predicting Stem Volume in Eucalyptus spp. Forest Plantations Using Field and LiDAR Data" Remote Sensing 12, no. 9: 1438. https://doi.org/10.3390/rs12091438
APA StyleSilva, V. S. d., Silva, C. A., Mohan, M., Cardil, A., Rex, F. E., Loureiro, G. H., Almeida, D. R. A. d., Broadbent, E. N., Gorgens, E. B., Dalla Corte, A. P., Silva, E. A., Valbuena, R., & Klauberg, C. (2020). Combined Impact of Sample Size and Modeling Approaches for Predicting Stem Volume in Eucalyptus spp. Forest Plantations Using Field and LiDAR Data. Remote Sensing, 12(9), 1438. https://doi.org/10.3390/rs12091438

