Sign in to use this feature.

Years

Between: -

Subjects

remove_circle_outline
remove_circle_outline
remove_circle_outline
remove_circle_outline
remove_circle_outline
remove_circle_outline
remove_circle_outline
remove_circle_outline
remove_circle_outline

Journals

remove_circle_outline
remove_circle_outline
remove_circle_outline
remove_circle_outline
remove_circle_outline
remove_circle_outline
remove_circle_outline
remove_circle_outline

Article Types

Countries / Regions

remove_circle_outline
remove_circle_outline
remove_circle_outline
remove_circle_outline

Search Results (744)

Search Parameters:
Keywords = glyphosate

Order results
Result details
Results per page
Select all
Export citation of selected articles as:
23 pages, 4158 KB  
Article
A Sea Mud Feed Matrix Shapes Short-Term Dietborne Glyphosate Exposure in the Sea Cucumber (Apostichopus japonicus): Tissue Residues, Buffered Enzyme Responses, and Dominance-Structured Gut Microbiota Shifts
by Jingchun Sun, Libin Zhang, Christopher D. Hepburn, Shaoping Kuang and Hongsheng Yang
Animals 2026, 16(9), 1344; https://doi.org/10.3390/ani16091344 (registering DOI) - 28 Apr 2026
Abstract
Deposit-feeding sea cucumbers ingest sediment-like particles, making substrate-associated exposure pathways ecologically relevant in coastal aquaculture. In this study, a sea mud feed matrix was used to evaluate short-term dietborne/substrate-linked glyphosate exposure in Apostichopus japonicus over 72 h, with the aim of characterizing early [...] Read more.
Deposit-feeding sea cucumbers ingest sediment-like particles, making substrate-associated exposure pathways ecologically relevant in coastal aquaculture. In this study, a sea mud feed matrix was used to evaluate short-term dietborne/substrate-linked glyphosate exposure in Apostichopus japonicus over 72 h, with the aim of characterizing early residue formation, short-term sublethal biomarker responses, and gut microbiota shifts under a benthic feeding scenario. Analytical verification confirmed a clear glyphosate gradient in the prepared feed matrices, with no glyphosate detected in the control matrix and measured concentrations of 8.66 ± 1.59 mg/kg, 1330 ± 390 mg/kg, and 6960 ± 1710 mg/kg in the low-, medium-, and high-dose groups, respectively. No mortality or obvious external lesions were observed during the exposure period. Tissue analysis confirmed measurable internal glyphosate residues and compartment-specific distribution, indicating successful internal exposure under the matrix-linked route. Most digestive and immune/antioxidant biomarkers remained relatively stable within the 72 h window; however, amylase showed a marked response in the low-dose group, and superoxide dismutase showed dose-associated changes in the medium- and high-dose groups, indicating selective sensitivity among enzyme endpoints. Gut microbiota analysis revealed a dominance-structured community with limited alpha-diversity variation among groups, whereas community composition showed subtle treatment-related shifts that were more evident at finer taxonomic resolution. Predicted functional profiles remained broadly similar across treatments. Overall, the 72 h exposure design was effective for identifying early internal exposure and short-term biological responses under a sea mud-associated feeding route, while host physiological responses remained largely buffered over this time scale and the gut microbiota provided a more sensitive interface-level signal of exposure-associated change. These findings support the value of a route-specific, gut-centered framework for evaluating early herbicide exposure responses in benthic mariculture species and suggest that matrix-associated feeding conditions may modify the apparent magnitude of short-term responses. Full article
(This article belongs to the Section Aquatic Animals)
Show Figures

Figure 1

25 pages, 2305 KB  
Article
Pesticides and Trace Element Residues in Honey from Northern Croatia
by Damir Pavliček, Marija Sedak, Nina Bilandžić, Ivana Varenina, Ivana Tlak Gajger, Anton Gradišek, Mariša Ratajec and Maja Đokić
Foods 2026, 15(9), 1502; https://doi.org/10.3390/foods15091502 - 25 Apr 2026
Viewed by 173
Abstract
The rapid translocation of pesticide and metal residues in the environment and their entry into the food chain pose a significant risk to human health. Given the high global consumption of honey, quality control emphasizes the need for continuous monitoring and risk assessment. [...] Read more.
The rapid translocation of pesticide and metal residues in the environment and their entry into the food chain pose a significant risk to human health. Given the high global consumption of honey, quality control emphasizes the need for continuous monitoring and risk assessment. To evaluate contamination levels in honey from northern Croatia, a region with intensive agricultural land use, 38 comb honey and 22 extracted honey samples were collected by purposive one-time sampling in June 2023. These samples were analyzed for 190 pesticides using liquid chromatography–tandem mass spectrometry (LC-MS/MS) and gas chromatography–tandem mass spectrometry (GC-MS/MS), and for 17 trace metal(loid)s using inductively coupled plasma mass spectrometry (ICP-MS). The highest detection frequencies were observed for fipronil-sulfone, trifloxystrobin, and coumaphos in comb honey, and for N-(2,4-dimethylphenyl)-formamide (DMF) and N-(2,4-dimethylphenyl)-N′-methylformamidine (DPMF) in extracted honey. Glyphosate was the only pesticide to exceed the European Union (EU) maximum residue level (MRL) of 0.05 mg/kg in three honey samples. Elemental analysis quantified most target metals, with aluminum (Al), copper (Cu), iron (Fe), manganese (Mn), nickel (Ni) and zinc (Zn) being the most abundant, while silver (Ag), arsenic (As), and selenium (Se) were not detected in this study. None of the samples contained lead (Pb) above the regulatory limit for honey established in the EU (0.1 mg/kg). To ensure food safety, further efforts are required to assess the health risks associated with exposure to these contaminants through consumption of the evaluated food. Full article
(This article belongs to the Section Food Toxicology)
Show Figures

Figure 1

17 pages, 675 KB  
Article
Early Detection of Herbicide Resistance Evolution in Rigid Ryegrass (Lolium rigidum) Using Sensor-Based Smart Farming for Sustainable Weed Management
by Aikaterini Kasimati, Ioannis Gazoulis, Dimitra Petraki, Panagiotis Kanatas, Metaxia Kokkini, Aggeliki Petraki, Kyriaki Maria Papapostolou, John Vontas and Ilias Travlos
Agronomy 2026, 16(9), 869; https://doi.org/10.3390/agronomy16090869 (registering DOI) - 25 Apr 2026
Viewed by 161
Abstract
Lolium rigidum is among the most prevalent and noxious weeds in cereal and perennial cropping systems worldwide and has developed resistance to several herbicide modes of action. This study employed a sensor-based smart farming method for the early screening of herbicide resistance across [...] Read more.
Lolium rigidum is among the most prevalent and noxious weeds in cereal and perennial cropping systems worldwide and has developed resistance to several herbicide modes of action. This study employed a sensor-based smart farming method for the early screening of herbicide resistance across three L. rigidum accessions in Greece, followed by dose–response experiments with clodinafop-propargyl, glyphosate, and mesosulfuron-methyl + iodosulfuron-methyl. In the preliminary screening, herbicides were applied at their highest recommended rates, whereas the dose–response experiments included five application rates (0, 1/4X, X, 2X, and 4X). The EM2 accession exhibited confirmed resistance to mesosulfuron-methyl + iodosulfuron-methyl, with a resistance index of 5.31 and a five-fold increase in the herbicide rate required compared to the susceptible EM1 accession. For clodinafop-propargyl, the GR50 value of the resistant EM3 accession (147.97 g a.i. ha−1) was approximately 2.5-fold higher than that of the susceptible EM2 accession (60.28 g a.i. ha−1). Glyphosate application provided only partial biomass reduction in resistant accessions, indicating reduced susceptibility. In parallel, TaqMan assays were developed and validated to detect target-site mutations linked to resistance against EPSPS-, ACCase-, and ALS-inhibiting herbicides, supporting the molecular interpretation of the observed resistance patterns. Overall, the results demonstrate that sensor-based smart farming approaches can provide a rapid and reliable tool for the early screening of herbicide resistance, enabling more informed crop protection strategies and supporting sustainable weed management. Further research across diverse soil types and climatic conditions is warranted to validate and extend the applicability of these approaches. Full article
(This article belongs to the Special Issue Smart Farming Technologies for Sustainable Agriculture—2nd Edition)
Show Figures

Figure 1

32 pages, 27197 KB  
Article
Enabling the Sustainable Adoption of Crop Establishment Systems in Ireland: Grower Perceptions, Misperceptions, Potential Barriers, and Knowledge Gaps
by Jack Jameson, Kevin McDonnell, Vijaya Bhaskar Alwarnaidu Vijayarajan and Patrick D. Forristal
Sustainability 2026, 18(9), 4270; https://doi.org/10.3390/su18094270 (registering DOI) - 25 Apr 2026
Viewed by 456
Abstract
Rising production costs have increased interest in lower-cost, non-inversion crop establishment systems in Ireland, yet uptake remains relatively limited. Growers’ perceptions of relative performance of innovations compared to current practice are key determinants of adoption. We surveyed 154 Irish arable growers (77 plough-based, [...] Read more.
Rising production costs have increased interest in lower-cost, non-inversion crop establishment systems in Ireland, yet uptake remains relatively limited. Growers’ perceptions of relative performance of innovations compared to current practice are key determinants of adoption. We surveyed 154 Irish arable growers (77 plough-based, 59 min-till, 18 direct drill) to assess perceived performance of min-till and direct drill across multiple parameters relative to ploughing to identify potential barriers to adoption. Respondents rated impacts on Likert scales; analyses summarized response distributions and between-system differences. For example: >30% of min-till growers believed min-till winter cereal yields exceed ploughing, compared with 0% of plough and <10% of direct drill growers. Growers generally favoured their own establishment system, consistent with adoption theory. Potential barriers to non-inversion adoption included perceived lower establishment reliability, crop performance concerns (especially spring crops), and anticipated increases in weed pressure, herbicide reliance, and herbicide resistance development risk. Several perceptions diverged from the Ireland-relevant literature, revealing both knowledge gaps (notably establishment stability and winter/spring crop performance of establishment systems) and misperceptions (including establishment system on soil structure). Targeted research to address knowledge gaps, combined with focused, grower-centred knowledge exchange, is required to support evidence-based evaluation and sustainable adoption of establishment systems in Ireland. Full article
(This article belongs to the Section Sustainable Agriculture)
25 pages, 6231 KB  
Review
How Glyphosate and Its Derivatives Influence Antimicrobial Resistance Emergence and Transmission: A One Health Perspective
by Leticia Malinoski, Gilmar Gonçalves Silva, Larissa Kaniak Ikeda Rodrigues, Leandro Flávio Carneiro and Marcelo Pedrosa Gomes
Antibiotics 2026, 15(4), 419; https://doi.org/10.3390/antibiotics15040419 - 21 Apr 2026
Viewed by 334
Abstract
Background/Objectives: Glyphosate-based formulations are globally pervasive pollutants increasingly recognized as potential contributors to antimicrobial resistance (AMR) in environmental microbiomes. Although glyphosate is designed to inhibit plant 5-enolpyruvylshikimate-3-phosphate synthase, it also affects microbial metabolism, stress response, and genetic exchange. This review synthesizes the pathways [...] Read more.
Background/Objectives: Glyphosate-based formulations are globally pervasive pollutants increasingly recognized as potential contributors to antimicrobial resistance (AMR) in environmental microbiomes. Although glyphosate is designed to inhibit plant 5-enolpyruvylshikimate-3-phosphate synthase, it also affects microbial metabolism, stress response, and genetic exchange. This review synthesizes the pathways through which glyphosate, its metabolite aminomethylphosphonic acid (AMPA), and commercial mixtures influence resistance-associated phenotypes and the dissemination of antibiotic resistance (ABR). Methods: A critical synthesis of the literature was conducted to evaluate the mechanistic and ecological interactions between glyphosate exposure and bacterial resistance in soil, aquatic, and host-associated microbiomes. Results: Experimental evidence showed that sublethal glyphosate exposure induced oxidative stress, altered membrane permeability, activated multidrug efflux pumps, and promoted tolerance phenotypes that could modify antibiotic susceptibility. It also enhances mutation rates and horizontal gene transfer processes associated with the emergence of resistance under controlled conditions. At the community level, glyphosate exposure is associated with microbiome restructuring and enrichment of resistance determinants, often without major shifts in overall diversity of the microbiome. These effects have been reported at environmentally relevant concentrations, although the evidence remains largely derived from laboratory and mesocosm studies. Conclusions: Glyphosate acts as both a biochemical modulator of resistance-related phenotypes and an environmental selective pressure that shapes microbial communities. Its widespread use and environmental persistence position it as a context-dependent contributor to the emergence and dissemination of AMR through interacting mechanistic and ecological pathways. Integrating AMR endpoints into pesticide risk assessments and surveillance frameworks is warranted, in addition to expanded field-based validation. Full article
Show Figures

Figure 1

20 pages, 2229 KB  
Article
Carbonaceous Composites of Eco-Friendly Alginic Acid–Calcium (II) Beads for Cleaning Herbicides from Water
by Sahin Demirci, Jorge H. Torres, Seneshaw Tsegaye and Nurettin Sahiner
Micro 2026, 6(2), 27; https://doi.org/10.3390/micro6020027 - 21 Apr 2026
Viewed by 144
Abstract
The widespread use of herbicides such as paraquat and glyphosate is a serious environmental and health concern due to their persistence, mobility, and toxicity in aquatic ecosystems. Composites of alginic acid (Alg) are prepared with carbonaceous materials such as graphene oxide (GO), carbon [...] Read more.
The widespread use of herbicides such as paraquat and glyphosate is a serious environmental and health concern due to their persistence, mobility, and toxicity in aquatic ecosystems. Composites of alginic acid (Alg) are prepared with carbonaceous materials such as graphene oxide (GO), carbon particles (CPs), porous carbon particles (PCPs), carbon black (CB), and carbon nanotubes (CNTs) were synthesized and evaluated as sorbents for the removal of cationic herbicide paraquat and the anionic herbicide glyphosate. The resulting Alg-based beads are environmentally safe because of the materials used during their preparation, such as a biopolymer, Alg, carbonaceous substances (GO, CPs, PCPs, and CB) as composite moieties, and Ca(II) ions as cross-linkers. The Alg–bead composite possessed strong swelling ability ranging from 1700% to 2500%, which led to swollen beads of spherical shape and an average diameter of 3 mm, each containing 20% of carbonaceous materials. Amongst all Alg-based beads prepared for paraquat and glyphosate removal from the aquatic environment, the highest adsorption capacity was attained for Alg–porous carbon particle (Alg-PCP) composites. The Alg-PCP beads were capable of adsorbing 85.7 ± 2.9 mg/g and 31.6 ± 2.2 mg/g from 50 mL of 250 ppm solutions of paraquat and glyphosate, respectively. In contrast, bare Alg beads adsorbed only 39.7 ± 1.8 mg/g and 12.9 ± 1.7 mg/g, respectively. A 250 mg Alg-PCP bead composite achieved a 91% removal of paraquat from a 50 mL solution containing 250 ppm of paraquat. These results show that Alg–PCP can be used to mitigate herbicide contamination in water, protecting aquatic ecosystems and addressing associated environmental and health risks. Full article
(This article belongs to the Section Microscale Materials Science)
Show Figures

Graphical abstract

18 pages, 3089 KB  
Article
Morphophysiological Responses of Rhizophora mangle L. Seedlings Exposed to a Glyphosate-Based Herbicide Formulation Under Controlled Experimental Conditions
by Arlis A. Navarrete Memije, Carlos A. Chan-Keb, Roman A. Pérez-Balan, Hugo López Rosas and Claudia M. Agraz-Hernández
Forests 2026, 17(4), 509; https://doi.org/10.3390/f17040509 - 20 Apr 2026
Viewed by 268
Abstract
Mangroves rank among the most productive ecosystems on Earth, yet they are increasingly threatened by climate change and the expansion of agricultural land use. Among agricultural pollutants reaching coastal environments, glyphosate-based herbicide formulations (GBHFs) are of particular concern owing to their widespread application [...] Read more.
Mangroves rank among the most productive ecosystems on Earth, yet they are increasingly threatened by climate change and the expansion of agricultural land use. Among agricultural pollutants reaching coastal environments, glyphosate-based herbicide formulations (GBHFs) are of particular concern owing to their widespread application and environmental persistence. This study evaluated the phytotoxic effects of a GBHF (commercial product Velfosato, 48% active ingredient) on Rhizophora mangle L. seedlings under controlled experimental conditions simulating the intertidal regime of the collection site. Propagules were collected from the Los Petenes Biosphere Reserve (Campeche, Mexico), established in experimental tanks containing mangrove soil, and grown until uniform seedling development was achieved. Once seedlings reached uniform development, they were exposed to nominal concentrations of 0.003, 0.03, 0.3, 3.0, and 10 mg L−1 of the formulation dissolved in interstitial water. The experiment followed a completely randomized design (three replicate tanks per treatment plus a triplicate control; n = 1170 seedlings total). All inferential tests used the tank as the experimental unit (n = 3 per treatment). Total chlorophyll concentration was significantly lower in treated seedlings than in the control across all tested concentrations (ANOVA F5,12 = 4.55, p = 0.015). Height growth rates were significantly reduced at concentrations ≥ 3 mg L−1 (F5,12 = 6.84, p = 0.003). Lenticel number increased significantly at the two highest concentrations (F5,24 = 3.63, p = 0.014). Mangrove soil exhibited significant increases in pH and decreases in redox potential across the concentration gradient (p < 0.001 and p = 0.001, respectively). These findings indicate that sublethal exposure to a GBHF is associated with alterations in key ecophysiological processes and soil physicochemical conditions in R. mangle seedlings under controlled conditions, highlighting the sensitivity of early developmental stages to GBHF exposure. Full article
Show Figures

Figure 1

16 pages, 1335 KB  
Article
A Portable Fluorometer for the Detection of Glyphosate
by Nathanael B. Smith, Adrian S. Rizk, Owen K. Rizk and Shahir S. Rizk
Biosensors 2026, 16(4), 225; https://doi.org/10.3390/bios16040225 - 20 Apr 2026
Viewed by 297
Abstract
Glyphosate is the most widely used herbicide worldwide, but many current detection methods rely on lab-based chromatography, requiring costly equipment and expert users. Here, we describe a low-cost, field-deployable fluorescence biosensing platform for glyphosate detection in water and soil. An engineered variant of [...] Read more.
Glyphosate is the most widely used herbicide worldwide, but many current detection methods rely on lab-based chromatography, requiring costly equipment and expert users. Here, we describe a low-cost, field-deployable fluorescence biosensing platform for glyphosate detection in water and soil. An engineered variant of the Escherichia coli periplasmic binding protein PhnD was optimized through strategic fluorophore placement to produce a robust fluorescence signal increase upon glyphosate binding. The biosensor was integrated into a self-contained, 3D-printed device that functions as a miniature fluorometer, providing a simple yes-or-no output for non-expert users while retaining access to raw fluorescence data. The device exhibits nanomolar fluorescence sensitivity with results comparable to a benchtop fluorometer. Using this platform, glyphosate was reliably detected in buffered solutions, commercial herbicides, tap water, and soil extracts. To mitigate false positives arising from phosphate interference, we developed a dual-sensor strategy incorporating an independent phosphate biosensor and a second-generation device capable of multi-wavelength fluorescence detection. Together, these results demonstrate an affordable and versatile biosensing platform with strong potential for field-based environmental monitoring. Full article
(This article belongs to the Special Issue Fluorescent Sensors for Biological and Chemical Detection)
Show Figures

Figure 1

23 pages, 8589 KB  
Review
Research Trends on Pesticide Exposure and Cancer Development: A Global Literature Review (2005–2024)
by Murugappan Sivagami and Robin Haunschild
Int. J. Environ. Res. Public Health 2026, 23(4), 493; https://doi.org/10.3390/ijerph23040493 - 14 Apr 2026
Viewed by 464
Abstract
This study examines the global research landscape on the relationship between pesticide exposure and cancer using bibliometric and scientometric approaches. A total of 3908 records published between 2005 and 2024 were retrieved from the Web of Science database using an elaborate search strategy [...] Read more.
This study examines the global research landscape on the relationship between pesticide exposure and cancer using bibliometric and scientometric approaches. A total of 3908 records published between 2005 and 2024 were retrieved from the Web of Science database using an elaborate search strategy incorporating pesticide-related keywords (e.g., atrazine, glyphosate, DDT, chlorpyrifos) and general cancer descriptors (cancer and neoplasm). The analysis explores publication trends, citation patterns, keyword co-occurrence, and co-citation networks to understand the evolution of research in this field. The results reveal a consistent increase in publication output, indicating growing global attention to pesticide-related health risks. Keyword burst analysis and temporal thematic assessment highlight a clear evolution in research focus, shifting from early studies on occupational exposure and epidemiological risk assessment toward recent emphasis on toxicity, oxidative stress, and mechanistic pathways underlying carcinogenesis. The findings provide important insights for future research, public health policy, and regulatory frameworks, emphasizing the need for interdisciplinary approaches. By identifying emerging themes and research gaps, this study offers a broad understanding of the development of pesticide–cancer research and supports efforts to mitigate the health impacts of pesticide exposure. Full article
Show Figures

Figure 1

20 pages, 1835 KB  
Article
Glyphosate Bioremediation Facilitated by Serratia ureilytica-Derived Biosurfactants Using Amazonian Biodiversity: Genomic Insights and Adsorption Dynamics
by Kleyson Willames da Silva, Emilly Cruz da Silva, Giulian César da Silva Sá, Joane de Almeida Alves, Darlisson de Alexandria Santos, Alexandre Orsato, Karoline Leite, Dante Santos da Silva, Adriano Richard Santos da Silva, Zanderluce Gomes Luis, Flavia Karoliny Araujo dos Santos, José Augusto Pires Bitencourt, Cristina Maria Quintella, Pamela Dias Rodrigues, Doumit Camilios-Neto, Paul R. Race, James E. M. Stach and Sidnei Cerqueira dos Santos
J. Xenobiot. 2026, 16(2), 62; https://doi.org/10.3390/jox16020062 - 4 Apr 2026
Viewed by 496
Abstract
The pervasive environmental dispersal of glyphosate has established this herbicide as a dominant anthropogenic xenobiotic, necessitating advanced bioremediation strategies to restore soil integrity. This study assessed the bioremediation efficacy of biosurfactants produced by Serratia ureilytica BM01-BS in glyphosate-contaminated soils, establishing their adsorption dynamics [...] Read more.
The pervasive environmental dispersal of glyphosate has established this herbicide as a dominant anthropogenic xenobiotic, necessitating advanced bioremediation strategies to restore soil integrity. This study assessed the bioremediation efficacy of biosurfactants produced by Serratia ureilytica BM01-BS in glyphosate-contaminated soils, establishing their adsorption dynamics and ecotoxicological safety. The strain S. ureilytica BM01-BS gave a biosurfactant yield of 3.7 g·L−1 with promising surface properties, utilizing babassu (Attalea speciosa) waste as the sole nutrient source. Whole-Genome Sequencing and Biosynthetic Gene Cluster mining identified a Nonribosomal Peptide Synthetase cluster homologous to rhizomide-type lipopeptides responsible for biosurfactant production. Bioremediation assays in glyphosate-contaminated soils demonstrated a removal efficiency exceeding 95% in approximately 60 min, outperforming the synthetic surfactant SDS (20–30% efficiency). Kinetic and isothermal modeling suggest that the bioremediation process is governed by chemisorption, adhering to a pseudo-second-order model (R2 = 0.998) with a maximum adsorption capacity of 845 µg·kg−1. Fourier-Transform Infrared spectroscopy confirmed that the biosurfactant effectively removes glyphosate and restores the soil’s mineral integrity, as evidenced by the complete disappearance of glyphosate-associated phosphonic and carboxylic bands. Ecotoxicological assessments verified the environmental safety of the bioremediation process. These findings position the BM01-BS biosurfactant as a sustainable, biodiversity-based adjuvant for enhancing ecological resilience in glyphosate-impacted landscapes. Full article
(This article belongs to the Section Enzyme Systems, Microorganisms and Biotechnological Products)
Show Figures

Graphical abstract

21 pages, 2695 KB  
Article
Marker-Assisted Breeding for Pyramiding Multiple Resistance to Soybean Fungal Diseases
by Carla María Lourdes Rocha, María Gabriela García, Esteban Mariano Pardo, José Ramón Sánchez, Atilio Pedro Castagnaro and María Amalia Chiesa
Agronomy 2026, 16(7), 754; https://doi.org/10.3390/agronomy16070754 - 2 Apr 2026
Viewed by 435
Abstract
Fungal diseases such as soybean stem canker (SSC), frogeye leaf spot (FLS), and sudden death syndrome (SDS) cause substantial yield losses in soybean worldwide. This study aimed to pyramid major resistance genes and QTLs against these diseases through marker-assisted backcrossing (MABC). Diagnostic SSR [...] Read more.
Fungal diseases such as soybean stem canker (SSC), frogeye leaf spot (FLS), and sudden death syndrome (SDS) cause substantial yield losses in soybean worldwide. This study aimed to pyramid major resistance genes and QTLs against these diseases through marker-assisted backcrossing (MABC). Diagnostic SSR markers, linked to Rdm4 (SSC), Rcs3 (FLS), and SDS resistance QTLs, were validated and successfully employed for foreground and background selection in crosses between the elite cultivar A8100RR and the resistant donor ‘Forrest’. Molecular analyses confirmed the effective introgression and fixation of multiple resistance loci in BC2F5 lines. Under artificial inoculation, lines R30-11 and R25-13 displayed high resistance levels to Diaporthe aspalathi, Cercospora sojina, Fusarium virguliforme, and F. tucumaniae. Genotype R30-11 exhibited the most consistent resistance across pathogens, while R25-13 combined multi-disease resistance with glyphosate tolerance and stable agronomic performance under field conditions comparable to commercial cultivars. These results represent, to our knowledge, the first report of successful pyramiding genes and QTLs against three distinct fungal diseases (SSC, FLS, and SDS) in soybean through MABC. The developed lines constitute valuable germplasm for breeding programs designed to achieve broad-spectrum, durable and sustainable disease management. Full article
(This article belongs to the Special Issue Functional Genomics and Molecular Breeding of Soybeans—2nd Edition)
Show Figures

Graphical abstract

23 pages, 2396 KB  
Article
Monitoring Environmental Glyphosate in Northeastern Romania and Its Cytotoxic Impact on Human Fibroblasts
by Ioana-Cezara Caba, Raluca Stefănescu, Alexandra-Andreea Botnaru, Ionela Daniela Morariu, Liliana Vereștiuc, Florina-Daniela Cojocaru, Bogdan Caba, Oana Cioancă, Alexandra Jităreanu and Luminița Agoroaei
J. Xenobiot. 2026, 16(2), 61; https://doi.org/10.3390/jox16020061 - 2 Apr 2026
Viewed by 393
Abstract
Glyphosate is the most widely used pesticide globally, raising concerns about its environmental persistence and biological impacts. Therefore, monitoring pesticide use is essential for assessing agricultural practices and the risks to human health associated with chemical use. This research examined glyphosate contamination in [...] Read more.
Glyphosate is the most widely used pesticide globally, raising concerns about its environmental persistence and biological impacts. Therefore, monitoring pesticide use is essential for assessing agricultural practices and the risks to human health associated with chemical use. This research examined glyphosate contamination in water (40 samples) and soil (28 samples) from northeastern Romania, an important agricultural region. Glyphosate concentrations in environmental water and soil samples were quantified using a spectrophotometric method based on ninhydrin derivatization, with good linearity over the concentration range 1–30 µg/mL (R2 = 0.9981). Glyphosate was detected at concentrations above the LOQ in one water sample. Also, the study proposes a UHPLC-MS/MS method for the confirmation of glyphosate presence in the analyzed sample. Additionally, this study contributes to the characterization of the toxicity profiles of glyphosate and a commercial glyphosate-based formulation (Roundup®) in primary human gingival fibroblast (hGF) cell lines. The commercial product Roundup, containing glyphosate, exhibited cytotoxicity similar to that of the active compound at low and intermediate doses; a significant cytotoxic effect was observed at a maximum concentration of 1 mM, with prolonged exposure. These findings demonstrate minimal cytotoxicity under the examined conditions and underscore the need for dose- and time-dependent assessments to evaluate the biological impact of herbicide formulations. Full article
Show Figures

Graphical abstract

14 pages, 520 KB  
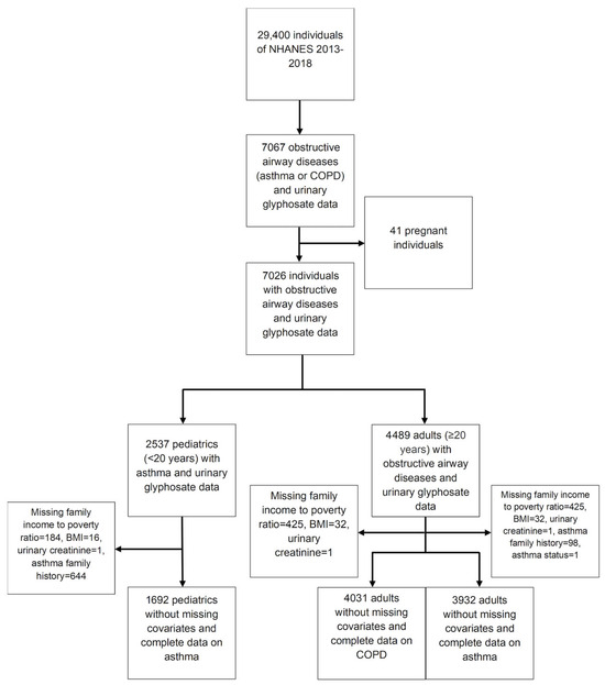
Article
Urinary Glyphosate Exposure and Risk of Obstructive Airway Diseases in Youth and Adults: Population-Based Evidence from U.S. Biomonitoring Data
by Hiba Farooq Siddiqui, Sundus Farooq Siddiqui, Marrita Rabadi, Anfal Mohamed Shalaby, Abdullatif Ibrahim Al-Hor, Maryam A. Al-Khulaifi, Humam Emad Rajha, Giridhara Rathnaiah Babu and Angham Ibrahim Tartour
Int. J. Environ. Res. Public Health 2026, 23(4), 442; https://doi.org/10.3390/ijerph23040442 - 31 Mar 2026
Viewed by 352
Abstract
Glyphosate herbicide has been linked with airway diseases in adults. Evidence remains inconsistent, without investigations conducted in youthful populations. This study aims to examine the association between glyphosate and obstructive airway diseases in adult and youth samples in the National Health and Nutrition [...] Read more.
Glyphosate herbicide has been linked with airway diseases in adults. Evidence remains inconsistent, without investigations conducted in youthful populations. This study aims to examine the association between glyphosate and obstructive airway diseases in adult and youth samples in the National Health and Nutrition Examination Survey. Glyphosate exposure was categorized into tertiles. Separate multiple logistic regressions were conducted for adults and youths, adjusting for relevant covariates. Analyses were stratified by age. Sensitivity analyses explored associations with past-year asthma-related events. In total, 4031 adults and 1692 youths were included. There was a significant dose–response relationship between glyphosate and airway diseases in adults (tertile 2: aOR = 1.17, 95% UI: 0.94, 1.46, p = 0.15; tertile 3: aOR = 1.29, 95% UI: 1.02, 1.62, p = 0.03). Weak associations were shown between glyphosate and asthma in the youth sample (aOR = 1.08, 95% UI: 0.74, 1.58, p = 0.69); however, the relationship was more pronounced in adolescents (aOR = 1.33, 95% UI: 0.82, 2.15, p = 0.24). A dose–response pattern was observed between recent exposure and temporal outcomes in adults, reaching up to 75% higher odds of past-year asthma attacks among participants with glyphosate levels at the third tertile (tertile 3: aOR = 1.75, 95% UI: 0.92, 3.36, p = 0.09). These warrant timely monitoring and prevention strategies, with future research focusing on investigating longitudinal associations. Full article
Show Figures

Figure 1

16 pages, 2451 KB  
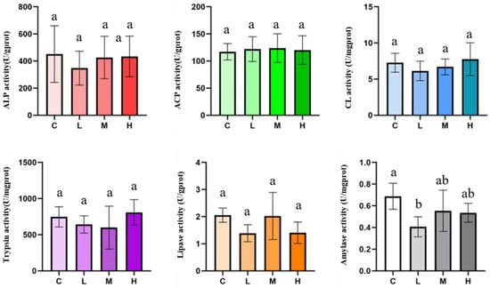
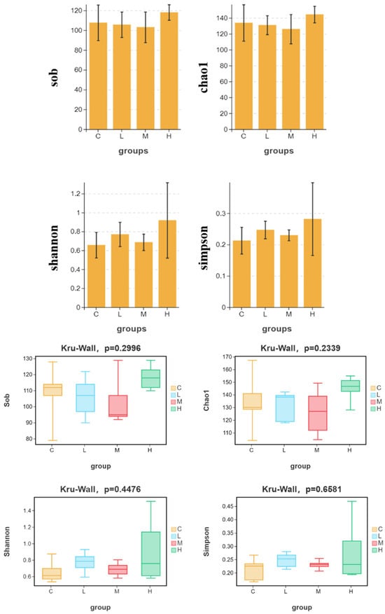
Article
Physiological Stress Signatures of Waterborne Glyphosate Exposure in Apostichopus japonicus: Insights for Aquatic Ecotoxicology
by Jingchun Sun, Shaoping Kuang and Hongsheng Yang
Toxics 2026, 14(4), 282; https://doi.org/10.3390/toxics14040282 - 26 Mar 2026
Viewed by 511
Abstract
Glyphosate is a widely used herbicide with increasing concern regarding its non-target impacts in coastal ecosystems and mariculture species. Here, we profiled acute physiological stress signatures of waterborne glyphosate exposure in the sea cucumber Apostichopus japonicus, integrating measured exposure concentrations, tissue residues, [...] Read more.
Glyphosate is a widely used herbicide with increasing concern regarding its non-target impacts in coastal ecosystems and mariculture species. Here, we profiled acute physiological stress signatures of waterborne glyphosate exposure in the sea cucumber Apostichopus japonicus, integrating measured exposure concentrations, tissue residues, digestive and oxidative/innate immune biomarkers, and gut microbiota. After 24 h exposure, measured waterborne glyphosate confirmed the intended gradient (0.09 ± 0.02, 1.26 ± 0.09, and 4.49 ± 1.12 mg/L for low-, medium-, and high-dose treatments, respectively), and overt stress phenotypes with mortality occurred only at the high dose (36.67%), enabling separation of high-dose survivors (HS) and high-dose dead (HD) for downstream analyses. Tissue measurements showed low/background levels in controls, with compartment-specific distribution: the respiratory tree exhibited higher burdens at the medium dose, whereas coelomic fluid showed the highest burdens in HS at the 24 h endpoint. Functionally, most intestinal digestive enzymes were unchanged, but trypsin activity was consistently suppressed across exposed groups (p < 0.05). In coelomic fluid, oxidative stress responses were evident, with elevated MDA (L and M), reduced CAT (L, M, and HS), and reduced GSH-PX in HS (all p < 0.05), while SOD, GR, and lysozyme showed no significant changes. Gene sequencing of 16S rRNA (n = 3 per group) revealed significant shifts in community diversity/evenness (Shannon p = 0.0497; Simpson p = 0.0484) and beta diversity (PCo1 = 30.08%, PCo2 = 26.30%; PERMANOVA F = 1.816, p = 0.008), with LEfSe indicating discriminative taxa associated with exposure/outcomes. Collectively, these multi-level endpoints define an acute glyphosate stress signature in A. japonicus, linking internal dose distribution to oxidative disruption, impaired intestinal proteolysis, and microbiome restructuring. Full article
(This article belongs to the Section Ecotoxicology)
Show Figures

Figure 1

28 pages, 6269 KB  
Article
Glyphosate-Induced Metabolic and Immune Modulation in Hepatoma Cells: Identification of Key Genes as Diagnostic and Therapeutic Targets Using an In Silico Systems Biology Approach
by Divya Mishra
J. Xenobiot. 2026, 16(2), 51; https://doi.org/10.3390/jox16020051 - 19 Mar 2026
Viewed by 725
Abstract
Glyphosate, one of the most widely used herbicides worldwide, has raised significant concerns regarding its potential involvement in hepatotoxicity and molecular changes associated with liver cancer biology. These concerns highlight the need to better understand its underlying molecular mechanisms in hepatoma cells. Emerging [...] Read more.
Glyphosate, one of the most widely used herbicides worldwide, has raised significant concerns regarding its potential involvement in hepatotoxicity and molecular changes associated with liver cancer biology. These concerns highlight the need to better understand its underlying molecular mechanisms in hepatoma cells. Emerging evidence suggests that glyphosate exposure may increase the risk of liver cancer and chronic liver disease. However, the precise molecular alterations and promising biomarkers associated with glyphosate-induced hepatic toxicity and disease remain largely unexplored. In this study, an RNA-Seq-based in silico systems biology approach was employed to elucidate glyphosate-induced differential transcriptional profiling in hepatoma cells. This analysis revealed significant transcriptional profiling characterized by the upregulated hub genes ATF3, JUNB, ALDOA, FOSB, PFKFB3, G6PD, ENO2, HK2, FOS and PGK1. These genes were primarily associated with glucose metabolism, TNF-α/NF-κB signaling, epithelial–mesenchymal transition (EMT) and cellular stress responses. Conversely, several key genes were significantly downregulated, including PIK3R1, FYN, CEBPA, MLXIPL, PPARA, CD36, PCK2, PNPLA3, NR1H4 and MGLL, which were involved in lipid metabolism, immune regulation and non-alcoholic fatty liver disease (NAFLD) pathways. Notably, all hub genes demonstrated strong diagnostic performance, highlighting their potential as sensitive biomarkers of glyphosate exposure. Collectively, this study provides comprehensive insights into gene expression changes associated with glyphosate exposure in hepatoma cells, linking them to hepatic metabolic dysregulation and immune modulation and suggesting a panel of hub genes with potential diagnostic and therapeutic significance. Full article
Show Figures

Graphical abstract

Back to TopTop