Factors Affecting Spatial and Temporal Concentration Variability of Pharmaceuticals: Comparison between Two WWTPs
Abstract
1. Introduction
2. Materials and Methods
2.1. WWTPs Monitored
2.2. Sampling Campaigns
2.3. Chemicals
2.4. Sample Preparation
2.5. High Performance Liquid Chromatography-Tandem Mass Spectrometry (HPLC-MS/MS)
2.6. Quantification and Method Validation
2.7. Flow Rate Calculations for the Aquatic Contamination Exercise
3. Results and Discussion
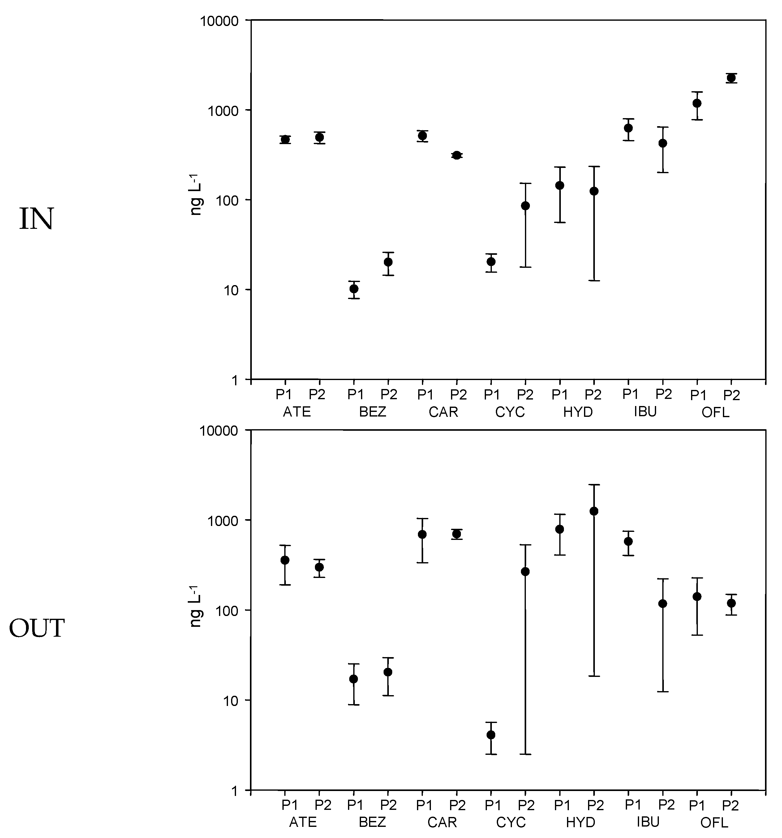
3.1. Spatial Variability of Pharmaceutical Concentrations in WWTPs
3.2. Temporal Variability of Pharmaceutical Concentrations in WWTPs
3.3. Factors Affecting Variability of Aquatic Ecosystem Exposure
- (i)
- physical-chemical and degradation properties of the compounds;
- (ii)
- their consumption rates;
- (iii)
- WWTPs characteristics and their removal efficiency; and
- (iv)
- water flow variations of the WWTP and the receiving water body.
3.3.1. Physical-Chemical and Degradation Properties of Pharmaceuticals
3.3.2. Consumption Rates and Use Patterns
3.3.3. WWTPs Features
3.4. Predicting Temporal Exposure Concentration Variation in River
4. Conclusions
Acknowledgments
Author Contributions
Conflicts of Interest
References
- Calamari, D.; Zuccato, E.; Castiglioni, S.; Bagnati, R.; Fanelli, R. Therapeutic drugs in the rivers Po and Lambro in Northern Italy: A strategic survey. Environ. Sci. Technol. 2003, 37, 1241–1248. [Google Scholar] [CrossRef]
- Tixier, C.; Singer, H.P.; Oellers, S.; Muller, S.R. Occurrence and fate of Carbamazepine, Clofibric Acid, Diclofenac, Ibuprofen, Ketoprofen, and Naproxen in surface waters. Environ. Sci. Technol. 2003, 37, 1061–1068. [Google Scholar] [CrossRef] [PubMed]
- Tahar, A.; Tiedeken, E.J.; Clifford, E.; Cummins, E.; Rowan, N. Development of a semi-quantitative risk assessment model for evaluating environmental threat posed by the three first EU watch-list pharmaceuticals to urban wastewater treatment plants: An Irish case study. Sci. Total Environ. 2017, 603–604, 627–638. [Google Scholar] [CrossRef] [PubMed]
- Fent, K. Effects of Pharmaceuticals on Aquatic Organisms. In Pharmaceuticals in the Environment. Sources, Fate, Effects and Risks, 3rd ed.; Kümmerer, K., Ed.; Springer: Berlin, Germany, 2008; pp. 175–203. [Google Scholar]
- Gheorghe, S.; Petre, J.; Lucaciu, I.; Stoica, C.; Nita-Lazar, M. Risk screening of pharmaceutical compounds in Romanian aquatic environment. Environ. Monit. Assess. 2016, 188, 379. [Google Scholar] [CrossRef] [PubMed]
- New Challenges for Risk Assessment. Available online: http://ec.europa.eu/health/scientific_committees/consumer_safety/docs/sccs_o_131.pdf (accessed on 1 October 2014).
- Di Guardo, A.; Hermens, J.L.M. Challenges for exposure prediction in ecological risk assessment. Integr. Environ. Assess. Manag. 2013, 9, 4–14. [Google Scholar] [CrossRef] [PubMed]
- Torretta, V. PAHs in Wastewater: Removal efficiency in a conventional wastewater treatment plant and comparison with model predictions. Environ. Technol. 2012, 33, 851–855. [Google Scholar] [CrossRef] [PubMed]
- Torretta, V.; Katsoyiannis, A. Occurrence of polycyclic aromatic hydrocarbons in sludges from different stages of a wastewater treatment plant in Italy. Environ. Technol. 2013, 34, 937–943. [Google Scholar] [CrossRef] [PubMed]
- Castiglioni, S.; Bagnati, R.; Calamari, D.; Fanelli, R.; Zuccato, E. A multiresidue analytical method using solid-phase extraction and high-pressure liquid chromatography tandem mass spectrometry to measure pharmaceuticals of different therapeutic classes in urban wastewaters. J. Chromatogr. A 2005, 1092, 206–215. [Google Scholar] [CrossRef] [PubMed]
- Zuccato, E.; Castiglioni, S.; Fanelli, R.; Reitano, G.; Bagnati, R.; Chiabrando, C.; Pomati, F.; Rossetti, C.; Calamari, D. Pharmaceuticals in the environment in Italy: Causes, occurrence, effects and control. Environ. Sci. Pollut. Res. Int. 2006, 13, 15–21. [Google Scholar] [CrossRef] [PubMed]
- Raboni, M.; Torretta, V.; Urbini, G. Influence of strong diurnal variations in sewage quality on the performance of biological denitrification in small community wastewater treatment plants (WWTPs). Sustainability 2013, 5, 3679–3689. [Google Scholar] [CrossRef]
- Portale Idrologico Geografico di ARPA Lombardia. Available online: http://idro.arpalombardia.it/pmapper4.0/map.phtml?dg=idro,scaledeflusso,lomb,com,fiumi,laghi,CTR10,CTR50,ORTO,PANO&me=1466213.61762,5063146.335,1503023.5130699998,5087550.165&language=it&config=default (accessed on 1 October 2014).
- Castiglioni, S.; Bagnati, R.; Fanelli, R.; Pomati, F.; Calamari, D.; Zuccato, E. Removal of pharmaceuticals in sewage treatment plants in Italy. Environ. Sci. Technol. 2006, 40, 357–363. [Google Scholar] [CrossRef] [PubMed]
- Verlicchi, P.; Al Aukidy, M.; Zambello, E. Occurrence of pharmaceutical compounds in urban wastewater: Removal, mass load and environmental risk after a secondary treatment—A review. Sci. Total Environ. 2012, 429, 123–155. [Google Scholar] [CrossRef] [PubMed]
- Vieno, N.M.; Tuhkanen, T.; Kronberg, L. Elimination of pharmaceuticals in sewage treatment plants in Finland. Water Res. 2007, 41, 1001–1012. [Google Scholar] [CrossRef] [PubMed]
- Kostich, M.S.; Batt, A.L.; Lazorchak, J.M. Concentrations of prioritized pharmaceuticals in effluents from 50 large wastewater treatment plants in the US and implications for risk estimation. Environ. Pollut. 2014, 184, 354–359. [Google Scholar] [CrossRef] [PubMed]
- Torretta, V.; Ragazzi, M.; Trulli, E.; De Feo, G.; Urbini, G.; Raboni, M.; Rada, E.C. Assessment of biological kinetics in a conventional municipal WWTP by means of the oxygen uptake rate method. Sustainability 2014, 6, 1833–1847. [Google Scholar] [CrossRef]
- Küster, A.; Alder, A.C.; Escher, B.I.; Duis, K.; Fenner, K.; Garric, J.; Hutchinson, T.H.; Lapen, D.R.; Péry, A.; Römbke, J.; et al. Environmental risk assessment of human pharmaceuticals in the European Union: A case study with the β-Blocker Atenolol. Integr. Environ. Assess. Manag. 2010, 6, 514–523. [Google Scholar] [CrossRef] [PubMed]
- Barron, L.; Nesterenko, E.; Hart, K.; Power, E.; Quinn, B. Holistic visualisation of the multimodal transport and fate of twelve pharmaceuticals in biosolid enriched topsoils. Anal. Bioanal. Chem. 2010, 397, 287–296. [Google Scholar] [CrossRef] [PubMed]
- Sipma, J.; Osuna, B.; Collado, N.; Monclús, H.; Ferrero, G.; Comas, J.; Rodriguez-Roda, I. Comparison of removal of pharmaceuticals in MBR and activated sludge systems. Desalination 2010, 250, 653–659. [Google Scholar] [CrossRef]
- Morais, S.A.; Delerue-Matos, C.; Gabarrell, X.; Blánquez, P. Multimedia fate modeling and comparative impact on freshwater ecosystems of pharmaceuticals from biosolids-amended soils. Chemosphere 2013, 93, 252–262. [Google Scholar] [CrossRef] [PubMed]
- Gros, M.; Petrović, M.; Ginebreda, A.; Barceló, D. Removal of pharmaceuticals during wastewater treatment and environmental risk assessment using hazard indexes. Environ. Int. 2010, 36, 15–26. [Google Scholar] [CrossRef] [PubMed]
- Grossberger, A.; Hadar, Y.; Borch, T.; Chefetz, B. Biodegradability of pharmaceutical compounds in agricultural soils irrigated with treated wastewater. Environ. Pollut. 2014, 185, 168–177. [Google Scholar] [CrossRef] [PubMed]
- Zuccato, E.; Castiglioni, S.; Fanelli, R. Identification of the pharmaceuticals for human use contaminating the Italian aquatic environment. J. Hazard. Mater. 2005, 122, 205–209. [Google Scholar] [CrossRef] [PubMed]
- Clara, M.; Strenn, B.; Kreuzinger, N. Carbamazepine as a possible anthropogenic marker in the aquatic environment: Investigations on the behavior of Carbamazepine in wastewater treatment and during groundwater infiltration. Water Res. 2004, 38, 947–954. [Google Scholar] [CrossRef] [PubMed]
- Li, W.C. Occurrence, sources, and fate of pharmaceuticals in aquatic environment and soil. Environ. Pollut. 2014, 187, 193–201. [Google Scholar] [CrossRef] [PubMed]
- Kümmerer, K.; Al-Ahmad, A. Estimation of the cancer risk to humans resulting from the presence of cyclophosphamide and ifosfamide in surface water. Environ. Sci. Pollut. Res. Int. 2010, 17, 486–496. [Google Scholar] [CrossRef] [PubMed]
- Delgado, L.F.; Dorandeu, C.; Marion, B.; Gonzalez, C.; Faucet-Marquis, V.; Schetrite, S.; Albasi, C. Removal of a cytostatic drug by a membrane bioreactor. Desalination Water Treat. 2009, 9, 112–118. [Google Scholar] [CrossRef]
- Zhang, J.; Chang, V.W.; Giannis, A.; Wang, J.Y. Removal of cytostatic drugs from aquatic environment: A review. Sci. Total Environ. 2013, 445–446, 281–298. [Google Scholar] [CrossRef] [PubMed]
- Lin, A.Y.-C.; Lin, Y.-C.; Lee, W.-N. Prevalence and sunlight photolysis of controlled and chemotherapeutic drugs in aqueous environments. Environ. Pollut. 2014, 187, 170–181. [Google Scholar] [CrossRef] [PubMed]
- Hydrochlorothiazide. Available online: http://www.chemspider.com/Chemical-Structure.3513.html (accessed on 1 October 2014).
- Stuer-Lauridsen, F.; Birkved, M.; Hansen, L.P.; Holten Luetzhøft, H.-C.; Halling-Sørensen, B. Environmental risk assessment of human pharmaceuticals in Denmark after normal therapeutic use. Chemosphere 2000, 40, 783–793. [Google Scholar] [CrossRef]
- Radjenović, J.; Petrović, M.; Barceló, D. Fate and distribution of pharmaceuticals in wastewater and sewage sludge of the conventional activated sludge (CAS) and advanced membrane bioreactor (MBR) treatment. Water Res. 2009, 43, 831–841. [Google Scholar] [CrossRef] [PubMed]
- Hazardous Substances Data Bank (HSDB). Available online: http://toxnet.nlm.nih.gov/cgi-bin/sis/search2/r?dbs+hsdb:@term+@rn+@rel+58-93-5 (accessed on 1 October 2014).
- Brigante, M.; DellaGreca, M.; Previtera, L.; Rubino, M.; Temussi, F. Degradation of hydrochlorothiazide in water. Environ. Chem. Lett. 2005, 2, 195–198. [Google Scholar] [CrossRef]
- Hansch, C.; Leo, A.; Hoekman, D. Exploring QSAR—Hydrophobic, Electronic, and Steric Constants; Hansch, C., Leo, A., Hoekman, D.H., Eds.; American Chemical Society: Washington, DC, USA, 1995; Volume 2, p. 348.
- Wu, D.; Li, H.; Liao, S.; Sun, X.; Peng, H.; Zhang, D.; Pan, B. Co-sorption of ofloxacin and Cu(II) in soils before and after organic matter removal. Sci. Total Environ. 2014, 481, 209–216. [Google Scholar] [CrossRef] [PubMed]
- Al Aukidy, M.; Verlicchi, P.; Jelić, A.; Petrović, M.; Barceló, D. Monitoring release of pharmaceutical compounds: Occurrence and environmental risk assessment of two WWTP effluents and their receiving bodies in the Po Valley, Italy. Sci. Total Environ. 2012, 438, 15–25. [Google Scholar] [CrossRef] [PubMed]
- Torretta, V.; Urbini, G.; Raboni, M.; Copelli, S.; Viotti, P.; Luciano, A.; Mancini, G. Effect of Powdered Activated Carbon to Reduce Fouling in Membrane Bioreactors: A Sustainable Solution. Case Study. Sustainability 2013, 5, 1501–1509. [Google Scholar] [CrossRef]
- Radjenović, J.; Petrović, M.; Barceló, D. Advanced mass spectrometric methods applied to the study of fate and removal of pharmaceuticals in wastewater treatment. Trends Anal. Chem. 2007, 26, 1132–1144. [Google Scholar] [CrossRef]
- Luciano, A.; Viotti, P.; Mancini, G.; Torretta, V. An integrated wastewater treatment system using a BAS reactor with biomass attached to tubolar supports. J. Environ. Manag. 2012, 113, 51–60. [Google Scholar] [CrossRef] [PubMed]
- Zhang, Y.; Geiβen, S.U.; Gal, C. Carbamazepine and diclofenac: Removal in wastewater treatment plants and occurrence in water bodies. Chemosphere 2008, 73, 1151–1161. [Google Scholar] [CrossRef] [PubMed]
- Jelić, A.; Gros, M.; Petrović, M.; Ginebreda, A.; Barceló, D. Occurrence and Elimination of Pharmaceuticals during Conventional Wastewater Treatment. In Emerging and Priority Pollutants in Rivers. Bringing Science into River Management Plans. The Handbook of Environmental Chemistry; Guasch, H., Ginebreda, A., Geiszinger, A., Eds.; Springer: Berlin, Germany, 2012; pp. 1–23. [Google Scholar]
- Viotti, P.; Luciano, A.; Mancini, G.; Torretta, V. A wastewater treatment using a biofilm airlift suspension reactor with biomass attached to supports: A numerical model. Int. J. Environ. Sci. Technol. 2014, 11, 571–588. [Google Scholar] [CrossRef]
- Boeije, G.; Vanrolleghem, P.; Matthies, M. A geo-referenced aquatic exposure prediction methodology for ‘down-the-drain’ chemicals. Contribution to GREAT-ER # 3. Water Sci. Technol. 1997, 36, 251–258. [Google Scholar]
- Di Guardo, A.; Ferrari, C.; Infantino, A. Development of a dynamic aquatic model (DynA Model): Estimating temporal emissions of DDT to Lake Maggiore (N. Italy). Environ. Sci. Pollut. Res. Int. 2006, 13, 50–58. [Google Scholar] [CrossRef] [PubMed]



| Treatment Unit Characteristics | Plant P1 | Plant P2 |
|---|---|---|
| Pre-treatments | Screen | Screen/Oil and Sand Removal |
| Primary clarification | Present c | Absent |
| Biological treatment | Activated Sludge | Predenitrification/Activated Sludge-Nitrification |
| Secondary clarification | Present | Present |
| Tertiary treatments | Absent d | Phosphorus Removal with FeCl3; Chemical Clarification; Disinfection with sodium hypochlorite |
| Average a flow rate (m3/day) | 28,286 | 28,645 |
| Population equivalents (p.e.) a | 49,800 | 27,700 |
| Operating F:M (KgBOD5/KgSS·day) b | 0.23 | 0.09 |
| SRT (days) b | 3.1 | 11.8 |
| HRT (hours) b | 23 | 31.7 |
| Pharmaceutical (ng/L) | Sample | P1 | P2 | ||||||||
|---|---|---|---|---|---|---|---|---|---|---|---|
| April | June | September | April | June | September | ||||||
| Mon | Wed | Fri | Mon | Mon | Mon | Wed | Fri | Mon | Mon | ||
| Atenolol | Influent | 540 | 389 | 472 | 498 | 532 | 352 | 537 | 592 | 504 | 754 |
| Effluent | 379 | 57.32 | 632 | 357 | 186 | 181 | 296 | 413 | 208 | 116 | |
| Bezafibrate | Influent | 14.52 | 8.21 | 7.73 | 11.48 | 8.90 | 10.34 | 19.96 | 30.1 | 15.88 | 8.10 |
| Effluent | 17.73 | (a) | 30.89 | 16.20 | 7.57 | 6.73 | 16.57 | 37.68 | 10.87 | (a) | |
| Carbamazepine | Influent | 649 | 484 | 408 | 2131 | 4524 | 283 | 315 | 334 | 1615 | 2723 |
| Effluent | 873 | 7.24 | 1178 | 3418 | 2989 | 562 | 665 | 859 | 2381 | 5721 | |
| Cyclophosphamide | Influent | 29.23 | 17.98 | 13.69 | 14.03 | (a) | 220 | 18.49 | 17.06 | 131 | (a) |
| Effluent | (a) | 7.26 | (a) | (a) | (a) | 791 | (a) | (a) | 136 | (a) | |
| Hydrochlorothiazide | Influent | 304 | (a) | 124 | 693 | 366 | 19.69 | 347 | 5.63 | 659 | 412 |
| Effluent | 987 | 1306 | 56.76 | 443 | 269 | (a) | 3696 | 34.33 | 257 | 156 | |
| Ibuprofen | Influent | 431 | 483 | 962 | 2857 | 1642 | 864 | 248 | 158 | 2955 | 5579 |
| Effluent | 230 | 731 | 763 | 750 | 309 | 22.63 | 326 | (a) | 256 | 123 | |
| Ofloxacin | Influent | 1950 | 1014 | 584 | 1000 | 152 | 2385 | 2651 | 1761 | 1065 | 165 |
| Effluent | 115 | (a) | 302 | 694 | 147 | 70.64 | 109 | 175 | 24.03 | 70.61 | |
| Salbutamol | Influent | (a) | (a) | (a) | (a) | 6.63 | (a) | (a) | (a) | (a) | 8.95 |
| Effluent | (a) | 5.87 | (a) | (a) | 10.01 | (a) | (a) | (a) | (a) | 7.07 | |
| Pharmaceutical | Log Kow | Kd (L/KgTSS) | pKa | HL (Water) (d) |
|---|---|---|---|---|
| Atenolol | 0.16 [19] | 15 [20]; 64 [21] | 9.6 [22] | No significant to medium removal efficiency [23] |
| Bezafibrate | 4.25 [24] | 14 [20] | 3.6 [24] | 83% degraded in 6d [25] |
| Carbamazepine | 2.45 [24] | 11 [26]; 20–68 [27] | 13.9 [27] | 100 [25] |
| Cyclophosphamide | 0.63 [28] | 457–933 (a) [29] | 2.84 [30]; 4.5–4.8 [31] | 44 (sunlight), 80 (dark), lake water [29] |
| Hydrochlorothiazide | −0.07 [32] | 0.1 (b) [33]; 20.2–25.8 (b) [34] | 7.0 and 9.2 [21]; 7.9 [35] | <5 [36] |
| Ibuprofen | 3.97 [24]; 4 [27] | 10–60 [27] | 4.5–5.2 [27] | <1 [25] |
| Ofloxacin | −0.39 [37] | 1000–31,000 [38] | (c) | 6.05 and 8.22 [21]; 10.6 [25] |
| Salbutamol | 0.01 [33] | (c) | 5.9 [20] | (c) |
© 2017 by the authors. Licensee MDPI, Basel, Switzerland. This article is an open access article distributed under the terms and conditions of the Creative Commons Attribution (CC BY) license (http://creativecommons.org/licenses/by/4.0/).
Share and Cite
Morosini, C.; Marsoni, M.; Torretta, V.; Conti, F.; Ragazzi, M.; Rada, E.C.; Cioca, G. Factors Affecting Spatial and Temporal Concentration Variability of Pharmaceuticals: Comparison between Two WWTPs. Sustainability 2017, 9, 1466. https://doi.org/10.3390/su9081466
Morosini C, Marsoni M, Torretta V, Conti F, Ragazzi M, Rada EC, Cioca G. Factors Affecting Spatial and Temporal Concentration Variability of Pharmaceuticals: Comparison between Two WWTPs. Sustainability. 2017; 9(8):1466. https://doi.org/10.3390/su9081466
Chicago/Turabian StyleMorosini, Cristiana, Milena Marsoni, Vincenzo Torretta, Fabio Conti, Marco Ragazzi, Elena Cristina Rada, and Gabriela Cioca. 2017. "Factors Affecting Spatial and Temporal Concentration Variability of Pharmaceuticals: Comparison between Two WWTPs" Sustainability 9, no. 8: 1466. https://doi.org/10.3390/su9081466
APA StyleMorosini, C., Marsoni, M., Torretta, V., Conti, F., Ragazzi, M., Rada, E. C., & Cioca, G. (2017). Factors Affecting Spatial and Temporal Concentration Variability of Pharmaceuticals: Comparison between Two WWTPs. Sustainability, 9(8), 1466. https://doi.org/10.3390/su9081466

