Next Article in Journal
How Assessment Methods Can Support Solid Waste Management in Developing Countries—A Critical Review
Previous Article in Journal
Making Sustainable Consumption and Production the Core of Sustainable Development Goals
 
 
Font Type:
Arial Georgia Verdana
Font Size:
Aa Aa Aa
Line Spacing:
Column Width:
Background:
Article

Blocking of Snow/Water Slurry Flow in Pipeline Caused by Compression-Strengthening of Snow Column

1
Malaysia-Japan International Institute of Technology, Univeristi Teknologi Malaysia, Kuala Lumpur 53300, Malaysia
2
Nagaoka University of Technology, 1603-1 Kamitomioka, Nagaoka, Niigata, Japan
3
Nagaoka National College of Technology, 888 Nishikatakai, Nagaoka, Niigata, Japan
4
Toba National College of Maritime Technology, 1-1 Ikegami, Toba, Mie, Japan
*
Author to whom correspondence should be addressed.
Sustainability 2014, 6(2), 530-544; https://doi.org/10.3390/su6020530
Submission received: 7 November 2013 / Revised: 8 January 2014 / Accepted: 13 January 2014 / Published: 27 January 2014

Abstract

:
In earlier works by the present authors, two systems for sustainable energy were proposed: (i) a system for urban snow removal in winter and storage for air conditioning in summer, applied to Nagaoka City, which suffers heavy snow fall every winter, and (ii) a district cooling system utilizing latent heat of ice to reduce the size of storage reservoir and transportation pipeline system. In these systems, the hydraulic conveying of snow or ice through pump-and-pipeline is the key technique to be developed, since characteristics of snow (ice)/ water slurry is largely different from those of conventional non-cohesive solid particle slurries. In this study, the blocking of pipeline of snow/water slurry is investigated experimentally. While the blocking of conventional slurry occurs due to deposition of heavy particles at low flow velocity or arching of large rigid particles, that of snow/water slurry is caused by a compressed plug of snow formed due to cohesive nature of snow particles. This is because the strength of snow plug formed at a high resistance piping element, such as an orifice, becomes higher when the compression velocity is lower, resulting in a solid-like plug filling the whole channel upstream the element.

1. Introduction

Many cities along the Japan Sea Coast in Honshu Island suffer heavy snow fall every winter. In contrast, during the two months in summer it is very hot and humid in these areas. It is quite common that the cities have a densely inhabited urban area, such as Nagaoka, which has a population of 180,000 in its 16 km2 central area [1].
The heavy snow fall requires removing of snow off the roads in the city as soon as possible, and, several times a winter from roofs of houses and buildings so as to avoid cracking of roofs and/or distortion of structures. In the case of average family houses, it is usual that the surface of removed snow keeps a level higher than the roof of the house until the beginning of spring, as seen in Figure 1. Until around 1960, a business called “Yukinio” had been operated in which snow was stored in winter and supplied for cooling throughout the next summer. As the first project of the Technology Development Center of Nagaoka University of Technology (NUT-TDC), a system was designed to remove snow off the roads and housing areas in winter, and to utilize the cold energy of removed snow in summer for air conditioning [1,2,3].
Figure 1. A house in Nagaoka, Japan, almost buried in snow to the roof.
Figure 1. A house in Nagaoka, Japan, almost buried in snow to the roof.
Sustainability 06 00530 g001
As shown in Figure 2, the system is composed of pipeline network with snow feeders in the urban area, snow transportation stations, main pipelines, and a snow storage dam. In this system, the hydraulic conveying of snow through pump-and-pipeline is the key technique to be developed. Experimental investigations to understand the characteristics of snow/water slurry flow in pipeline and development of devices, instruments, and control techniques were carried out through subsequent NUT-TDC projects [4,5,6,7,8,9,10]. The understanding on the characteristics of snow/water slurry and techniques for its treatment, obtained through these projects, were transferred to later NUT-TDC projects for the development of district cooling system utilizing ice/water mixture [11]. In this system, it is expected that the diameter of the cold energy delivery pipeline can be reduced to a half of the conventional cold water system by mixing ice with a concentration of up to 20%. However, through the experiments in the above projects, the blocking of the pipeline frequently occurred, caused by formation of solid snow or ice plugs filling the pipe [6,7]. As this type of blocking is caused by the cohesive nature of snow particles, it is characteristic for snow (or ice)/water slurry, and largely different from those of conventional solid-particle/water slurry, such as the blocking caused by arching of coarse particles or by deposition of high density particles at low flow velocity.
Figure 2. System for urban snow removal and storage for air conditioning [2].
Figure 2. System for urban snow removal and storage for air conditioning [2].
Sustainability 06 00530 g002
In this study, the phenomenon of blocking of snow (or ice)/water slurries is investigated by examining the experimental results obtained through the above projects, as it is the biggest problem to be solved before the hydraulic conveying of snow is applied to practical use.
For simplification, the term “snow” will be used both for snow and ice, henceforth, in this paper.

2. Examination of Experimental Results of the Earlier Projects

2.1. Sample Snow Particles

It is well known that the mechanical properties of natural snow on the ground, e.g., the bulk density, shear, and compression strengths, largely depend on the size and shape of snow particles, as well as the temperature (see e.g., [12]). Hence, the following three types of snow (or ice) particles of different size and shape shown in Figure 3 were used as samples.
Figure 3. Snow and ice particles. (a) Fresh snow, gathered within 24 hours after snow fall; (b) Granulated snow, gathered from local spots; (c) Chipped ice, made by a commercial refrigerator.
Figure 3. Snow and ice particles. (a) Fresh snow, gathered within 24 hours after snow fall; (b) Granulated snow, gathered from local spots; (c) Chipped ice, made by a commercial refrigerator.
Sustainability 06 00530 g003

2.2. Specific Flow Behavior of Snow/Water Slurry Flow in Pipes

Flow pattern of snow/water slurry in a pipe is quite different from conventional non-cohesive solid particle slurries due to the cohesive nature of snow particles in water [13]. When both the snow fraction, f, and the flow velocity, U, are lower than certain respective critical values, depending on sample snow, particles adhere each other to form clusters moving along the upper wall of the pipe (Cluster flow). With a higher fraction, the snow cluster becomes larger, both in diameter and length, and finally forms an axially continuous column (Column flow). Thus, at the highest fractions, the pipe is fully filled by the snow column. These two flow patterns are observed for the chipped ice slurry when the flow velocity is low, in spite of the fact that the cohesion force of the chipped ice is very weak. For the two flow patterns, the cluster and the column move without rotational motion, like a solid body.
When the fraction is lower and the velocity is higher than respective critical values, the cluster (or column) is scattered into particles such as the pseudo-homogeneous flow of conventional non-cohesive solid-particle/water slurry (Dispersed particle flow). In this flow, the particles are well mixed by turbulent eddies. It is noted that the velocities of snow is essentially equal to the mean flow velocity, U, for all the above flow patterns when the flow remains steady [14].
In the cluster flow, the cohesion strength is considered to be equal to the value of natural packing, and also in the column flow when the fraction, f, is lower than the natural packing fraction, f*. When f > f* in the column flow, the cohesion force becomes higher. This effect is clearly observed in a flow discharged from the pipe exit, as shown in Figure 4, where the continuous column is seen to be broken into solid bars with length two to five times the pipe diameter by the gravity force.
Figure 4. High snow fraction column flow of fresh-snow/water slurry discharging from pipe exit.
Figure 4. High snow fraction column flow of fresh-snow/water slurry discharging from pipe exit.
Sustainability 06 00530 g004
When the flow velocity, U, is kept constant at a low value, the pressure drop per unit length of the pipe, i, increases linearly with the snow fraction and the increasing gradient of i suddenly becomes steep at a certain value of f. The abrupt increase of pressure drop at this critical fraction is considered to correlate with the condition that the fraction attains the value of natural packing f*. That is, beyond this value, the whole pipe cross section is considered to be filled by compressed snow column. The increasing gradient of i below this fraction becomes more gradual with a higher flow velocity, and can become slightly negative when the flow velocity is still higher. For example, in the experiment for a D = 77 mm pipe, the gradient for the granulated-snow/water slurry became slightly negative when U = 3.0 m/s.
It is shown that the flow pattern of snow/water slurry in various diameter pipes is determined by the snow fraction, f, and a non-dimensional parameter defined as the ratio of flow energy to the energy required to break the snow cluster into particles [13].

2.3. Blocking Phenomenon of Snow/Water Slurry

When the whole pipeline is smooth, the blocking does not occur even for the compressed snow-column flow, as observed in Figure 4. The blocking is likely to occur at pipeline elements with high resistance or abrupt change in cross section, e.g., the pump in-take, valve, water separator, and orifice [10]. Figure 5 shows the plug of chipped ice, formed at a tube orifice, which caused the blocking. In this case, the plug cannot hold its shape when it is put out of the pipe as the cohesion force of coarse chipped ice particles is not so strong. In contrast, the cohesion force of fresh snow is so strong that the fresh snow, flowing out through small holes on the porous wall of inner pipe of water separator, can form “noodles”, as seen in Figure 6. In this case, a solid plug, as shown in Figure 7, was formed in the inner perforated plate tube, which caused the blocking.
Figure 5. Plug of chipped ice formed at a tube orifice.
Figure 5. Plug of chipped ice formed at a tube orifice.
Sustainability 06 00530 g005
Figure 6. Snow noodle formed at porous wall in a water separator.
Figure 6. Snow noodle formed at porous wall in a water separator.
Sustainability 06 00530 g006
Figure 7. Snow plug of fresh snow formed at a water separator.
Figure 7. Snow plug of fresh snow formed at a water separator.
Sustainability 06 00530 g007
To obtain the criterion for the blocking at a tube orifice, two tests were carried out. One was the element test, using an apparatus shown in Figure 8, and, the other, the pipeline blocking test in a vortex-pump and pipeline system, inserted with the tube orifice tested in the element test [15,16].
In the element test, an orifice of diameter dor is attached to an end of a pipe with diameter D = 52 mm and 985 mm in length, shown in Figure 8. The sample snow is put uniformly into the whole pipe length with a prescribed fraction. Then, the pipe is immersed in 0 °C water and flow is started at a constant velocity driven by a piston pump. The blocking process is observed and recorded by video. The pressure drop p2-p1 and the fraction upstream of the orifice are measured simultaneously, as shown in Figure 8. In this element test, the snow plug formed at the orifice has a hole (water path) through it as the initial column length is limited and no additional snow is supplied from upstream.
Figure 8. Element test apparatus for blocking experiments [15].
Figure 8. Element test apparatus for blocking experiments [15].
Sustainability 06 00530 g008
Figure 9 compares the behaviors of f and pressure drop p2-p1 through the plug for the chipped ice and the fresh snow slurries when the blocking has occurred. In the case of (a) chipped ice, the fraction, f, jumps to a considerably higher value when the blocking has occurred, and remains constant afterward. In contrast, in the case of (b) fresh snow, f increases gradually during 15 s before it attains a constant value. Although the change in the pressure drop p2-p1 is small in both cases, it would attain a larger value for the fresh snow if snow particles had been supplied continuously as in the case of a slurry flow tube in a pipeline system.
Figure 9. Behaviors of fraction and pressure drop when blocking has occurred in the element test [16]. (a) Chipped ice; (b) Fresh snow.
Figure 9. Behaviors of fraction and pressure drop when blocking has occurred in the element test [16]. (a) Chipped ice; (b) Fresh snow.
Sustainability 06 00530 g009
The conditions of flow velocity and initial fraction for occurrence of blocking, obtained by the element test, are shown in Figure 10 [16]. In the case of chipped ice, the blocking occurs at an initial fraction higher than around 10%, independent of the flow velocity. While, in the cases of fresh and granulated snows, the blocking occurs depending both on the initial fraction and the flow velocity. Especially for the fresh snow, the blocking occurs at the lowest initial fraction at flow velocities lower than around 0.1 m/s. The results of the element test showed that the fresh snow is gradually compressed upstream of the orifice to form a solid plug while the coarse solid chipped ice particles block the orifice by arching in the same way as non-cohesive coarse solid particles.
Figure 10. Blocking conditions of snow/water slurry at an orifice obtained by the element test [16]. (a) Chipped ice; (b) Granulated snow; (c) Fresh snow.
Figure 10. Blocking conditions of snow/water slurry at an orifice obtained by the element test [16]. (a) Chipped ice; (b) Granulated snow; (c) Fresh snow.
Sustainability 06 00530 g010
In the pipeline blocking test, the same orifice tested above is inserted in a horizontal straight pipe in a pump-pipeline system. It is initially operated at prescribed values of f and U. Then, the flow velocity is decreased step-wisely by adjusting the rotation speed of the feeding vortex pump while keeping the fraction constant until the formation of the compressed plug, stopping the flow, is observed at the orifice. Results of fresh snow slurry, thus obtained, are shown in Figure 11, compared with the results of the element test in Figure 10c [16]. They agree fairly well with each other, confirming that the blocking resulting from the compression of fresh snow plug occurs at a tube orifice in pipeline at the same criterion as observed in the element test.
Figure 11. Blocking condition of fresh-snow/water slurry at a tube orifice in pipeline compared with that of the element test [16].
Figure 11. Blocking condition of fresh-snow/water slurry at a tube orifice in pipeline compared with that of the element test [16].
Sustainability 06 00530 g011

2.4. Measurement of Compression Strengthening

As shown in the Section 2.2, the flow behavior of snow/water slurry is dominated by the cohesion force of particles in water. Hence, a technique to measure the cohesion stress σy of a naturally-packed cylindrical snow column test piece was devised in the NUT-TDC project [8]. As the results in the previous section indicate that the snow plug leading to the blocking is formed by the effect of “compression strengthening” of snow cluster in water, the technique is modified in this work to measure the compression strengthening behavior of a snow column, as shown in Figure 12. Procedure of this technique is as follows.
(1)
The test piece is formed in air by softly and naturally packing the particles in a circular pipe mold.
(2)
The mold filled with the test piece is placed on the bottom of a vacant cold water bath, and the mold is removed leaving the test piece un-deformed.
(3)
A ram is set on the upper surface of the test piece without adding load on it.
(4)
The bath is filled with 0 °C water to fully submerge the test piece.
(5)
The ram is driven at a prescribed constant velocity V to compress the test piece, and the load w and the volumetric snow fraction f of the test piece are measured until the test piece is completely crushed or the ram stops when w attains beyond the capacity of the driving motor.
For the measurement of f, the electro-conductometric method [9] using a pair of circular electrodes surrounded by a dummy annular pair, as shown in the Figure 12, was devised in this work.
Figure 12. Constant velocity compression test device.
Figure 12. Constant velocity compression test device.
Sustainability 06 00530 g012
Figure 13 shows an example of the compression process. The sample is imitation fresh snow with dp = 1 mm made by shaving ice. It is seen that the test piece is compressed axially, while the radial deformation remains insignificant, like the case of abrupt loading to measure the cohesion stress σy. Therefore, the compression ratio rh at a height h and the compression stress σ are defined by neglecting the radial distortion as follows:
rh = (h0 - h)/h0
Sustainability 06 00530 i001
h0, d0: initial height and diameter of test piece, respectively.
The result of imitation fresh snow is presented in Figure 14. In Figure 14a, the horizontal dotted line shows the value of σy of fresh snow obtained by the abrupt loading test, which corresponds to the case of very rapid compression, and the solid line shows result of stepwise loading test [8]. The latter was obtained by adding a load a little smaller than wy = σy d02/4) abruptly and step-wisely for every three minutes. Thus, the stepwise loading stands for the quasi-static loading, i.e., in the case the compression velocity is infinitesimally low.
Figure 13. Compression process of snow-particle column. Imitation fresh snow (dp = 1mm), d0 = 65 mm, h0 = 65 mm. (a) V= 1 mm/s; (b) V= 3 mm/s.
Figure 13. Compression process of snow-particle column. Imitation fresh snow (dp = 1mm), d0 = 65 mm, h0 = 65 mm. (a) V= 1 mm/s; (b) V= 3 mm/s.
Sustainability 06 00530 g013
Figure 14. Results of constant velocity compression test. Imitation fresh snow (dp = 1 mm). (a) Compression stress vs. compression ratio; (b) Snow fraction vs. compression ratio.
Figure 14. Results of constant velocity compression test. Imitation fresh snow (dp = 1 mm). (a) Compression stress vs. compression ratio; (b) Snow fraction vs. compression ratio.
Sustainability 06 00530 g014
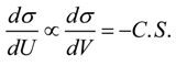
Figure 14a shows that the compression stress at significantly large compression ratios, say rh > 0.2, is larger when compression velocity V is lower, while the fraction at a fixed value of rh is equal irrespective of V as seen in Figure 14b. The increasing gradient of σ at rh > 0.2 for the lowest compression velocity V = 1 mm/s is almost equal to that of the stepwise loading test. In Figure 14b, the dotted curve shows f calculated for the initial volumetric fraction f0 = 34% based on the assumption that there is no radial distortion during the compression. The deviation of the measured value of f from this curve is due to a slight radial expansion of the column and/or collapse at its top part. Since the measured f ~ rh relationship is virtually unique irrespective of the compression velocity V, the deformation of the test piece is shown to be independent of V. The result is re-plotted as σ vs. f in Figure 15, in which the phenomenon of compression strengthening is more clearly observed in the fact that the compression stress σ at an equal fraction f is larger when the compression velocity V is lower. Using the results in Figure 14a, the magnitude of compression strengthening C.S. is estimated by
Sustainability 06 00530 i002
Here, Δσrh is determined as the average gradient of measured rh ~ σ curve at rh = 0.3~0.5 and V1, V2 = 1, 2mm/s.
Figure 15. Compression stress vs. snow fraction by constant velocity compression test. Imitation fresh snow (dp = 1 mm).
Figure 15. Compression stress vs. snow fraction by constant velocity compression test. Imitation fresh snow (dp = 1 mm).
Sustainability 06 00530 g015
The cohesive properties of the samples are summarized in Table 1.
Table 1. Cohesive properties of snow particles in water.
Table 1. Cohesive properties of snow particles in water.
SampledP (mm)f0 (%)σy (kPa)C.S. (kPa·s/m)
aFresh snow115~401.830 × 103 *
bGranulated Snow230~470.7-
cChipped ice1052<0.3-
*: for the imitation fresh snow.

3. Mechanism of Compression-Strengthening Blocking at a Tube Orifice

The blocking at the tube orifice is shown to be caused by two different mechanisms, one due to the arching observed for the coarse chipped-ice and, the other, the compressed plug, as seen in Figure 7. The latter is inherent to snow/water slurry and caused by the cohesive nature of snow particles in water. Generally speaking, the compressed plug type blocking at a tube orifice is more likely to occur for higher contraction ratio, smaller particle size, lower flow velocity, and higher snow fraction. However, the formation of continuous snow column filling the tube does not always result in the blocking.
At the tube orifice, the snow cluster (or column) is retarded and the snow fraction is higher than the value of the upstream undisturbed flow, meaning that the snow cluster is compressed continuously. When the power (energy per unit time) needed to break the cluster to pass through the orifice, Pthrough is smaller than the flow energy at the orifice per unit time, Pflow, the flow keeps steady state. If the cohesion strength of compressed cluster upstream the orifice is expressed by σ, Pthrough is considered to be proportional to Sustainability 06 00530 i003. As the pressure drop at the orifice is written as Sustainability 06 00530 i004, Pflow is considered to be proportional to Sustainability 06 00530 i005.
Hence, the condition to keep the flow steady without blocking is expressed as:
Sustainability 06 00530 i006
Although the value of [Πblock]crit is not determined at the present stage, the criterion gives rational explanation for the general tendency of occurrence of blocking as mentioned at the beginning of this Section. Especially, it predicts the results in Figure 10b,c, which show that the blocking can occur even when the fraction, f, is very low if the flow velocity, U, is lower than around 0.1 m/s. However, it is noted here that the value σ depends on f and compression velocity, as shown in Figure 15, of which the relationship is left for further investigations.
In the pipeline blocking test, trials to avoid blocking were carried out as follows. When the retarded snow cluster at the orifice was observed to grow into a plug filling the tube by reducing the flow rate, the rotation speed of the vortex pump was increased again to collapse it. In some cases this turned out successful, maybe because Pflow was increased and the condition given by Equation (4) was sustained. However, in many cases, this procedure did not recover the flow but resulted in formation of strongly compressed plug. From this observation, together with the measurement of compression strengthening, as given in Figure 15, the mechanism of the compressed plug blocking is considered as follows.
A steady flow is sustained when the condition given by Equation (4) is satisfied. Crisis of blocking occurs when a small disturbance, such as a small decrease of flow rate, or an increase in snow fraction, leads to breakdown of the balance of Pthrough and Pflow in an unstable way. As the most likely case, a small reduction of flow rate, i.e., in flow velocity U, results in a decrease of Pflow, while Pthrough will increase due to the compression strengthening, i.e., an increase in σ, since the compression velocity V of the plug is considered to be proportional to U.
To examine this idea, Πblock is differentiated by U assuming the fraction f to be constant, which gives:
Sustainability 06 00530 i007
In this equation, the first term of the numerator on the right hand side expresses the contribution of the compression strengthening and negative as:
Sustainability 06 00530 i008
The ratio of the first to the second term is given by (1/2) (/dV) U/σ. By applying the values for fresh snow in Table 1, this ratio at U = 1 m/s is estimated as the order of 103, showing that the effect of compression strengthening is the dominating factor to make [Πblock] larger than [Πblock]crit when the flow velocity, U, is slightly reduced.

4. Concluding Remarks

Hydraulic conveying of ice or snow is a promising energy technique as it can be applied to the cold energy transportation in a district cooling system to increase the energy density, and also to the system for urban snow removal and storage for air conditioning, which will realize amenity life in snowy cities, both in winter and summer by utilizing snow as a sustainable energy.
Snow (or ice)/water slurry has specific characteristics due to the cohesive nature of snow particles in water, unlike conventional slurries with non-cohesive solid particles. In this work, the mechanism of blocking of pipeline for snow/water slurry is investigated, and it is clarified that the compression strengthening of snow column flowing in a pipe is the essential cause of the blocking characteristic for snow/water slurry, and that such blocking is likely to occur at a highly resistant pipeline element, such as a tube orifice.
Before implementation of the hydraulic conveying of snow (or ice) as a new sustainable energy technique, further investigations are desired to establish a method to predict quantitatively the compression strengthening blocking and to develop techniques to avoid it. Hence, improvement of techniques presented in this work to measure the cohesion stress and the compression strengthening factor more precisely for various types of snow (or ice) particles which will be used in the above proposed systems is acutely desired.

Nomenclature

C.S.
Measure of compression strengthening defined by Equation (3)
D
Tube diameter
d, d0
Diameter of compression test piece, subscript “0” indicating the initial value
dor
Diameter of tube orifice
dp
Mean diameter of sample particle
f, f0, f*
Volumetric snow fraction, subscript “0” for initial value of compression test piece and * for natural packing fraction
h, h0
Height of compression test piece, subscript “0” indicating the initial value
i
Pressure drop per unit length
p1, p2
Pressure measured upstream the tube orifice (see Figure 8)
por
Pressure drop at tube orifice
Pflow
Flow energy per unit time (power) to drive snow cluster/column through tube orifice
Pthrough
Power required for snow cluster/column to pass through tube orifice
rh
Compression ratio defined by Equation (1)
U
Flow velocity
V
Compression velocity
w
Compression load on the test piece
Πblock
Non-dimensional parameter for compressed plug blocking
ρi, ρw
Density of ice and water
σ
Compression stress defined by Equation (2)
σy
Compression yield stress determined by the abrupt loading test

Conflicts of Interest

The authors declare no conflict of interest.

References

  1. Shirakashi, M.; Uchikura, A.; Umemura, T.; Okada, A.; Taniuchi, T.; Hayakawa, N. Hydraulic Conveying of Snow for Urban Snow Removal and Storage for Air Conditioning. In Proceedings of the 23rd IAHR World Congress, Ottawa, Canada, 21–25 August 1989; pp. 375–382.
  2. Umemura, T. System for urban snow removal and storage for air conditioning. Science 1987, March, 66–77. (in Japanese). [Google Scholar]
  3. Umemura, T.; Hayakawa, N.; Shirakashi, M.; Uchikura, A.; Taniuchi, H.; Honda, A. A feasibility study of a system of urban snow removal and storage, integrated with air conditioning, part III: An improvement of the system for Nagaoka city. Seppyo 1989, 51, 265–274. (in Japanese). [Google Scholar]
  4. Umemura, T.; Kobayashi, T.; Hatakeyama, A.; Sato, Y.; Shirakashi, M. Development of machines for hydraulic transportation of snow. Part 1. Snow feeder design with an assessment of blocking through solid fraction fluctuation analysis. Seppyo 1992, 54, 19–25. (in Japanese). [Google Scholar]
  5. Shirakashi, M. Characteristics of snow/water mixture flow and techniques for its measurement and control. Seppyo 1994, 56, 159–167. (in Japanese). [Google Scholar]
  6. Umemura, T.; Nakayama, M.; Uchiyama, A.; Tokunaga, Y.; Shirakashi, M. Hydraulic conveying of snow: VIII. Blocking of snow/water mixture flow and criterion of stagnation of snow at pipe orifice. Seppyo 1986, 48, 207–214. (in Japanese). [Google Scholar]
  7. Shirakashi, M.; Takahashi, M.; Uchikura, A. Hydraulic conveying of snow (Development of water separator, pressure drop at a gate valve and mechanism of choking). Jap. J. Multiphas. Flow 1990, 4, 61–71. [Google Scholar] [CrossRef]
  8. Kawada, Y.; Shirakashi, M.; Yamada, S. Flow characteristics of ice/water mixture slurry in a horizontal circular pipe. Seppyo 2001, 63, 11–19. (in Japanese). [Google Scholar]
  9. Kitahara, T.; Shirakashi, M.; Kajio, Y. Development of a snow-fraction meter based on the conductometric method. Ann. Glaciol. 1993, 18, 60–64. [Google Scholar]
  10. Tokunaga, Y.; Hashimoto, T.; Mizuguchi, K.; Shirakashi, M. Hydraulic conveying of snow. IX, development of techniques for high snow concentration. Seppyo 1987, 40, 59–66. (in Japanese). [Google Scholar]
  11. Kawada, Y.; Yamada, S.; Yoshida, K.; Okada, J.; Shirakashi, M.; Saito, A.; Hattori, M. Concept design of district cooling system utilizing ice/water mixture flow and development of storage tank. Seppyo 2001, 63, 35–48. (in Japanese). [Google Scholar]
  12. Mellor, M. Engineering properties of snow. J. Glaciology 1977, 19, 15–66. [Google Scholar]
  13. Hirochi, T.; Maeda, Y.; Yamada, S.; Shirakashi, M.; Hattori, M. Flow patterns of ice/water slurry in horizontal pipes. Trans. Asme. J. Fluids Eng. 2004, 126, 436–441. [Google Scholar] [CrossRef]
  14. Shirakashi, M.; Kitahara, T. Hydraulic conveying of snow and ice, III. Application of conductometric method to in-situ measurement of pipe flow. Seppyo 1996, 58, 215–222. (in Japanese). [Google Scholar]
  15. Hirochi, T.; Yamada, S.; Shintate, T.; Shirakashi, M. Ice/Water slurry blocking phenomenon at tube orifice. Ann. New York Acad. Sci. 2002, 972, 171–176. [Google Scholar] [CrossRef]
  16. Hirochi, T.; Yamada, S.; Shirakashi, M. Cohesive nature of ice particles and blocking phenomenon of ice/water slurry. Seppyo 2002, 64, 453–460. [Google Scholar]

Share and Cite

MDPI and ACS Style

Shirakashi, M.; Yamada, S.; Kawada, Y.; Hirochi, T. Blocking of Snow/Water Slurry Flow in Pipeline Caused by Compression-Strengthening of Snow Column. Sustainability 2014, 6, 530-544. https://doi.org/10.3390/su6020530

AMA Style

Shirakashi M, Yamada S, Kawada Y, Hirochi T. Blocking of Snow/Water Slurry Flow in Pipeline Caused by Compression-Strengthening of Snow Column. Sustainability. 2014; 6(2):530-544. https://doi.org/10.3390/su6020530

Chicago/Turabian Style

Shirakashi, Masataka, Shuichi Yamada, Yoshitaka Kawada, and Takero Hirochi. 2014. "Blocking of Snow/Water Slurry Flow in Pipeline Caused by Compression-Strengthening of Snow Column" Sustainability 6, no. 2: 530-544. https://doi.org/10.3390/su6020530

APA Style

Shirakashi, M., Yamada, S., Kawada, Y., & Hirochi, T. (2014). Blocking of Snow/Water Slurry Flow in Pipeline Caused by Compression-Strengthening of Snow Column. Sustainability, 6(2), 530-544. https://doi.org/10.3390/su6020530

Article Metrics

Back to TopTop