Monitoring Glyphosate-Based Herbicide Treatment Using Sentinel-2 Time Series—A Proof-of-Principle
Abstract
1. Introduction
2. Materials and Methods
2.1. Study Site and GBH Treatment
2.2. Sentinel-2 Multispectral Data and Pre-Processing
2.3. Spectral Indices and Statistics
3. Results
3.1. Spectral Indices Responses for All Test Sites
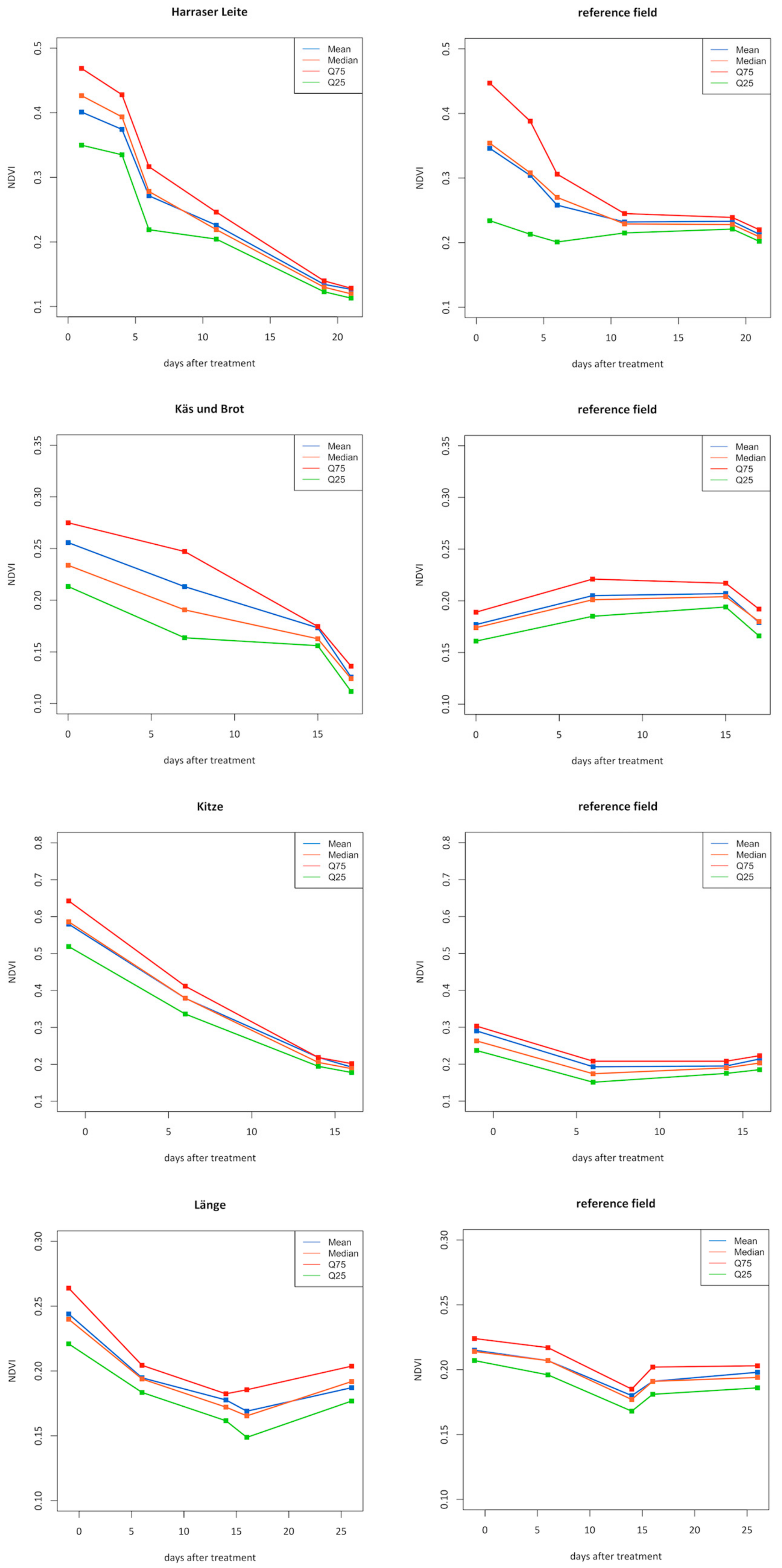
3.2. NDVI Time-Series: Test Sites vs. Reference Sites
4. Discussion
5. Conclusions and Perspectives
Author Contributions
Funding
Acknowledgments
Conflicts of Interest
References
- Schütte, G.; Eckerstorfer, M.; Rastelli, V.; Reichenbecher, W.; Restrepo-Vassalli, S.; Ruohonen-Lehto, M.; Saucy, A.G.W.; Mertens, M. Herbicide resistance and biodiversity: Agronomic and environmental aspects of genetically modified herbicide-resistant plants. Environ. Sci. Eur. 2017, 29, 5. [Google Scholar] [CrossRef] [PubMed]
- Lupatini, M.; Korthals, G.W.; de Hollander, M.; Janssens, T.K.S.; Kuramae, E.E. Soil microbiome is more heterogeneous in organic than in conventional farming system. Front. Microbiol. 2017, 7, 1–13. [Google Scholar] [CrossRef] [PubMed]
- Huang, Y.; Zhong-xin, C.; Tao, Y.; Xiang-zhi, H.; Xing-fa, G. Agricultural remote sensing big data: Management and applications. J. Integr. Agric. 2018, 17, 1915–1931. [Google Scholar] [CrossRef]
- Suarez, L.A.; Apan, A.; Werth, J. Hyperspectral sensing to detect the impact of herbicide drift on cotton growth and yield. ISPRS J. Photogramm. Remote Sens. 2016, 120, 65–76. [Google Scholar] [CrossRef]
- Henry, W.B.; Shaw, D.R.; Reddy, K.R.; Bruce, L.M.; Tamhankar, H.D. Remote sensing to detect herbicide drift on crops. Weed Technol. 2004, 18, 358–368. [Google Scholar] [CrossRef]
- Tucker, C.J. Red and photographic infrared linear combinations for monitoring vegetation. Remote Sens. Environ. 1979, 8, 127–150. [Google Scholar] [CrossRef]
- West, H.; Quinn, N.; Horswell, M.; White, P. Assessing vegetation response to soil moisture fluctuation under extreme drought using sentinel-2. Water 2018, 10, 838. [Google Scholar] [CrossRef]
- Grabska, E.; Hostert, P.; Pflugmacher, D.; Ostapowicz, K.; Grabska, E.; Hostert, P.; Pflugmacher, D.; Ostapowicz, K. Forest stand species mapping using the sentinel-2 time series. Remote Sens. 2019, 11, 1197. [Google Scholar] [CrossRef]
- Lausch, A.; Bannehr, L.; Beckmann, M.; Boehm, C.; Feilhauer, H.; Hacker, J.M.; Heurich, M.; Jung, A.; Klenke, R.; Neumann, C.; et al. Linking Earth Observation and taxonomic, structural and functional biodiversity: Local to ecosystem perspectives. Ecol. Indic. 2016, 70, 317–339. [Google Scholar] [CrossRef]
- EOS Earth Observing System. Available online: https://eos.com/ (accessed on 10 September 2019).
- Hank, T.B.; Berger, K.; Bach, H.; Clevers, J.G.P.W.; Gitelson, A.; Zarco-Tejada, P.; Mauser, W. Spaceborne imaging spectroscopy for sustainable agriculture: Contributions and challenges. Surv. Geophys. 2019, 40, 515–551. [Google Scholar] [CrossRef]
- Gamon, J.A.; Somers, B.; Malenovský, Z.; Middleton, E.M.; Rascher, U.; Schaepman, M.E. Assessing vegetation function with imaging spectroscopy. Surv. Geophys. 2019, 40, 489–513. [Google Scholar] [CrossRef]
- Kraft, S.; Bello, U.D.; Bouvet, M.; Drusch, M. FLEX: ESA’S Earth Explorer 8 Candidate Mission. In Proceedings of the 2012 IEEE International Geoscience and Remote Sensing Symposium, Munich, Germany, 22–27 July 2012; pp. 7125–7128. [Google Scholar]
- Raji, S.N.; Aparna, G.N.; Mohanan, C.N.; Subhash, N. Proximal remote sensing of herbicide and drought stress in field grown colocasia and sweet potato plants by sunlight-induced chlorophyll fluorescence Imaging. J. INDIAN Soc. Remote Sens. 2017, 45, 463–475. [Google Scholar] [CrossRef]
- Huang, Y.; Yao, H.; Zhao, F.; Reddy, K. Detection of crop herbicide injury through plant hyperspectral remote sensing of chlorophyll fluorescence. In Proceedings of the 2017 IEEE International Geoscience and Remote Sensing Symposium (IGARSS), Fort Worth, TX, USA, 23–28 July 2017; pp. 5069–5072. [Google Scholar]
- Copernicus Incubation. Available online: https://copernicus-incubation.eu (accessed on 10 September 2019).
- Copernicus Open Access Hub. Available online: https://scihub.copernicus.eu/ (accessed on 5 April 2019).
- SNAP-ESA Sentinel Application Platform. Available online: https://step.esa.int/main/toolboxes/snap/ (accessed on 20 March 2019).
- Zhao, F.; Huang, Y.; Guo, Y.; Reddy, K.N.; Lee, M.A.; Fletcher, R.S.; Thomson, S.J. Early detection of crop injury from glyphosate on soybean and cotton using plant leaf hyperspectral data. Remote Sens. 2014, 6, 1538–1563. [Google Scholar] [CrossRef]
- Thelen, K.D.; Kravchenko, A.N.; Lee, C.D. Use of optical remote sensing for detecting herbicide injury in soybean. WEED Technol. 2004, 18, 292–297. [Google Scholar] [CrossRef]
- Dicke, D.; Jacobi, J.; Büchse, A. Quantifying herbicide injuries in maize by use of remote sensing Quantifizierung von Herbizidschäden in Mais mit Hilfe von Fernerkundung. In Proceedings of the 25th German conference on weed biology and weed control, Braunschweig, Germany, 13–15 March 2012; pp. 199–205. [Google Scholar]
- Ortiz, B.V.; Thomson, S.J.; Huang, Y.; Reddy, K.N.; Ding, W. Determination of differences in crop injury from aerial application of glyphosate using vegetation indices. Comput. Electron. Agric. 2011, 77, 204–213. [Google Scholar] [CrossRef]
- Yao, H.; Huang, Y.; Hruska, Z.; Thomson, S.J.; Reddy, K.N. Using vegetation index and modified derivative for early detection of soybean plant injury from glyphosate. Comput. Electron. Agric. 2012, 89, 145–157. [Google Scholar] [CrossRef]
- Huete, A.R. A soil-adjusted vegetation index (SAVI). Remote Sens. Environ. 1988, 25, 295–309. [Google Scholar] [CrossRef]
- Sobrino, J.A.; Raissouni, N.; Li, Z.L. A comparative study of land surface emissivity retrieval from NOAA data. Remote Sens. Environ. 2001, 75, 256–266. [Google Scholar] [CrossRef]
- Tang, B.-H.; Shao, K.; Li, Z.-L.; Wu, H.; Tang, R. An improved NDVI-based threshold method for estimating land surface emissivity using MODIS satellite data. Int. J. Remote Sens. 2015, 36, 4864–4878. [Google Scholar] [CrossRef]
- RStudio. Available online: https://rstudio.com (accessed on 10 April 2019).
- GDAL. Available online: https://gdal.org (accessed on 10 April 2019).
- Huang, Y.; Reddy, K.N.; Thomson, S.J.; Yao, H. Assessment of soybean injury from glyphosate using airborne multispectral remote sensing. PEST Manag. Sci. 2015, 71, 545–552. [Google Scholar] [CrossRef]
- Lausch, A.; Schmidt, A.; Tischendorf, L. Data mining and linked open data–New perspectives for data analysis in environmental research. Ecol. Model. 2015, 295, 5–17. [Google Scholar] [CrossRef]
- Cuhra, M. Evolution of glyphosate resistance is the rhizosphere microbiome a key factor? J. Biol. Phys. Chem. 2019, 18, 78–93. [Google Scholar] [CrossRef]






| Site Name | Site Size (ha) | Crop | Treatment | Product | Applied Dosage (kg per ha) | Treatment Date | Further Crop Management |
|---|---|---|---|---|---|---|---|
| Harraser Leite | 28 | weed | pre-sowing | Round-up ULTRA MAX | 1.35 | April 16, 2018 | maize sowing after 13 days |
| Käs and Brot | 32 | weed | pre-sowing | Round-up PowerFlex | 1.44 | August 8, 2017 | winter rape sowing after 13 days |
| Länge | 13 | weed | pre-sowing | Round-up PowerFlex | 1.44 | August 9, 2017 | winter rape sowing after 8 days |
| Kitze | 2.5 | weed and harvest remains | after-harvest | Round-up PowerFlex | 1.8 | August 9, 2017 | unknown |
| Langer Acker and Kessel | 17+6 | lupinus | before harvest | Round-up REKORD | 1.44 | August 18, 2017 | harvest 10 days after glyphosate treatment |
| Satellite | Level | Data | Time (UTC) | Cloud Cover | BOA Reflectance |
|---|---|---|---|---|---|
| Sentinel-2A | 2A | 2017-08-08 | 10:30 | 10% | 2A |
| Sentinel-2A | 2A | 2017-08-15 | 10:20 | 0% | 2A |
| Sentinel-2B | 1C | 2017-08-23 | 10:30 | 0% | Sen2Cor |
| Sentinel-2A | 2A | 2017-08-25 | 10:20 | 30% | 2A |
| Sentinel-2A | 2A | 2017-09-04 | 10:20 | 30% | 2A |
| Sentinel-2B | 1C | 2018-04-17 | 10:20 | 50% | Sen2Cor |
| Sentinel-2B | 2A | 2018-04-20 | 10:30 | 5% | 2A |
| Sentinel-2A | 2A | 2018-04-22 | 10:20 | 30% | 2A |
| Sentinel-2B | 2A | 2018-04-27 | 10:20 | 10% | 2A |
| Sentinel-2A | 2A | 2018-05-05 | 10:30 | 0% | 2A |
| Sentinel-2B | 2A | 2018-05-07 | 10:20 | 0% | 2A |
| Portion of Electromagnetic Spectrum | Sentinel-2 Band Number | Sentinel-2A Centre Wavelength/Bandwidth [nm] | Sentinel-2B Centre Wavelength/Bandwidth [nm] |
|---|---|---|---|
| green | 3 | 559.8/36 | 559.0/36 |
| red | 4 | 664.6/31 | 664.9/31 |
| NIR | 8 | 832.8/106 | 832.9/ 106 |
| Test Site: Harraser Leite, Pre-Sowing | |||||||||
| DRTT | 0 | 1 | 4 | 6 | 8 | 11 | 19 | 21 | |
| CVI | GBH | 2.70 | 2.70 | 2.40 | grubbing | 2.29 | 2.31 | 2.30 | |
| GNDVI | 0.43 | 0.42 | 0.34 | 0.31 | 0.27 | 0.26 | |||
| NDVI | 0.40 | 0.37 | 0.27 | 0.23 | 0.13 | 0.13 | |||
| SAVI | 0.60 | 0.56 | 0.41 | 0.34 | 0.20 | 0.20 | |||
| Test Site: Käs and Brot, Pre-Sowing | |||||||||
| DRTT | 0 | 0 | 7 | 8 | 13 | 15 | |||
| CVI | 2.68 | GBH | 2.64 | plough | sowing of rape | 2.85 | |||
| GNDVI | 0.37 | 0.36 | 0.34 | ||||||
| NDVI | 0.26 | 0.21 | 0.17 | ||||||
| SAVI | 0.41 | 0.39 | 0.27 | ||||||
| Test Site: Länge, Pre-Sowing | |||||||||
| DRTT | −1 | 0 | 6 | 6 | 8 | 14 | 16 | ||
| CVI | 2.50 | GBH | 2.51 | plough | sowing of rape | 2.52 | 2.16 | ||
| GNDVI | 0.35 | 0.33 | 0.32 | 0.27 | |||||
| NDVI | 0.24 | 0.19 | 0.18 | 0.17 | |||||
| SAVI | 0.40 | 0.32 | 0.29 | 0.26 | |||||
| Test Site: Kitze, after Harvest | |||||||||
| DRTT | −1 | 0 | 6 | 7 | 14 | 16 | |||
| CVI | 3.42 | GBH | 2.80 | plough | 2.53 | 2.37 | |||
| GNDVI | 0.56 | 0.43 | 0.33 | 0.30 | |||||
| NDVI | 0.58 | 0.38 | 0.22 | 0.19 | |||||
| SAVI | 0.72 | 0.47 | 0.27 | 0.24 | |||||
| Test Site: Langer Acker, Pre-Harvest | |||||||||
| DRTT | −3 | 0 | 2 | 5 | 10 | 17 | |||
| CVI | 3.22 | GBH | 3.17 | 3.12 | harvest | 3.38 | |||
| GNDVI | 0.62 | 0.56 | 0.50 | 0.42 | |||||
| NDVI | 0.70 | 0.61 | 0.49 | 0.28 | |||||
| SAVI | 0.87 | 0.76 | 0.61 | 0.35 | |||||
© 2019 by the authors. Licensee MDPI, Basel, Switzerland. This article is an open access article distributed under the terms and conditions of the Creative Commons Attribution (CC BY) license (http://creativecommons.org/licenses/by/4.0/).
Share and Cite
Pause, M.; Raasch, F.; Marrs, C.; Csaplovics, E. Monitoring Glyphosate-Based Herbicide Treatment Using Sentinel-2 Time Series—A Proof-of-Principle. Remote Sens. 2019, 11, 2541. https://doi.org/10.3390/rs11212541
Pause M, Raasch F, Marrs C, Csaplovics E. Monitoring Glyphosate-Based Herbicide Treatment Using Sentinel-2 Time Series—A Proof-of-Principle. Remote Sensing. 2019; 11(21):2541. https://doi.org/10.3390/rs11212541
Chicago/Turabian StylePause, Marion, Filip Raasch, Christopher Marrs, and Elmar Csaplovics. 2019. "Monitoring Glyphosate-Based Herbicide Treatment Using Sentinel-2 Time Series—A Proof-of-Principle" Remote Sensing 11, no. 21: 2541. https://doi.org/10.3390/rs11212541
APA StylePause, M., Raasch, F., Marrs, C., & Csaplovics, E. (2019). Monitoring Glyphosate-Based Herbicide Treatment Using Sentinel-2 Time Series—A Proof-of-Principle. Remote Sensing, 11(21), 2541. https://doi.org/10.3390/rs11212541

