You are currently viewing a new version of our website. To view the old version click .
Sustainability
  • Article
  • Open Access

26 January 2025

Research on Personal Skills That Architects Should Focus on Improving in Professional Career Development

,
,
and
1
School of Architecture and Urban Planning, Zhuhai College of Science and Technology, Zhuhai 519041, China
2
School of Architecture, South China University of Technology, Guangzhou 510641, China
3
School of Creative Arts and Design, City University of Macau, Macau 999074, China
*
Author to whom correspondence should be addressed.

Abstract

With the current downturn in the real estate and construction industries, the construction job market is saturated, and architects are facing an urgent employment crisis. Architectural education should understand the skill requirements of individuals in the labor market and make adjustments accordingly. This study examines the evaluation of and demand for skills from the perspective of employers. A research questionnaire was constructed based on the Kano theoretical model and distributed to 810 practitioners, and the results were analyzed. The results of the data analysis of demand attributes, importance, and group differences showed that the construction industry pays the most attention to strengthening professional soft abilities, while improving personal comprehensive abilities and maintaining professional hard abilities can support architects in maintaining strong competitiveness in the job market. Furthermore, different groups and regions have different needs for architectural skills. The cultivation of skills in colleges and universities must be targeted. This study provides an adjusted direction for architectural education and training and also provides guidance for architectural practitioners in improving their skills and expanding their career development with the trend of industry saturation.

1. Introduction

Architects are among the important resources for urban construction and development. However, China’s construction job market has become saturated. According to the statistical analysis of construction industry development by the China Construction Industry Association, the number of people employed in the construction industry reached 51,840,200 in 2022, decreasing for the fourth consecutive year and by 989,200 people, or 0.31%, compared with the end of the previous year. The workforce structure and needs of China’s construction industry are currently changing. The first aspect is the transformation of society’s demand for architects. The demand for innovative, interdisciplinary, and professional architects in construction enterprises is further increasing [1]. Secondly, there remains a clear discrepancy between the supply of and demand for construction companies and architects. There is still an insufficient number of high-skilled talents and emerging professionals in China’s construction industry [2] as well as a considerable shortage of skilled professionals and technical personnel in digital information and the intelligent construction industry [3]. Thirdly, training in the construction industry is insufficiently refined [4]. There is a mismatch between the needs of construction companies for new architects and the training goals of colleges and universities for traditional architects in the construction industry. We found that the United States [5], Croatia [6], Australia [7], India [8], and other countries also have employment crises of architectural professionals [9,10]. Facing the urgent crisis of employment of architects [8], the transformation of social talent demand in the construction industry and the reform of college talent training should be considered simultaneously. Thereby, avoiding architects getting caught up in the self-seeking of personal glory and material acquisition at the expense of the ethics of the profession, i.e., assuming responsibility for the stewardship of the built environment, and the provision of broad and equitable values for nature and culture [8,11]. Thus, what kinds of characteristics and skills must the current society cultivate to produce architects?
The College of Architecture’s class-based learning model teaches students practical, immediately applicable skills as well as critical and abstract thinking and long-term knowledge [12]. However, architecture courses often involve theoretical, hypothetical, or academic design projects, and what students learn in school is disconnected from the realities of the profession, which can leave students unprepared for the workforce [8,11,13]. In other words, only relying on the standard courses of architectural design generally affects the cultivation of students’ practical architectural skills, and it is necessary to combine professional practice to achieve a more comprehensive understanding of the needs of various skills in actual work. Different careers in the architectural design industry require different skill reserves; for example, government officials are more concerned about policy requirements and require digital skills as well as environmental sustainability and social justice training [14]. Designers are more focused on studio project services that require aesthetic, artistic, and creative skills [15]. Therefore, the cooperation between architecture teaching and practice should involve bridging the gap between theoretical courses and practical projects [16]. Comprehensive architectural education, in addition to the standard curriculum of skills training, must refer to the skills needed in various professions of the construction industry.
Therefore, the relationship between skill cultivation and skill demand in university education and social practice must be deeply analyzed, and there is still a need to further investigate the intrinsic relationship and logic of demand for employability skills of architects [17]. The existing research lacks empirical studies on intrinsic demand, differentiated demand, and actual demand [18]. The differentiation of types of profession and geographical needs should be taken into account, and the talent competencies in the construction industry should be matched with their corresponding tasks [19]. In addition to the existing traditional statistical methods [20], it is necessary to explore innovative investigation and analysis methods that combine university training with social needs and supplement the research on actual job skill requirements and preferences from the perspective of construction companies. The actual problems of talent cultivation and the limitations of the existing research were explored in this study based on the preferences of employment demand in China’s construction industry. An interdisciplinary innovation evaluation model was applied, and the evaluation of and demand for skills were evaluated from the perspective of employers. Although the research data in this study can only represent the demand for talents in the Chinese construction market, this study elucidates architect quality needs from an employment perspective and may help to match the supply of and demand for architecture graduates. The study also provides guidance for comprehensive skill training and teaching reforms of colleges and universities while encouraging colleges and universities to produce more specialized architects. This study can also provide an innovative research methodology for the study of architect employment globally while suggesting solutions to the employment crisis of architects.
Our work includes a description of the skill demand for architects in the construction job market and analysis of the importance and heterogeneity of skills using the Kano model. The Sections are arranged as follows. Section 2 details the framework of architect skill demand analysis and indicators of skill. Section 3 outlines the Materials and Methods, including the investigation and Kano model statistical method. Section 4 contains the data analysis and research results, including the ranking of architect skills based on demand and the analysis of the heterogeneity of the job market demand. Section 5 discusses the innovations and limitations of this research. Section 6 presents the Conclusions.

2. Research Framework and Indicators

2.1. Framework

In this study, the Kano theory was used to construct a two-dimensional cognitive model of the current situation of the demand for architect skills and the satisfaction of construction enterprises. The Kano model is a quality management tool used to help businesses understand customer needs and expectations. The Kano theoretical model was invented in 1984 by a Japanese scientist, Noriaki Kano, to analyze user satisfaction and improvement measures by classifying and prioritizing user needs [21].
Currently, Kano modeling is rarely used in the education field, and the correlative research focuses on two main aspects: (1) Optimizing the quality of institutional services. The results of Kano model analysis support vocational and technical colleges, private colleges, and universities in carrying out personalized education services [22,23] and improving the service facilities of institutions. For example, the model was used to investigate and analyze the quality and satisfaction of library services [24], and academic services in graduate studies in a Peruvian university [25]. (2) Optimization of the curriculum. The quality of teaching and learning in the curriculum is assessed to identify important quality factors in the curriculum, such as the training system of nursing internships in Egypt [26], physical education in a Taiwanese university [27], and a Production and Operations Management (POM) course in Turkey [28]. The model focuses on course resources, learning environment, the learning experience, and learning support with the aim of improving student satisfaction, optimizing their course priorities, and proposing a basis for course reform and optimization in terms of course organization [29]. In general, the Kano model has been utilized in the value evaluation of colleges and universities and their services. Regarding talents cultivated by colleges and universities, it is also necessary to understand the skill demands and expectations of the employment side so that talents delivered by colleges and universities can better match jobs. The research in this area is relatively lacking at present.
In the field of teaching and research, the importance of conducting research to shape the Kano demand preference of employees in enterprises lies in the following: (1) The demands of employees are considered, and the two-dimensional evaluation method of Kano skill requirements of talents is explored. (2) When there are changes in the industry, the Kano model can be used to determine the talent cultivation demands that must be met as a priority so that the industry can adapt to society’s sustainable development and employment requirements. (3) Horizontal comparisons are carried out between different regions and types of employees to identify the differentiated needs of employees regarding the comprehensive Kano quality competencies and to improve the overall satisfaction in the training and application of employable talent. Therefore, in terms of model utility and applicability, the Kano model is beneficial in analyzing this research question.
The technical method was first employed to establish a composite evaluation index system by identifying the attributes of skill needs. The Kano model skill needs questionnaire was developed in one-to-one correspondence with the index system, and it was determined through the preliminary survey that the content of the questionnaire was comprehensive and clear. The skill types were categorized, ordered, and evaluated by calculating the importance, sensitivity, and relative weight of and difference in each skill requirement (see Figure 1).
Figure 1. Technical route.

2.2. Indicators of Skill

Previous studies have summarized the types of skills that architects must possess from the perspectives of higher education courses and social practice through questionnaires and interviews [30]. However, in the development of higher education skills, the effectiveness and importance of skill acquisition are judged solely on the basis of course content and course scores [31,32]. Through the architectural curriculum, universities provide students with basic architectural knowledge [33,34,35] and promote basic skills. Architecture graduates face severe challenges and crises in meeting the demands and challenges of individual skills in construction projects and the construction labor market. Previous research has found that the employability skills of architecture graduates at cognitive, interpersonal, and personal levels are relatively lacking [36]. On the other hand, in social practice skill development, architectural design institutes, studios, and other enterprises are important social practice venues, and previous studies have summarized the practical skills of architects [11]. In the face of the increasingly refined classification of the construction industry, there are differences in the demand for architects among design, construction, and real estate companies. In response to the need to adapt to new technology and green and low-carbon construction [8,37,38], the specialized skills required by architects should be further studied.
Previous research has found that these required skills include technical skills, such as hand drawing; spatial design skills [39]; computer application skills [40] and the ability to create models, as well as technical skills for multidisciplinary knowledge and learning new tools [30]; basic skills, such as creativity and motivation for learning, as well as writing tasks, verbalization, positive social efficacy [41], aesthetic values, aesthetic expression, basic knowledge, special structural knowledge, and material knowledge [42]; management skills, such as interpretation, empathy, self-confidence, negotiation skills, adaptability, professional ethics [36], team organization, project management, and communication skills [43]; and soft skills, such as time management, critical thinking, determination, patience [30], effective communication, and ethical and respectful behavior towards the environment [33]. However, there are no standardized criteria for assessing the employability skills of architecture students, making it difficult to identify which job skills are better matched to the demands of the actual work. A multi-level scale of architects’ skill needs was constructed in this study with reference to the literature review, interview experience, and the particularity of Chinese architectural employment. On the whole, the skill requirements of architects can be divided into three categories, soft skills, hard skills, and comprehensive skills, which include 27 s-level demand indicators (see Table 1). It is assumed that these are the skills required for architectural design jobs, and there is still a need to further analyze which skills are more valuable in different types of work.
Table 1. Indicators of skill needs for construction employment.

2.2.1. Professional Soft Abilities

Soft skills are personalized and subjective skills. Architectural professional soft abilities required by enterprises include the thinking ability, work quality, and experience of employees. Examples include innovative, critical, and prudent thinking; discipline integration; normative literacy; presentation skills; project experience; career planning; and aesthetic competence. The Malaysian Ministry of Education (MOE); the Australian Government; the Department of Education, Science and Training (DEST); and the P21 (Learning Partnership for the 21st Century) highlight the importance of the terminology and elements of soft skills [36]. Previous research shows that the application of these soft skills to the field of architecture education enables students to acquire new skills to complement their traditional architecture training. This can provide graduate architects with the skills required by the industry, which can enhance their competitiveness and employability [30].

2.2.2. Professional Hard Abilities

Hard skills are mainly related to the two aspects of expertise and professional skills. Architectural professional hard skills required by enterprises are related to the professional knowledge and skills mastery of employees and include hand-drawing skills, basic and advanced software ability, media production skills, writing and research ability, and structural, material knowledge and energy-saving knowledge. In the 21st Century Skills Scale study that measured the perception of architecture students in Thailand, it is shown that these knowledge, media, and technology skills equip students to cope with changes in the world [36].

2.2.3. Personal Comprehensive Abilities

Comprehensive skills are the general skills and qualities of a person that determine their competitiveness in architectural employment. The required architectural personal comprehensive skills include employee responsibility and openness, project management and teamwork ability, emotional stability, social responsibility, self-learning ability, social ability, physical fitness, market sense, and education level. The findings confirm that being competent is no longer sufficient to be considered “tech-savvy”; rather, the ability to demonstrate change management, strategic planning, and project delivery in daily work activities is a valuable and practical skill for architecture practitioners [43].

3. Materials and Methods

3.1. Questionnaire Survey

3.1.1. Questionnaire Setting

The questionnaire is divided into two parts. The first part contains the basic information of the employee group, namely, gender, age, major, type of organization, city, and job responsibilities, a total of 6 items. The second part contains the Kano questionnaire, which corresponds to the secondary indicators and contains a total of 54 positive and negative questions. Each question is equipped with a 5-point scale, and the options of the questionnaire scale correspond to the secondary needs one by one.

3.1.2. Participants

The survey was distributed from 1 April 2024 to 30 April 2024, using an online random or offline sampling distribution method. The number of questionnaires distributed in this study was 810. A total of 802 questionnaires were recovered, and after excluding some of the incomplete and invalid questionnaires (18), the total number of valid questionnaires obtained was 784. The statistical values are shown in Table 2.
Table 2. Statistics on respondents’ information.
The research subject is the enterprises and departmental departments related to architectural planning and all kinds of design in China. The study covers a total of 67 cities in the Chinese region and involved comprehensive consideration of the selection of design institutes, real estate, administrative departments, universities, and research institutes. The questionnaires were distributed to project managers, administrative staff, draftsmen and technical engineers, university teachers, and researchers. The objects selected for the study essentially cover the basic types of employment in the construction industry and specialist employment relationships. Therefore, the selected sample is representative, and the size of the research sample is appropriate.

3.1.3. Data Structure

The analysis of the statistical information shows that the group of respondents was 61.61% male and 38.39% female, indicating a slight difference in the ratio between the two that approximately corresponds to the industry. The age range of respondents shows a positive distribution, with most respondents in the 20–29 and 30–39 age groups, accounting for a total of 87.5%, reflecting the predominance of younger workers in the respondents and that the accumulation and application of employability skills in different age groups still must be researched and analyzed. The proportion of workers majoring in Architecture and Urban and Rural Planning was 96%, and many workers had professional backgrounds in both architecture and urban and rural planning, with a high degree of correspondence between industrial work and study experience. The majors of Geographic Information Science and Environmental Engineering are also suitable for relevant positions in enterprises. The statistical information shows that architecture employees generally multitask while being largely responsible for project management and project design.

3.1.4. Reliability and Validity Test

The validity and reliability of the questionnaire were tested using IBM SPSS Statistics 27. The reliability analysis showed that Cronbach’s alpha for the forward and reverse questions of the questionnaire was generally greater than 0.9. Cronbach’s alpha of the forward and reverse questions of the three-dimensional skill modules was above 0.79, indicating the good reliability of the questionnaire (see Table 3). The validity analysis revealed that the overall KMO of the questionnaire was 0.787, and the KMO of both the forward and reverse questions was greater than 0.8. The KMO was between 0.7 and 0.8, indicating that the validity of the questionnaire was acceptable. The significance of Bartlett’s sphericity test for both the overall questionnaire and forward and reverse questions was less than 0.001. Overall, the questionnaire was within a good validity range (see Table 4).
Table 3. Reliability test.
Table 4. Validity test.

3.2. Statistical Methodology

The responses to the forward and inverse questions on the composition of the secondary indicators were used to create a 5 × 5 categorized score matrix table (see Table 5). The Kano model divides demand attributes into five categories (see Figure 2), including the six items of attractive qualities (A), expected qualities (O), must-be qualities (M), indifferent qualities (I), reverse qualities (R), and question quality (Q). If the attractive qualities of the construction workers are sufficient, the company’s satisfaction increases, and there is no impact if they are missing, which is a surprising finding. If the expected qualities are sufficient, the company’s satisfaction increases and vice versa. If the must-be qualities are sufficient, the company’s satisfaction does not increase; conversely, it decreases. The indifferent qualities, whether sufficient or not, have no significant impact on the company’s satisfaction. If the reverse qualities are sufficient, it leads to business dissatisfaction, and conversely, it increases the need to control content. Question quality is also an aspect that can lead to confusion in respondents and should be controlled.
Table 5. Classification table of Kano attributes.
Figure 2. Kano model.
The quantitative classification of employment demand coupled with the Better–Worse coefficient method proposed by Islam [44] was analyzed in this study. For a given requirement (i), the percentages of research statistics are A i ,   O i ,   M i , and I i , and separated into the percentages of B i and W i , the formulas are as follows:
W i = ( O i + M i ) ( A i + O i + M i + I i ) W ¯ = i = 1 m W i
B i = ( O i + A i ) ( A i + O i + M i + I i ) B ¯ = i = 1 m B i

4. Results

4.1. Demand Attribute Identification

The B-W attribute categorization table was determined using the quality categorization evaluation matrix of the 5 × 5 Kano model, in which the question quality (Q) was less than 5% in all cases, which meets the attribute categorization requirements (see Table 6). Among them, the must-be qualities (M) contain a total of seven items, namely, teamwork, basic software, research ability, writing ability, self-learning ability, social responsibility, and aesthetic literacy, which are the skills required for employed architects. A lack of these abilities directly affects the satisfaction of the employers. The expected qualities (E) include a total of eight elements, namely, normative literacy, discipline integration, prudent thinking, emotional stability, critical thinking, presentation skill, physical fitness, and energy-saving knowledge, which the employers believe should be present. The attractive qualities (A) comprise a total of six elements, namely, innovative thinking, market sense, project experience, social ability, structural knowledge, and material knowledge. Employers believe that employees with these skills have an advantage in the job market. Indifferent qualities (I) comprise a total of six elements, namely, education level, advanced software, hand-drawing ability, media production, project management, and career planning; employers have no significant demand for these types of skills (see Figure 3).
Table 6. Assessment matrix for skill categorization.
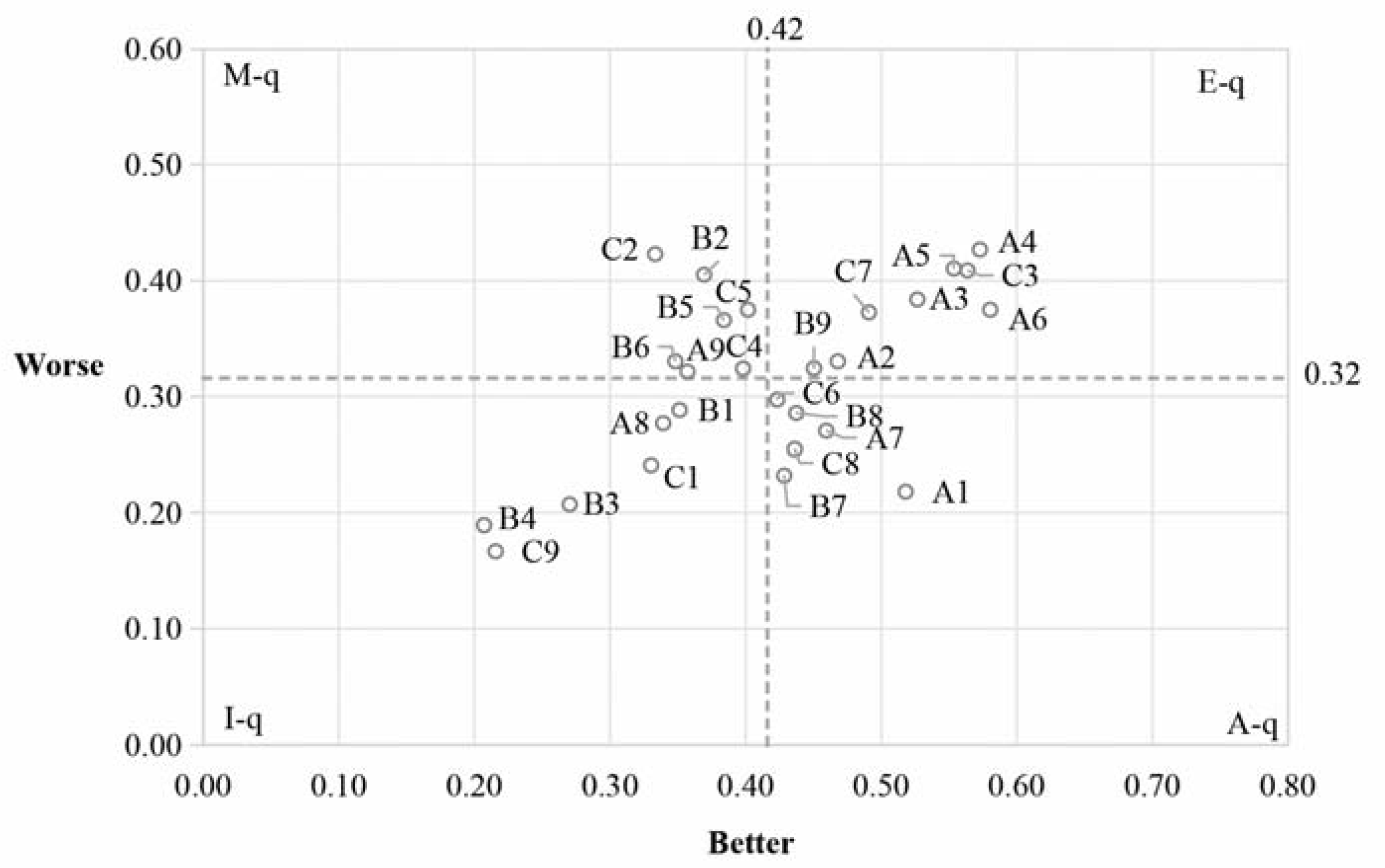
Figure 3. Four-quadrant Better–Worse chart.

4.2. Sensitivity Analysis

Performing a four-quadrant division of the contents of Table 6 gave a mean of 0.415 for the Better coefficient B ¯ ; the mean of the Worse coefficient W ¯ was 0.315. The four-quadrant chart was used for the primary evaluation of demand satisfaction, but it is impossible to prioritize the demand in each demand quadrant. We introduced the sensitivity ( R i ) combined with the study of sensitivity perception to calculate the quantitative index of each demand and compare the priority of each demand in the same quadrant based on the resulting values (see Figure 4):
R i = B i 2 + W i 2
where i is a skill requirement. R i is the sensitivity of the skill requirement, and the larger its value, the clearer the company’s perception of the skill requirement.
Figure 4. Sensitivity analysis.
According to the values of the quadrant coordinates (see Figure 4), the highest sensitivity in the M-q quadrant is for the self-learning ability (C5). This indicates that being able to maintain a mindset of eagerness to learn in the job market, having a strong desire to learn new knowledge and skills encountered at work, and voluntarily continuing to learn and explore [36] substantially increase the satisfaction of enterprises. The highest sensitivity in the E-q quadrant is for disciplinary integration (A4). This indicates that the ability to acquire interdisciplinary knowledge and practical skills to create new research directions, disciplinary areas, and new approaches to problem solving in the labor market [45,46] has a strong correlation with business satisfaction. The highest sensitivity in the A-q quadrant applies to innovative thinking (A1), suggesting that the ability to solve problems using new and original methods has a positive impact on employment and provides an additional advantage [1]. The highest sensitivity in the I-q quadrant is for the hand-drawing ability (B1), suggesting that drawing skills reflect design ability to some extent [39] but are not significant for corporate employment.
Based on the results of the quadrant classification, we know that the priority level of each attribute is “M > E > A > I.”; that is, the initial sorting was performed by relative weight to achieve the secondary sorting of each demand category (see Table 7). The end result is that the must-be qualities (C5 > B2 > C2 > B5 > C4 > A9 > B6) are better than the expected qualities (A4 > C3 > A6 > A5 > A3 > C7 > A2 > B9), which in turn are better than the attractive qualities (A1 > A7 > B8 > C6 > C8 > B7), which are better than the indifferent qualities (B1 > A8 > C1 > B3 > B4 > C9).
Table 7. Demand sensitivity ranking.

4.3. Importance Analysis

We introduce the weight ratio R-rate ( F i ) combined with the study of importance perception to calculate the quantitative index of each demand and compare the priority of different skills in the three skill demand dimensions based on the resulting values (see Figure 4):
F i   = max B i i = 1 m B i   ,     W i i = 1 m W i  
where i is a skill requirement and F i is the relative weight ratio of the capability requirement and describes the relative importance of a capability requirement for each element.
A statistical analysis of the data of each demand subitem was carried out for the first-level demand (see Figure 5, Figure 6 and Figure 7). According to the order of the average weight of the first-level requirements (see Table 8), professional soft abilities (24.33%) > personal comprehensive abilities (17.59%) > professional hard abilities (13.89%), reflecting that the importance of professional soft abilities in the demand for architectural employment skills is much higher than that of the other first-level demands. Of these, presentation skills (A6) and disciplinary integration (A4) were the more significant in terms of importance, reflecting that in the current employment environment, architects must not only clearly express their design concepts [30] but should also strengthen interdisciplinary communication and collaboration and achieve multidisciplinary integration [45].
Figure 5. Importance of professional soft abilities.
Figure 6. Importance of professional hard abilities.
Figure 7. Importance of personal comprehensive abilities.
Table 8. Ranking of needs in order of importance.
In terms of personal comprehensive abilities, emotional stability (C3) and physical fitness (C7) are the most important, indicating that companies and individuals in the job market are increasingly concerned about the physical and mental health of individuals. Education level (C9) has the lowest value, suggesting that the learning background is not a decisive factor for companies when assessing job seekers and that developing one’s intrinsic ability should be prioritized. Previous traditional studies have lacked research on these factors such as physical and mental health and education.
Finally, the standard deviation value of professional hard skills is in a reasonable range, indicating that companies have a balanced demand for the hard skills of employees. Of these skills, the importance of energy-saving knowledge (B9) is ranked the highest, indicating that the current construction industry mirrors the national strategy for the sustainable development of buildings in China and pays attention to the energy-saving design of buildings [37]. Furthermore, traditional and professional hard skills such as basic software (B2) and writing skills (B5) have high importance, while emerging advanced software (B3) and media production (B4) are relatively unimportant, suggesting that basic hard skills for architectural employment are still mandatory skills to be developed [41,46].

4.4. Group Variability Analysis

The study sample was divided into four research groups according to age, type of organization, job responsibilities, and city, and the three main sensitivities of each secondary indicator were ranked within groups to analyze the demand preferences (see Table 9). The ranking of professional soft abilities (A), professional hard abilities (B), and personal comprehensive abilities (C) varies in each group, indicating that employers require diversity in the composition of team members, with each member utilizing the strengths of their area of expertise to collaborate on the same project.
Table 9. Ranking of differentiated needs of population groups.
Among the age groups, the 20–29, 30–39, 40–49, and 50–59 age groups are overall sensitive to professional soft abilities, while the ≥60 age group is sensitive to professional hard abilities, mainly due to the importance of hand-drawing ability in this group. Compared with other age groups, the 20–29- and 30–39-year-old groups are more sensitive to professional hard abilities such as basic software and writing ability. This group mostly comprises newcomers to the construction industry and mainly undertakes the basic drafting work of projects, which demonstrates the importance of professional hard abilities. The 40–49 and 50–59 age groups are more sensitive to personal comprehensive abilities, and this age group is more likely to consist of managers in the construction industry and places more emphasis on teamwork and social skills.
Regarding the type of organizational group, the clusters of design institutes, real estate, administrative departments, universities, and research institutes all have a high sensitivity to professional soft skills, followed by comprehensive personal ability, which is roughly similar to the order of needs in the job responsibilities group; however, there are slight differences in skill sensitivity. Among them, design institutes undertake the work of project management and project design, for which the presentation skill, basic software ability, and physical fitness and emotional stability of employees are highly important, and the skill demand is compatible with the demand for high-intensity project work in design institutes. Real estate companies undertake residential construction work, for which normative literacy and social responsibility of employees are highly valued and meet the requirements for energy-saving and carbon-reducing construction in the Chinese construction sector. Administrative departments undertake administrative work for which the normative literacy and social ability of employees are more important as a means of better connecting with the public and serving social construction and development. Colleges, universities, and research institutes undertake teaching and research work for which the prudent thinking, writing ability, and self-learning ability of employees is of great importance.
The cities of the sample were categorized into four groups using the China City Ranking 2024. The standard deviation in the sensitivity of first-tier cities to professional soft abilities and professional hard abilities is small, and employers have a stronger demand for both professional soft and hard skills, especially the two aspects of the ability to integrate disciplines and the energy-saving knowledge reserve, which are relevant to the needs of the new era of development. Second-tier cities have high sensitivity to professional soft skills, and employers emphasize normative literacy, social responsibility, and social ability, with the need to understand and meet the location’s actual construction needs. Third-tier cities and fourth-tier cities have high sensitivity to professional soft abilities, with employers requiring prudent thinking and judgment of the location’s characteristics. Importance is attached to the knowledge of materials and structures, and more emphasis is placed on practical skills.

5. Discussion

5.1. Skill Demand Analysis of Architect Employment

A study of demand for employment skills in the construction industry was carried out in this study by introducing the Kano theory and establishing a model of the four demand quadrants. Although this study is different from the traditional multifactorial mathematical and statistical methods, its results are more reflective of the demand for the actual social aspects of architect skills through the innovative approach, which is mainly reflected in the following aspects:
(1)
The investigation and research of this study was conducted from the perspective of companies and employees to analyze the skill cultivation of architecture through comparison with the traditional teaching analysis of architecture series courses [30,31,47] and the literature review [48,49]. The results of the analyses are more consistent with the actual needs of the labor market, which represents a real and effective reference value for the skill development and skill stocks of employees (see Table 7). It was found that as architectural design is a comprehensive engineering project [12], these must-be qualities (M) are required for architects in order to complete the whole process of project design, implementation, and other tasks [36,41,46]. The expected qualities (E) help individuals to adapt to changes in society and the work environment with the rapid technological development of modern society and the swift transformation of market demands [17,42]. In addition, attractive qualities (A) can be strengthened to make architects more competitive in the workplace [18,50]. However, due to the refinement of the division of labor in society, indifferent qualities (I) can be handed over to professionals, with whom architects can divide their work to complete the presentation of projects more efficiently [46].
(2)
We performed skill demand prioritization using the demand for talent in architectural firms as a basic starting point. In contrast to traditional research methods such as principal component analysis and AHP [47,51], this method explores the underlying mathematical and physical patterns from the qualitative to the quantitative level. The requirements for the professional skills of architects also have different priorities according to age, type of organization, job responsibilities, and city (see Table 9). The following indicators were found to be consistent with previous research regarding the needs of society: The design institute group undertakes project management and project design work and has a competitive advantage through presentation ability, basic software ability, and physical and emotional stability [30,40,52]. As regards the real estate and administrative departments that undertake project management and administrative tasks, normative literacy and social responsibility provide architects with a competitive advantage in employment [53]. In universities and research institutes that carry out teaching and research work, prudent thinking, writing ability, and self-learning ability are of higher importance for employment [11,45,51]. In addition, we find that employers in first-tier cities focus on developing forward-looking professional skills, while second-, third-, and fourth-tier cities focus on developing practical skills [32,42,50], which has been less validated in previous studies.
(3)
In contrast to the traditional training model that focuses on professional knowledge and professional skills in architecture, it was found in this study that working individuals with professional soft abilities and personal comprehensive abilities have a greater competitive advantage [45,54]. Higher education must advance the reform of architecture teaching, optimize the development of forward-looking and practical skills, improve the quality of teaching and learning services, and adapt architecture education and training to better align with the needs of the labor market in order to keep pace with the needs of the times [11,46,50]. The findings of this study suggest that higher education should emphasize the importance of interdisciplinary and practical skills [36]. Emphasis should be placed on the integration of skills such as writing, basic knowledge, and research [20,41] from the beginning of architectural studies to enable students to build a solid foundation of professional knowledge and skills during their university studies, not only in the postgraduate context. Secondly, in addition to the cultivation of professional hard skills, university education must focus on improving students’ soft skills and the cultivation of their comprehensive personal abilities [33,45] and begin to pay attention to students’ physical and mental health factors to maintain a work–life balance by considering aspects such as emotional stability (C3) and physical fitness (C7), which have been less reported in previous studies.

5.2. Limitations

This study still has certain shortcomings. Firstly, the evaluation index system is based on the statistics of the existing architectural skills research literature, and there is no uniform consensus on the evaluation system of architecture employability skills in the academic community. Secondly, the Kano model only accounts for the type of demand research, and there is a lack of discussion of how to improve the soft, hard, and comprehensive abilities of employees, leading to a lack of suggestions for actionable strategies for the development and practice of employability skills in the construction industry. Thirdly, the Kano model is a static model. As factors such as time, market environment, and technological development are constantly changing, the model is unable to automatically identify and adjust to such changes, making it difficult to identify and predict the future demand for architect skills in advance, and subsequent research must incorporate other methods and tools to make up for this shortcoming.
In addition, only the demand for employability skills in the construction industry was examined in this study. The evaluation index system can then be optimized to improve the research questionnaire by introducing the multi-stage evaluation method (AHP), which can be carried out by a team consisting of experts, designers, and managers. In order to improve the feasibility of the research, the future research direction can form a Kano–QFD composite model (see Figure 8) through the configuration of the quality function to construct a quantitative method for determining the difficulty level of meeting a specific demand [22,28,55].
Figure 8. Kano–QFD composite model.

6. Conclusions

Based on the Kano model, a construction labor demand questionnaire was constructed in this study, and the demand deviations were analyzed. The B-W coefficient was employed to divide the four main demand attributes, must-be qualities (M), expected qualities (E), attractive qualities (A), and indifferent qualities (I), and the sensitivity and relative weight were introduced to derive the demand ranking of each secondary index. The main conclusions of this study are as follows:
The ranking of the mean importance of the skill requirements of jobs (see Table 8) shows that professional soft abilities > personal comprehensive abilities > professional hard abilities. During the downturn in the construction labor market, employees are placing greater emphasis on improving professional soft abilities.
In order to promote skills in colleges and universities, it is necessary to adapt teaching according to students’ personal interests and preferences and their own career orientation. At the level of professional soft abilities, it is necessary to pay attention to promoting discipline integration, normative literacy, and presentation ability and maintaining an open and integrated attitude. At the level of professional hard abilities, it is necessary to pay attention to the development of solid basic software and writing abilities, adapting to the needs of the times, while retaining interdisciplinary content such as energy-saving knowledge. At the level of personal comprehensive abilities, focus should be placed on emotional stability, physical fitness, and maintaining personal physical and mental health, as well as promoting self-learning ability by taking the initiative to learn new knowledge and skills in the industry and to adapt to the changes in and development of the industry.
Specifically, we advocate that, firstly, architects must strengthen their must-be qualities (M) in the order of self-learning (C5) > basic software (B2) > teamwork (C2) > writing ability (B5) > social responsibility (C4) > aesthetic literacy (A9) > research ability (B6). Secondly, to enhance the expected qualities, the following aspects should be prioritized: discipline integration (A4) > emotional stability (C3) > presentation skills (A6) > normative literacy (A5) > prudent thinking (A3) > physical fitness (C7) > critical thinking (A2) > energy-saving knowledge (B9). Next, to optimize the attractive qualities, architects must concentrate on innovative thinking (A1) > project experience (A7) > material knowledge (B8) > social responsibility (C6) > market sense (C8) > structural knowledge (B7). Finally, architects can develop indifferent qualities (I) to enrich their professional abilities, namely, hand-drawing ability (B1) > career planning (A8) > project management (C1) > advanced software (B3) > media production (B4) > education level (C9), although these are not necessary skills (see Table 7).
The results of this work represent a new way of thinking for higher education reform research, which is crucial for individual employment, corporate recruitment, and the promotion of architectural talent in universities in the context of gradually improving talent competency requirements. This study can also provide an innovative research methodology for the study of architect employment globally while suggesting solutions to the employment crisis of architects. The aim of the present study was to improve employers’ satisfaction with employees, and the method can help employers to recruit qualified personnel according to needs. Faced with the questioning and critical scrutiny of traditional architecture education, the results of this study can be extended to other scientific teaching research, which is conducive to the reform of teaching and training programs in higher education. The study also provides directions for students of different majors to improve their skills, provides referable ideas for individual career planning and employment development to improve skills, and promotes the benign development of different industries.

Author Contributions

Conceptualization, W.Z.; methodology, H.G.; formal analysis, W.Z. and F.L.; investigation, W.Z., F.L. and B.L.; data curation, W.Z. and F.L.; writing—original draft preparation, W.Z. and F.L.; writing—review and editing, H.G. and B.L.; visualization, W.Z. and F.L.; project administration, W.Z.; supervision, H.G. All authors have read and agreed to the published version of the manuscript.

Funding

This research received grants from The 2023 Guangdong Province undergraduate teaching quality and teaching reform project, The 2024 Guangdong Province Education Science Planning Project (Higher Education Special), grant number 2024GXJK225, The Guangdong Province General Universities Young Innovative Talent Project, grant number 2023WQNCX122, The Guangdong Philosophy and Social Sciences Planning Youth Project, grant number GD24YYS19, and 2024–2025 Philosophy and social Science planning project of Jinwan District, grant number 202401.

Institutional Review Board Statement

Studies involving human participants were reviewed and approved by the Ethics Committee of the College of Science and Technology, Zhuhai, China.

Data Availability Statement

The raw data supporting the conclusions of this article will be retained by the authors and will not be provided. All figures and tables were drawn by the author.

Conflicts of Interest

The authors declare no conflicts of interest.

References

  1. Shahruddin, S.; Husain, S.H. Navigating paradoxes of identity and leadership in the age of digital transformation of construction industry: Architects’ experiences and perceptions. Constr. Manag. Econ. 2024, 42, 591–609. [Google Scholar] [CrossRef]
  2. Juricic, B.B.; Galic, M.; Marenjak, S. Review of the Construction Labour Demand and Shortages in the EU. Buildings 2021, 11, 17. [Google Scholar] [CrossRef]
  3. Ceric, A.; Ivic, I. Construction labor and skill shortages in Croatia: Causes and response strategies. Organ. Technol. Manag. Constr. 2020, 12, 2232–2244. [Google Scholar] [CrossRef]
  4. Barriuso, A.R.; Escribano, B.M.V.; Sáiz, A.R. The importance of preventive training actions for the reduction of workplace accidents within the Spanish construction sector. Saf. Sci. 2021, 134, 105090. [Google Scholar] [CrossRef]
  5. Chih, Y.Y.; Hsiao, C.Y.L. Brace for Another Crisis: Empirical Evidence from US Construction Industry and Firm Performance during and after 2007-2009 Global Financial Crisis. J. Manage. Eng. 2023, 39, 14. [Google Scholar] [CrossRef]
  6. Rajkovic, D.; Katavic, I. The impact of the global crisis on the croatian construction and building material industry. In Proceedings of the 5th International Scientific Conference on Entrepreneurship and Macroeconomic Management: Reflections on the World in Turmoil, Pula, Croatia, 24–26 March 2011; p. 1819. [Google Scholar]
  7. Ma, L.; Liu, C.L. Did the late-2000s financial crisis influence construction labour productivity? Constr. Manag. Econ. 2014, 32, 1030–1047. [Google Scholar] [CrossRef]
  8. Dabral, S.; Parikh, H. Pune Declaration on the State of Architecture in India. 2020. Available online: https://patterns.architexturez.net/doc/az-cf-193563 (accessed on 12 June 2023).
  9. Elger, D.; Russell, P. Crisis? What crisis? Approaching information space: New dimensions in the field of architecture. Int. J. Archit. Comput. 2006, 4, 107–121. [Google Scholar] [CrossRef]
  10. Iqbal, M.; Ahmad, N.; Waqas, M.; Abrar, M. COVID-19 pandemic and construction industry: Impacts, emerging construction safety practices, and proposed crisis management framework. Braz. J. Oper. Prod. Manag. 2021, 18, 17. [Google Scholar] [CrossRef]
  11. Mehaffy, M.W. Architectural education: Still training tailors for the empire’s new clothes. New Des. Ideas 2019, 3, 154–158. [Google Scholar]
  12. Boyer, E.; Mitgang, L. Building Community: A New Future for Architecture Education and Practice: A Special Report; Jossey-Bass Inc.: Hoboken, NJ, USA, 1996. [Google Scholar]
  13. Salama, A.M. Spatial Design Education: New Directions for Pedagogy in Architecture and Beyond; Spatial Design Education: New Directions for Pedagogy in Architecture and Beyond; Routledge: London, UK, 2015. [Google Scholar]
  14. Hill, D. Architects Without Architecture: How Transdisciplinary Studios Reposition for 21st-Century Challenges. Archit. Des. 2020, 90, 108–113. [Google Scholar] [CrossRef]
  15. Mohammad, O.; Alabdulla, M.M. Landscape architecture design as an art creative practice: A studio teaching model. Landsc. Archit. Art 2022, 20, 92–101. [Google Scholar] [CrossRef]
  16. Khan, S.; Khan, H. Nemesis in the genesis: Reforming architectural education in India. New Des. Ideas 2019, 3, 148–153. [Google Scholar]
  17. Molina-Zambrano, M.; Morales, Y.A.R. Architecture students’ digital skills: Exploratory study to integrate ICT in the learning of architectural design. Etic Net-Rev. Cient. Electron. Educ. Y Comun. Soc. Conoc. 2022, 22, 172–194. [Google Scholar] [CrossRef]
  18. Borda-de-Água, L. How scientific attitudes can help get architecture out of its present mess: Three simple rules to follow. New Des. Ideas 2020, 4, 65–67. [Google Scholar]
  19. Moscoso, C.; Chamilothori, K.; Wienold, J.; Andersen, M.; Matusiak, B. Regional Differences in the Perception of Daylit Scenes across Europe Using Virtual Reality. Part I: Effects of Window Size. Leukos 2022, 18, 294–315. [Google Scholar] [CrossRef]
  20. Kurt, M.; Kurt, S. Improving Design Understandings and Skills through Enhanced Metacognition: Reflective Design Journals. Int. J. Art Des. Educ. 2017, 36, 226–238. [Google Scholar] [CrossRef]
  21. Barsalou, M. Illuminating the Kano Model with a Case Study. Tem J. -Technol. Educ. Manag. Inform. 2023, 12, 614–622. [Google Scholar] [CrossRef]
  22. Kinker, P.; Swarnakar, V.; Singh, A.R.; Jain, R. Prioritizing NBA quality parameters for service quality enhancement of polytechnic education institutes-A fuzzy Kano-QFD approach. Mater. Today-Proc. 2021, 47, 5788–5793. [Google Scholar] [CrossRef]
  23. Qiu, Y.M. Application of Personalized Demand Based on Kano Model in Private Colleges. Discret. Dyn. Nat. Soc. 2022, 2022, 3921824. [Google Scholar] [CrossRef]
  24. Chen, Y.C.; Ho, C.C.; Kuo, S.M. Service Quality of and User Satisfaction with Non-State-Owned Academic Libraries in China: Integrating the Fuzzy Delphi Method with the Kano Approach. Sustainability 2022, 14, 8506. [Google Scholar] [CrossRef]
  25. Barrios-Ipenza, R.; Calvo-Mora, A.; Roldán, J.L.; Ayala, R.M. Quality assessment of graduate services: Kano model application to a Peruvian university. Qual. High. Educ. 2024, 30, 446–467. [Google Scholar] [CrossRef]
  26. El-Sayed, A.A.I.; Abdelaliem, S.M.F. Application of Kano model for optimizing the training system among nursing internship students: A mixed-method Egyptian study. BMC Nurs. 2023, 22, 1–18. [Google Scholar] [CrossRef] [PubMed]
  27. Ku, G.C.M.; Shang, I.W. Using the Integrated Kano-RIPA Model to Explore Teaching Quality of Physical Education Programs in Taiwan. Int. J. Environ. Res. Public Health 2020, 17, 3954. [Google Scholar] [CrossRef] [PubMed]
  28. Ömürgönülsen, M.; Eryigit, C.; Tektas, Ö.; Soysal, M. Enhancing the Quality of a Higher Education Course: Quality Function Deployment and Kano Model Integration. Yuksekogretim Derg. 2020, 10, 312–327. [Google Scholar] [CrossRef]
  29. Qiao, L.F.; Zhang, Y.C. Analysis of MOOC Quality Requirements for Landscape Architecture Based on the KANO Model in the Context of the COVID-19 Epidemic. Sustainability 2022, 14, 15775. [Google Scholar] [CrossRef]
  30. Yusoff, W.F.M.; Ja’afar, N.H.; Mohammad, N. Preliminary Investigation on Architecture Students’ Perceptions of Developing Hard and Soft Skills via Project-Based Learning. J. Kejuruter. 2022, 34, 629–637. [Google Scholar] [CrossRef]
  31. Altassan, A.A. Relationship of the Predictive Value of Admission Criteria to Academic Excellence: College of Architecture and Planning, King Saud University-Case Study. J. Archit. Plan. -King Saud Univ. 2023, 35, 335–363. [Google Scholar] [CrossRef]
  32. García-Escudero, D.; Bardí-Milà, B.; Fayos, F.; Dalmau, F.V. Relationship Between the University Admission Score and Academic Performance in Architecture Studies. The Case of Plan 94 at the Barcelona School of Architecture. Ace-Archit. City Environ. 2021, 16. [Google Scholar] [CrossRef]
  33. Gómez, M.A.; Herrera, R.F.; Atencio, E.; Mulioz-La Rivera, F.C. Key Management Skills for Integral Civil Engineering Education. Int. J. Eng. Pedagog. 2021, 11, 64–77. [Google Scholar] [CrossRef]
  34. Wang, P. PLS-SEM Model of Integrated Stem Education Concept and Network Teaching Model of Architectural Engineering Course. Math. Probl. Eng. 2022, 2022, 1–10. [Google Scholar] [CrossRef]
  35. Yüksel, Ç.; Uyaroglu, I.D. Experiential Learning in Basic Design Studio: Body, Space and the Design Process. Int. J. Art Des. Educ. 2021, 40, 508–525. [Google Scholar] [CrossRef]
  36. Khodeir, L.M.; Nessim, A.A. Changing skills for architecture students employability: Analysis of job market versus architecture education in Egypt. Ain Shams Eng. J. 2020, 11, 811–821. [Google Scholar] [CrossRef]
  37. Liu, J.; Bao, L.; Ye, B.Y.; Wang, J.Q. Low-carbon progressive design for sustainable development of buildings. Indoor Built Environ. 2023, 32, 1638–1656. [Google Scholar] [CrossRef]
  38. Mulligan, K.; Calder, A.; Mulligan, H. Inclusive design in architectural practice: Experiential learning of disability in architectural education. Disabil. Health J. 2018, 11, 237–242. [Google Scholar] [CrossRef] [PubMed]
  39. Hou, N.; Nishina, D.; Sugita, S.; Jiang, R.; Kindaichi, S.; Oishi, H.; Shimizu, A. Virtual reality space in architectural design education: Learning effect of scale feeling. Build. Environ. 2024, 248, 111060. [Google Scholar] [CrossRef]
  40. Salman, H.S.; Laing, R.; Conniff, A. The impact of computer aided architectural design programs on conceptual design in an educational context. Des. Stud. 2014, 35, 412–439. [Google Scholar] [CrossRef]
  41. Avsec, S.; Jagiello-Kowalczyk, M.; Zabicka, A. Enhancing Transformative Learning and Innovation Skills Using Remote Learning for Sustainable Architecture Design. Sustainability 2022, 14, 3928. [Google Scholar] [CrossRef]
  42. Ozdamar, B.B.; Ozdamar, M. Evaluation of Interior Architecture Education Programmes in Terms of the Multidisciplinary Approach. Eurasian J. Educ. Res. 2021, 21, 253–274. [Google Scholar] [CrossRef]
  43. Shahruddin, S.; Zairul, M.; Haron, A.T. Redefining the territory and competency of architectural practitioners within a BIM-based environment: A systematic review. Archit. Eng. Des. Manag. 2021, 17, 376–410. [Google Scholar] [CrossRef]
  44. Islam, A. Sources of satisfaction and dissatisfaction with a learning management system in post-adoption stage: A critical incident technique approach. Comput. Hum. Behav. 2014, 30, 249–261. [Google Scholar] [CrossRef]
  45. Riahi, S. Strengthening the Teaching of Soft Skills in the Pedagogical Architecture of Moroccan Universities. Int. J. Eng. Pedagog. 2022, 12, 47–62. [Google Scholar] [CrossRef]
  46. Porat, R.; Ceobanu, C. Enhancing Spatial Ability: A New Integrated Hybrid Training Approach for Engineering and Architecture Students. Educ. Sci. 2024, 14, 563. [Google Scholar] [CrossRef]
  47. Kwofie, T.E.; Amos-Abanyie, S.; Afram, S.O. Principal component analysis of professional competencies of architects in the Ghanaian construction industry. Eng. Constr. Archit. Manag. 2016, 23, 571–587. [Google Scholar] [CrossRef]
  48. Alhasani, M. A study on albanian students’ perceptions of the esp courses contribution to their engineering/architecture knowledge acquisition and communication competence. J. Teach. Engl. Specif. Acad. Purp. 2021, 9, 109–117. [Google Scholar] [CrossRef]
  49. Vissers-Similon, E.; Dounas, T.; De Walsche, J. Classification of artificial intelligence techniques for early architectural design stages. Int. J. Archit. Comput. 2024. [Google Scholar] [CrossRef]
  50. Pons-Valladares, O.; Hosseini, S.M.A.; Franquesa, J. Innovative Approach to Assist Architecture Teachers in Choosing Practical Sessions. Sustainability 2022, 14, 7081. [Google Scholar] [CrossRef]
  51. Lotfabadi, P.; Iranmanesh, A. Evaluation of learning methods in architecture design studio via analytic hierarchy process: A case study. Archit. Eng. Des. Manag. 2024, 20, 47–64. [Google Scholar] [CrossRef]
  52. Ismail, S.; Che Ibrahim, C.K.I.; Belayutham, S.; Mohammad, M.Z. Analysis of attributes critical to the designer’s prevention through design competence in construction: The case of Malaysia. Archit. Eng. Des. Manag. 2021, 18, 325–343. [Google Scholar] [CrossRef]
  53. Sharma, K.K.; Israel, D.; Bhalla, B. Does previous work experience matter in students’ learning in higher project management education? Eng. Constr. Archit. Manag. 2019, 28, 424–450. [Google Scholar] [CrossRef]
  54. Utaberta, N.; Hassanpour, B.; Bahar, M.A.; Ani, A.I.C. A Comprehensive Learning of Architecture Education: Understanding Critique Session as Learning Process and Criteria-Based Assessment in the Architecture Design Studio. Procedia Soc. Behav. Sci. 2013, 102, 21–32. [Google Scholar] [CrossRef][Green Version]
  55. Dewi, D.R.S.; Debora, J.; Sianto, M.E. Dealing with dissatisfaction in mathematical modelling to integrate QFD and Kano’s model. In Proceedings of the 10th International Seminar on Industrial Engineering and Management: Sustainable Development in Industry and Management, Tanjung Pandan, Indonesia, 7–9 November 2017. [Google Scholar]
Disclaimer/Publisher’s Note: The statements, opinions and data contained in all publications are solely those of the individual author(s) and contributor(s) and not of MDPI and/or the editor(s). MDPI and/or the editor(s) disclaim responsibility for any injury to people or property resulting from any ideas, methods, instructions or products referred to in the content.

Article Metrics

Citations

Article Access Statistics

Multiple requests from the same IP address are counted as one view.