Next Article in Journal
The Development of No-Tillage Seeding Technology for Conservation Tillage—A Review
Next Article in Special Issue
Low-Carbon Optimization Scheduling for Systems Considering Carbon Responsibility Allocation and Electric Vehicle Demand Response
Previous Article in Journal
Sustainable Development Goals and Corruption: An International Situation Analysis Through the Application of a Three-Way Multivariate Analysis
 
 
Font Type:
Arial Georgia Verdana
Font Size:
Aa Aa Aa
Line Spacing:
Column Width:
Background:
Article

EV Charging Behavior Analysis and Load Prediction via Order Data of Charging Stations

1
State Grid Henan Electric Power Company Economic and Technology Research Institute, Zhengzhou 450052, China
2
State Grid Henan Electric Power Company, Zhengzhou 450052, China
3
College of Electrical Engineering, Sichuan University, Chengdu 610065, China
*
Author to whom correspondence should be addressed.
Sustainability 2025, 17(5), 1807; https://doi.org/10.3390/su17051807
Submission received: 31 December 2024 / Revised: 15 February 2025 / Accepted: 18 February 2025 / Published: 20 February 2025
(This article belongs to the Special Issue Sustainable Management for Distributed Energy Resources)

Abstract

To understand the charging behavior of electric vehicle (EV) users and the sustainable use of the flexibility resources of EV, EV charging behavior analysis and load prediction via order data of charging stations was proposed. The user probability distribution model is established from the characteristic dimensions of EV charging initial time, initial state of charge, power level, and charging time. Under the conditions of specific districts, seasons, multiple EV types, and specific weather, the Monte Carlo simulation method is used to predict the EV load distribution at the physical level. The correlation between users’ willingness to charge and the electricity price is analyzed, and the logistic function is used to establish the charging load prediction model on the economic level. Taking a city in Henan Province, China, as an example, the calculation results show that the EV charging load distribution varies with the district, season, weather, and EV type, and the 24 h time-of-use (TOU) electricity price and EV quantity distribution are analyzed. The proposed method can better reflect EV charging behavior and accurately predict EV charging load.

1. Introduction

The huge consumption of unsustainable energy, greenhouse gas emissions, and air pollution caused by traditional transportation have attracted more and more attention. Compared with traditional vehicles, electric vehicles (EVs) are cleaner and more environmentally friendly, with higher energy utilization efficiency. Countries all over the world are vigorously promoting the sustainable development of EVs [1,2,3,4]. EVs are regarded as an important means to deal with unsustainable energy shortages, climate change, and environmental issues and to achieve carbon neutrality and a carbon peak [5,6]. However, with the increasing penetration rate of EVs, their charging behavior has brought challenges to the stable operation of the power grid. Accurately predicting the charging demand of EVs is of great significance for sustainable use of the EVs’ flexibility resources, analyzing the impact of EVs’ access to the power grid, and power system planning and stable operation [7,8].
The charging load of EVs is affected by various factors, and the charging load of EVs has strong randomness and volatility, so it is difficult to accurately predict the charging load of EVs [9]. In recent years, in the direction of EV charging load prediction, the mainstream methods are mainly divided into the prediction method based on short-term historical data of the charging load of charging stations and the prediction method based on behavior analysis and Monte Carlo simulation [10,11]. The application scenarios of these two methods are also different. The first method pays more attention to charging load prediction of short-term and smaller time scales, which is suitable for short-time or real-time scheduling of EVs or charging stations. The second method focuses on the macroscopic analysis of the behavioral characteristics of EVs and finds the internal laws and influencing factors of EVs in the district, which applies to the formulation of EV-related policies, the formulation of the TOU price, and the service fee.
The prediction method based on short-term historical data of the charging load of charging stations involves collecting the historical charging load data of charging stations and obtaining a load prediction model of EVs through iterative training to predict the charging load. This method can be divided into traditional prediction methods based on mathematics, such as linear regression analysis, the exponential smoothing method, and the gray model method, etc., and modern prediction methods based on machine learning, such as support vector machine, wavelet analysis, variational mode decomposition and neural networks [12,13,14,15,16]. Reference [17] proposes a load prediction model for EVs based on variational mode decomposition (VMD) and support vector regression (SVR). VMD is used to decompose historical charging data into modal functions, and then an SVR model based on real-time electricity price and real-time ambient temperature is established. The Sparrow search algorithm (SSA) is used to optimize the SVR parameters. This method reduces the individual prediction error by dividing the load into signals of multiple frequencies. However, because the process of parameter optimization of the SSA requires a lot of computing power, it is difficult to guarantee the real-time performance of this prediction algorithm in some ultra-short-term prediction processes. Reference [18] proposes a short-term prediction method for EV charging load based on two-stage deep learning. In the first stage, the VMD method optimized by lion pride optimization (LSO) is used to decompose the EV charging load time series into multiple suborders. In the second stage, the DeepBiLSTM model is used to predict the residual sequence of the first stage, capturing the high-frequency and more random components of the EV charging load. This method improves the accuracy of the prediction model through a double-layer prediction structure and temporal neural network, but the computational complexity of this method is also greatly increased, and the effect of improving the accuracy of the LSO optimization process of the VMD decomposition is not high. Reference [19] proposes a self-supervised online learning algorithm for demand and event prediction of EV charging stations, which is targeted at newly installed EV charging stations with limited historical data. A generalized regression neural network (GRNN) based on synchronous online learning is used to solve the limitation of offline or fixed-size data-driven learning models in dealing with future uncertainties. However, such methods focus on short-term real-time load prediction of EVs and fail to explore the law behind the charging load and the reasons for future load changes. Such methods are used to predict the short-term real-time charging load of EVs and are often used in intra-day market trading and real-time scheduling of charging stations. Then, there is a lack exploration into the law behind the charging load and the reasons for future load changes.
The load prediction method based on the Monte Carlo simulation is to predict the charging load of EVs by establishing a mathematical model with random probability characteristics, among which the factors to be considered in the process of predicting the charging load of EVs mainly include the number of EVs, charging mode, initial state of charge, charging time, charging power, and on-board battery capacity [20,21,22]. At the same time, regional economic development, weather conditions, seasons, ambient temperature, charging electricity price, and other factors indirectly affect the charging load by affecting the user’s travel behavior and battery status, and the prediction range is not limited. Reference [23] proposes a random charging load prediction method for EVs in a distribution network based on the Monte Carlo simulation, including analyzing the daily driving patterns and charging behavior of EV customers, modeling EV charging loads using the Monte Carlo method, and calculating the total load of the distribution network after integrating EV charging loads. This method can quickly predict the charging load of the distribution network through the user’s charging behavior. However, this method only considers the user’s charging behavior and does not consider environmental factors. Reference [24] proposes the EV charging load prediction model based on multi-thread technology in different functional areas. The model fully incorporates EV users’ preference characteristics in terms of charging behavior and patterns and comprehensively analyzes the spatiotemporal travel characteristics displayed by users in different seasons and during working days and rest days. This method can analyze the impact of different seasons and different days on the charging load and improve the operating benefits of the charging station, but this method lacks the depth of the analysis of charging user behavior. Because traditional charging load forecasting methods do not consider a variety of different environmental variables and interference signals in historical charging data, reference [25] proposes a novel conditional diffusion model called the DiffPLF for charging load prediction. The DiffPLF can eliminate the amount of interference during load forecasting by utilizing a denoising diffusion process and taking into account historical charging data and relevant variables such as weather, special days, and EV numbers in the diffusion model. This method improves the accuracy of charging load prediction in different physical environments, but this method ignores the influence of economic factors such as the TOU price issued by the grid operator on the charging load.
The existing prediction methods for EV charging load only consider conventional influencing factors such as EV ownership, daily mileage, and initial state of charge. However, the charging station is the key link in the transition from behavior to load, so the research on EV behavior should be strengthened, and the transition process from charging behavior to load should also be considered. Therefore, this paper proposes an EV charging behavior analysis via order data of charging stations and a charging load prediction method from the physical and economic level and establishes a probability distribution model of EV charging behavior from the feature dimensions of EV charging initial time, initial state of charge, power level, and charging time. Under the conditions of specific districts, seasons, multiple EV types, and specific weather, the Monte Carlo simulation method is used to predict the EV load distribution at the physical level. The load prediction model under the guidance of the electricity price is established by the digital–analog analysis of the logistic function combined with typical data. The validity and feasibility of the proposed method are verified by taking EVs in a Chinese city as an example.
The rest of this paper is organized as follows. Section 2 introduces EV charging behavior analysis and modeling via actual order data. Section 3 presents EV charging load prediction considering physical and economic factors. The proposed method is verified by a case analysis in Section 4. Finally, the conclusion is drawn in Section 5.

2. EV Charging Behavior Analysis and Modeling via Actual Order Data

2.1. Probability Distribution of Initial Charging Time

The behavior of individual EVs is uncertain and dispersed, but the behavior of large-scale EV groups is probabilistic from the perspective of the whole. Historical data can be used for statistical analysis of EV travel rules. After testing, many independent random initial charging time data tend to have a normal distribution after proper standardization processing, and the normal distribution can be used to fit the probability distribution of initial charging time.
Analyzing the actual order data of urban charging stations in Henan Province, it can be seen that EV initial charging time is mainly composed of three peaks: morning, middle, and evening, which is different from the distribution of initial charging time with only one peak in the past. Therefore, the EV initial charging time xh is represented by three normal distributions, whose probability distribution function is as follows:
f h , s x h = α 2 π σ m , s e x m μ m , s 2 2 σ m , s 2 + β 2 π σ n , s e x n μ n , s 2 2 σ n , s 2 + γ 2 π σ e , s e x e μ e , s 2 2 σ e , s 2
where μm,s, σm,s, μn,s, σn,s, μe,s, and σe,s are the expected value and standard deviation of the morning, middle, and evening probability distributions of EV initial charging time xh, respectively. α, β, and γ are the proportion of EV charging in the morning, middle, and evening, respectively. The probability distribution of the 24 h initial charging time is shown in Figure 1.

2.2. EV Initial Charging State

Daily mileage is one of the core factors to determine charging demand, which is positively correlated with daily mileage and EV power consumption and negatively correlated with charging time. A probability model of daily mileage distribution is established and used as an important indicator to obtain the charging state at the charging time. The dm variable denoting EV driving time to the charging station follows a lognormal distribution, and the probability distribution function of function fitting of daily mileage is as follows:
f m d m = 1 2 π σ m d m e ln d m μ m 2 2 σ m 2
where μm and σm are the expected value and standard deviation of the probability distribution of daily mileage dm, respectively.
State of charge SOCen,EV before EV driving obeys a uniform distribution, and its probability distribution function is as follows:
f en S O C en , EV = 1 b a , a S O C en , EV b   0 ,   other
where a and b are the upper and lower limits of SOCen,EV, respectively.
According to the distribution of daily mileage, the initial state of charge SOCEV,0 can be derived, and its formula is as follows:
S O C EV , 0 = S O C en , EV 0.9 d m E EV 100 C EV
where EEV is the power consumption per 100 km of the EV, and CEV is the battery capacity of the EV.

2.3. Probability Distribution of Power Level and Charging Time

Existing studies equate the charging power with the rated power of charging piles. However, the actual charging power usually depends on the charging power of EVs rather than the rated power of charging piles, which is only the upper limit of charging power. According to the analysis of actual charging station order data, it can be seen that the charging power distribution fEV(Prated) conforms to the normal distribution, and the formula is as follows:
f EV P rated = 1 2 π σ EV P rated e ln P rated μ EV 2 2 σ EV 2
where μEV and σEV are the expected value and standard deviation of the probability distribution of charging power Prated, respectively. The probability distribution of charging power is shown in Figure 2.
According to the SOCEV,0, the EV charging time tsp can be calculated as follows:
t sp = 1 S O C EV , 0 C EV η EV P rated
where ηEV is the EV charging efficiency.

3. EV Charging Load Prediction Considering Physical and Economic Factors

The overall framework for EV charging load prediction is shown in Figure 3. According to the EV charging behavior analysis in Section 2, the variables required for EV charging load prediction are calculated. The EV charging load prediction steps are as follows. Firstly, according to Formulas (2)–(4), using the daily mileage dm, SOC before EV driving SOCen,EV, and power consumption per 100 km EEV, the initial SOC SOCEV,0 is calculated. Then, according to Formulas (5) and (6), using the charging demand (1), initial SOC SOCEV,0, battery capacity CEV, and charging power Prated, the charging time tsp is calculated. The initial charging time th is based on Formula (1). Finally, according to the calculated initial charging time th, charging time tsp, EV number N, and charging power Prated, the EV charging load prediction model is established, and the load of EVs in the different districts or weather conditions in 24 h is predicted by the Monte Carlo simulation.

3.1. Prediction of EV Number

According to the 2024 EV charging infrastructure development planning document released by the city government, by the end of 2022, there will be about 256,000 EV units, compared with 6000 EV units in 2015, with an average annual growth rate of 70%. Among the EV holdings, there are about 6700 electric buses, about 11,800 electric taxis, about 18,500 electric online car-hailing cars, about 1150 electric sanitation trucks, about 1570 electric concrete trucks, about 160 official cars, and about 210,000 private cars and other vehicles. Among public sector vehicles, urban buses and cruise taxis have been promoted the fastest, and the EV penetration rate has reached 100%. Preliminary data on new energy vehicle ownership in 2023 reports 380,000, and according to the document used to provide the prediction data, the city’s EV ownership during 2025 is 670,000. The prediction for number of EVs by the end of 2025 (only for the main urban areas) and incremental predictions for different types of EV from 2023 to 2025 are shown in Table 1 and Table 2, respectively.

3.2. Charging Load Prediction Based on the Monte Carlo Simulation

The charging load prediction based on Monte Carlo simulation is to extract the factors that affect the charging load by Monte Carlo simulation [25] and calculate the charging load of EVs by a mathematical formula. According to regional information, seasonal information, and weather information, the spatio-temporal distribution of EVs in different districts, seasonal information, and weather conditions are extracted. According to the spatio-temporal distribution of EVs, the daily mileage, initial charging time, and charging power of each EV are randomly simulated. Then, based on Formula (6), the charging time of each EV is calculated, and the EV charging load PEV,j(t) is calculated by the charging load calculation in Formula (7). Finally, cycle N (the number of units in the area), overlays all EV charging loads after the end of a one-day simulation and outputs the total charging load of the district.
P EV , j t = P rated , j , t h , j t t h , j + t sp , j 0 , other
where, according to Formulas (1), (5) and (6), the rated charging power Prated,j, initial charging time th,j, and charging time tsp,j of the Jth EV can be obtained, respectively. The process of EV charging load prediction based on the Monte Carlo simulation is shown in Figure 4.

3.3. EV Charging Load Prediction Considering Economic Incentives

In addition to the influence of the above physical factors on the charging load, the charging load will also be affected by factors such as the charging price and the user’s personality characteristics. The higher the charging price of the user at a certain time, the lower the probability of charging at the corresponding time. On the contrary, the lower the charging price, the higher the probability of charging the user at the corresponding time. The logistic function is a monotone increasing function with a value interval of (0, 1), which has a value of 0 when its value approaches negative infinity. Compared with the exponential function, which approaches infinity and has a value of 1 [26,27], this function is often used in economic data analysis, and its formula is as follows:
f ( x ) = 1 1 + e x
Since the charging price is negatively correlated with the user’s charging response, the original logistic function is modified [28], and its modification formula is as follows:
p t = F ( y t ) = L 1 + e y t
y t = a x t + b
where, compared with the original logistic function, the minus sign in the original formula is removed, so that the function becomes a monotone decreasing function of x 0 , + . The quantity factor L, price sensitive factor a, and random error b are integrated into the logistic function, and the user response model based on the logistic function is established.
The relationship between number of the user’s response and the charging price is shown in Figure 5.
As shown in Figure 5, keeping other parameters unchanged, the change in the price sensitivity factor affects the tilt degree of the relationship curve between the user response probability and the price, that is, the sensitivity degree of the user response probability to price. The larger the value of a, the more sensitive users are to price changes. At a smaller price-sensitive factor value, the users of this type show a lower charging intention at a relatively high charging price and can also increase their charging intention faster at a relatively low negative charging price. The larger the value of a, the slower the user will respond to price changes. Charging station operators need to set a lower charging price to encourage users to charge, and the effect of price inhibiting users’ willingness to charge is not obvious.
According to Formulas (7) and (11), the charging load of EVs under economic incentives can be calculated:
P EV i n c t = p t P EV , mean t = L 1 + e y t P EV , mean t
where PEV,mean is the average charging power.

4. Case Study

This paper takes the EVs of a city in Henan Province of China as the research background, collects the charging order data of EVs in the city, and uses it as the basic data for EV behavior analysis and charging load prediction. The original data range is from 1 January 2023 to 20 December 2023. The original data interval is 1 s. However, the 1 s interval is converted into a 1-h interval to facilitate subsequent calculations. Order data in three typical public charging stations were extracted from the three areas, and the probability distribution of EV charging time and charging power level was extracted through data analysis. The charging load of EVs is predicted from the perspective of different districts, seasons, weather, types of EVs, and TOU prices, and the 2025 EV number issued by the city government is used as the Monte Carlo simulation quantity. As the city center is mainly concentrated in the No. 1 Administrative District, No. 2 Administrative District, and No. 3 Administrative District, the number density is large, mainly in these three districts, for example analysis. All the computations are executed in Python 3.9 on a computer with an AMD Core R7-6800H 3.2 GHz (Max Turbo Frequency 4.7 GHz) CPU and 16 GB of memory. A map of the city center is shown in Figure 6. The city’s published TOU price is shown in Figure 7. The charging load prediction of different administrative districts is shown in Figure 8.
As shown in Figure 7 and Figure 8, the charging load of the three administrative districts roughly presents a “3n” shape (22–24 o’clock, 0–1 o’clock, 4–7 o’clock, and 13–17 o’clock), and the TOU price curve of the city presents an “M” shape (23–6 o’clock is the valley price, 7–9 o’clock, 14–16 o ’clock, and 21 o’clock to 22 o’clock for the flat price, and 10–13 o’clock and 17–20 o’clock for the peak price); the shape is complementary to the city’s TOU price curve, with EV users choosing to charge when the price is relatively low. It shows that the TOU price plays a crucial role in the distribution of the charging load. However, the charging load is adjusted according to the EV user’s behavior at the same price level; for example, during the 23–6 o’clock valley price period, EV users will choose to charge before going to bed and before going to work in the morning, rather than being evenly distributed. It also shows that EV users’ daily work and rest affect the distribution of the charging load. The charging load of the three administrative districts is significantly different from 4 o’clock to 7 o’clock in this period; the maximum charging load of the first and second zones is about 120 MW, the maximum charging load of the third zone is about 60 MW, and the charging load of the first and second zones is twice that of the third zone. This is because the first and second districts are more economically developed, more densely populated, and have more office workers.
The charging load prediction of different districts in four seasons is shown in Figure 9.
As can be seen from Figure 9, the charging load in the three districts in winter is significantly higher than that in the other three seasons, and the average temperature in winter ranges from −3 degrees to 8 degrees. Generally speaking, the low ambient temperature will inhibit the travel activities of EVs, and the charging load in winter will be lower than in other seasons. However, according to the actual city EV data, the opposite is true. According to the principles of the EV batteries and the results of the actual survey, the activity of the EV power battery in the low-temperature environment decreases, the net discharge rate (utilization efficiency) of the battery is reduced, the battery capacity is affected, the user needs to increase the frequency of charging to supplement the electricity, and the EV charging demand increases; therefore, the EV charging load in winter will be higher than other seasons.
The charging load prediction for different districts in five kinds of weather (sunny, overcast, rainy, snowy, and foggy) is shown in Figure 10.
As can be seen from Figure 10, the charging load in the snowy days of the three regions is significantly higher than that in the other weather, which is similar to the four-season charging load comparison experiment. The essential reason is that the decrease in temperature leads to an increase in charging demand (decrease in battery utilization efficiency), which eventually leads to an increase in charging load. Moreover, according to the snow situation in the city, the snow on the road and the temperature have not reached the degree of seriously affecting EV travel. Therefore, the decrease in temperature is the main reason for the increase in EV charging load in winter and snowy days.
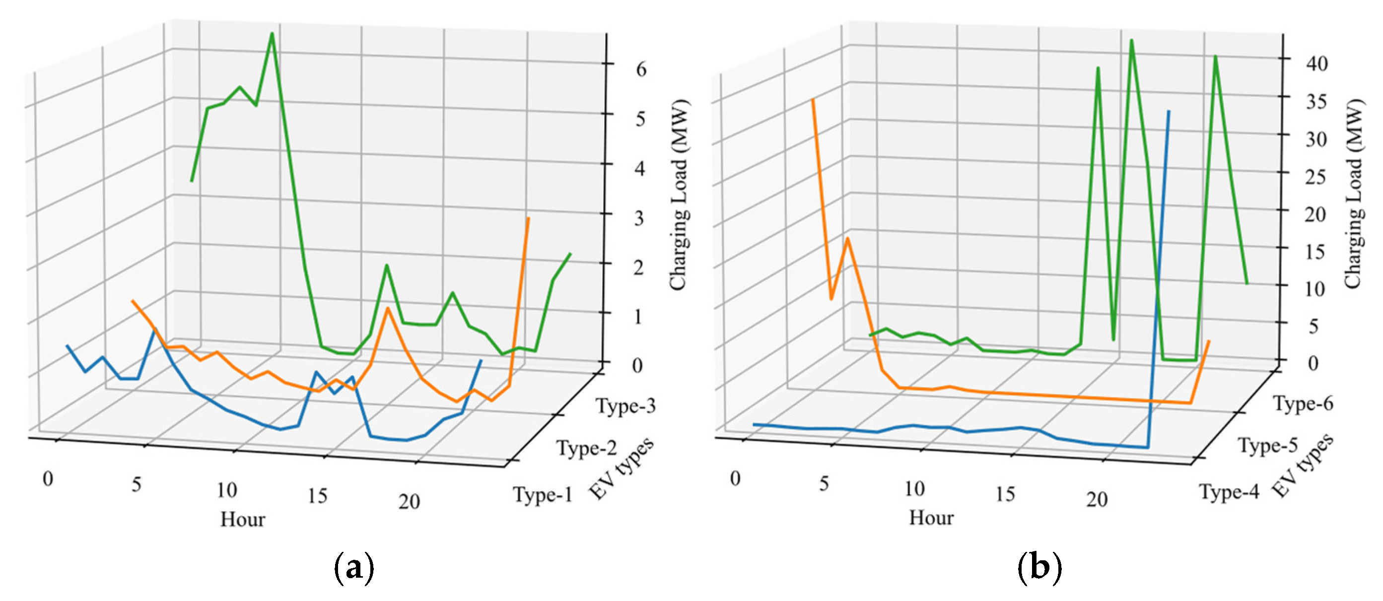
The charging load prediction for different types of EVs is shown in Figure 11 (medium and small cars: type 1—electric private vehicles, type 2—electric taxis, and type 3—electric cargo vans; heavy vehicles: type 4—electric buses, type 5—electric sanitation trucks, and type 6—electric commercial concrete trucks). According to Section 3.1 of the paper, the number of different types of EVs is different. Therefore, the number of different types of EVs is simulated according to the simulation times of Monte Carlo, but 1000 vehicles of each type are simulated to ensure consistency in the number of different types of EVs.
As can be seen from Figure 11, only the charging load of electric private cars and electric taxis presents a curve similar to “3n” and is complementary to the “M” curve of TOU, which indicates that electric private cars and electric taxis are more affected by TOU. However, electric cargo vans, electric buses, electric sanitation trucks, and electric commercial concrete trucks show a high situation on both sides and a low middle. This is because of the working characteristics of these types of cars. In addition to a specific break at noon, the EV has been working again during the period from morning to night, basically focusing on the rest time from 22 to 7 am to charge. Electric cargo vans, electric buses, electric sanitation trucks, and electric commercial concrete trucks are operated by municipal companies, and the working hours are fixed, especially since the charging load of electric buses and electric sanitation vehicles is almost 0 during the day, and the scheduling potential during the day is almost 0. According to Figure 11 and Section 3.1 of this paper, although the power level of heavy EVs is higher than that of small- and medium-sized EVs on the same order of magnitude, the order of small- and medium-sized EVs is dozens of times that of heavy EVs, and small- and medium-sized EVs are more sensitive to price. Therefore, there is greater potential to guide EV participation in the grid demand response and auxiliary services through the TOU price or financial subsidies from EV operators.
According to the experimental results under different environmental conditions, the factors that affect EV charging load are the charging electricity price, users’ daily work and rest, and the regional economic development degree and temperature, among which users’ daily work and rest and the regional economic development degree and environmental temperature are difficult to change. Therefore, the TOU prices can be set to guide users to charge, thereby transferring the charging load and reducing the impact on the grid. The TOU price for EVs sold in 2022–2024 is different, and the province’s State grid company will issue a TOU price once a month. According to the different TOU prices and the number of EVs at the time, the relationship function between the number of charged EVs and the prices can be analyzed. The TOU price of a charging station in 2023 and the number of charged EVs were selected as the experimental data. The charging load prediction for different months is shown in Figure 12. A logistic fitting curve and data points between the charging price and load from 8 to 23 o’clock are shown in Figure 13. Parameters of the logistic function between the charging price and load from 8 to 23 o’clock are shown in Table 3.
According to the logistic function parameters obtained in Table 3, the adjusted charging station load is simulated by assuming that the power grid operator increases the TOU price (the price increases by CNY 1) during the load peak from 15 o’clock to 17 o’clock on the next day. The charging load before price adjustment and after price adjustment is shown in Figure 14. As can be seen from Table 3, the price sensitivity of EV users from 15 o’clock to 17 o’clock is different. Users at 15:00 and 16:00 are more price-sensitive than those at 17 o’clock. Then, it can be seen from Figure 14 that compared with the charging load at 17 o’clock, the charging load at 15 and 16 o’clock drops more sharply.

5. Conclusions

To efficiently utilize the flexibility resources of EVs, an EV behavior analysis and charging load prediction method based on actual order data is proposed. The EV charging load is predicted and analyzed from the physical view of the region, time, season, weather, and type of EV. Then, the relationship between price and load is analyzed from the economic view of the TOU price, and the change in the EV charging load under economic incentive is predicted. By taking a city in the Henan Province of China as an example, the simulation results show that this method can easily and effectively predict the temporal and spatial distribution characteristics of charging load and provide a basis for analyzing the impact of EVs on the power grid and utilizing the flexibility resources of EVs. Based on the analysis of the charging load prediction results in the city, it can be seen that the user’s work and rest habits, the monthly TOU price set by Henan Province, the degree of regional economic development, and the environmental temperature are the main factors affecting the distribution of charging load, among which the user’s work and rest, the degree of regional economic development, and the environmental temperature are difficult to change, so the TOU price can be set to guide the user to charge, thus transferring the charging load and reducing the impact on the power grid. By analyzing the charging price and charging load of a charging station in 2023, the relationship between price and load based on a logistic function is solved, which provides a theoretical basis for subsequent grid operators to carry out demand response and auxiliary services. Future research will focus on how parallel computing, dimensionality reduction techniques, and approximation methods can improve the computational efficiency of Monte Carlo simulation in large-scale data or complex scenarios and for analyzing the impact of long-term user behavior changes on user behavior analysis models.

Author Contributions

Formal analysis, Y.X.; Investigation, Q.L. and D.H.; Resources, B.L.; Writing—original draft, S.W.; Writing—review & editing, J.Z. All authors have read and agreed to the published version of the manuscript.

Funding

Financial support was provided by the State Grid Henan Electric Power Company Science and Technology Project “Key Technology and Demonstration Application of Multi-domain Electric Vehicle Aggregated Charging Load Dispatch” under Grant No. 5217L0240003.

Data Availability Statement

The data presented in this study are available on request from the corresponding author.

Conflicts of Interest

The authors declare that they have no known competing financial interests or personal relationships that could have appeared to influence the work reported in this paper.

References

  1. Xiang, Y.; Jiang, Z.; Gu, C.; Teng, F.; Wei, X.; Wang, Y. Electric vehicle charging in smart grid: A spatial-temporal simulation method. Energy 2019, 189, 116221. [Google Scholar] [CrossRef]
  2. Wang, X.; Zhou, J.; Qin, B.; Guo, L. Coordinated Power Smoothing Control Strategy of Multi-Wind Turbines and Energy Storage Systems in Wind Farm based on MADRL. IEEE Trans. Sustain. Energy 2024, 15, 368–380. [Google Scholar] [CrossRef]
  3. Luo, Y.; Fang, S.; Kong, L.; Niu, T.; Liao, R. Dynamic power management of Shipboard Hybrid Energy Storage System under Uncertain Navigation Conditions. IEEE Trans. Transp. Electrif. 2023. early access. [Google Scholar] [CrossRef]
  4. Zhang, H.; Li, Z.; Xue, Y.; Chang, X.; Su, J.; Wang, P.; Guo, Q.; Sun, H. A Stochastic Bi-Level Optimal Allocation Approach of Intelligent Buildings Considering Energy Storage Sharing Services. IEEE Trans. Consum. Electron. 2024, 70, 5142–5153. [Google Scholar] [CrossRef]
  5. Wang, Y.; Xiang, Y.; Hu, H.; Lao, K.W.; Tong, J.; Jiang, Y. Service-quality based pricing approach for charging electric vehicles in smart energy communities. J. Clean. Prod. 2023, 420, 138416. [Google Scholar] [CrossRef]
  6. Xiang, Y.; Liu, J.; Li, R.; Li, F.; Gu, C.; Tang, S. Economic planning of electric vehicle charging stations considering traffic constraints and load templates. Appl. Energy 2016, 178, 647–659. [Google Scholar] [CrossRef]
  7. Benavides, D.; Arévalo, P.; Villa-Ávila, E.; Aguado, J.A.; Jurado, F. Predictive power fluctuation mitigation in grid-connected PV systems with rapid response to EV charging stations. J. Energy Storage 2024, 86, 111230. [Google Scholar] [CrossRef]
  8. Zhang, J.; Wang, Z.; Miller, E.J.; Cui, D.; Liu, P.; Zhang, Z. Charging demand prediction in Beijing based on real-world electric vehicle data. J. Energy Storage 2023, 57, 106294. [Google Scholar] [CrossRef]
  9. Lokhande, S.; Bichpuriya, Y.; Sarangan, V. Real-time management of deviations in the demand of electric vehicle charging stations by utilizing EV flexibility. J. Energy Storage 2024, 97, 112719. [Google Scholar] [CrossRef]
  10. Yin, W.; Ji, J.; Wen, T.; Zhang, C. Study on orderly charging strategy of EV with load forecasting. Energy 2023, 278, 127818. [Google Scholar] [CrossRef]
  11. Liu, J.; Lin, G.; Rehtanz, C.; Huang, S.; Zhou, Y.; Li, Y. Data-driven intelligent EV charging operating with limited chargers considering the charging demand forecasting. Int. J. Electr. Power Energy Syst. 2022, 141, 108218. [Google Scholar] [CrossRef]
  12. Yin, W.; Ji, J. Research on EV charging load forecasting and orderly charging scheduling based on model fusion. Energy 2024, 290, 130126. [Google Scholar] [CrossRef]
  13. Omran, N.G.; Filizadeh, S. Location-based forecasting of vehicular charging load on the distribution system. IEEE Trans. Smart Grid 2014, 5, 632–641. [Google Scholar] [CrossRef]
  14. Zhang, X.; Chan, K.W.; Li, H.; Wang, H.; Qiu, J.; Wang, G. Deep-Learning-Based Probabilistic Forecasting of Electric Vehicle Charging Load with a Novel Queuing Model. IEEE Trans. Cybern. 2021, 51, 3157–3170. [Google Scholar] [CrossRef] [PubMed]
  15. Wu, C.; Han, H.; Gao, S. Feedback-driven real-time forecasting method for the arrival times of electric vehicles. Electr. Power Syst. Res. 2024, 228, 110077. [Google Scholar] [CrossRef]
  16. Kumar, N.; Sood, S.K.; Saini, M. Internet of Vehicles (IoV) Based Framework for electricity Demand Forecasting in V2G. Energy 2024, 297, 131199. [Google Scholar] [CrossRef]
  17. Wu, Y.; Cong, P.; Wang, Y. Charging Load Forecasting of Electric Vehicles Based on VMD-SSA-SVR. IEEE Trans. Transp. Electrif. 2024, 10, 3349–3362. [Google Scholar] [CrossRef]
  18. Li, C.; Liao, Y.; Sun, R.; Diao, R.; Sun, K.; Liu, J.; Zhu, L.; Jiang, Y. Prediction of EV Charging Load Using Two-Stage Time Series Decomposition and DeepBiLSTM Model. IEEE Access 2023, 11, 72925–72941. [Google Scholar] [CrossRef]
  19. Zamee, M.A.; Han, D.; Cha, H.; Won, D. Self-supervised online learning algorithm for electric vehicle charging station demand and event prediction. J. Energy Storage 2023, 71, 108189. [Google Scholar] [CrossRef]
  20. Ge, X.; Shi, L.; Fu, Y.; Muyeen, S.M.; Zhang, Z.; He, H. Data-driven spatial-temporal prediction of electric vehicle load profile considering charging behavior. Electr. Power Syst. Res. 2020, 187, 106469. [Google Scholar] [CrossRef]
  21. Cui, D.; Wang, Z.; Liu, P.; Wang, S.; Zhao, Y.; Zhan, W. Stacking regression technology with event profile for electric vehicle fast charging behavior prediction. Appl. Energy 2023, 336, 120798. [Google Scholar] [CrossRef]
  22. Zhang, K.; Xu, Y.; Sun, H. Bilevel optimal coordination of active distribution network and charging stations considering EV drivers’ willingness. Appl. Energy 2024, 360, 122790. [Google Scholar] [CrossRef]
  23. Qin, Y.; Wang, J.; Ren, S.; Li, Z. Prediction of EV Random Charging Load Based on Monte Carlo Simulation Method. In Proceedings of the 2023 3rd International Conference on New Energy and Power Engineering, ICNEPE, Huzhou, China, 24–26 November 2023; Volume 2023, pp. 295–298. [Google Scholar] [CrossRef]
  24. Guo, Z.; Bian, H.; Zhou, C.; Ren, Q.; Gao, Y. An electric vehicle charging load prediction model for different functional areas based on multithreaded acceleration. J. Energy Storage 2023, 73, 108921. [Google Scholar] [CrossRef]
  25. Li, S.; Xiong, H.; Chen, Y. DiffPLF: A conditional diffusion model for probabilistic forecasting of EV charging load. Electr. Power Syst. Res. 2024, 235, 110723. [Google Scholar] [CrossRef]
  26. Zhang, T.; Chen, X.; Yu, Z.; Zhu, X.; Shi, D. A Monte Carlo Simulation Approach to Evaluate Service Capacities of EV Charging and Battery Swapping Stations. IEEE Trans. Ind. Inform. 2018, 14, 3914–3923. [Google Scholar] [CrossRef]
  27. Dang, Q.; Wu, D.; Boulet, B. EV Fleet Batteries as Distributed Energy Resources Considering Dynamic Electricity Pricing. In Proceedings of the 2021 IEEE 12th International Symposium on Power Electronics for Distributed Generation Systems, Chicago, IL, USA, 28 June–1 July 2021. [Google Scholar] [CrossRef]
  28. Sabbaghi, H.; Tabatabaei, S.H. Data-driven logistic function for weighting of geophysical evidence layers in mineral prospectivity mapping. J. Appl. Geophys. 2023, 212, 104986. [Google Scholar] [CrossRef]
Figure 1. Probability distribution of 24 h initial charging time.
Figure 1. Probability distribution of 24 h initial charging time.
Sustainability 17 01807 g001
Figure 2. Probability distribution of charging power.
Figure 2. Probability distribution of charging power.
Sustainability 17 01807 g002
Figure 3. Overall framework of EV load prediction.
Figure 3. Overall framework of EV load prediction.
Sustainability 17 01807 g003
Figure 4. Process of EV charging load prediction based on the Monte Carlo simulation.
Figure 4. Process of EV charging load prediction based on the Monte Carlo simulation.
Sustainability 17 01807 g004
Figure 5. Relationship between number of user’s response and charging price.
Figure 5. Relationship between number of user’s response and charging price.
Sustainability 17 01807 g005
Figure 6. The city center map.
Figure 6. The city center map.
Sustainability 17 01807 g006
Figure 7. TOU electricity price.
Figure 7. TOU electricity price.
Sustainability 17 01807 g007
Figure 8. Charging load prediction of different districts.
Figure 8. Charging load prediction of different districts.
Sustainability 17 01807 g008
Figure 9. Charging load prediction of different districts in four seasons.
Figure 9. Charging load prediction of different districts in four seasons.
Sustainability 17 01807 g009
Figure 10. Charging load prediction of different districts in five kinds of weather.
Figure 10. Charging load prediction of different districts in five kinds of weather.
Sustainability 17 01807 g010
Figure 11. Charging load prediction for different types of EVs. (a) Charging load prediction for medium and small cars. (b) Charging load prediction for heavy cars.
Figure 11. Charging load prediction for different types of EVs. (a) Charging load prediction for medium and small cars. (b) Charging load prediction for heavy cars.
Sustainability 17 01807 g011
Figure 12. Charging load prediction for different months.
Figure 12. Charging load prediction for different months.
Sustainability 17 01807 g012
Figure 13. Logistic fitting curve and data points between charging price and load from 8 to 23 o’clock.
Figure 13. Logistic fitting curve and data points between charging price and load from 8 to 23 o’clock.
Sustainability 17 01807 g013
Figure 14. Charging load before price adjustment and after price adjustment.
Figure 14. Charging load before price adjustment and after price adjustment.
Sustainability 17 01807 g014
Table 1. EV number prediction by the end of 2025 (only main urban areas).
Table 1. EV number prediction by the end of 2025 (only main urban areas).
Main Urban AreaEV Number by the End of 2025Proportion
District 14.7 × 1047%
District 24.9 × 1047%
District 34.3 × 1046%
District 47.0 × 10410%
District 52.9 × 1044%
District 64.7 × 1047%
District 72.9 × 1044%
District 87.1 × 10411%
Table 2. Incremental predictions for different types of EVs from 2023 to 2025.
Table 2. Incremental predictions for different types of EVs from 2023 to 2025.
Type2023 (Statistic)202420252023–2025
Electric bus0000
Electric taxi0000
Electric online car-hailing40004800480013,600
Electric cargo van960012,20018,20040,000
Electric sanitation truck100100100300
Electric commercial concrete truck5007007001900
Electric private car/Other116,000122,000126,000364,000
Sum130,000140,000150,000420,000
Table 3. Parameters of the logistic function between charging price and load from 8 to 23 o’clock.
Table 3. Parameters of the logistic function between charging price and load from 8 to 23 o’clock.
Parameters89101112131415
L4.77.4 × 1030.10.12.4 × 103374.0247.56.9
a1.21.731.917.93.42.61.06.4
b1.03.11.31.4−1.5−1.6−3.6−0.3
Parameters1617181920212223
L1.1 × 1030.359.10.1575.56.8 × 1032.1 × 1042.8
a3.715.70.812.12.812.921.036.3
b−0.81.5−5.71.4−1.70.10.30.6
Disclaimer/Publisher’s Note: The statements, opinions and data contained in all publications are solely those of the individual author(s) and contributor(s) and not of MDPI and/or the editor(s). MDPI and/or the editor(s) disclaim responsibility for any injury to people or property resulting from any ideas, methods, instructions or products referred to in the content.

Share and Cite

MDPI and ACS Style

Wang, S.; Liu, B.; Li, Q.; Han, D.; Zhou, J.; Xiang, Y. EV Charging Behavior Analysis and Load Prediction via Order Data of Charging Stations. Sustainability 2025, 17, 1807. https://doi.org/10.3390/su17051807

AMA Style

Wang S, Liu B, Li Q, Han D, Zhou J, Xiang Y. EV Charging Behavior Analysis and Load Prediction via Order Data of Charging Stations. Sustainability. 2025; 17(5):1807. https://doi.org/10.3390/su17051807

Chicago/Turabian Style

Wang, Shiqian, Bo Liu, Qiuyan Li, Ding Han, Jianshu Zhou, and Yue Xiang. 2025. "EV Charging Behavior Analysis and Load Prediction via Order Data of Charging Stations" Sustainability 17, no. 5: 1807. https://doi.org/10.3390/su17051807

APA Style

Wang, S., Liu, B., Li, Q., Han, D., Zhou, J., & Xiang, Y. (2025). EV Charging Behavior Analysis and Load Prediction via Order Data of Charging Stations. Sustainability, 17(5), 1807. https://doi.org/10.3390/su17051807

Note that from the first issue of 2016, this journal uses article numbers instead of page numbers. See further details here.

Article Metrics

Back to TopTop