You are currently viewing a new version of our website. To view the old version click .
Sustainability
  • Article
  • Open Access

28 February 2025

Enhancing Education Outcomes Integrating Augmented Reality and Artificial Intelligence for Education in Nutrition and Food Sustainability

,
,
and
1
PIN S.c.r.l.—Educational and Scientific Services for the University of Florence, Prato Campus of University of Florence, Piazza Giovanni Ciardi, 25-59100 Prato, Italy
2
Department of Agriculture, Food, Environment and Forestry (DAGRI), University of Florence, Piazzale Delle Cascine, 18-50144 Florence, Italy
*
Author to whom correspondence should be addressed.
This article belongs to the Section Sustainable Education and Approaches

Abstract

Background/Objectives: The integration of Augmented Reality (AR) and Artificial Intelligence (AI) in educational applications presents an opportunity to enhance learning outcomes in young users. This study focuses on ARFood, a serious game designed to teach Generation Alpha about nutritional health and environmental sustainability. The objective is to evaluate and improve the effectiveness of the app’s AI-driven feedback mechanisms in achieving specific educational goals in these domains. Methods: ARFood features two AI-powered Non-Player Characters (NPCs), each programmed to evaluate virtual shopping carts created by users. The nutritional NPC provides feedback on dietary choices, while the sustainability NPC assesses environmental impacts. Ninety-three participants were involved, generating 83 virtual carts that were evaluated by both NPCs. Each NPC’s feedback was assessed for alignment with five predefined educational objectives per theme using a zero-shot RoBERTa classifier. An iterative process was employed to refine the NPC prompts, increase the weight of underrepresented objectives, and re-evaluate virtual carts until all objectives were satisfactorily addressed. Results: Initial evaluations revealed uneven alignment across educational objectives, particularly in areas such as resource conservation and balanced diet planning. Prompt refinement led to a significant improvement in feedback quality, with the final iterations demonstrating comprehensive coverage of all educational objectives. Conclusions: This study highlights the potential of AR and AI in creating adaptive educational tools. Iterative prompt optimization, supported by zero-shot classification, was effective in enhancing the app’s ability to deliver balanced, goal-oriented feedback. Future applications can leverage this approach to improve educational outcomes across various domains.

1. Introduction

The rapid evolution of educational technology has opened new avenues for delivering complex concepts to younger audiences. One such avenue is the use of serious games that merge entertainment with pedagogical goals. This paper focuses on a serious game designed to address two critical and intertwined topics: nutritional health and environmental sustainability. These issues are particularly relevant for Generation Alpha, who will grow up in a world facing mounting challenges related to food security and climate change.
Generation Alpha (born 2010–2025) was selected as the target audience for ARFood due to their strong affinity for digital technology and interactive learning environments, but also because adolescence is a critical period for shaping long-term dietary and sustainability behaviors. Research indicates that early exposure to nutrition education significantly influences future food choices, making this age group particularly receptive to interventions that promote healthy and sustainable consumption habits [1,2].
Traditional instructional methods often fail to engage younger learners, whereas AR-based serious games enhance motivation, attention, and cognitive engagement by providing interactive real-world simulations [3].
The app discussed in this study leverages Augmented Reality (AR) and Artificial Intelligence (AI) to create an engaging, interactive learning experience. Through AR, users interact with a virtual supermarket and select food items as they would in a real environment. Two AI-driven Non-Player Characters (NPCs), powered by ChatGPT, evaluate the choices made by users. Each NPC provides feedback tailored to one of two core educational themes: nutritional education or environmental sustainability.
AR offers a more immersive and interactive educational experience compared to traditional non-AR learning methods, particularly in the context of nutrition and sustainability education. Traditional approaches, such as text-based materials or classroom teaching, often fail to engage students in experiential learning, which is critical for developing critical thinking and decision-making skills. Augmented reality (AR) improves learning by integrating digital elements into real-world scenarios, allowing users to dynamically interact with virtual environments that simulate realistic shopping experiences. This interactivity is in line with research suggesting that active learning environments improve knowledge retention and motivation compared to passive methods of instruction [1].
A key advantage of AR lies in its ability to provide situated cognition, allowing students to apply their knowledge in realistic decision-making contexts. Instead of relying on theoretical explanations, serious games based on Augmented Reality present practical problem-solving situations, reinforcing learning through immediate feedback and adaptive guidance. Studies indicate that Augmented Reality favors greater involvement and cognitive processing, particularly among younger people who are accustomed to digital interfaces and interactive content [4,5]. Compared to static educational formats, Augmented Reality applications encourage users to explore, experiment, and receive real-time responses based on artificial intelligence, making the learning process more personalized and responsive to individual choices [6].
Augmented reality (AR) and serious games are proving to be transformative in the field of nutrition education. Research highlights their ability to enhance engagement, knowledge retention, and positively influence dietary behavior. For instance, Paramita et al. [7] emphasize that AR can reduce boredom and heighten interest in learning about nutrition. Interactive games and simulations are also effective tools. McMahon and Henderson [8] explore mobile-based pervasive games that utilize QR codes to promote dietary learning engagement for children. Similarly, Barwood et al. [9] report on computer games’ efficacy in promoting healthier food choices among young users. Educational innovations extend to professional training as well. Camacho and Guevara [10] note the benefits of AR in dietetics education, providing realistic and interactive training environments that surpass traditional methods.
Participatory game design is another promising approach. Leong et al. [11] detail the development of video games aimed at improving children’s nutrition knowledge, highlighting the importance of balancing engagement with concerns like screen time. Moreover, AR and Virtual Reality (VR) applications are gaining traction. For example, Pilut et al. [12] show how a VR grocery store tour can boost self-efficacy in purchasing healthy foods, suggesting broader implications for serious games in enhancing nutrition literacy. Overall, these studies collectively underscore the significant potential of AR and serious games in making nutrition education more effective and enjoyable.
In relation to the second educational objective, food sustainability, the intersection of food sustainability, serious games, and Augmented Reality (AR) is an innovative area of research that offers promising strategies for promoting sustainable eating habits and education. AR has been shown to effectively engage users by providing interactive experiences that enhance dietary behavior and support sustainable nutrition practices. Serious games leverage interactive and immersive gameplay to instill sustainable nutrition values. The game “You Better Eat to Survive!” exemplifies how virtual reality (VR) can incorporate real food consumption to enhance social interaction and sustainable eating behaviors [13]. Beyond traditional gameplay, AR and VR technologies foster more profound behavioral changes by simulating real-world experiences. A study by Plechatá et al. [14] demonstrated that VR interventions can reduce dietary footprints by enhancing awareness of the environmental impact of food choices. Meanwhile, Fritz et al. [15] show that AR enhances food desirability by enabling users to mentally simulate consumption, promoting healthier and more sustainable purchasing decisions.
ChatGPT is emerging as a promising tool in nutrition education, offering personalized learning experiences and supporting dietary education. For instance, Garcia [16] explores ChatGPT’s potential as a virtual dietitian, highlighting its ability to improve nutrition knowledge through personalized meal planning and educational materials. Similarly, Ray [17] notes the increasing use of AI technologies, including ChatGPT, in academic settings for nutrition and dietetics. The accuracy and effectiveness of ChatGPT in responding to nutrition-related questions have also been tested. Kirk et al. [18] found that ChatGPT provided more scientifically correct and actionable answers compared to human dieticians. However, Mishra et al. [19] caution against potential harm in complex medical nutrition scenarios, emphasizing the need for responsible use by healthcare professionals. Beyond individual learning, ChatGPT also aids in healthcare education. Sallam [20] highlights its role in personalized learning and critical thinking. Despite its potential, challenges like generating incorrect information remain, as noted by Lo [21]. ChatGPT’s application extends to specific patient groups, such as those with chronic kidney disease, where Acharya et al. [22] reports its potential for enhancing nutrition education through accurate and timely responses. While ChatGPT shows significant promise, further research is essential to refine its use and address its limitations in nutrition education [23]. This dual approach of leveraging technology while maintaining professional oversight could redefine the educational landscape of dietetics and nutrition.
While generative AI applications in education are rapidly emerging, current research has primarily focused on their ability to deliver personalized learning experiences and facilitate interactive dialogue. Studies have demonstrated the potential of AI to improve engagement and dynamically adapt content to learner needs. However, critical gaps remain unaddressed in the literature, particularly in the following areas.
Lack of Objective Evaluation Frameworks: existing AI-driven educational tools often lack a robust framework for evaluating their effectiveness against specific, measurable learning objectives. While they may improve user engagement, their alignment with predefined educational goals has seldom been systematically assessed.
Iterative Improvement Based on Learning Outcomes: most AI applications in education do not incorporate iterative processes to refine their content delivery based on feedback or performance relative to educational objectives. This limits their capacity to adapt and improve their ability to achieve targeted learning outcomes.
Integrating AI and AR into serious games. Although AR and AI have been used independently in education, their combined potential for immersive and adaptive learning experiences has not been explored. Furthermore, the integration of generative AI into AR-based serious games to achieve specific educational goals has not been explored in depth.
This study aims to fill these gaps by presenting an innovative framework for evaluating and optimizing AI-driven educational feedback in a serious game.
Integrating AI and AR into serious games presents a significant opportunity to enhance educational experiences. While Augmented Reality (AR) and Artificial Intelligence (AI) have been independently utilized in education, their combined potential for creating immersive, adaptive learning environments remains largely unexplored. Existing research has primarily focused on AR-driven engagement or AI-assisted learning without fully leveraging their synergistic capabilities. Furthermore, the use of generative AI in AR-based serious games to achieve structured educational outcomes has received little attention, with most applications relying on rule-based systems or static AI models that lack adaptability and iterative refinement. This study aims to fill these critical gaps by introducing an innovative framework for evaluating and optimizing AI-driven educational feedback in the context of serious games. ARFood, the focus of this study, is designed to educate Generation Alpha about nutritional health and environmental sustainability through an AI-enhanced AR experience.
This paper intends to explore how AR technology can be used as an educational tool to raise awareness about sustainable and healthy eating habits among teenagers. Rather than aiming for immediate behavioral changes, the primary goal of ARFood is to engage users in a simulated shopping experience that encourages reflection and informed decision-making. Through interactive scenarios and AI-driven feedback, the application helps users understand the nutritional and environmental impacts of their choices, in accordance with experiential learning principles.
Unlike existing AI-based serious games, which often rely on predefined feedback mechanisms or supervised learning models, ARFood incorporates an iterative AI-driven feedback refinement process. By leveraging zero-shot classification with RoBERTa, the system systematically evaluates and enhances NPCs’ responses to ensure alignment with educational objectives. Additionally, the integration of distinct linguistic styles represents a novel approach to engaging Generation Alpha in nutritional and sustainability education. This iterative refinement methodology not only personalizes feedback dynamically but also ensures comprehensive pedagogical coverage through a data-driven optimization process.
Based on the previous gaps, the research questions of the paper are as follows
RQ1.
How does the use of AR technology facilitate the creation of realistic virtual shopping carts, promote user interaction, and support educational outcomes related to purchasing behavior?
RQ2.
Can the responses of an AI-based generative non-player character (NPC) designed to communicate in an engaging and accessible language for Generation Alpha be systematically evaluated for alignment with specific educational goals?
RQ3.
Can the evaluation results be used to improve the appropriateness of NPC responses to specific educational objectives?

2. Materials and Methods

2.1. ARFood’s Storytelling

To explore the potential of integrating Augmented Reality (AR) and Artificial Intelligence (AI) in serious educational games, we developed ARFood—an app designed to teach Generation Alpha about nutritional health and environmental sustainability. ARFood is an educational Augmented Reality application designed to immerse middle school students in a journey of food education and sustainability awareness through interactive storytelling and gameplay.
ARFood is designed as an Augmented Reality (AR) application, which differs fundamentally from virtual reality (VR) in terms of interaction and user immersion. AR technology overlays digital elements onto the real-world environment, allowing users to engage with virtual objects while remaining in their physical environment. In contrast, VR creates a fully immersive digital environment that requires users to navigate a completely simulated world. In ARFood, users do not navigate within a fully 3D-rendered space as in VR games but instead interact with virtual shopping elements integrated into their real-world environment. The application employs AR-based overlays to simulate food selection and purchasing behaviors, providing AI-driven feedback in an interactive mixed-reality experience. This design enables engagement and decision-making without necessitating free movement in a digitally generated space.
To ensure accessibility and usability, ARFood incorporates a simple and intuitive interface with minimal text input requirements, favoring visual selection, interactive AR elements, and voice-assisted instructions to reduce cognitive overload. The gamified aspects of the app, including AI-powered feedback delivered through virtual characters (NutriBot and CyberFlora), scenario-based challenges, and progression mechanics, are specifically designed to resonate with younger learners. Additionally, the linguistic style of in-game NPCs was tailored to engage middle school students using conversational, age-appropriate language with playful and motivational tones.
A distinctive feature of the ARFood development process was the active participation of middle school students in creating target images used in the AR environment. By contributing to the design and implementation phases of the application, students were directly involved in programming tasks and visual content creation, fostering a sense of ownership and engagement with learning platforms. The adventure begins when players enter the ARFood universe, where they are asked to choose a nickname to establish their unique identity within the game. Players are then faced with the task of selecting the configuration of the household to which food will be allocated. Options range from a single person to a family of five, including the progressive choice of a ‘rainbow family’, which promotes inclusivity and reflects different modern family structures.
As players progress, they are transported to the heart of the app’s educational core: a virtual supermarket. This immersive environment serves as a dynamic classroom in which students can explore and understand the complexities of food choices, nutritional value, and environmental impact. Playing in the virtual supermarket involves the use of target cards designed by the students themselves. When scanned, these cards reveal detailed 3D models of a wide range of food products, adding an immersive dimension to the learning experience (Figure 1).
Figure 1. The virtual supermarket. “Porzioni da acquistare” means portions to be purchased; “Lascia” means Leave” Prendi” means “Take” “Scorri per scegliere la quantità” means scroll to choose the quantity; “Acquista” mean buy.
The supermarket is meticulously organized into different food categories with different nutritional values and ecological footprints: Processed and packaged products, fresh vegetable and animal products, organic or locally sourced foods, and home garden sections. A unique feature of the ARFood supermarket is that it allows students to engage with life-size 3D models of vegetable crops. Players can simulate food production and consumption at home, highlighting the joys and benefits of growing their own food and promoting sustainable living practices. By navigating these categories, students can understand the multifaceted nature of food consumption and its broader implications for their health and environmental sustainability.
At the end of the shopping experience, players’ choices are evaluated by two NPCs: NutriBot and CyberFlora. These characters were designed with distinct personalities and communication styles to resonate with young audiences and make educational content engaging and memorable.
The communication styles of the AI-powered NPCs, NutriBot and CyberFlora (Figure 2a,b), were designed to align with pedagogical best practices in digital learning environments, ensuring that the feedback was engaging, comprehensible, and conducive to behavioral reflection. The selection of distinct NPC personalities was guided by research on cognitive engagement, gamification, and adaptive learning, which suggests that varied interaction styles improve information retention and user motivation [5].
Figure 2. (a) Nutribot (b) Cyberflora (c) the diploma.
NutriBot, characterized by an energetic and playful tone with simplified and direct feedback, was tailored to resonate with younger learners, promoting quick comprehension and motivation. In contrast, CyberFlora adopted a more reflective, guidance-based communication style, encouraging critical thinking and deeper engagement with sustainability principles. This differentiation follows scaffolded learning approaches, in which varying levels of instructional support help accommodate different cognitive processing styles. The culmination of the ARFood experience is the delivery of a personalized diploma (Figure 2c). This diploma is more than just a certificate of completion; it encapsulates the player’s educational journey and reflects their learning and achievements during the game itself. It includes NutriBot and CyberFlora assessments that provide personalized feedback on the player’s choices and progress.

2.2. Methods

This study employs a five-step process to iteratively improve NPCs prompt effectiveness:
  • Initial Prompt Development: Each NPC is initialized with a base prompt designed to provide feedback aligned with its educational goals.
  • Data collection: A sample of participants interacts with the app, each generating a virtual shopping cart. Each cart is evaluated twice: once by the nutrition NPC and once by the sustainability NPC.
  • Educational Objective Decomposition: Nutritional education and sustainability education are each broken down into five specific objectives.
  • Evaluation Using Zero-Shot RoBERTa Classifier: a zero-shot classifier assesses how well the NPCs’ feedback aligns with the predefined educational objectives. For each evaluation, probabilities are assigned to indicate the relevance of the NPCs’ responses to the five objectives.
  • Prompt Refinement: Based on RoBERTa’s classification results, prompts are modified to emphasize underrepresented objectives. The app then re-evaluates the carts using the updated prompts.

2.2.1. Initial Prompt Development

ARFood was developed in Unity 3D, and integration with the OpenAI API was realized via a wrapper in C# by programming the OpenAI API with the following prompts: The Nutribot message was set using the following parameters:
{ role = “system”, content = “You are a character in a virtual reality serious game app. Introduce yourself as Dr. NutriBot. The purpose of the app is to teach middle school children about nutrition education. You are a virtual nutritional doctor. You must judge a weekly shopping cart that the game participants have virtually purchased and explain what they did right and what they did wrong. You must rate the groceries from 1 to 10. Each cart is a different game participant. Do all the grading in rap style in Italian. Also rate whether the number of servings is appropriate for the family’s weekly needs considering the number of people. Use a maximum of 200 words.”}
The CyberFlora message was set using the following parameters:
{ role = “system”, content = “You are a character in a virtual reality serious game app. Introduce yourself as CyberFlora professor of ecology. The purpose of the app is to teach middle school children about food sustainability and the ecological footprint of foods. You must judge a weekly shopping cart that the game participants have virtually purchased and explain what they did right and what they did wrong. Give a rating solely on ecological sustainability. Don’t do nutritional evaluations. Do the whole evaluation in New Age style. Use a maximum of 200 words.”}
When the player decides to finish shopping and move on to evaluation by the two characters, the app generates a text string describing the composition of the chosen family and the contents of the virtual shopping cart. The string constitutes the second argument of the message sent to the OpenAI API. Below is an example of the string.
{ role = “user”, content = “The weekly shopping is for a family of 2 person. My cart contains: 10 servings of fruit. 7 servings of vegetables. 2 servings of bread. 2 servings of pasta. 4 servings of rice. 1 portion of beef. 2 servings of fish. 1 serving of cheese. 3 servings of legumes. 3 servings of pizza. 4 servings of eggs. 2 servings of fruitcake. 1 serving of strawberries from home garden. 1 portion of home garden Zucchini. 1 portion of Peaches from home garden. 1 portion of Home-grown garden salad. 1 portion of home-grown garden tomatoes. 1 portion of Home-grown garden carrots. 2 servings of Km 0 Caciotta cheese. 1 portion of Km 0 oil.” }.
The app was developed in the Unity 3D programming environment.

2.2.2. Data Collection

The study involved the recruitment of participants from second- and third-year classes of a middle school. A total of 83 students participated, comprising 50.6% females and 49.4% males, with ages ranging from 12 to 16 years old. Each participant engaged with the ARFood app by creating a virtual shopping cart with various food items. The data collected included detailed records of the virtual cart contents, categorized by food type and household size.
After completing their shopping carts, each participant received evaluations from the two AI-powered Non-Player Characters (NPCs). Feedback from the NPCs was recorded separately, capturing both nutritional and sustainability assessments. Once the player’s ratings had been generated by the two NPCs NutriBot and CyberFlora, the app would create a database record containing the player’s nickname, the contents of the shopping basket, and the texts of the nutritional and environmental ratings. The record was sent to the teacher’s email. At the end of the 83 students’ experiences, the records were merged into a single database. A comprehensive dataset summarizing all participants’ shopping cart contents and the corresponding NPC evaluations is included in the Supplementary Material. This dataset serves as the basis for subsequent analyses.

2.2.3. Educational Objective Decomposition

The educational objectives of ARFood were developed based on evidence-based frameworks for nutrition and sustainability education. The selection process involved a literature review of existing guidelines for healthy and sustainable diets, including recommendations from the EAT-Lancet Commission and the FAO/WHO dietary guidelines [24]. Additionally, the learning objectives were aligned with pedagogical principles from research on food literacy and behavior change education.
To ensure the validity and relevance of these objectives, the criteria were reviewed by a panel of experts from the University of Florence, comprising nutritionists, sustainability educators, and AI specialists. The final set of objectives covered key themes, including balanced food group distribution, sustainability impact, and alignment with the recommended dietary guidelines. These objectives served as classification criteria for evaluating users’ virtual shopping carts, allowing the AI system to assess the extent to which user selections reflected the educational targets.
To ensure comprehensive educational feedback, the objectives of the nutritional NPC, referred to as NutriBot, were divided into eight specific goals.
  • Healthy Choices: Encouraging users to select nutrient-dense foods over highly processed or sugary options.
  • Balanced Diet: Promoting a diet that includes appropriate proportions of macronutrients (carbohydrates, proteins, and fats) and micronutrients (vitamins and minerals).
  • Variety of Foods: Emphasizing the importance of diverse food intake to ensure a well-rounded nutrient profile.
  • Nutritional Education: Providing foundational knowledge on food labels, nutrient functions, and the benefits of different food groups.
  • Portion Control: Teaching users how to manage portion sizes to avoid overeating while still meeting nutritional needs.
  • Snack Quality: Guiding users toward healthier snack options that align with their overall dietary goals.
  • Unhealthy Eating: Identifying and discouraging consumption patterns linked to negative health outcomes, such as excessive intake of sugary beverages or fast food.
  • Motivation to Healthy Eating: Fostering a positive attitude toward making consistent healthy choices and maintaining long-term dietary improvements.
These objectives aim to guide users toward healthier and more sustainable dietary habits than before. These dimensions are grounded in evidence-based dietary guidelines, which emphasize the importance of balanced and diverse nutrition in promoting health and preventing chronic diseases. These dimensions reflect the core dietary guidelines emphasized by organizations like the World Health Organization [25] and the Academy of Nutrition and Dietetics [26].
The evaluation of serious games in nutrition education aligns with key educational objectives supported by evidence-based practices in health promotion and behavior change. Research indicates that fostering Healthy Choices can significantly reduce the risk of chronic diseases by encouraging nutrient-dense food selections over processed options [9]. Promoting a Balanced Diet, including appropriate macronutrient and micronutrient ratios, is crucial for maintaining physiological health and preventing nutrient deficiencies, as emphasized in dietary guidelines [10]. Encouraging a Variety of Foods ensures comprehensive nutrient intake, a strategy linked to improved overall health outcomes [1,11]. Additionally, Nutritional Education through gamified content has been shown to enhance user understanding of food labels and nutrient functions, facilitating informed dietary decisions [8]. Addressing Portion Control aids in preventing overeating, a key factor in obesity prevention, as outlined by Frederico [8,27]. Moreover, guiding users toward higher Snack Quality supports the integration of healthier alternatives into daily habits, aligning with long-term dietary goals. By identifying Unhealthy Eating patterns, serious games can discourage behaviors associated with negative health outcomes, such as high consumption of sugary drinks and fast food [12]. Lastly, these interventions aim to build Motivation for Healthy Eating, a psychological component critical for sustaining dietary improvements over time [16]. These dimensions collectively support the use of serious games as effective tools for advancing nutritional knowledge and fostering healthy eating behaviors.
To effectively assess and improve the educational impact of the app, the concept of environmental sustainability was divided into eight specific objectives, each reflecting a critical aspect of ecological responsibility. These objectives guide the feedback provided by the NPC tasked with sustainability education, named CyberFlora:
  • Ecological Impact: Encouraging users to consider the broader environmental consequences of their food choices, such as habitat destruction and pollution.
  • Carbon Footprint: Promoting awareness of the greenhouse gas emissions associated with the production, transportation, and consumption of selected items.
  • Use of Sustainable Products: Highlighting the importance of selecting items made with sustainable resources or through environmentally friendly practices.
  • Waste Reduction: Teaching strategies to minimize food and material waste, emphasizing responsible consumption and proper disposal methods.
  • Support for Local Products: Advocating for locally sourced items to reduce transportation emissions and support regional economies.
  • Biodiversity Support: Encouraging choices that protect or enhance biodiversity, such as avoiding products linked to monoculture farming or deforestation.
  • Minimizing Packaging Waste: Highlighting the importance of selecting products with minimal or eco-friendly packaging to reduce plastic and non-biodegradable waste.
  • Organic Food Preference: Promoting the selection of organic products, which are grown without synthetic pesticides or fertilizers, contributing to healthier ecosystems.
Each of these objectives is integrated into the NPC’s evaluation framework, ensuring that the feedback aligns with specific, actionable goals. This decomposition allows for a focused and measurable approach to sustainability education, providing users with comprehensive guidance on improving their environmental impact through informed shopping decisions.
The integration of sustainability objectives into serious games is supported by a growing body of literature that highlights their potential to enhance educational outcomes. Serious games effectively foster environmental awareness by blending entertainment with educational content, thus engaging users in active learning processes. For instance, Lameras et al. [28] found that games designed around sustainability themes can significantly improve users’ understanding of ecological issues and promote conceptual shifts toward sustainable thinking. Similarly, Hallinger et al. [29] emphasize the importance of incorporating diverse sustainability dimensions—environmental, economic, and social—into game-based learning to achieve holistic educational impacts.
Moreover, the ability of games to simulate complex systems allows players to explore interdependencies within ecological and economic frameworks. Katsaliaki and Mustafee [30] highlight how decision-based games enhance the comprehension of sustainable development strategies by immersing users in realistic scenarios. This pedagogical strategy aligns with the findings of Fabricatore and López [31], who observed that interactive games not only improve problem-solving skills but also increase awareness of sustainability principles through engaging gameplay.
The structured feedback provided by game elements, such as NPC CyberFlora, further ensures that users receive actionable insights aligned with sustainability goals. This feedback mechanism is critical for reinforcing educational content and encouraging behavior change, as indicated by Emblen-Perry [32], who notes the role of serious games in promoting critical reflection on sustainability practices. These insights underscore the value of serious games as innovative tools for environmental education, capable of transforming abstract sustainability concepts into tangible learning experiences.
In designing ARFood, all educational objectives were treated as equally important, as there was no clear empirical basis in the literature to justify assigning different weights to specific learning goals. Research in nutrition and sustainability education generally presents these objectives as interconnected and complementary rather than hierarchically ranked in terms of educational impact [2,33]. Given the lack of evidence supporting differential prioritization, a balanced assessment framework was adopted to ensure that all objectives—ranging from nutritional awareness to sustainable food choices—were equally reinforced throughout the learning experience. This approach aligns with the broader perspective that holistic education fosters deeper cognitive integration of interrelated concepts, allowing learners to develop a more comprehensive understanding of food systems and their environmental implications.

2.2.4. Evaluation Using Zero-Shot RoBERTa Classifier

To assess the alignment of the NPCs’ feedback with the predefined educational objectives, a zero-shot classification approach was employed using a RoBERTa-based model.
The zero-shot RoBERTa classifier is an advanced tool designed to classify text without requiring specific training data for the unseen classes [34]. This approach leverages transfer learning, allowing the model to predict labels for entirely new categories based on pre-trained knowledge. Unlike traditional classifiers, zero-shot learning frameworks like RoBERTa extend the scope of applicability by embedding textual entailment, where the input text and potential labels are treated as a natural language inference problem [35].
The zero-shot RoBERTa classifier is an advanced tool designed to classify text without requiring specific training data for the unseen classes. This approach leverages transfer learning, allowing the model to predict labels for entirely new categories based on pre-trained knowledge. Unlike traditional classifiers, zero-shot learning frameworks like RoBERTa extend the scope of applicability by embedding textual entailment, where the input text and potential labels are treated as a natural language inference problem [35].
The selection of RoBERTa over alternative models, such as fine-tuned BERT and GPT-based classifiers, is justified by several key factors supported by comparative studies in the literature. RoBERTa, an optimized variant of BERT, modifies the pretraining methodology, leading to superior performance across various NLP tasks [36]. Unlike fine-tuned BERT, which requires extensive labeled datasets for task-specific training, RoBERTa effectively operates in a zero-shot setting, eliminating the need for large-scale manual annotations and allowing immediate adaptability to new objectives [37].
Compared to GPT-based classifiers, RoBERTa offers significant computational efficiency. While models such as GPT-3 and GPT-4 require substantial computational resources for fine-tuning and inference [38], RoBERTa is more efficient for classification tasks, making it a suitable choice for real-time educational applications. Additionally, generative models like GPT, although excelling at producing human-like text, often struggle with consistency in classification. RoBERTa, which was explicitly designed for language understanding tasks, provides greater reliability in aligning feedback with predefined educational objectives [37]. Another crucial advantage of RoBERTa is its reduced risk of “hallucination”, a phenomenon in which generative models fabricate misleading or irrelevant information. Unlike GPT, which generates text probabilistically, RoBERTa operates on direct probability distributions, leading to more structured and interpretable predictions [37].
Several studies have confirmed that RoBERTa surpasses BERT and its derivatives in tasks requiring contextual comprehension, making it ideal for text classification in educational settings [36]. Unlike BERT, which often necessitates extensive fine-tuning on domain-specific datasets, RoBERTa can be effectively implemented in zero-shot scenarios, facilitating adaptation to new domains without incurring high computational costs [37]. Moreover, compared to GPT models, RoBERTa strikes a balance between performance and computational cost, making it better suited for integration into real-time AI-driven educational games [38].
By incorporating these empirical findings, the choice of RoBERTa in this study is supported by substantial evidence attesting to its effectiveness and efficiency compared to other NLP models.
RoBERTa operates on the principle of contextual embedding, enriching classification by understanding the semantic relationships between input text and label descriptions. This capability is particularly useful for evaluating complex domains like nutrition education and sustainability, where predefined labels can be abstract [37,39,40]. For instance, a classifier may assess the probability that an evaluation aligns with specific learning objectives by calculating the similarity scores between the textual representations of the evaluation and each learning objective’s definition.
Mathematically, if T represents the textual input and L represents the label description, the classifier uses the function P(L|T) to compute the likelihood of L given T. This is often framed as follows:
P L T = e x p c o s E T , E ( L ) L e x p c o s E T , E ( L )
where E(·) denotes the embedding function and cos refers to the cosine similarity. This probabilistic approach ensures that even without explicit training data for a specific class, the model can infer the relationships and provide meaningful classifications [41].
Overall, zero-shot classification using RoBERTa exemplifies a robust methodology for evaluating learning objectives in domains where traditional labeled datasets are unavailable or infeasible to construct [42].
In applying the RoBERTa classifier, the evaluation was based on two sets of 10 educational objectives: nutrition education and food sustainability education. For each evaluation, the classifier assigns likelihoods to each objective within these sets, ensuring that the total probability of each set sums to 1.
This normalization approach can be mathematically expressed as
i = 1 10 P O i | T = 1
where P(Oi|T) is the likelihood of the i-th objective given the evaluation T, Oi represents an individual learning objective within the set, and the summation ensures that the distribution of probabilities across the objectives for each thematic set adheres to the principle of probability normalization.
The RoBERTa classifier was applied to the two corpora of NPC evaluations using the transforEmotion package in the R 4.3.0 software environment [43].

2.2.5. Prompt Refinement

The prompt refinement phase involved incorporating educational objectives directly into the programming of the two NPCs, NutriBot and CyberFlora. These objectives were previously used to evaluate the initial and more generic prompts. For NutriBot, the refined prompt explicitly integrated the goals of nutritional education as follows:
{“role” = “system”, “content” = “You are a character in a virtual reality serious game app. Introduce yourself as Dr. NutriBot. The purpose of the app is to teach middle school children about nutritional education. You are a virtual nutritional doctor. You must judge a weekly shopping cart that the game participants have virtually purchased and explain what they did right and what they did wrong. Pay special attention to portion size, portion control, unhealthy eating habits, junk food consumption, and snack quality. Be sure to address whether the portions are too large or too small, if junk food is overrepresented, and whether snacks are nutritious. You must rate the groceries from 1 to 10. Each cart is a different game participant. Do all the grading in rap style. Also, rate whether the number of servings is appropriate for the family’s weekly needs considering the number of people. Use a maximum of 200 words.”}
For CyberFlora, the refined prompt incorporated the goals of food sustainability education as follows:
{“role” = “system”, “content” = “You are a character in a virtual reality serious game app. Introduce yourself as CyberFlora, professor of ecology. The purpose of the app is to teach middle school children about food sustainability and the ecological footprint of foods. You must judge a weekly shopping cart that the game participants have virtually purchased and explain what they did right and what they did wrong. Focus particularly on the carbon footprint of the items, waste reduction, biodiversity support, and whether the food is organic or from a garden. Give a rating solely on ecological sustainability, avoiding nutritional evaluations. Do the whole evaluation in a peaceful, New Age style, using a maximum of 200 words.”}
These refined prompts were applied to a dataset of virtual shopping carts created by 79 students, generating two new sets of evaluations: one for nutritional education and another for sustainability. Both sets of judgments were then re-evaluated using the RoBERTa zero-shot classifier, following the same procedure outlined in Section 2.2.4. This iterative process ensured that the NPCs’ feedback was more aligned with educational goals, enhancing the overall pedagogical effectiveness of the app.

2.2.6. Ethical Considerations and Data Privacy Protections

The data management process in ARFood was designed to ensure participant privacy and compliance with ethical research standards. To safeguard data confidentiality, the application was programmed to send records via an automated system email address rather than using participants’ personal email accounts. This prevented any direct linkage between user email addresses and the generated shopping cart data, ensuring anonymity throughout the data transmission process.
Furthermore, the identities of the student participants were not known to the researchers. Players were only identified by the nickname they provided within the app, which was used exclusively to generate the diploma (Figure 2c) upon completion of the experience. No personally identifiable information (PII), such as real names or contact details, was collected or stored, thereby minimizing the risk of re-identification.
By implementing these privacy-preserving measures, ARFood adhered to ethical guidelines for digital data collection in educational research. The study was conducted in accordance with institutional ethical approval requirements, and all participants were informed about the nature of data collection, their anonymity, and their right to withdraw from the study before engaging with the application. These safeguards ensured that data integrity and privacy were maintained while allowing for the structured compilation of anonymized research data.

3. Results

3.1. The Dataset of Virtual Shopping Carts

3.1.1. Spending Behavior

To analyze the shopping behavior of adolescents using the AR-based serious game app, a standardization procedure was applied to data from 83 virtual shopping carts. This procedure normalized the quantity of each product to the percentage of the total products selected in each shopping cart. This step ensured comparability between the different shopping carts, as participants simulated purchases for different time periods, e.g., for daily or weekly needs, and for households with different numbers of members. By standardizing the data, preference and allocation patterns can be identified independently of absolute quantities.
Fruits and vegetables emerged as important components of shopping carts (Figure 3). Fruit accounted for a median of 11.1% and an average of 12.2% of the total cart, with some participants allocating up to 36.1% of their choices to this category. Vegetables were slightly less emphasized, with a median of 7.4% and an average of 7.3%, although the maximum contribution of 33.3% suggests that some adolescents gave high priority to this food group.
Figure 3. Boxplot of spending behavior of adolescents.
Locally grown and garden produce brought a further level of diversity to the trolleys. Items such as strawberries, courgettes, lettuce, tomatoes, and carrots were frequently included, with averages of 6.5%, 4.0%, 5.4%, 5.8%, and 4.8%, respectively. The highest values for strawberries (35.7%) and tomatoes (38.1%) highlight the occasional strong preference for fresh garden-grown produce. Local specialties, such as caciotta cheese and olive oil, played a minor but distinct role, with median contributions of 1.4% and 1.9%, respectively.
Staple foods, including bread, pasta, and rice, occupied a significant share of the carts, reflecting their centrality in meal planning. Bread had a median contribution of 4.8% and a mean contribution of 5.4%, with some participants dedicating up to 30% of their trolleys to this category. Pasta followed closely, with a median of 6.2% and an average of 6.7%, while rice was slightly less important, with a median of 4.5% and an average of 4.6%. These staples underline the importance of familiar and versatile ingredients in the purchasing decisions of adolescents.
Protein sources showed considerable variability between animal- and vegetable-based options. Animal proteins, such as chicken, beef, and fish, were generally less emphasized, with median contributions of 2.3%, 3.0%, and 2.9%, respectively. However, the inclusion of fish, in particular carts, reached 20%, indicating an occasional priority for this category. In contrast, proteins of vegetable origin, such as legumes and nuts, showed median contributions of 3.8% and 3.5%, respectively. Legumes were present in quantities up to 23.5%, while nuts reached a high of 33.3%, highlighting the potential appeal of these elements in promoting sustainable and healthy eating habits.
Dairy products and sweets played minor roles in the shopping carts. Milk represented a median of 3.6%, with maximum contributions reaching 20%, while cheese showed a median of 2.0% and an average of 2.2%. Sweets, although present, were generally not a priority, with a median contribution of 1.7% and a maximum contribution of 19.4%. This suggests that adolescents may have responded to implicit or explicit encouragement in their applications to focus on healthier food options.

3.1.2. Cluster Analysis

To further understand the spending patterns observed in the 83 virtual shopping carts created by adolescents with the AR application, a hierarchical clustering analysis was conducted. A standardized dataset, normalized to express the proportion of each product to the total items in the cart, was used to calculate the distance matrix. The Ward.D2 method was applied to the hierarchical clustering process, generating the attached dendrogram. The dendrogram (Figure 4) revealed the presence of three distinct clusters, comprising 21 observations in Cluster 1, three observations in Cluster 2, and 59 observations in Cluster 3.
Figure 4. Dendrogram of the cluster procedure.
Cluster 1, comprising 21 observations, reflects a balanced spending behavior characterized by a moderate emphasis on fruit and vegetables, with median contributions of 11.8% and 6.3% respectively (Figure 5). Commodities, such as bread and pasta, also occupy a prominent place, with median proportions of 8.3% for both categories. However, protein sources, particularly those of animal origin, such as chicken, beef, and fish, are minimally represented. The median contributions of these elements were negligible or nil, suggesting a limited focus on these categories. Proteins of vegetable origin, including legumes and nuts, are present but not highly emphasized, with median contributions of 1.5% and 3.8%, respectively. Dairy products, such as milk, had a higher presence, with an average of 6.7%. Locally grown products, such as strawberries, tomatoes, and courgettes, were relatively more important in this cluster, with average contributions of 11.9%, 7.7%, and 5.8%, respectively, underlining a preference for fresh produce. Local specialties, such as olive oil and caciotta cheese, had minimal contributions, with averages of 2.3% and 1.8%.
Figure 5. Boxplot of spending behavior by cluster.
Cluster 2, comprising only 3 observations, presents a distinctly different pattern, characterized by a high emphasis on fruit and vegetables (Figure 5). These categories have an average contribution of 16.1% and 22.4%, respectively. Dried fruits are another key component, with an average contribution of 20.3%. Commodities such as bread, pasta, and rice are largely neglected, with average contributions of 2.8%, 6.1%, and 0%, respectively. Animal protein, sweets, and dairy products were minimally represented, with negligible or no median values. This cluster is also characterized by the limited inclusion of garden articles and local specialties, which appear in very low proportions or are absent altogether. The spending pattern of Cluster 2 shows a focus on fresh and nutrient-dense categories, potentially reflecting preferences aligned with plant-based or minimalist dietary patterns.
Cluster 3, the largest group with 59 observations, represents a more diverse and balanced spending behavior (Figure 5). Fruits and vegetables remained important components, with average contributions of 12.4% and 6.9%, respectively. Commodities, including bread, pasta, and rice, were moderately represented, with average proportions of 4.8%, 6.3%, and 5.4%, respectively. Protein sources in this cluster showed a more even distribution, with average contributions of 3.1% for chicken, 4.1% for beef, and 3.3% for fish. Proteins of vegetable origin, such as legumes and nuts, also play a prominent role, with averages of 4.7% and 3.3%. Sweets, although present, were not a dominant category, with an average of 3.1%. Dairy products, including milk and cheese, made moderate contributions, with averages of 3.4% and 2.7%. Fruits, vegetables, and local specialties had a stronger presence in this cluster than in Cluster 2. Items such as strawberries, lettuce, and tomatoes contributed to the averages of 5.1%, 5.4%, and 6.2%, respectively. Local caciotta and olive oil were present in small but significant proportions, with averages of 2.3% and 2.1%.

3.2. Initial Prompt Results

The boxplots in Figure 6 summarize NutriBot’s performance in evaluating virtual shopping carts based on eight educational objectives. The results reveal a clear imbalance in how the NPC addresses these objectives in the initial prompt.
Figure 6. NutriBot box plots with the initial prompt.
Variety of Foods, Nutritional Education, and Motivation to Healthy Eating showed the highest levels of engagement. These objectives had relatively high median values (0.21, 0.15, and 0.23, respectively) and broader interquartile ranges, indicating consistent and thorough feedback. The high maximum values for these categories also highlight NutriBot’s strong focus on promoting dietary diversity and motivation for healthier choices.
In contrast, objectives like Portion Control, Snack Quality, and Unhealthy Eating received significantly less attention, with median values close to zero. Portion Control exhibited the lowest coverage, with most evaluations clustering near the minimum. This demonstrates that the initial prompt did not sufficiently guide NutriBot in addressing the critical aspects of nutrition education.
Additionally, Healthy Choices and Balanced Diet received moderate attention, with medians of 0.15 and 0.11, respectively. Although these objectives are more consistently covered than the lowest-performing ones, the distribution of scores suggests room for improvement in providing more comprehensive evaluations.
The boxplot analysis provides a detailed overview of CyberFlora’s evaluations across ten ecological objectives using the initial generic prompt (Figure 7). The boxplot visualizes the distribution of CyberFlora’s evaluations across eight educational objectives, highlighting significant disparities in how the NPC addresses these goals under the initial generic prompt. The red dashed line at 0.125 represents the balanced probability threshold, indicating the level at which all the objectives received equal attention.
Figure 7. CyberFlora box plots with the initial prompt.
The results show that CyberFlora prioritizes certain objectives disproportionately. The use of Sustainable Products stands out, with a mean probability of 0.5155 and a median of 0.5475, significantly exceeding the balanced threshold. Similarly, Support for Local Products also shows relatively high coverage, with a mean of 0.2100.
In contrast, several objectives fall well below the balanced threshold. Carbon Footprint, with a mean of 0.0096 and a median of 0.0079, and Ecological Impact, with a mean of 0.0709, are notably underrepresented. Waste Reduction, Biodiversity Support, and Organic Food Preference also displayed low probabilities, indicating a limited focus on these critical aspects of sustainability.
These findings suggest that the initial prompt guides CyberFlora to emphasize specific aspects of sustainability, particularly the use of sustainable and local products, while neglecting other equally important goals, such as reducing carbon footprint and promoting biodiversity. This imbalance underscores the necessity of refining the prompt to ensure more comprehensive coverage across all educational objectives.

3.3. Prompt Refinement Results

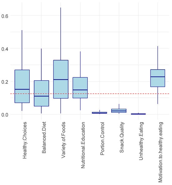
The graph in Figure 8 presents the distribution of NutriBot’s evaluations across the eight educational objectives after refining the prompt to explicitly incorporate these goals. The refined prompt led to a more balanced coverage of all objectives, as evidenced by the distribution of probabilities aligning closely with the equipartition probability of 0.125 (indicated by the red dashed line).
Figure 8. NutriBot box plots with the refined prompt.
Compared to the evaluations from the original generic prompt, where some objectives were overemphasized and others were largely neglected, the refined prompt ensured a more even representation. The boxplots show that the median probabilities for all eight objectives, including Healthy Choices, Balanced Diet, Variety of Foods, Nutritional Education, Snack Quality, Unhealthy Eating, Portion Control, and Motivation to Healthy Eating, hover near 0.125. Furthermore, the interquartile ranges (IQRs) are narrow and consistent, indicating low variability and stable performance across different evaluations.
This improvement underscores the success of the refined prompt in guiding NutriBot to provide comprehensive feedback. The probability that NutriBot addresses each educational objective is now more evenly distributed, thereby ensuring that all key aspects of nutritional education are adequately covered. This balanced feedback enhances the app’s effectiveness in promoting a holistic understanding of healthy eating among its users.
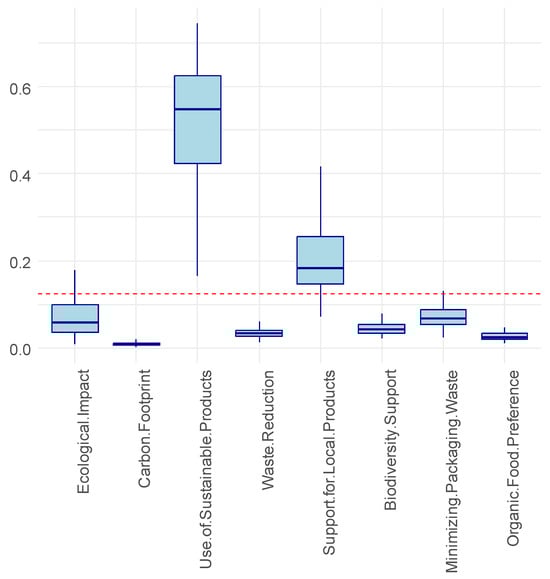
The boxplot in Figure 9 illustrates the distribution of CyberFlora’s evaluations across the eight educational objectives after refining the prompt to explicitly incorporate these targets. The refined prompt yielded significantly more balanced feedback compared to the initial generic prompt. The median values for all objectives, including Ecological Impact, Carbon Footprint, Use of Sustainable Products, Waste Reduction, Support for Local Products, Biodiversity Support, Minimizing Packaging Waste, and Organic Food Preference, were consistently close to the theoretical equipartition probability of 0.125 (1/8). This is highlighted by a red dashed line in the graph. The variability, as reflected by the interquartile ranges, was relatively low across objectives, suggesting that CyberFlora’s evaluations were evenly distributed. No single objective dominated, and none were significantly underrepresented. For instance, Carbon Footprint, Support for Local Products, and Biodiversity Support maintain similar probabilities to Waste Reduction and Organic Food Preference, showing that the NPC addresses each aspect of sustainability education with comparable frequency.
Figure 9. CyberFlora box plots with the refined prompt.
These findings mirror those observed with NutriBot’s refined prompt. The explicit integration of educational objectives leads to a more holistic and equitable evaluation process. This refined design ensures that CyberFlora provides feedback that thoroughly covers all key sustainability goals, thereby enhancing the educational impact of the app.
To assess the improvement in the topic probability distribution for NutriBot and CyberFlora, we computed four key statistical metrics: standard deviation, Shannon entropy, Euclidean distance from a uniform distribution, and coefficient of variation (CV). The standard deviation measures the spread of probabilities across topics, with lower values indicating a more balanced distribution. Shannon entropy quantifies the randomness in the probability distribution and reaches its maximum when all probabilities are equal. The Euclidean distance from a perfectly uniform probability distribution evaluates how closely the NPC’s outputs align with the ideal scenario in which all topics are equally represented. Finally, the coefficient of variation (CV) assesses the relative variability in topic representation, with lower values indicating a more equitable distribution.
For NutriBot, the results (Table 1) demonstrate a marked improvement in probability uniformity from Round 1 to Round 2. The standard deviation decreased from 0.2698 to 0.0136, indicating a substantial reduction in the disparity between the topic probabilities. The Shannon entropy increased from 1.5450 to 2.0731, suggesting a more evenly distributed representation of nutritional topics. The Euclidean distance from the uniform distribution significantly decreased from 0.8256 to 0.0359, confirming that the NutriBot’s outputs in Round 2 were much closer to an ideally balanced distribution. Additionally, the coefficient of variation saw a dramatic reduction from 1.0825 to 0.1087, reinforcing the finding that topic probabilities are now more homogeneous across different records than before.
Table 1. Comparison of Statistical Metrics for NutriBot and CyberFlora.
Similarly, for CyberFlora (Table 1), a comparable pattern of improvement was observed in the results. The standard deviation was reduced from 0.1776 to 0.0223, indicating a more consistent probability distribution across the ecological topics. The Shannon entropy increased from 1.3955 to 2.0644, reflecting an increase in the topic balance. The Euclidean distance from uniformity decreased sharply from 0.4700 to 0.0589, demonstrating that CyberFlora’s probability distribution is now significantly closer to the optimal state. Moreover, the coefficient of variation declined from 1.4211 to 0.1780, supporting the conclusion that the modifications in Round 2 led to a more equal representation of the ecological aspects.
In summary, both NutriBot and CyberFlora exhibited substantial improvements in the uniformity of their topic probability distributions from Round 1 to Round 2. The observed reductions in the standard deviation, Euclidean distance, and coefficient of variation, alongside the increases in entropy, confirm that the refinements made to these NPCs resulted in a more balanced topic representation, achieving the objective of equalizing the discussion across all relevant themes.

4. Discussion

The integration of Augmented Reality (AR) and Artificial Intelligence (AI) in education has shown great promise in addressing complex topics such as nutritional health and environmental sustainability, as evidenced by the ARFood app. The results of this study support its potential as an effective tool for engaging Generation Alpha in these critical areas.
In response to RQ1, the use of AR technology facilitated a realistic and engaging simulation, promoting user interaction and retention of the educational content.
The results of this study indicate that ARFood successfully facilitates a realistic simulation of purchasing behavior, allowing users to experiment with different food choices in a controlled environment. While it does not directly assess real-world behavioral change, research on game-based learning suggests that interactive and immersive environments significantly enhance knowledge retention and decision-making processes. Future studies could explore how knowledge gained through AR-based simulations translates to real-world consumption patterns by employing longitudinal tracking methods.
Overall, the virtual shopping cart data reveal a balanced allocation of resources among the major food groups, with fruits and vegetables consistently favored. The inclusion of staples such as bread, pasta, and rice reflects a practical approach to meal composition, while the relatively low emphasis on animal protein suggests an intentional preference for plant-based options or the influence of the app’s educational design. The presence of sweets and processed foods was significantly limited, which probably reflects both the app’s objectives and the engagement of adolescents with its framework for healthy eating habits.
This shopping pattern also has significant implications for environmental sustainability. The priority given to plant-based foods such as fruits, vegetables, legumes, and nuts over animal-based proteins is in line with dietary patterns that reduce greenhouse gas emissions and resource use. In addition, the emphasis on locally grown produce and gardens supports sustainable agricultural practices, minimizing transport-related emissions and fostering links with local food systems. By placing little emphasis on high-impact foods, such as beef and processed products, the adolescents in this study demonstrate a potential alignment with environmentally conscious consumption patterns. These findings highlight the role that gamified educational interventions can play in promoting not only healthier but also more sustainable eating behaviors, contributing to broader efforts to promote sustainable food systems. Further research should explore the long-term impact of such interventions on environmental attitudes and purchasing habits in the real world.
Cluster analysis reveals distinct spending patterns among the three groups of adolescents. Cluster 1 shows a balanced but low-protein spending behavior, with a preference for fresh produce. Cluster 2 emphasizes fruit, vegetables, and nuts, reflecting a minimalist, vegetable-oriented approach. Cluster 3, on the other hand, shows a varied and balanced pattern, integrating a wide range of food categories, including plant- and animal-based options. These results underline the potential of the AR serious game application to accommodate and reflect diverse food preferences, providing an educational platform that aligns with both individual choices and broader sustainability goals.
In response to RQ2, the identification of specific educational goals in nutrition and sustainability verified that simplified hip-hop style prompts for NutriBot and New Age style prompts for CyberFlora allowed for partial and limited alignment with the identified educational dimensions. Results from evaluating NutriBot ratings with the RoBERTa classifier confirm that the initial prompt strongly emphasizes fruit and vegetable balance, dietary diversity, and local and home-grown products, while consistently neglecting goals such as Portion Control, variety of protein sources, and whole foods and grains. These shortcomings underscore the need for immediate refinement to ensure that NutriBot provides a more comprehensive assessment of all educational objectives, thereby improving its effectiveness as an educational tool.
The uneven distribution of the relevance of CyberFlora’s ratings to the dimensions of food sustainability indicates that while the initial prompt was successful in eliciting responses related to some high-level sustainability goals, it failed to comprehensively address the others.
The identified gaps highlight the need for targeted and detailed prompt designs to ensure a balanced coverage of all educational goals. This finding underscores the importance of refining prompts to achieve a more holistic and effective educational experience.
Addressing RQ3, the iterative process proved instrumental in refining NPC responses to better align with educational objectives. For instance, NutriBot’s focus on underrepresented goals, such as Portion Control and Snack Quality, improved markedly with refined prompts, leading to a more holistic coverage of critical nutritional aspects. This improvement is evidenced by a significant increase in the alignment of feedback with predefined educational targets, highlighting NutriBot’s enhanced ability to guide users toward healthier dietary habits. Similarly, CyberFlora achieved a more balanced coverage across all sustainability objectives, addressing prior gaps in areas like waste reduction and Biodiversity Support. These refinements underscore the effectiveness of iterative evaluations, demonstrating how targeted adjustments can optimize the educational value of AI-driven tools. Moreover, this process highlights the adaptability of such technologies in evolving educational landscapes, ensuring their relevance and efficacy in addressing diverse learning needs. This study highlights that educational objectives were successfully achieved while preserving NutriBot’s hip-hop style and CyberFlora’s new-age tone. This demonstrates the feasibility of combining the accuracy and comprehensiveness of educational content with an engaging and dynamic communication style. These findings underscore the effectiveness of well-designed and rigorously tested prompts in delivering educational messages in a manner that is both informative and appealing to the target audience.
The study’s findings align with key sustainability frameworks, particularly the United Nations Sustainable Development Goals (SDGs) and the EAT-Lancet Commission’s planetary health diet. The preference for plant-based and locally sourced foods observed in participant choices supports SDG 12 (Responsible Consumption and Production) by promoting food selections that reduce environmental impact [24]. Additionally, integrating AI-driven sustainability feedback into educational tools like ARFood aligns with SDG 4 (Quality Education) by fostering experiential learning and awareness of dietary sustainability.
The findings of this study align with the existing literature on the use of Augmented Reality (AR) and Artificial Intelligence (AI) in education, particularly in the domains of nutrition and personalized learning.
The ARFood app’s use of AR to create engaging and realistic simulations for teaching nutritional health is consistent with the conclusions of Yigitbas and Mazur [44], who found that AR and Virtual Reality (VR) technologies effectively support healthy eating by providing additional product information and new learning applications. Similarly, McGuirt et al. [45] highlighted the potential of Extended Reality (XR) technologies to increase the accessibility and attractiveness of nutrition education programs, which aligns with ARFood’s approach to engaging Generation Alpha.
The iterative refinement of AI-based Non-Player Characters (NPCs) in ARFood to provide personalized feedback aligns with the findings of Maghsudi et al. [46,47], who noted that AI in higher education is used for assessment, evaluation, and intelligent tutoring systems, thereby enhancing personalized learning experiences.
The study’s iterative process to refine NPC responses for better alignment with educational objectives reflects the adaptability of AI-driven educational tools. The results confirm that the correct wording of prompts is crucial in the use of artificial intelligence (AI) in education, as it directly affects the quality and relevance of the responses generated. Recent studies have highlighted the importance of these practices. For example, Denny et al. [48] introduced the concept of ‘Prompt Problems to help students develop skills in creating effective prompts for code generators based on large language models (LLM). Furthermore, Ng and Fung [49] have shown that the careful design of prompts, including specific information about learners, effectively guides AI in generating coherent and pedagogically sound learning paths, improving the effectiveness of personalized instruction.
The ARFood app not only aligns with existing research on the use of Augmented Reality (AR) and Artificial Intelligence (AI) in education but also extends these findings in several significant ways. While previous studies have explored the use of AR and AI in nutrition education, ARFood uniquely combines these technologies to address both nutritional health and environmental sustainability. By guiding users toward balanced diets and eco-friendly food choices, ARFood provides a holistic educational experience that encompasses multiple dimensions of well-being. ARFood employs AI-based Non-Player Characters (NPCs) that offer tailored feedback on users’ food selections, enhancing the personalization of the learning experience. This approach builds on existing research by demonstrating the effectiveness of AI in delivering customized educational content, thereby increasing user engagement and knowledge retention. The development of ARFood involved an iterative process to refine NPC feedback to ensure alignment with educational objectives. This method not only improved the quality of the information provided, but also showcased the adaptability of AI-driven educational tools in meeting diverse learning needs. By incorporating gamified elements and immersive AR experiences, ARFood effectively engages Generation Alpha, catering to their digital proficiency and learning preferences. This strategy enhances motivation and participation, addressing the challenges identified in previous studies regarding student engagement in educational programs.
Unlike traditional supervised machine learning models, which require large labeled datasets, ARFood employs a RoBERTa-based zero-shot classification framework to iteratively refine the AI-generated feedback. This approach allows dynamic adaptation without the need for continuous retraining. Supervised learning models often achieve high accuracy when trained on well-structured datasets; however, they face challenges in scalability and adaptability when new educational objectives emerge [50]. ARFood circumvents these limitations by leveraging zero-shot classification, enabling the system to assess the relevance of AI feedback to predefined objectives without additional training data [51].
Similarly, ARFood differs from rule-based feedback systems that rely on predefined conditions and logical rules to generate responses. While rule-based approaches provide transparent and predictable feedback [52], they lack the ability to adapt dynamically to diverse learning scenarios. ARFood overcomes this rigidity by integrating a flexible AI-driven evaluation process that refines feedback iteratively based on a probabilistic alignment with educational goals.
Furthermore, while many AI-driven serious games employ generative AI models, such as GPT-4, to create personalized learning experiences, these models often lack an intrinsic evaluation mechanism to ensure alignment with pedagogical objectives. Without structured oversight, generative AI responses can become inconsistent, off-topic, or fail to address key learning goals [53]. In contrast, ARFood systematically integrates RoBERTa-based classification to analyze AI-generated feedback and refine it iteratively, ensuring that each interaction progressively enhances educational effectiveness.
By combining generative AI (ChatGPT 4o) with zero-shot classification (RoBERTa), ARFood represents an innovative hybrid approach that balances the flexibility of natural language generation with the structure of an objective-driven evaluation system. This dual-layer methodology not only ensures high-quality feedback tailored to user interactions but also guarantees that all educational objectives—ranging from nutritional awareness to sustainability practices—are covered comprehensively and equitably. Compared to traditional AI-driven feedback mechanisms, ARFood demonstrates greater adaptability, scalability, and effectiveness in optimizing educational outcomes within serious games [47,49].
However, this study has limitations. The sample size, while sufficient for the initial analysis, may not be generalizable to broader populations. Additionally, reliance on a single zero-shot classification model might overlook nuanced feedback gaps. The absence of longitudinal data limits our insights into the long-term behavioral impacts. Addressing these limitations in future research could involve expanding the participant base, incorporating diverse AI models, and conducting longitudinal studies to assess the sustainability of observed educational benefits.
Future developments could include integrating adaptive learning mechanisms to tailor feedback dynamically based on individual user progress. Expanding the application to address other sustainability and health topics, such as water conservation and physical activity, could further enhance its educational value. Finally, collaborative features that enable peer interactions may enrich learning experiences and foster collective awareness.
The potential of ARFood to influence real-world behaviors is an important consideration. While the application is not designed as a direct intervention tool, it serves as a learning environment where users can experiment with purchasing decisions, receive AI-driven feedback, and engage with sustainability concepts in a risk-free, gamified setting. Research on game-based learning and serious games suggests that immersive and interactive educational environments enhance knowledge retention and decision-making skills, which can lead to incremental behavioral changes over time [54]. Through a realistic virtual shopping simulation, ARFood fosters cognitive engagement with sustainable food choices, potentially influencing attitudes that extend beyond the game environment.
To further demonstrate the long-term impact of improved feedback on artificial intelligence, future research will focus on conducting pre/post knowledge assessments to measure learning gains over time. Longitudinal monitoring of behavior will make it possible to determine whether feedback-driven learning leads to lasting food and sustainability choices. Another important line of investigation will be the comparison of AI-enhanced and rule-based feedback to quantify the added value of iterative AI refinement in serious games. By integrating empirical assessments of knowledge retention and behavioral change, future studies could further validate AI-driven gamification strategies as transformative tools in education, health, and sustainability learning.
While this study focused on how AR facilitates a realistic and educationally meaningful simulation of purchasing behavior, future research should explore the role of engagement in enhancing learning effectiveness and behavior change. Engagement is a crucial factor in gamified educational interventions, influencing motivation, sustained interaction, and knowledge retention. To gain deeper insights into how AR-based serious games impact user engagement, future studies should incorporate quantitative engagement metrics, such as self-reported user experience surveys, time-on-task measurements, behavioral tracking, and physiological indicators (e.g., eye-tracking or emotional response analysis).
The study involved middle school students (ages 11–14) recruited from local school networks, ensuring that the participants reflected the target demographic for the AR-based learning intervention. However, since the sample was selected through convenience sampling, the findings may not be fully generalizable across different socioeconomic and cultural backgrounds. Future studies could enhance the robustness of these results by incorporating a more diverse participant pool that includes students from varied educational and geographic settings.

5. Conclusions

AI-driven adaptive learning is transforming personalized education by providing real-time, data-driven feedback that is adjusted to meet individual learning needs. Unlike traditional static educational models, AI systems dynamically modify content based on learner interactions, fostering self-regulated learning and deeper knowledge retention [55]. Feedback-driven learning plays a crucial role in this process, as AI-generated insights guide learners through iterative improvement cycles, enhancing their engagement and comprehension [56].
In serious games and gamified environments, adaptive AI enhances motivation and knowledge acquisition by tailoring feedback to users’ decision-making patterns, reinforcing positive behaviors, and correcting misconceptions in real-time [57]. Within sustainability education, AI-powered tools promote systems thinking and experiential learning, allowing students to dynamically explore real-world ecological and social challenges [58].
By integrating adaptive AI feedback with machine learning classification (RoBERTa), ARFood exemplifies a novel AI-driven pedagogical framework that personalizes educational experiences while ensuring a rigorous alignment with learning objectives. This hybrid approach advances both learning sciences and sustainability education, offering a scalable model for AI-enhanced knowledge acquisition and behavioral change [59].
This study explored the integration of Augmented Reality (AR) and Artificial Intelligence (AI) in the ARFood app, designed to educate Generation Alpha about nutritional health and environmental sustainability. By evaluating virtual shopping cart behaviors and refining AI-driven NPC feedback, the app effectively aligned with the predefined educational objectives. Key results include the successful application of iterative prompt refinement, leading to comprehensive coverage of nutritional and sustainability goals.
The findings underscore ARFood’s potential to enhance user engagement and learning outcomes through immersive and adaptive technologies. Users demonstrated improved awareness and decision-making regarding balanced diets and sustainable food practices. Despite some limitations, such as the sample size and the need for longitudinal data, this study provides a robust framework for future developments in educational serious games.
ARFood’s innovative approach highlights the possibilities of leveraging AR and AI in educational contexts. By addressing current gaps and expanding its scope, this framework can inspire broader applications, ultimately contributing to the development of informed, sustainability-conscious generations. From a curricular perspective, ARFood provides a flexible model that can be incorporated into nutrition education programs at the middle school level, aligning with existing learning standards in health sciences and environmental studies. By offering real-time, AI-driven feedback, AR-based platforms enable personalized, student-centered learning experiences, which can be particularly useful in differentiated instruction strategies for diverse learning needs [2]. Policymakers in education ministries and public health institutions can leverage similar approaches to promote food literacy, sustainable consumption habits, and digital competency among students.

Supplementary Materials

The following supporting information can be downloaded at: https://www.mdpi.com/article/10.3390/su17052113/s1, Database.

Author Contributions

Conceptualization, I.C., T.B., M.B. and I.B.; methodology, I.B.; software, I.B. and M.B.; validation, I.C., I.B. and T.B.; data curation, I.B. and T.B. writing—original draft preparation, I.B.; writing—review and editing, I.B.; visualization, T.B.; supervision, I.C.; project administration, I.C. All authors have read and agreed to the published version of the manuscript.

Funding

This research did not receive any external funding.

Institutional Review Board Statement

The study was conducted in accordance with the principles of the Declaration of Helsinki. Ethical review and approval were waived for this study because the University of Florence Ethics Committee exempted our research from obtaining ethical clearance because it was not an interventional or medical study.

Data Availability Statement

The original data presented in this study are included in the Supplementary Material. Further inquiries should be directed to the corresponding author.

Acknowledgments

We would like to express our heartfelt gratitude to Principal Valeria Bonatti and the teaching staff of Istituto comprensoriale statale Giovanni Falcone e Paolo Borsellino in Gavorrano (GR). for their invaluable support and collaboration in this study. Their dedication and commitment to education have greatly contributed to the success of this study.

Conflicts of Interest

The authors declare no conflicts of interest.

References

  1. Lytle, L.A.; Murray, D.M.; Perry, C.L.; Story, M. School-based approaches to affect adolescents’ diets: Results from the TEENS study. Health Educ. Behav. 2002, 29, 219–230. [Google Scholar] [CrossRef]
  2. Contento, I.R. Nutrition Education: Linking Research, Theory, and Practice; Jones & Bartlett Publishers: Maynard, MA, USA, 2011. [Google Scholar]
  3. Di Serio, Á.; Ibáñez, M.B.; Kloos, C.D. Impact of an augmented reality system on students’ motivation for a visual art course. Comput. Educ. 2013, 68, 586–596. [Google Scholar] [CrossRef]
  4. Huang, W.H.; Soman, D. A Practitioner’s Guide to Gamification of Education. Rotman School of Management. 2013. Available online: https://mybrainware.com/wp-content/uploads/2017/11/Gamification-in-Education-Huang.pdf (accessed on 7 January 2024).
  5. Hamari, J.; Shernoff, D.J.; Rowe, E.; Coller, B.; Asbell-Clarke, J.; Edwards, T. Challenging games help students learn: An empirical study on engagement, flow, and immersion in game-based learning. Comput. Hum. Behav. 2016, 54, 170–179. [Google Scholar] [CrossRef]
  6. Radu, I. Augmented reality in education: A meta-review and cross-media analysis. Pers. Ubiquitous Comput. 2014, 18, 1533–1543. [Google Scholar] [CrossRef]
  7. Paramita, A.; Yulia, C.; Nikmawati, E.E. Augmented reality in nutrition education. In IOP Conference Series: Materials Science and Engineering; IOP Publishing: Bristol, UK, 2021; Volume 1098, p. 022108. [Google Scholar]
  8. McMahon, M.; Henderson, S. Enhancing nutritional learning outcomes within a simulation and pervasive game-based strategy. In Digital Games and Learning; de Freitas, S., Maharg, P., Eds.; IGI Global: Hershey, PA, USA, 2011; pp. 131–143. [Google Scholar] [CrossRef]
  9. Barwood, D.; Smith, S.; Miller, M.R.; Boston, J.; Masek, M.; Devine, A. Transformational game trial in nutrition education. Aust. J. Teach. Educ. 2020, 45, 18–29. [Google Scholar] [CrossRef]
  10. Camacho, S.; Guevara, R. Augmented reality and simulation in dietetics education. J. Nutr. Educ. Behav. 2014, 46, S77–S78. [Google Scholar] [CrossRef]
  11. Leong, C.; Liesaputra, V.; Morrison, C.; Parameswaran, P.; Grace, D.; Healey, D.; Ware, L.; Palmer, O.; Goddard, E.; Houghton, L. Designing video games for nutrition education: A participatory approach. J. Nutr. Educ. Behav. 2021, 53, 613–620. [Google Scholar] [CrossRef]
  12. Pilut, J.; Litchfield, R.; Hollis, J.; Lanningham-Foster, L.; Wolff, M. Virtual reality grocery store tour: Impact on nutrition education and self-efficacy. J. Acad. Nutr. Diet. 2021, 121, A17. [Google Scholar] [CrossRef]
  13. Arnold, P.; Khot, R.A.; Mueller, F.F. “You Better Eat to Survive” Exploring Cooperative Eating in Virtual Reality Games. In Proceedings of the Twelfth International Conference on Tangible, Embedded, and Embodied Interaction, Stockholm, Sweden, 18–21 March 2018; pp. 398–408. [Google Scholar]
  14. Plechatá, A.; Morton, T.; Perez-Cueto, F.J.; Makransky, G. A randomized trial testing the effectiveness of virtual reality as a tool for pro-environmental dietary change. Sci. Rep. 2022, 12, 14315. [Google Scholar] [CrossRef]
  15. Fritz, W.; Hadi, R.; Stephen, A. From tablet to table: How augmented reality influences food desirability. J. Acad. Mark. Sci. 2023, 51, 503–529. [Google Scholar] [CrossRef]
  16. Garcia, M.B. ChatGPT as a virtual dietitian: Exploring its potential as a tool for improving nutrition knowledge. Appl. Sci. 2023, 6, 96. [Google Scholar] [CrossRef]
  17. Ray, P. Is ChatGPT really helpful for nutrition and dietetics? J. Acad. Nutr. Diet. 2023, 123, 593–598. [Google Scholar] [CrossRef] [PubMed]
  18. Kirk, D.; van Eijnatten, E.J.M.; Camps, G. Comparison of answers between ChatGPT and human dieticians to common nutrition questions. J. Nutr. Metab. 2023, 2023, 5548684. [Google Scholar] [CrossRef]
  19. Mishra, V.; Jafri, F.; Kareem, N.A.; Aboobacker, R.; Noora, F. Evaluation of accuracy and potential harm of ChatGPT in medical nutrition therapy: A case-based approach. F1000Research 2024, 13, 137. [Google Scholar] [CrossRef]
  20. Sallam, M. ChatGPT utility in healthcare education, research, and practice: Systematic review on the promising perspectives and valid concerns. Healthcare 2023, 11, 887. [Google Scholar] [CrossRef]
  21. Lo, C. What is the impact of ChatGPT on education? A rapid review of the literature. Educ. Sci. 2023, 13, 410. [Google Scholar] [CrossRef]
  22. Acharya, P.; Alba, R.; Krisanapan, P.; Acharya, C.M.; Suppadungsuk, S.; Csongrádi, É.; Mao, M.; Craici, I.M.; Miao, J.; Thongprayoon, C.; et al. AI-driven patient education in chronic kidney disease: Evaluating chatbot responses against clinical guidelines. Diseases 2024, 12, 185. [Google Scholar] [CrossRef]
  23. Güner, E.; Ülker, M.T. Can artificial intelligence replace dietitians? A conversation with ChatGPT. J. Food Nutr. Guid. 2024, 4, 2474. [Google Scholar] [CrossRef]
  24. FAO; WHO. Sustainable Healthy Diets: Guiding Principles; Food and Agriculture Organization of the United Nations (FAO): Rome, Italy, 2020. [Google Scholar]
  25. World Health Organization. Guideline: Dietary Guidelines and Principles for Healthy Eating; World Health Organization: Geneva, Switzerland, 2020. [Google Scholar]
  26. Academy of Nutrition and Dietetics. Nutrition and Health Promotion. 2021. Available online: https://www.eatright.org/ (accessed on 7 January 2024).
  27. Frederico, C. Results of a dietitian survey about nutrition games. Games Health J. 2012, 1, 44–48. [Google Scholar] [CrossRef]
  28. Lameras, P.; Petridis, P.; Dunwell, I. Raising awareness on sustainability issues through a mobile game. In Proceedings of the 2014 International Conference on Interactive Mobile Communication Technologies and Learning (IMCTL), Thessaloniki, Greece, 13–14 November 2014; pp. 107–112. [Google Scholar] [CrossRef]
  29. Hallinger, P.; Wang, R.; Chatpinyakoop, C.; Nguyen, V.T.; Nguyen, U.P. A bibliometric review of research on simulations and serious games used in educating for sustainability, 1997–2019. J. Clean. Prod. 2020, 256, 120358. [Google Scholar] [CrossRef]
  30. Katsaliaki, K.; Mustafee, N. Edutainment for sustainable development. Simul. Gaming 2015, 46, 647–672. [Google Scholar] [CrossRef]
  31. Fabricatore, C.; López, X. Complexity-based learning and teaching: A case study in higher education. Innov. Educ. Teach. Int. 2014, 51, 618–630. [Google Scholar] [CrossRef][Green Version]
  32. Emblen-Perry, K. Enhancing student engagement in business sustainability through games. Int. J. Sustain. High. Educ. 2018, 19, 635–650. [Google Scholar] [CrossRef]
  33. Willett, W.; Rockström, J.; Loken, B.; Springmann, M.; Lang, T.; Vermeulen, S.; Garnett, T.; Tilman, D.; DeClerck, F.; Wood, A.; et al. Food in the Anthropocene: The EAT–Lancet Commission on healthy diets from sustainable food systems. Lancet 2019, 393, 447–492. [Google Scholar] [CrossRef]
  34. Jung, Y.L. Market intelligence applications leveraging a product-specific Sentence-RoBERTa model. Appl. Soft Comput. 2024, 165, 112077. [Google Scholar] [CrossRef]
  35. Lake, T. Flexible job classification with zero-shot learning. arXiv 2022, arXiv:2209.12678. [Google Scholar] [CrossRef]
  36. Liu, Y.; Ott, M.; Goyal, N.; Du, J.; Joshi, M.; Chen, D.; Levy, O.; Lewis, M.; Zettlemoyer, L.; Stoyanov, V. RoBERTa: A robustly optimized BERT pretraining approach. arXiv 2019, arXiv:1907.11692. [Google Scholar]
  37. Gera, A.; Halfon, A.; Shnarch, E.; Perlitz, Y.; Ein-Dor, L.; Slonim, N. Zero-shot text classification with self-training. arXiv 2022, arXiv:2210.17541. [Google Scholar]
  38. Brown, T.; Mann, B.; Ryder, N.; Subbiah, M.; Kaplan, J.; Dhariwal, P.; Neelakantan, A.; Shyam, P.; Sastry, G.; Askell, A.; et al. Language models are few-shot learners. Adv. Neural Inf. Process. Syst. 2020, 33, 1877–1901. Available online: https://arxiv.org/abs/2005.14165 (accessed on 7 January 2024).
  39. Bender, E.M.; Koller, A. Climbing towards NLU: On meaning, form, and understanding in the age of data. In Proceedings of the 58th Annual Meeting of the Association for Computational Linguistics, Online, 5–10 July 2020; pp. 5185–5198. Available online: https://www.aclweb.org/anthology/2020.acl-main.463 (accessed on 7 January 2024).
  40. Boitel, E.; Mohasseb, A.; Haig, E. A comparative analysis of GPT-3 and BERT models for text-based emotion recognition: Performance, efficiency, and robustness. In UK Workshop on Computational Intelligence; Springer Nature: Cham, Switzerland, 2023; pp. 567–579. [Google Scholar]
  41. Daghaghi, S.; Medini, T.; Shrivastava, A. Semantic similarity based softmax classifier for zero-shot learning. arXiv 2019, arXiv:1909.04790. [Google Scholar]
  42. Wang, W.; Zheng, V.; Yu, H.; Miao, C. A survey of zero-shot learning. ACM Trans. Intell. Syst. Technol. (TIST) 2019, 10, 1–37. [Google Scholar] [CrossRef]
  43. Tomašević, A.; Christensen, A.; Golino, H. Transforemotion: Sentiment Analysis for Text, Image and Video Using Transformer Models (Version 0.1.5) [Software]. 2024. Available online: https://CRAN.R-project.org/package=transforEmotion (accessed on 7 January 2024).
  44. Yigitbas, E.; Mazur, J. Augmented and Virtual Reality for Diet and Nutritional Education: A Systematic Literature Review. In Proceedings of the 17th International Conference on PErvasive Technologies Related to Assistive Environments, Crete, Greece, 26–28 June 2024; pp. 88–97. [Google Scholar]
  45. McGuirt, J.T.; Cooke, N.K.; Burgermaster, M.; Enahora, B.; Huebner, G.; Meng, Y.; Tripicchio, G.; Dyson, O.; Stage, V.C.; Wong, S.S. Extended reality technologies in nutrition education and behavior: Comprehensive scoping review and future directions. Nutrients 2020, 12, 2899. [Google Scholar] [CrossRef] [PubMed]
  46. Maghsudi, S.; Lan, A.; Xu, J.; van Der Schaar, M. Personalized education in the artificial intelligence era: What to expect next. IEEE Signal Process. Mag. 2021, 38, 37–50. [Google Scholar] [CrossRef]
  47. St-Hilaire, F.; Vu, D.D.; Frau, A.; Burns, N.; Faraji, F.; Potochny, J.; Robert, S.; Roussel, A.; Zheng, S.; Glazier, T.; et al. A new era: Intelligent tutoring systems will transform online learning for millions. arXiv 2022, arXiv:2203.03724. [Google Scholar]
  48. Denny, P.; Leinonen, J.; Prather, J.; Luxton-Reilly, A.; Amarouche, T.; Becker, B.A.; Reeves, B.N. Promptly: Using prompt problems to teach learners how to effectively utilize ai code generators. arXiv 2023, arXiv:2307.16364. [Google Scholar]
  49. Ng, C.; Fung, Y. Educational Personalized Learning Path Planning with Large Language Models. arXiv 2024, arXiv:2407.11773. [Google Scholar]
  50. Hsu, K.J.; Chang, C.Y.; Hwang, G.J. Developing a Chatbot-based learning environment to enhance the retention and transfer of science learning in a self-paced setting. Interact. Learn. Environ. 2021, 29, 1052–1070. [Google Scholar]
  51. Yin, W.; Hay, J.; Roth, D. Benchmarking zero-shot text classification: Datasets, evaluation and entailment approach. arXiv 2019, arXiv:1909.00161. [Google Scholar]
  52. Skiadopoulos, T.; Christopoulou, C.; Antoniou, A. Exploring the potential of rule-based and AI-driven feedback mechanisms in serious games. Simul. Gaming 2022, 53, 179–202. [Google Scholar]
  53. Dwivedi, Y.K.; Kshetri, N.; Hughes, D.L.; Baabdullah, A.M.; Ribeiro-Navarrete, S.; Giannakis, M.; Albanna, B. “So what if ChatGPT wrote it?” Multidisciplinary perspectives on opportunities, challenges, and implications of generative conversational AI for research, practice, and policy. Int. J. Inf. Manag. 2023, 71, 102642. [Google Scholar] [CrossRef]
  54. Wouters, P.; Van Nimwegen, C.; Van Oostendorp, H.; Van Der Spek, E.D. A meta-analysis of the cognitive and motivational effects of serious games. J. Educ. Psychol. 2013, 105, 249–265. [Google Scholar] [CrossRef]
  55. VanLehn, K. The relative effectiveness of human tutoring, intelligent tutoring systems, and other tutoring systems. Educ. Psychol. 2011, 46, 197–221. [Google Scholar] [CrossRef]
  56. Shute, V.J. Focus on formative feedback. Rev. Educ. Res. 2008, 78, 153–189. [Google Scholar] [CrossRef]
  57. Aleven, V.; McLaughlin, E.A.; Glenn, R.; Koedinger, K.R. Instruction based on adaptive learning technologies. In Handbook of Research on Learning and Instruction; Routledge: New York, NY, USA, 2016; pp. 522–560. [Google Scholar]
  58. Tilbury, D. Education for Sustainable Development: An Expert Review of Processes and Learning; UNESCO: Paris, France, 2011. [Google Scholar]
  59. Wiek, A.; Withycombe, L.; Redman, C.L. Key competencies in sustainability: A reference framework for academic program development. Sustain. Sci. 2011, 6, 203–218. [Google Scholar] [CrossRef]
Disclaimer/Publisher’s Note: The statements, opinions and data contained in all publications are solely those of the individual author(s) and contributor(s) and not of MDPI and/or the editor(s). MDPI and/or the editor(s) disclaim responsibility for any injury to people or property resulting from any ideas, methods, instructions or products referred to in the content.

Article Metrics

Citations

Article Access Statistics

Multiple requests from the same IP address are counted as one view.