Exploring the Factors Controlling Nighttime Lights from Prefecture Cities in Mainland China with the Hierarchical Linear Model
Abstract
1. Introduction
2. The Study Area, Datasets and their Preprocess
2.1. Description of the Study Area
2.2. The Datasets
2.2.1. VIIRS Nighttime Light Dataset
2.2.2. The Ancillary Datasets
2.3. Selection of Variables and Derivation of Factors
2.3.1. Selection of Variables
- Variables at the city level: GDP, GDP per capita, population, population density, total electric consumption, road area, urban built-up area, personal city green space area, and personal urban green coverage area. These variables were obtained from the statistical yearbook dataset. The personal city green space area denotes the total area of various types of green space divided by the population, and a certain type of green space has to satisfy the strict minimum area requirement according to the urban construction code. As for the personal urban green coverage area, it means the total extent of green coverage divided by the population, and a single tree can have its own coverage area (vertical projection area). Thus, both variables can reflect the personal artificial greenness in a city. Besides, average NDVI was calculated from the NDVI dataset for each city, which can represent the natural greenness in a city. The average elevation was computed using the DEM dataset and the latitude variable was determined as the central location of the urban boundary, and these two geographical variables might be indirectly related to nighttime lights [33,34].
- Variables at the provincial level: primary industrial added value, secondary industrial added value, tertiary industrial added value, which reflect the net value of total economic activity by removing production costs for the three sectors, respectively. Total sales of consumer goods and the total amount of fixed assets investment, which are of fundamental importance to reflect economic growth. The number of mobile phone users, internet users, and broadband access users are three variables to reflect the popularity and coverage of Internet and Communication Technology (ICT). The total passenger traffic, road passenger traffic, and rail passenger traffic are three variables to measure how much people travel in one year, which might be related to nighttime lights [35]. Personal wages, personal disposable income, and personal consumption expenditure are three variables to measure the living standard of city residents. Besides, forest area and natural ecological conservation area were selected to reflect the ecosystem at the provincial level. All these variables were obtained from the statistical yearbook dataset.
2.3.2. Derivation of Factors
- 1)
- Factors at the city level: economy-energy-infrastructure factor, artificial-greenness factor, elevation factor, latitude factor, natural-greenness factor, and demography factor. The economy-energy-infrastructure factor can explain about 41.80% of the variance, which is mainly determined by the variables of GDP, electric consumption, road area, and urban built-up area with loadings of 0.43, 0.42, 0.42, and 0.43, respectively. The artificial-greenness factor can explain around 15.06% of the variance, which mainly represents the variables of personal city green space area and personal urban green coverage area with loadings of 0.62 and 0.63, respectively. The factors of elevation, latitude, natural-greenness, and demography can explain the variances of 10.54%, 8.04%, 7.63%, and 5.85%, which mainly reflect the variables of elevation, latitude, NDVI, and population density with loadings of 0.58, 0.79, 0.81, and 0.75, respectively. These constitute the explanatory factors of nighttime lights at the city level.
- 2)
- Factors at the provincial level: industry-information factor, living-standard factor, natural-ecology factor, and passenger-traffic factor. The industry-information factor can explain 58.39% of the variance, and it mainly represents the variables of added values in three sectors, total sales of consumer goods, the total amount of fixed assets investment, and the number of mobile users, internet users, and broadband access users. The living-standard factor contributes around 22.00% of the variance, which is mainly determined by the variables of personal wages, personal disposable income, and personal consumption expenditure with loadings of 0.51, 0.49, and 0.50, respectively. As for the natural-ecology factor, it explains around 6.82% of the variance, which mainly reflects the variables of forest area and natural ecological conservation area with loadings of 0.65 and 0.67, respectively. The passenger-traffic factor contributes 4.88% of the variance and can be represented by the variables of total passenger traffic and road passenger traffic with loadings of 0.49 and 0.52. These constitute the explanatory factors of nighttime lights at the provincial level.
3. Methodologies
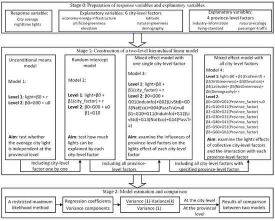
3.1. Construction of a Two-Level Hierarchical Linear Model
3.1.1. Unconditional Means Model: Model 1
3.1.2. Random Intercept Model: Model 2
3.1.3. Mixed-Effect Model with One Single City-Level Factor: Model 3
3.1.4. Mixed-Effect Model with All City-Level Factors: Model 4
3.2. Model Estimation and Comparison
4. Analytic Results
4.1. Analysis of the Nighttime Lights Effects of Influencing Factors
4.1.1. Results of Unconditional Means Model: Model 1
4.1.2. Results of Random Intercept Model: Model 2
- 1)
- As for 2-1, there is a significant positive correlation between economy-energy-infrastructure factor and city lights. Specifically, with the increment of one unit of this factor, city lights might be increased by about 73.46% on average. This finding coincides well with many previous studies, which suggested that city lights are highly correlated with economic status [17], energy consumption [37], and urban infrastructure [38].
- 2)
- As for 2-2, the artificial-greenness factor is negatively correlated with city lights [38], but the influence is not significant. This is probably because green space in urban areas tends to be decorated with lighting facilities, which might affect the absorption and block of nighttime lights by vegetation. As for 2-3, elevation factor has a significant negative influence on city lights. Such situation coincides very well with the unbalanced development in Mainland China. In particular, cities in the northwest tend to be underdeveloped and are located at high altitudes, while those in the southwest are likely to be developed and are located at low altitudes. Specifically, with the increment of one unit of this factor, city lights might be decreased by about 11.69% on average.
- 3)
- As for 2-4 and 2-5, we can observe significant negative correlations between city lights and factors of latitude and natural-greenness. Such results are reasonable in the Chinese context because southern cities with low latitudes are more developed than northern cities with high latitudes, and cities with large coverages of vegetation tend to absorb or block more lights than those with small vegetation coverages [1]. Specifically, with one unit’s increase in latitude and natural-greenness, city lights could be decreased by 14.49% and 18.05%, respectively. However, as for 2-6, a significant positive correlation can be observed with the demography factor [22,39]. For instance, city lights might be increased by about 16.04% on average with the increment of one unit of this factor.
4.1.3. Results of the Mixed Effect Model with One Single City-Level Factor: Model 3
- 1)
- In general, from model 3-1 to 3-6, we observed that the factors of industry-information, living-standard, and passenger-traffic at the provincial level had positive correlations with city lights, although some factors do not display significant influences. Moreover, the natural-ecology factor has a negative correlation with city lights, but it is not significant in most models. As indicated by the values of G10 in these models, each city-level factor had almost a similar influencing pattern as observed in Model 2, although the magnitude and significance of the effects varied slightly. For instance, artificial-greenness factor again showed a non-significant relationship with city lights, but the magnitude was relatively weak. These are probably due to the regulatory effects of province-level factors on each city-level factor [30].
- 2)
- Model 3-1 is a two-level mixed-effect model with economy-energy-infrastructure, and the results are shown in the second column of Table 5. Firstly, compared with the results of Model 2-1, the positive lights effect of economy-energy-infrastructure changes from 73.46% to 44.24% with a reduction of 39.78% on average, which further confirms the existence of intra-group and inter-group differences. Secondly, significant interactions can be observed for the lights effect of economy-energy-infrastructure with industry-information and passenger-traffic. Specifically, factors of industry-information and passenger-traffic can enhance the lights effects. For instance, a one-level increase in industry-information or passenger-traffic might significantly improve nighttime lights by 18.30% or 14.59% on average. The observed multiplying effect of economic activities from both provincial level and city level on lights indicates the important role of coordinated development of the regional economy. Thirdly, there are no significant interactions between the other two province-level factors and lights effects of economy-energy-infrastructure.
- 3)
- Model 3-2 is a two-level mixed-effect model with artificial-greenness, and the results are shown in the third column of Table 5. Firstly, compared with the results of Model 2-2, the non-significant negative lights effect of artificial-greenness is weakened by 66.67%, which is probably due to the regulatory effect of the natural-ecology factor at the provincial level. Secondly, natural-ecology factor has a significant interaction with the lights effect of artificial-greenness, which may have enhanced this negative influence. Specifically, with the increment of natural-ecology value in one unit, city lights will be decreased further by 4.07% on average. This is not surprising because forest area or natural conservation area in ecosystem can play a large role in cooling the cities [40]. Thirdly, the lights effect of artificial-greenness did not have significant interactions with other province-level factors, such as the factors of industry-information, living-standards, and passenger-traffic.
- 4)
- Model 3-3 is a two-level mixed-effect model with elevation, and the results are shown in the fourth column of Table 5. Firstly, the negative lights effect of elevation displays a slight decrease of 13.94% as compared with those of Model 2-3, and importantly, it becomes non-significant. This finding indicated that the impact of elevation on city lights might be unreliable by only considering their linear relationship. Secondly, there is a significant interaction between passenger-traffic factor and the lights effect of elevation, and passenger-traffic factor could reduce the negative effect of elevation. For instance, a one-level increase in passenger-traffic could significantly increase city lights by 1.84% on average. This finding is reasonable because urban transportation can improve urban economic development [41], which might lead to a high level of nighttime lights. Thirdly, there are no significant interactions between the lights effect of elevation and the factors of industry-information, living-standard, and natural-ecology.
- 5)
- The estimation results of Model 3-4 are summarized in the fifth column of Table 5. Firstly, compared with those of Model 2-4, the negative lights effect of latitude is diminished by a large percentage of 46.03% and becomes non-significant, which suggests that the impact of latitude on city lights might be unreliable by only considering their linear relationship. Secondly, the living-standard factor shows a significant interaction with the lights effect of latitude, which will continue to weaken this negative impact. For instance, with a one-level increase in living-standard, city lights will be increased largely by 26.81% on average. Thirdly, the natural-ecology factor displays a significant interaction with the lights effect of latitude, but the negative effect will be enhanced. For instance, city lights will be further decreased by 12.55% on average with the increment of one level’s natural-ecology factor. Fourthly, no significant interactions can be observed between city lights and the factors of industry-information and passenger-traffic.
- 6)
- The estimation results of Model 3-5 are shown in the sixth column of Table 5. First, it reports that the negative lights effect of natural-greenness is increased by a large percentage of 34.85% and remains significant. This finding implies the stability of the impact of natural-greenness on city lights for the entire Mainland China, which coincides well with a few previous studies [1,42]. Besides, this negative lights effect could be enhanced by a significant interaction with the natural-ecology factor, where city nights would be further decreased by 11.99% on average with one level’s increase on the value of natural-ecology factor. The finding can be given a similar explanation as elaborated in Model 3–2. Furthermore, the results suggest non-significant interactions between the lights effect of natural-greenness and the other three province-level factors.
- 7)
- The last column of Table 5 summarizes the estimation results of Model 3-6. Firstly, the positive lights effect of demography is increased by a large percentage of 49.84% and is still significant as compared with those of Model 2-6. This finding indicated the reliability of the relationship between city lights and demography, which agreed very well with those of most previous studies [22,39,43]. Secondly, the impact of demography on city lights is significant in its interactions with the factors of industry-information and living-standards. In particular, city lights will be further increased by 12.27% or 29.01% with the increment of one unit on industry-information or living-standard. This is reasonable because people are more likely to live in cities with more job opportunities and higher incomes [44]. Thirdly, there are no significant interactions between the lights effect of demography and the other two province-level factors.
4.1.4. Results of Mixed Effect Model with All City-Level Factors: Model 4
4.2. Model Comparisons and Variance Analysis
5. Discussions and Limitations
6. Conclusions
Author Contributions
Funding
Acknowledgments
Conflicts of Interest
References
- Levin, N.; Zhang, Q.L. A global analysis of factors controlling VIIRS nighttime light levels from densely populated areas. Remote Sens. Environ. 2017, 190, 366–382. [Google Scholar] [CrossRef]
- Jia, T.; Chen, K.; Wang, J. Characterizing the growth patterns of 45 major metropolitans in Mainland China using DMSP/OLS data. Remote Sens. 2017, 99, 571. [Google Scholar] [CrossRef]
- Elvidge, C.D.; Baugh, K.E.; Kihn, E.A.; Kroehl, H.W.; Davis, E.R. Mapping of city lights using DMSP Operational Linescan System data. Photogramm. Eng. Remote Sens. 1997, 63, 727–734. [Google Scholar]
- Levin, N.; Kyba, C.; Zhang, Q.; De Miguel, A.S.; Roman, M.O.; Li, X.; Portnov, B.A.; Molthan, A.L.; Jechow, A.; Miller, S.D.; et al. Remote sensing of night lights: A review and an outlook for the future. Remote Sens. Environ. 2020, 237, 111443. [Google Scholar] [CrossRef]
- Small, C.; Elvidge, C.D. Night on Earth: Mapping decadal changes of anthropogenic night light in Asia. Int. J. Appl. Earth Obs. Geoinf. 2013, 22, 40–52. [Google Scholar] [CrossRef]
- Small, C.; Pozzi, F.; Elvidge, C.D. Spatial analysis of global urban extent from DMSPOLS night lights. Remote Sens. Environ. 2005, 96, 277–291. [Google Scholar] [CrossRef]
- Li, X.; Elvidge, C.D.; Zhou, Y.; Cao, C.; Warner, T. Remote sensing of night-time light. Int. J. Remote Sens. 2017, 3838, 5855–5859. [Google Scholar] [CrossRef]
- Shi, K.F.; Yu, B.L.; Huang, Y.X.; Hu, Y.J.; Yin, B.; Chen, Z.Q.; Chen, L.J.; Wu, J.P. Evaluating the Ability of NPP-VIIRS Nighttime Light Data to Estimate the Gross Domestic Product and the Electric Power Consumption of China at Multiple Scales: A Comparison with DMSP-OLS Data. Remote Sens. 2014, 6, 1705–1724. [Google Scholar] [CrossRef]
- Ou, J.; Liu, X.; Li, X.; Li, M.; Li, W. Evaluation of NPP-VIIRS Nighttime Light Data for Mapping Global Fossil Fuel Combustion CO2 Emissions: A Comparison with DMSP-OLS Nighttime Light Data. PLoS ONE 2015, 10, e138310. [Google Scholar]
- Ghosh, T.; Anderson, S.; Elvidge, C.D.; Sutton, P.C. Using nighttime satellite imagery as a proxy measure of human well-being. Sustainability 2013, 5, 4988–5019. [Google Scholar] [CrossRef]
- Chen, X.; Nordhaus, W.D. Using luminosity data as a proxy for economic statistics. Proc. Natl. Acad. Sci. USA 2011, 108, 8589–8594. [Google Scholar] [CrossRef] [PubMed]
- Ma, T.; Zhou, C.; Pei, T.; Haynie, S.; Fan, J. Responses of Suomi-NPP VIIRS-derived nighttime lights to socioeconomic activity in China’s cities. Remote Sens. Lett. 2014, 5, 165–174. [Google Scholar] [CrossRef]
- Kyba, C.C.M.; Garz, S.; Kuechly, H.; Miguel, A.S.; Zamorano, J.; Fischer, J.; Hölker, F. High-Resolution Imagery of Earth at Night: New Sources, Opportunities and Challenges. Remote Sens. 2014, 7, 1–23. [Google Scholar] [CrossRef]
- Zhao, M.; Cheng, W.; Zhou, C.; Li, M.; Wang, N.; Liu, Q. GDP spatialization and economic differences in South China based on NPP-VIIRS nighttime light imagery. Remote Sens. 2017, 9, 673. [Google Scholar] [CrossRef]
- Ma, T. Multi-Level Relationships between Satellite-Derived Nighttime Lighting Signals and Social Media-Derived Human Population Dynamics. Remote Sens. 2018, 10, 1128. [Google Scholar] [CrossRef]
- Sun, Y.W.; Gao, C.; Li, J.L.; Li, W.F.; Ma, R.F. Examining urban thermal environment dynamics and relations to biophysical composition and configuration and socio-economic factors: A case study of the Shanghai metropolitan region. Sustain. Cities Soc. 2018, 40, 284–295. [Google Scholar] [CrossRef]
- Chen, X.; Nordhaus, W.D. VIIRS Nighttime Lights in the Estimation of Cross-Sectional and Time-Series GDP. Remote Sens. 2019, 11, 1057. [Google Scholar] [CrossRef]
- Li, S.Y.; Cheng, L.; Liu, X.Q.; Mao, J.Y.; Wu, J.; Li, M.C. City type-oriented modeling electric power consumption in China using NPP-VIIRS nighttime stable light data. Energy 2019, 189, 116040. [Google Scholar] [CrossRef]
- Guk, E.; Levin, N. Analyzing spatial variability in night-time lights using a high spatial resolution color Jilin-1 image—Jerusalem as a case study. ISPRS J. Photogramm. Remote Sens. 2020, 163, 121–136. [Google Scholar] [CrossRef]
- Zhao, N.Z.; Cao, G.F.; Zhang, W.; Samson, E.L.; Chen, Y. Remote sensing and social sensing for socioeconomic systems: A comparison study between nighttime lights and location-based social media at the 500 m spatial resolution. Int. J. Appl. Earth Obs. Geoinf. 2020, 87, 102058. [Google Scholar] [CrossRef]
- Ma, T.; Zhou, Y.; Wang, Y.; Zhou, C.; Haynie, S.; Xu, T. Diverse relationships between Suomi-NPP VIIRS night-time light and multi-scale socioeconomic activity. Remote Sens. Lett. 2014, 5, 652–661. [Google Scholar] [CrossRef]
- Hu, Y.; Zhao, G.; Zhang, Q.L. Spatial Distribution of Population Data Based on Nighttime Light and LUC Data in the Sichuan Chongqing Region. J. Geoinf. Sci. 2018, 20, 68–78. [Google Scholar]
- Fu, D.; Xia, X.; Duan, M.; Zhang, X.; Li, X.; Wang, J.; Liu, J. Mapping nighttime PM2.5 from VIIRS DNB using a linear mixed-effect model. Atmos. Environ. 2018, 178, 214–222. [Google Scholar] [CrossRef]
- Zhu, X.; Ma, M.; Yang, H.; Ge, W. Modeling the spatiotemporal dynamics of gross domestic product in China using extended temporal coverage nighttime light data. Remote Sens. 2017, 9, 626. [Google Scholar] [CrossRef]
- Zhao, M.; Zhou, Y.; Li, X.; Cao, W.; He, C.; Yu, B.; Li, X.; Elvidge, C.D.; Cheng, W.; Zhou, C. Applications of satellite remote sensing of nighttime light observation: Advances, challenges, and perspectives. Remote Sens. 2019, 11, 1971. [Google Scholar] [CrossRef]
- Jia, T.; Yu, X.; Shi, W.; Liu, X.; Li, X.; Xu, Y. Detecting the regional delineation from a network of social media user interaction with spatial constraint: A case study of Shenzhen, China. Phys. A: Stat. Mech. Appl. 2019, 531, 121719. [Google Scholar] [CrossRef]
- Du, Q.; Yu, H. Multidimensional urban spatial structure and regional income disparity. Sci. Geogr. Sin. 2020, 40, 720–729. [Google Scholar]
- Diez-Roux, A.V. Bringing context back into epidemiology: Variables and fallacies in multilevel analysis. Am. J. Public Health 1998, 88, 216–222. [Google Scholar] [CrossRef]
- Raudenbush, S.W.; Bryk, A.S. Hierarchical Linear Models: Applications and Data Analysis Methods, 2nd ed.; SAGE Publications: Thousand Oaks, CA, USA, 2002. [Google Scholar]
- Zhang, Y.; Jin, Y.; Zhu, T. The health effects of individual characteristics and environmental factors in China: Evidence from the hierarchical linear model. J. Clean. Prod. 2018, 194, 554–563. [Google Scholar] [CrossRef]
- Keng, C.W.K. China’s Unbalanced Economic Growth. J. Contemp. China 2006, 15, 183–214. [Google Scholar] [CrossRef]
- Li, H.; Wei, Y.; Liao, F.H.; Huang, Z. Administrative hierarchy and urban land expansion in transitional China. Appl. Geogr. 2015, 56, 177–186. [Google Scholar] [CrossRef]
- Clinton, N.; Yu, L.; Gong, P. Geographic stacking: Decision fusion to increase global land cover map accuracy. ISPRS J. Photogramm. Remote Sens. 2015, 103, 57–65. [Google Scholar] [CrossRef]
- Jia, T.; Li, Y.; Shi, W.; Zhu, L. Deriving a Forest Cover Map in Kyrgyzstan Using a Hybrid Fusion Strategy. Remote Sens. 2019, 11, 2325. [Google Scholar] [CrossRef]
- Tian, J.; Zhao, N.; Samson, E.; Wang, S. Brightness of Nighttime Lights as a Proxy for Freight Traffic: A Case Study of China. Brightness of Nighttime Lights as a Proxy for Freight Traffic: A Case Study of China. IEEE J. Sel. Top. Appl. Earth Obs. Remote Sens. 2014, 7, 206–212. [Google Scholar] [CrossRef]
- Boedeker, P. Hierarchical Linear Modeling with Maximum Likelihood, Restricted Maximum Likelihood, and Fully Bayesian Estimation. Pract. Assess. Res. Eval. 2017, 22, 1–19. [Google Scholar]
- Lin, J.; Shi, W. Statistical correlation between monthly electric power consumption and VIIRS Nighttime Light. ISPRS Int. J. Geo-Inf. 2020, 9, 32. [Google Scholar] [CrossRef]
- Dou, Y.; Liu, Z.; He, C.; Yue, H. Urban Land Extraction Using VIIRS Nighttime Light Data: An Evaluation of Three Popular Methods. Remote Sens. 2017, 9, 175. [Google Scholar] [CrossRef]
- Tan, M.; Li, X.; Li, S.; Xin, L.; Wang, X.; Li, Q.; Li, W.; Li, Y.; Xiang, W. Modeling population density based on nighttime light images and land use data in China. Appl. Geogr. 2018, 90, 239–247. [Google Scholar] [CrossRef]
- Lane, K.J.; Stokes, E.C.; Seto, K.C.; Thanikachalam, S.; Thanikachalam, M.; Bell, M.L. Associations between Greenness, Impervious Surface Area, and Nighttime Lights on Biomarkers of Vascular Aging in Chennai, India. Environ. Health Perspect. 2017, 125, 087003. [Google Scholar] [CrossRef] [PubMed]
- Mayer, T.; Trevien, C. The impact of urban public transportation evidence from the Paris region. J. Urban Econ. 2017, 102, 1–21. [Google Scholar] [CrossRef]
- Levin, N. The impact of seasonal changes on observed nighttime brightness from 2014 to 2015 monthly VIIRS DNB composites. Remote Sens. Environ. 2017, 193, 150–164. [Google Scholar] [CrossRef]
- Chu, H.J.; Yang, C.H.; Chou, C.C. Adaptive Non-Negative Geographically Weighted Regression for Population Density Estimation Based on Nighttime Light. ISPRS Int. J. Geo-Inf. 2019, 8, 26. [Google Scholar] [CrossRef]
- Ranganathan, S.; Swain, R.; Sumpter, D. The demographic transition and economic growth: Implications for development policy. Palgrave Commun. 2015, 1, 15033. [Google Scholar] [CrossRef]
- Kocifaj, M.; Komar, L.; Lamphar, H.; Wallner, S. Are population-based models advantageous in estimating the lumen outputs from light-pollution sources? Mon. Not. R. Astron. Soc. Lett. 2020, 496, L138–L141. [Google Scholar] [CrossRef]
- Li, X.; Li, X.Y.; Li, D.; He, X.; Jendryke, M. A preliminary investigation of Luojia-1 night-time light imagery. Remote Sens. Lett. 2019, 10, 526–535. [Google Scholar] [CrossRef]
- Kocifaj, M.; Solano-Lamphar, H.A.; Videen, G. Night-sky radiometry can revolutionize the characterization of light-pollution sources globally. Proc. Natl. Acad. Sci. USA 2019, 116, 7712–7717. [Google Scholar] [CrossRef]
- De Miguel, A.S.; Kyba, C.; Zamorano, J.; Gallego, J.; Gaston, K.J. The nature of the diffuse light near cities detected in nighttime satellite imagery. Sci. Rep. 2020, 10, 1–16. [Google Scholar]




| 12 Variables at the City Level | 16 Variables at the Provincial Level | ||
|---|---|---|---|
| GDP | An economic variable | Primary industrial added value | An industrial variable |
| GDP per capita | An economic variable | Secondary industrial added value | An industrial variable |
| Population | A demographic variable | Tertiary industrial added value | An industrial variable |
| Population density | A demographic variable | Total sales of consumer goods | An economic variable |
| Total electric consumption | An energy-related variable | Total amount of fixed assets investment | An economic variable |
| Road area | An infrastructure-related variable | Number of mobile phone users | An ICT-related variable |
| Number of internet users | An ICT-related variable | ||
| Urban built-up area | An infrastructure-related variable | Number of broadband access users | An ICT-related variable |
| Total passenger traffic | A transport-related variable | ||
| Personal city green space area | An urban ecological variable | Road passenger traffic | A transport-related variable |
| Rail passenger traffic | A transport-related variable | ||
| Personal urban green coverage area | An urban ecological variable | Personal wages | A living standard variable |
| Personal disposable income | A living standard variable | ||
| Average NDVI | A natural ecological variable | Personal consumption expenditure | A living standard variable |
| Average elevation | A geographical variable | Forest area | A natural ecological variable |
| Latitude | A geographical variable | Natural ecological conservation area | A natural ecological variable |
| 6 Factors at the City Level | 4 Factors at the Provincial Level | ||||||
|---|---|---|---|---|---|---|---|
| Factors | Eigenvalues | Percentage | Cumulative | Factors | Eigenvalues | Percentage | Cumulative |
| economy-energy-infrastructure | 5.02 | 41.80% | 41.80% | industry-information | 9.34 | 58.39% | 58.39% |
| artificial-greenness | 1.81 | 15.06% | 56.86% | living-standard | 3.52 | 22.00% | 80.39% |
| elevation | 1.27 | 10.54% | 67.40% | natural-ecology | 1.09 | 6.82% | 87.21% |
| latitude | 0.96 | 8.04% | 75.44% | ||||
| natural-greenness | 0.92 | 7.63% | 83.07% | passenger-traffic | 0.78 | 4.88% | 92.09% |
| demography | 0.70 | 5.85% | 88.92% | ||||
| Industry-Information | Living-Standard | Natural-Ecology | Passenger-Traffic | |
|---|---|---|---|---|
| Model | Model 4-1 | Model 4-2 | Model 4-3 | Model 4-4 |
| economy-energy-infrastructure | ||||
| artificial-greenness | ||||
| elevation | ||||
| latitude | ||||
| natural-greenness | ||||
| demography | ||||
| economy-energy-infrastructure | —— | |||
| artificial-greenness | —— | —— | —— | |
| elevation | —— | —— | —— | |
| latitude | —— | —— | —— | |
| natural-greenness | —— | —— | —— | |
| demography | —— |
| Model | 1 | 2-1 | 2-2 | 2-3 | 2-4 | 2-5 | 2-6 |
|---|---|---|---|---|---|---|---|
| Fixed effect: | |||||||
| G00 | 0.1398 (0.1643) | −0.1096 (0.1456) | 0.1716 (0.1901) | 0.1942 * (0.1754) | 0.1698 * (0.1777) | 0.1729 * (0.1753) | 0.1440 (0.1747) |
| G10 | —— | 0.7346 *** (0.0450) | −0.1791 (0.1704) | −0.1169 * (0.0780) | −0.1449 * (0.0852) | −0.1805 ** (0.0498) | 0.1604 *** (0.0542) |
| Variance components: | |||||||
| σ2 | 0.6974 (0.8351) | 0.3447 (0.5872) | 0.6509 (0.8068) | 0.6882 (0.8296) | 0.6799 (0.8246) | 0.6767 (0.8226) | 0.6729 (0.8203) |
| τ00 | 0.6947 *** (0.8335) | —— | —— | —— | —— | —— | —— |
| Model | 3-1 (Economy-Energy-Infrastructure) | 3-2 (Artificial-Greenness) | 3-3 (Elevation) | 3-4 (Latitude) | 3-5 (Natural-Greenness) | 3-6 (Demography) |
|---|---|---|---|---|---|---|
| Fixed effect: | ||||||
| G00 | 0.0210 (0.0514) | −0.2613 (0.1069) | 0.1057 (0.1102) | 0.1652 * (0.0929) | 0.2666 ** (0.1310) | 0.2127 *** (0.0904) |
| G01 | 0.0735 * (0.0384) | 0.1375 *** (0.0840) | 0.1340 * (0.0595) | 0.1322 * (0.0645) | 0.1321 (0.0796) | 0.2221 *** (0.0580) |
| G02 | 0.3366 ** (0.0655) | 0.9793 ** (0.2353) | 0.7337 *** (0.2075) | 0.7643 ** (0.2266) | 1.0553 *** (0.3045) | 0.9073 ** (0.1856) |
| G03 | −0.0071 (0.0341) | −0.0258 (0.0652) | −0.0597 * (0.0520) | −0.0769 (0.0480) | −0.0213* (0.0620) | −0.0084 (0.0342) |
| G04 | 0.0166 (0.0474) | 0.0429 (0.0793) | 0.0152 (0.0552) | 0.0034 *** (0.0681) | 0.0067 (0.0573) | 0.0166 (0.0569) |
| G10 | 0.4424 *** (0.0789) | −0.0597 (0.1087) | −0.1006 (0.0781) | −0.0782 (0.1078) | −0.2343 *** (0.1085) | 0.2405 ** (0.0940) |
| G11 | 0.1830 * (0.0497) | 0.2385 (0.0620) | 0.0937 (0.0872) | 0.0620 (0.0804) | 0.0041 (0.0765) | 0.1227 *** (0.0379) |
| G12 | 0.0535 (0.0568) | 0.0664 (0.2468) | 0.1151 (0.1255) | 0.2681 * (0.2103) | 0.2651 (0.1347) | 0.2901 * (0.1746) |
| G13 | −0.1449 (0.0661) | −0.0407 * (0.0328) | −0.0236 (0.0512) | −0.1255 * (0.0472) | −0.1199 * (0.0709) | −0.0150 (0.0319) |
| G14 | 0.1459 * (0.1070) | 0.1316 (0.1195) | 0.0184 * (0.0748) | 0.0631 (0.0796) | 0.0092 (0.0388) | 0.0674 (0.0355) |
| Variance components: | ||||||
| σ2 | 0.3199 (0.5655) | 0.5963 (0.7458) | 0.6484 (0.8417) | 0.6366 (0.8346) | 0.6247 (0.8152) | 0.6017 (0.8134) |
| τ00 | 0.0190 *** (0.1379) | 0.1173 *** (0.3425) | 0.1247 *** (0.3605) | 0.1242 *** (0.3578) | 0.1904 *** (0.4017) | 0.1217 *** (0.3521) |
| Model | 4-1 (Industry-Information) | 4-2 (Living-Standard) | 4-3 (Natural-Ecology) | 4-4 (Passenger-Traffic) | |||
|---|---|---|---|---|---|---|---|
| Fixed effect: | |||||||
| G00 | −0.0734 (0.0950) | 0.1236 *** (0.0969) | 0.0025 (0.0791) | −0.0063 (0.0647) | |||
| G10 | 0.5605 *** (0.1108) | 0.6237 *** (0.1530) | 0.7136 *** (0.1320) | 0.7564 *** (0.1225) | |||
| G20 | 0.0345 (0.0668) | 0.0728 (0.0970) | 0.0733 (0.0960) | 0.0697 (0.0902) | |||
| G30 | −0.1205 ** (0.0646) | −0.2056 * (0.0750) | −0.1569 * (0.0785) | −0.1503 *** (0.0709) | |||
| G40 | −0.0321 (0.0582) | −0.0318 * (0.0563) | −0.0150 (0.0606) | −0.0693 ** (0.0555) | |||
| G50 | −0.1036 * (0.0739) | −0.0948 ** (0.0725) | −0.0790 * (0.0763) | −0.1346 ** (0.0650) | |||
| G60 | 0.0356 * (0.0337) | 0.1591 *** (0.0554) | 0.0460 * (0.0635) | 0.0387 * (0.0284) | |||
| G01 | 0.0394 (0.0546) | 0.3288 ** (0.2326) | −0.0653 (0.0795) | 0.0681 ** (0.0525) | |||
| G11 | 0.1992 *** (0.0533) | 0.0231 (0.0641) | —— | 0.1598 * (0.1084) | |||
| G21 | —— | —— | −0.0890 * (0.0551) | —— | |||
| G31 | —— | —— | −0.0049 (0.0705) | —— | |||
| G41 | —— | —— | −0.0372 (0.0891) | —— | |||
| G51 | —— | —— | −0.1073 ** (0.0727) | —— | |||
| G61 | 0.0072 ** (0.0479) | 0.2674 ** (0.1261) | —— | 0.1071* (0.0488) | |||
| Variance components: | |||||||
| σ2 | 0.1578 (0.5306) | 0.1670 (0.5398) | 0.1783 (0.5402) | 0.1876 (0.5521) | |||
| τ00 | 0.0477 *** (0.5988) | 0.0485 *** (0.6012) | 0.0595 *** (0.6215) | 0.0618 *** (0.6411) | |||
| Model | PVEcity | PVEprovince | -2LL stat. | KS stat. |
|---|---|---|---|---|
| 1. | —— | —— | 760.04 | 0.287(0.000) |
| 2-1 | 50.56% | —— | 575.94 | 0.215(0.000) |
| 2-2 | 6.66% | —— | 752.04 | 0.173(0.000) |
| 2-3 | 1.31% | —— | 759.26 | 0.082(0.000) |
| 2-4 | 2.51% | —— | 758.90 | 0.049(0.099) |
| 2-5 | 2.96% | —— | 756.20 | 0.079(0.000) |
| 2-6 | 3.51% | —— | 755.82 | 0.091(0.000) |
| 3-1 | 54.13% | 97.26% | 522.20 | 0.163(0.000) |
| 3-2 | 14.49% | 83.11% | 685.44 | 0.209(0.000) |
| 3-3 | 7.01% | 82.06% | 727.94 | 0.200(0.000) |
| 3-4 | 8.71% | 82.12% | 726.26 | 0.279(0.000) |
| 3-5 | 10.42% | 72.60% | 725.08 | 0.235(0.000) |
| 3-6 | 13.72% | 82.48% | 715.46 | 0.186(0.000) |
| 4-1 | 77.37% | 93.14% | 538.28 | 0.137(0.000) |
| 4-2 | 76.06% | 93.01% | 555.58 | 0.130(0.000) |
| 4-3 | 74.43% | 91.44% | 585.58 | 0.147(0.000) |
| 4-4 | 73.09% | 91.11% | 564.08 | 0.142(0.000) |
© 2020 by the authors. Licensee MDPI, Basel, Switzerland. This article is an open access article distributed under the terms and conditions of the Creative Commons Attribution (CC BY) license (http://creativecommons.org/licenses/by/4.0/).
Share and Cite
Jia, T.; Chen, K.; Li, X. Exploring the Factors Controlling Nighttime Lights from Prefecture Cities in Mainland China with the Hierarchical Linear Model. Remote Sens. 2020, 12, 2119. https://doi.org/10.3390/rs12132119
Jia T, Chen K, Li X. Exploring the Factors Controlling Nighttime Lights from Prefecture Cities in Mainland China with the Hierarchical Linear Model. Remote Sensing. 2020; 12(13):2119. https://doi.org/10.3390/rs12132119
Chicago/Turabian StyleJia, Tao, Kai Chen, and Xin Li. 2020. "Exploring the Factors Controlling Nighttime Lights from Prefecture Cities in Mainland China with the Hierarchical Linear Model" Remote Sensing 12, no. 13: 2119. https://doi.org/10.3390/rs12132119
APA StyleJia, T., Chen, K., & Li, X. (2020). Exploring the Factors Controlling Nighttime Lights from Prefecture Cities in Mainland China with the Hierarchical Linear Model. Remote Sensing, 12(13), 2119. https://doi.org/10.3390/rs12132119

