Research on Summer Maize Irrigation and Fertilization Strategy in Henan Province Based on Multi-Objective Optimization Model
Abstract
1. Introduction
2. Materials and Methods
2.1. Overview of the Experimental Site
2.2. Experimental Design
2.3. Index Measurement and Calculation
2.3.1. Measurement of Plant Nitrogen Accumulation
2.3.2. Yield Measurement
2.3.3. Calculation of Nitrogen Fertilizer Indicators
- Harvest index of nitrogen (HIN) (%):
- 2.
- Partial factor productivity of nitrogen fertilizer (PFPN) (kg/kg):
- 3.
- Agronomic efficiency of nitrogen fertilizer (AEN) (kg/kg):
- 4.
- Nitrogen use efficiency (UEN) (%):
2.3.4. Sampling and Calculation of Farmland Soil CO2 Emission Flux
2.4. Multi-Objective Optimization Model Based on Genetic Algorithm
2.5. Data Processing
3. Results
3.1. Influence of Different Water and Nitrogen Conditions on Summer Maize Yield and Its Constituent Factors
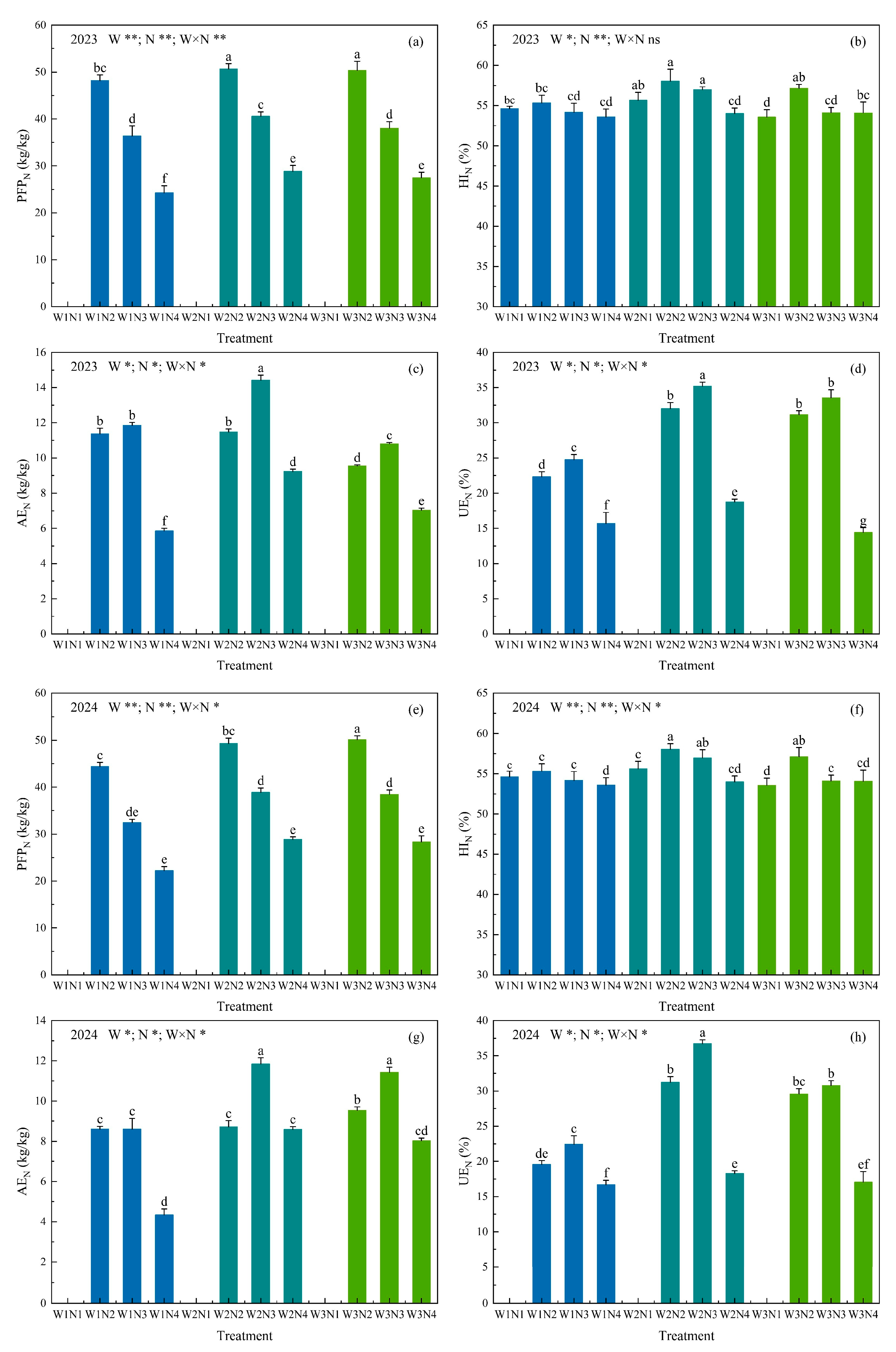
3.2. Influence of Different Water and Nitrogen Conditions on the Utilization of Nitrogen Fertilizer in Summer Maize
3.3. Influence of Different Water and Nitrogen Conditions on Soil CO2 Emissions in Summer Maize
3.4. Multi-Objective Optimization Model Solved Using the NSGA-III Algorithm
| Treatment | Irrigation Amount (m3/ha) | Fertilizer Amount (kg/ha) | Irrigation Coding Value (x1) | Fertilizer Coding Value (x2) |
|---|---|---|---|---|
| W1N1 | 800 | 0 | −1.1549 | −1.4565 |
| W1N2 | 800 | 180 | −1.1549 | −0.1618 |
| W1N3 | 800 | 270 | −1.1549 | 0.4855 |
| W1N4 | 800 | 360 | −1.1549 | 1.1328 |
| W2N1 | 1050 | 0 | −0.0346 | −1.4565 |
| W2N2 | 1050 | 180 | −0.0346 | −0.1618 |
| W2N3 | 1050 | 270 | −0.0346 | 0.4855 |
| W2N4 | 1050 | 360 | −0.0346 | 1.1328 |
| W3N1 | 1400 | 0 | 1.1895 | −1.4565 |
| W3N2 | 1400 | 180 | 1.1895 | −0.1618 |
| W3N3 | 1400 | 270 | 1.1895 | 0.4855 |
| W3N4 | 1400 | 360 | 1.1895 | 1.1328 |
4. Discussion
5. Conclusions
- (1)
- Summer maize yield initially rises and then declines as irrigation and nitrogen application rates increase. PFPN showed a downward trend, with its rate of decline slowing as irrigation levels rose, indicating that water can partially mitigate nitrogen stress. Soil CO2 emission flux increased alongside higher irrigation and nitrogen application rates.
- (2)
- An optimization model was developed targeting yield, PFPN, and soil CO2 emission flux. Optimization of the model using NSGA-III resulted in the best rationing scheme for irrigation and nitrogen application: 1086.28 m3/ha for irrigation and 265.79 kg/ha for nitrogen application. Under this combination, the summer maize yield was 10408.05 kg/ha, PFPN was 45.09 kg/kg, and soil CO2 emission flux was 255.01 mg/(m2·h).
Author Contributions
Funding
Institutional Review Board Statement
Informed Consent Statement
Data Availability Statement
Conflicts of Interest
References
- Chen, Q.; Qu, Z.; Ma, G.; Wang, W.; Dai, J.; Zhang, M.; Wei, Z.; Liu, Z. Humic Acid Modulates Growth, Photosynthesis, Hormone and Osmolytes System of Maize under Drought Conditions. Agric. Water Manag. 2022, 263, 107447. [Google Scholar] [CrossRef]
- Guo, Q.; Huang, G.; Guo, Y.; Zhang, M.; Zhou, Y.; Duan, L. Optimizing Irrigation and Planting Density of Spring Maize under Mulch Drip Irrigation System in the Arid Region of Northwest China. Field Crops Res. 2021, 266, 108141. [Google Scholar] [CrossRef]
- Ning, D.; Chen, H.; Qin, A.; Gao, Y.; Zhang, J.; Duan, A.; Wang, X.; Liu, Z. Optimizing Irrigation and N Fertigation Regimes Achieved High Yield and Water Productivity and Low N Leaching in a Maize Field in the North China Plain. Agric. Water Manag. 2024, 301, 108945. [Google Scholar] [CrossRef]
- Guo, J.H.; Liu, X.J.; Zhang, Y.; Shen, J.L.; Han, W.X.; Zhang, W.F.; Christie, P.; Goulding, K.W.T.; Vitousek, P.M.; Zhang, F.S. Significant Acidification in Major Chinese Croplands. Science 2010, 327, 1008–1010. [Google Scholar] [CrossRef] [PubMed]
- Chen, X.; Cui, Z.; Fan, M.; Vitousek, P.; Zhao, M.; Ma, W.; Wang, Z.; Zhang, W.; Yan, X.; Yang, J.; et al. Producing More Grain with Lower Environmental Costs. Nature 2014, 514, 486–489. [Google Scholar] [CrossRef] [PubMed]
- Li, H.; Wang, X.M.; Liu, P.Z.; Liu, M.; Wang, X.L.; Wang, R.; Li, J. Coupling effect compensates for the adverse effects of reduced water and nitrogen on nutrient absorption and utilization in summer maize. Plant Nutr. Fertil. Sci. 2022, 28, 1283–1296. [Google Scholar]
- Wu, J.C.; Yang, Y.H.; Zheng, H.L.; Pan, X.Y. Impact of water and fertilizer interaction on the annual yield and water use efficiency of wheat-corn system. Henan Agric. Sci. 2015, 44, 67–72. [Google Scholar] [CrossRef]
- Yu, C.; Huang, X.; Chen, H.; Godfray, H.C.J.; Wright, J.S.; Hall, J.W.; Gong, P.; Ni, S.; Qiao, S.; Huang, G.; et al. Managing Nitrogen to Restore Water Quality in China. Nature 2019, 567, 516–520. [Google Scholar] [CrossRef]
- Liu, L.; Zheng, X.; Wei, X.; Kai, Z.; Xu, Y. Excessive Application of Chemical Fertilizer and Organophosphorus Pesticides Induced Total Phosphorus Loss from Planting Causing Surface Water Eutrophication. Sci. Rep. 2021, 11, 23015. [Google Scholar] [CrossRef]
- Cheng, H.Y.; Xiao, Z.W.; Pu, C.; Zhao, Z.X.; Yao, Z.L.; Fu, Y.Y.; Wang, Z.J.; Zhao, Y. Study on High-Yield and Efficient Optimization Agronomic Measures of Maize Seed Production in Hexi Inland Irrigation Area. Maize Sci. 2023, 31, 108–117. [Google Scholar] [CrossRef]
- Li, H.X.; Gao, F.; Ren, B.C.; Zhao, B.; Liu, P.; Zhang, J.W. The impact of straw return amount and nitrogen application on the yield and nitrogen use efficiency of winter wheat. Plant Nutr. Fert. Sci. 2022, 28, 1260–1270. [Google Scholar]
- Srivastava, R.K.; Panda, R.K.; Chakraborty, A.; Halder, D. Enhancing Grain Yield, Biomass and Nitrogen Use Efficiency of Maize by Varying Sowing Dates and Nitrogen Rate under Rainfed and Irrigated Conditions. Field Crops Res. 2018, 221, 339–349. [Google Scholar] [CrossRef]
- Adebayo, A.R.; Sebetha, E.T. Data on Influence of Different Nitrogen Fertilizer Rates and Plant Density on Grain Yield and Yield Components of Water Efficient Maize (WEMA) Variety. Data Brief 2020, 30, 105582. [Google Scholar] [CrossRef]
- Liimatainen, A.; Sairanen, A.; Jaakkola, S.; Kokkonen, T.; Kuoppala, K.; Jokiniemi, T.; Mäkelä, P.S.A. Yield, Quality and Nitrogen Use of Forage Maize under Different Nitrogen Application Rates in Two Boreal Locations. Agronomy 2022, 12, 887. [Google Scholar] [CrossRef]
- Amanullah; Shah, P. Timing and Rate of Nitrogen Application Influence Grain Quality and Yield in Maize Planted at High and Low Densities. J. Sci. Food Agric. 2010, 90, 21–29. [Google Scholar] [CrossRef] [PubMed]
- Guo, Y.; Yin, W.; Fan, H.; Fan, Z.; Hu, F.; Yu, A.; Zhao, C.; Chai, Q.; Aziiba, E.A.; Zhang, X. Photosynthetic Physiological Characteristics of Water and Nitrogen Coupling for Enhanced High-Density Tolerance and Increased Yield of Maize in Arid Irrigation Regions. Front. Plant Sci. 2021, 12, 726568. [Google Scholar] [CrossRef]
- Fan, J.L.; Bai, Z.T.; Li, Y.X.; Bai, W.Q.; Pei, S.Z.; Zhang, F.C.; Yin, F.H. Effects of irrigation amount, nitrogen rate, and mepiquat chloride dose on cotton yield, quality, and water-fertilizer use efficiency in Southern Xinjiang of China. Trans. Chin. Soc. Agric. Eng. 2024, 40, 68–78. [Google Scholar] [CrossRef]
- Zhang, T.; Xing, Y.Y.; Xie, K.; Mi, F.Y.; Li, Z.Y.; Wang, X.K. Effects of water and fertilizer regulation on the quality of potato tubers and water-fertilizer use efficiency. J. Northwest Agric. For. 2024, 33, 842–850. [Google Scholar]
- Zhou, P.L.; Ren, H.; Qi, H.; Zhao, M.; Li, C.F. Impact of nitrogen fertilizer application on the biomass production and nitrogen utilization of two different types of corn hybrids. Acta Agron. Sin. 2017, 43, 263–276. [Google Scholar] [CrossRef]
- Yin, M.X.; Zhao, C.; Ge, L.L.; Cheng, B.Y. Interactive effects of intercropping and reduced irrigation on greenhouse gas emissions from agricultural soils. Res. Arid Agric. 2024, 42, 214–225. [Google Scholar]
- Chen, H.; Shang, Z.H.; Wang, Y.F.; Zhu, Y.; Cai, H.J. Impact of irrigation water volume on greenhouse gas emissions of tomato soil CO2, N2O, CH4. Chin. J. Appl. Ecol. Yingyong Shengtai Xuebao 2019, 30, 3126–3136. [Google Scholar] [CrossRef]
- Shao, R.; Deng, L.; Yang, Q.; Shangguan, Z. Nitrogen Fertilization Increase Soil Carbon Dioxide Efflux of Winter Wheat Field: A Case Study in Northwest China. Soil Tillage Res. 2014, 143, 164–171. [Google Scholar] [CrossRef]
- Zhang, F.; Guo, S.L.; Zou, J.L.; Li, Z.; Zhang, Y.J. Effects of long-term nitrogen application and water-heat conditions on soil respiration during the summer fallow period. Environ. Sci. 2011, 32, 3174–3180. [Google Scholar] [CrossRef]
- Li, X.M.; Lun, X.X.; Chen, Q.; Li, J.H.; Yan, Q.J.; Song, X.M. Emissions of greenhouse gases from winter wheat-summer maize rotation system under different fertilization treatments. Environ. Chem. 2014, 33, 591–596. [Google Scholar] [CrossRef]
- Mancinelli, R.; Marinari, S.; Brunetti, P.; Radicetti, E.; Campiglia, E. Organic Mulching, Irrigation and Fertilization Affect Soil CO2 Emission and C Storage in Tomato Crop in the Mediterranean Environment. Soil Tillage Res. 2015, 152, 39–51. [Google Scholar] [CrossRef]
- Chu, H.; Hosen, Y.; Yagi, K. NO, N2O, CH4 and CO2 Fluxes in Winter Barley Field of Japanese Andisol as Affected by N Fertilizer Management. Soil Biol. Biochem. 2007, 39, 330–339. [Google Scholar] [CrossRef]
- Zhang, F.; Chen, M.; Fu, J.; Zhang, X.; Li, Y.; Shao, Y.; Xing, Y.; Wang, X. Coupling Effects of Irrigation Amount and Fertilization Rate on Yield, Quality, Water and Fertilizer Use Efficiency of Different Potato Varieties in Northwest China. Agric. Water Manag. 2023, 287, 108446. [Google Scholar] [CrossRef]
- He, J.Y.; Tian, J.C. Model of coupling water with fertilizer and optimum combination scheme of rice cultivated in aerobic soil with drip irrigation under plastic film. Trans. Chin. Soc. Agric. Eng. 2015, 31, 77–82. [Google Scholar]
- Zhao, W.J.; Ma, F.; Cao, W.; Ma, F.F.; Han, L. Effects of water and fertilizer coupling on the yield and quality of substrate-cultivated tomatoes. Trans. Chin. Soc. Agric. Eng. 2022, 38, 95–101. [Google Scholar] [CrossRef]
- Yu, F.; Shi, W.M. Analysis of nitrogen fertilizer use efficiency in major grain crops in mainland China over the past decade. Soils 2015, 52, 1311–1324. [Google Scholar] [CrossRef]
- Chen, H.; Hou, H.J.; Cai, H.J.; Zhu, Y. Characteristics of N2O emissions from soil under aeration irrigation in greenhouse tomato cultivation. Trans. Chin. Soc. Agric. Eng. 2016, 32, 111–117. [Google Scholar]
- Lyu, J.; Jiang, Y.; Xu, C.; Liu, Y.; Su, Z.; Liu, J.; He, J. Multi-Objective Winter Wheat Irrigation Strategies Optimization Based on Coupling AquaCrop-OSPy and NSGA-III: A Case Study in Yangling, China. Sci. Total Environ. 2022, 843, 157104. [Google Scholar] [CrossRef]
- Hu, X.S.; Xu, H.T.; Guo, H.B.; Wang, C.Y. Impact of nitrogen fertilizer on the accumulation and distribution of dry matter and grain moisture content in high-nitrogen-use efficiency corn varieties. Shandong Agric. Sci. 2021, 53, 83–88. [Google Scholar] [CrossRef]
- Wang, K.J.; Yang, Q.Q.; Wang, J.; Lu, Y.M.; Wang, X.P.; Kang, J.H. Synergistic effects of water and nitrogen on photosynthetic characteristics and yield of maize. Soil Fertil. Sci. China 2023, 7, 48–55. [Google Scholar]
- Chen, S.C.; Liu, W.F.; Du, T.S. Crop high-yield and efficient management strategies based on water-nitrogen management and planting structure optimization. Trans. Chin. Soc. Agric. Eng. 2022, 38, 144–152. [Google Scholar] [CrossRef]
- Liu, P.Z.; Li, M.H.; Song, Y.C.; Yang, D.; Gao, X.D.; Ren, X.L.; Chen, X.L. Effects of drip fertigation on the yield, water and nitrogen use efficiency, and economic benefits of wolfberry. J. Plant Nutr. Fertil. 2021, 27, 1820–1828. [Google Scholar]
- Yan, L.J.; Tan, Y.; Ma, W.W.; Chang, H.G.; Xie, M.J.; Lu, Y.H.; Zhang, J.X. Effects of water saving and nitrogen reduction on growth and water and nitrogen use efficiency of silage maize in Hexi Irrigation Area of Gansu Province. Acta Agrestia Sin. 2023, 31, 2545–2553. [Google Scholar]
- Yang, L.; Cao, H.; Fu, Y.Y.; Gao, Y.; Liu, Z.D. Effects of irrigation amount and method on soil CO2 emissions and yield of summer maize. J. Irrig. Drain. 2023, 42, 31–39+73. [Google Scholar] [CrossRef]
- Qi, P.; Wang, X.J.; Yao, Y.M.; Chen, X.L.; Wu, J.; Cai, L.Q. Effects of different tillage practices and nitrogen application rates on CO2 emissions and carbon balance in rain-fed agricultural fields. Acta Prataculturae Sinica 2021, 30, 96–106. [Google Scholar] [CrossRef]
- Zhu, X.H.; Ma, Y.H.; Yang, S.Y.; Wang, L.T.; Sun, L.; Ma, Z.W. Impact of fertilization on greenhouse gas emissions from agricultural fields. Agro-Environ. Dev. 2011, 28, 42–46. [Google Scholar]
- Trujillo-Tapia, N.; Cruz Mondragón, C.; Vásquez-Murrieta, M.S.; Van Cleemput, O.; Dendooven, L. Inorganic N Dynamics and N2O Production from Tannery Effluents Irrigated Soil under Different Water Regimes and Fertilizer Application Rates: A Laboratory Study. Appl. Soil Ecol. 2008, 38, 279–288. [Google Scholar] [CrossRef]
- Song, J.; Li, J.; Yang, Q.H.; Mao, X.M.; Yang, J.; Wang, K. Multi-objective optimization and its application on irrigation scheduling based on AquaCrop and NSGA-II. Water Resour. Hydropower Eng. 2018, 49, 1284–1295. [Google Scholar] [CrossRef]
- Qu, F.; Zhang, J.; Wang, J.Z.; Ma, X.Q.; Gao, Z.X.; Liu, D.N.; Hu, X.H. Optimization of nutrient solution formula for soilless cucumber cultivation based on genetic algorithm. Trans. Chin. Soc. Agric. Eng. 2021, 37, 96–104. (In English) [Google Scholar] [CrossRef]



| Treatment | Irrigation Upper Limit | Irrigation Lower Limit | Nitrogen Application Level (kg/ha) |
|---|---|---|---|
| W1N1 | 90%θf | 60%θf | 0 |
| W1N2 | 180 | ||
| W1N3 | 270 | ||
| W1N4 | 360 | ||
| W2N1 | 70%θf | 0 | |
| W2N2 | 180 | ||
| W2N3 | 270 | ||
| W2N4 | 360 | ||
| W3N1 | 80%θf | 0 | |
| W3N2 | 180 | ||
| W3N3 | 270 | ||
| W3N4 | 360 |
| Year | Treatment | Ear Length (cm) | Ear Diameter (cm) | Kernel Number Per Ear (Kernel) | 100-Kernel Weight (g) | Yield (kg/ha) |
|---|---|---|---|---|---|---|
| 2023 | W1N1 | 13.24 ± 0.13 h | 3.16 ± 0.19 d | 428.05 ± 12.51 e | 28.01 ± 0.86 f | 6625.31 ± 287.46 h |
| W1N2 | 14.63 ± 0.36 f | 3.44 ± 0.12 bc | 489.38 ± 7.11 cd | 30.14 ± 1.22 de | 8673.08 ± 63.16 f | |
| W1N3 | 15.55 ± 0.30 de | 3.57 ± 0.11 bc | 495.46 ± 4.04 cd | 32.54 ± 1.79 bc | 9825.64 ± 172.21 cd | |
| W1N4 | 15.38 ± 0.27 de | 3.47 ± 0.06 bc | 493.29 ± 15.98 cd | 33.44 ± 1.11 ab | 8735.56 ± 70.95 cd | |
| W2N1 | 13.75 ± 0.21 gh | 3.32 ± 0.24 cd | 436.04 ± 8.43 e | 28.54 ± 0.57 ef | 7056.97 ± 216.81 g | |
| W2N2 | 16.59 ± 0.26 ab | 3.52 ± 0.12 bc | 478.54 ± 6.66 d | 31.40 ± 1.38 cd | 9122.81 ± 265.49 e | |
| W2N3 | 17.16 ± 0.27 a | 4.31 ± 0.14 a | 523.19 ± 7.65 a | 35.30 ± 0.48 a | 10,953.90 ± 62.31 a | |
| W2N4 | 16.64 ± 0.32 ab | 4.12 ± 0.10 a | 508.84 ± 13.12 ab | 34.51 ± 1.46 ab | 10,381.76 ± 452.22 b | |
| W3N1 | 14.03 ± 0.75 g | 3.36 ± 0.11 cd | 435.83 ± 8.19 e | 28.53 ± 0.96 de | 7348.54 ± 177.46 g | |
| W3N2 | 15.11 ± 0.20 ef | 3.54 ± 0.20 bc | 493.29 ± 13.59 cd | 33.44 ± 0.39 ab | 9067.56 ± 243.51 d | |
| W3N3 | 16.21 ± 0.36 bc | 4.05 ± 0.12 a | 502.01 ± 7.60 bc | 34.41 ± 1.21 ab | 10,267.98 ± 35.83 bc | |
| W3N4 | 15.76 ± 0.38 cd | 3.68 ± 0.20 b | 496.85 ± 4.22 c | 33.98 ± 0.62 ab | 9883.47 ± 352.05 cd | |
| W | ** | ** | * | * | ** | |
| N | ** | ** | * | ** | ** | |
| W × N | ** | * | * | ns | ** | |
| 2024 | W1N1 | 13.10 ± 0.21 g | 3.25 ± 0.15 cd | 434.34 ± 13.34 e | 28.48 ± 1.85 e | 6443.27 ± 271.26 f |
| W1N2 | 14.26 ± 0.23 e | 3.33 ± 0.23 c | 492.03 ± 8.36 cd | 30.76 ± 1.13 cd | 7993.71 ± 63.52 d | |
| W1N3 | 15.69 ± 0.26 c | 3.61 ± 0.13 b | 491.03 ± 13.78 cd | 32.87 ± 0.55 bc | 8767.64 ± 465.78 bc | |
| W1N4 | 15.45 ± 0.31 d | 3.40 ± 0.14 bc | 502.44 ± 7.42 bc | 31.23 ± 1.42 c | 8005.72 ± 181.34 bc | |
| W2N1 | 13.54 ± 0.78 f | 3.46 ± 0.11 bc | 429.19 ± 4.15 e | 29.12 ± 0.46 d | 7307.29 ± 250.47 e | |
| W2N2 | 16.39 ± 0.19 bc | 3.42 ± 0.11 bc | 484.55 ± 12.34 d | 32.75 ± 1.39 bc | 8877.13 ± 36.59 d | |
| W2N3 | 16.93 ± 0.38 a | 4.45 ± 0.19 a | 512.63 ± 7.05 ab | 35.12 ± 0.94 a | 10,506.25 ± 360.12 a | |
| W2N4 | 16.35 ± 0.13 bc | 4.21 ± 0.12 a | 521.68 ± 3.98 a | 35.34 ± 0.38 a | 10,398.27 ± 295.12 b | |
| W3N1 | 13.16 ± 0.35 fg | 3.34 ± 0.22 c | 438.94 ± 16.21 e | 27.59 ± 1.23 f | 7367.02 ± 64.28 e | |
| W3N2 | 14.9 ± 0.29 de | 3.63 ± 0.18 b | 500.27 ± 8.65 c | 31.28 ± 0.64 c | 9023.97 ± 176.35 b | |
| W3N3 | 16.41 ± 0.26 b | 4.1 ± 0.12 a | 505.58 ± 6.52 bc | 33.04 ± 0.82 ab | 10,392.27 ± 132.21 ab | |
| W3N4 | 15.45 ± 0.21 d | 3.78 ± 0.10 b | 501.71 ± 7.53 bc | 33.31 ± 1.20 ab | 10,199.61 ± 220.54 bc | |
| W | ** | ** | * | ** | ** | |
| N | ** | ** | * | * | ** | |
| W × N | ** | * | * | * | ** |
Disclaimer/Publisher’s Note: The statements, opinions and data contained in all publications are solely those of the individual author(s) and contributor(s) and not of MDPI and/or the editor(s). MDPI and/or the editor(s) disclaim responsibility for any injury to people or property resulting from any ideas, methods, instructions or products referred to in the content. |
© 2025 by the authors. Licensee MDPI, Basel, Switzerland. This article is an open access article distributed under the terms and conditions of the Creative Commons Attribution (CC BY) license (https://creativecommons.org/licenses/by/4.0/).
Share and Cite
Ma, J.; Wang, Y.; Liu, L.; Cui, B.; Ding, Y.; Liu, L. Research on Summer Maize Irrigation and Fertilization Strategy in Henan Province Based on Multi-Objective Optimization Model. Sustainability 2025, 17, 1834. https://doi.org/10.3390/su17051834
Ma J, Wang Y, Liu L, Cui B, Ding Y, Liu L. Research on Summer Maize Irrigation and Fertilization Strategy in Henan Province Based on Multi-Objective Optimization Model. Sustainability. 2025; 17(5):1834. https://doi.org/10.3390/su17051834
Chicago/Turabian StyleMa, Jianqin, Yongqing Wang, Lei Liu, Bifeng Cui, Yu Ding, and Lansong Liu. 2025. "Research on Summer Maize Irrigation and Fertilization Strategy in Henan Province Based on Multi-Objective Optimization Model" Sustainability 17, no. 5: 1834. https://doi.org/10.3390/su17051834
APA StyleMa, J., Wang, Y., Liu, L., Cui, B., Ding, Y., & Liu, L. (2025). Research on Summer Maize Irrigation and Fertilization Strategy in Henan Province Based on Multi-Objective Optimization Model. Sustainability, 17(5), 1834. https://doi.org/10.3390/su17051834
