Responses of Soil Aggregate Stability and SOC to Different Tillage Modes and Straw Input Level
Abstract
1. Introduction
2. Materials and Methods
2.1. Site Description
2.2. Experiment Design
2.2.1. Long-Term Positioning Experiments
2.2.2. Split Plot Experiment
2.3. Soil Sampling
2.4. Soil Analysis
2.5. Soil Aggregate Fraction
2.6. Statistical Analysis
3. Results
3.1. Effects of Different Tillage Modes and Straw Input Levels on Soil Aggregate Size Distribution
3.2. Effects of Different Tillage Modes and Straw Input Levels on Soil Aggregate Stability
3.2.1. Effects of Different Tillage Modes and Straw Input Levels on MWD
3.2.2. Effects of Different Tillage Modes and Straw Input Levels on GWD
3.2.3. Effects of Different Tillage Modes and Straw Input Levels on R0.25
3.2.4. Effects of Different Tillage Modes and Straw Input Levels on RDS
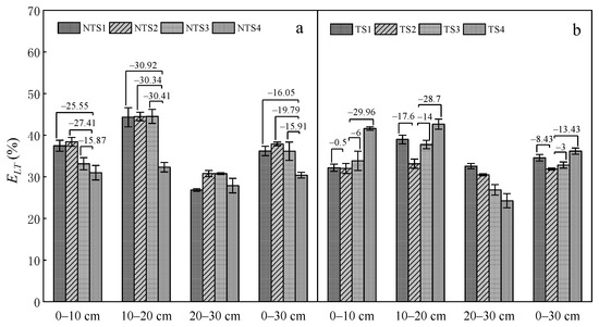
3.2.5. Effects of Different Tillage Modes and Straw Input Levels on ELT
3.3. Effects of Different Tillage Modes and Straw Input Levels on SOC and Its Fractions
3.3.1. Effects of Different Tillage Modes and Straw Input Levels on SOC
3.3.2. Effects of Different Tillage Modes and Straw Input Levels on HWC
3.3.3. Effects of Different Tillage Modes and Straw Input Levels on DOC
3.3.4. Effects of Different Tillage Modes and Straw Input Levels on MBC
3.4. Correlation Between SOC and Soil Aggregates
3.4.1. Correlation Between SOC and Soil Aggregates Stability
3.4.2. Correlation Among SOC Fractions
4. Discussion
4.1. Soil Aggregates Characteristics
4.2. SOC and Its Fractions
4.3. Soil Aggregates and SOC
5. Conclusions
Author Contributions
Funding
Institutional Review Board Statement
Informed Consent Statement
Data Availability Statement
Acknowledgments
Conflicts of Interest
References
- Cerdà, A. Soil aggregate stability in three Mediterranean environments. Soil Technol. 1996, 9, 129–133. [Google Scholar] [CrossRef]
- Pan, G.; Wu, L.; Zhang, X.; Gong, W.; Wood, Y. Organic carbon stratification and size distribution of three typical paddy soils from Taihu Lake region, China. J. Environ. Sci. 2008, 20, 456–463. [Google Scholar] [CrossRef]
- Six, J.; Conant, R.T.; Paul, E.A.; Paustian, K. Stabilization mechanisms of soil organic matter: Implications for C-saturation of soils. Plant Soil 2002, 241, 155–176. [Google Scholar] [CrossRef]
- Stewart, C.E.; Paustian, K.; Conant, R.T.; Plante, A.F.; Six, J. Soil carbon saturation: Concept, evidence and evaluation. Biogeochemistry 2007, 86, 19–31. [Google Scholar] [CrossRef]
- West, T.O.; Six, J. Considering the influence of sequestration duration and carbon saturation on estimates of soil carbon capacity. Clim. Chang. 2007, 80, 25–41. [Google Scholar] [CrossRef]
- Novara, A.; Poma, I.; Sarno, M.; Venezia, G.; Gristina, L. Long-Term Durum Wheat-Based Cropping Systems Result in the Rapid Saturation of Soil Carbon in the Mediterranean Semi-arid Environment. Land Degrad. Dev. 2016, 27, 612–619. [Google Scholar] [CrossRef]
- Brevik, E.C. The interdisciplinary nature of SOIL. Soil 2015, 1, 117–129. [Google Scholar] [CrossRef]
- Yang, X.; Ren, W.; Sun, B.; Zhang, S. Effects of contrasting soil management regimes on total and labile soil organic carbon fractions in a loess soil in China. Geoderma 2012, 177–178, 49–56. [Google Scholar] [CrossRef]
- Sui, Y.Y.; Jiao, X.J.; Liu, X.B.; Zhang, X.Y.; Ding, G.W. Water-stable aggregates and their organic carbon distribution after five years of chemical fertilizer and manure treatments on eroded farmland of Chinese Mollisols. Can. J. Soil Sci. 2012, 92, 551–557. [Google Scholar] [CrossRef]
- Zotarelli, L.; Alves, B.J.R.; Urquiaga, S.; Boddey, R.M.; Six, J. Impact of tillage and crop rotation on light fraction and intra-aggregate soil organic matter in two Oxisols. Soil Tillage Res. 2007, 95, 196–206. [Google Scholar] [CrossRef]
- Andruschkewitsch, R.; Koch, H.J.; Ludwig, B. Effect of long-term tillage treatments on the temporal dynamics of water-stable aggregates and on macro-aggregate turnover at three German sites. Geoderma 2014, 217–218, 57–64. [Google Scholar] [CrossRef]
- Zhang, S.; Qi, L.; Zhang, X.; Kai, W.; Liang, W. Effects of conservation tillage on soil aggregation and aggregate binding agents in black soil of Northeast China. Soil Tillage Res. 2013, 124, 196–202. [Google Scholar] [CrossRef]
- Niu, L.-A.; Hao, J.-M.; Zhang, B.-Z.; Niu, X.-S. Influences of Long-Term Fertilizer and Tillage Management on Soil Fertility of the North China Plain. Pedosphere 2011, 21, 813–820. [Google Scholar] [CrossRef]
- Htun, Y.M.; Tong, Y.; Gao, P.; Ju, X. Coupled effects of straw and nitrogen management on N2O and CH4 emissions of rainfed agriculture in Northwest China. Atmos. Environ. 2017, 157, 156–166. [Google Scholar] [CrossRef]
- Zhang, W.J.; Wang, X.J.; Xu, M.G.; Huang, S.M.; Liu, H.; Peng, C. Soil organic carbon dynamics under long-term fertilizations in arable land of northern China. Biogeosci. Discuss. 2010, 7, 409–425. [Google Scholar] [CrossRef]
- Ma, S.; Kan, Z.; Qi, J.; Zhang, H. Effects of Straw Return Mode on Soil Aggregates and Associated Carbon in the North China Plain. Agronomy 2020, 10, 61. [Google Scholar] [CrossRef]
- West, T.O.; Marland, G. A synthesis of carbon sequestration, carbon emissions, and net carbon flux in agriculture: Comparing tillage practices in the United States. Agric. Ecosyst. Environ. 2002, 91, 217–232. [Google Scholar] [CrossRef]
- García-Orenes, F.; Cerdà, A.; Mataix-Solera, J.; Guerrero, C.; Bodí, M.B.; Arcenegui, V.; Zornoza, R.; Sempere, J.G. Effects of agricultural management on surface soil properties and soil-water losses in eastern Spain. Soil Tillage Res. 2009, 106, 117–123. [Google Scholar] [CrossRef]
- Liu, C.; Lu, M.; Cui, J.; Li, B.; Fang, C. Effects of straw carbon input on carbon dynamics in agricultural soils: A meta-analysis. Glob. Change Biol. 2014, 20, 1366–1381. [Google Scholar] [CrossRef] [PubMed]
- Stewart, C.E.; Paustian, K.; Conant, R.T.; Plante, A.F.; Six, J. Soil carbon saturation: Evaluation and corroboration by long-term incubations. Soil Biol. Biochem. 2008, 21, 189–195. [Google Scholar] [CrossRef]
- Vance, E.D.; Brookes, P.C.; Jenkinson, D.S. An extraction method for measuring soil microbial biomass C. Soil Biol. Biochem. 1987, 19, 703–707. [Google Scholar] [CrossRef]
- Haynes, R.J.; Francis, G.S. Changes in microbial biomass C, soil carbohydrate composition and aggregate stability induced by growth of selected crop and forage species under field conditions. J. Soil Sci. 1993, 44, 665–675. [Google Scholar] [CrossRef]
- Minamiya, Y.; Kaneko, N.; Yagioka, A.; Watanabe, Y.; Arai, M.; Tsuzura, H. Changes in water stable aggregate and soil carbon accumulation in a no-tillage with weed mulch management site after conversion from conventional management practices. Geoderma Int. J. Soil Sci. 2014, 221/222, 50–60. [Google Scholar] [CrossRef]
- Zhong, X.L.; Li, J.T.; Li, X.J.; Ye, Y.C.; Liu, S.S.; Hallett, P.D.; Ogden, M.R.; Naveed, M. Physical protection by soil aggregates stabilizes soil organic carbon under simulated N deposition in a subtropical forest of China. Geoderma 2017, 285, 323–332. [Google Scholar] [CrossRef]
- Wang, X.; Qi, J.-Y.; Zhang, X.-Z.; Li, S.-S.; Virk, A.L.; Zhao, X.; Xiao, X.-P.; Zhang, H.-L. Effects of tillage and residue management on soil aggregates and associated carbon storage in a double paddy cropping system. Soil Tillage Res. 2019, 194, 104339. [Google Scholar] [CrossRef]
- Li, J. Long-term tillage impacts on soil aggregate organic carbon and Microbial community Diversity. Chin. Acad. Agric. Sci. 2014, 915, 170018. [Google Scholar]
- Wang, H.X.; Sun, H.X.; Han, Q.F.; Wang, M.; Zhang, R.; Jia, Z.K.; Nie, J.; Fiu, T.L. Effects of straw mulching on the soil aggregates in dryland wheat field under no-tillage. J. Appl. Ecol. 2012, 23, 6. [Google Scholar]
- Shen, X.L.; Wang, L.L.; Yang, Q.C.; Xiu, W.M.; Li, G.; Zhao, J.N.; Zhang, G.L. Dynamics of Soil Organic Carbon and Labile Carbon Fractions in Soil Aggregates Affected by Different Tillage Managements. Sustainability 2021, 13, 1541. [Google Scholar] [CrossRef]
- Modak, K.; Biswas, D.R.; Ghosh, A.; Pramanik, P.; Bhattacharyya, R. Zero tillage and residue retention impact on soil aggregation and carbon stabilization within aggregates in subtropical India. Soil Tillage Res. 2020, 202, 104649. [Google Scholar] [CrossRef]
- Nimmo, J.R.; Perkins, K.S. Aggregates stability and size distribution. In Methods of Soil Analysis; Part 4-Physical Methods; Soil Science Society of America, Inc.: Madison, WI, USA, 2002; pp. 317–328. [Google Scholar]
- Siczek, A.; FraC, M. Soil microbial activity as influenced by compaction and straw mulching. Int. Agrophys. 2012, 26, 65–69. [Google Scholar] [CrossRef]
- Jiang, M.; Wang, X.; Liusui, Y.; Han, C.; Zhao, C.; Liu, H. Variation of soil aggregation and intra-aggregate carbon by long-term fertilization with aggregate formation in a grey desert soil. Catena 2017, 149, 437–445. [Google Scholar] [CrossRef]
- Plaza-Bonilla, D.; Álvaro-Fuentes, J.; Cantero-Martínez, C. Identifying soil organic carbon fractions sensitive to agricultural management practices. Soil Tillage Res. 2014, 139, 19–22. [Google Scholar] [CrossRef]
- Duru, M.; Therond, O.; Martin, G.; Martin, R.; Magne, M.A.; Justes, E.; Journet, E.P.; Aubertot, J.-N.; Savary, S.; Bergez, J.E. How to implement biodiversity-based agriculture to enhance ecosystem services: A review. Agron. Sustain. Dev. 2015, 35, 1259–1281. [Google Scholar] [CrossRef]
- Culman, S.W.; Snapp, S.S.; Freeman, M.A.; Schipanski, M.E.; Beniston, J.; Lal, R.; Drinkwater, L.E.; Franzluebbers, A.; Glover, J.D.; Grandy, A.S.; et al. Permanganate oxidizable carbon reflects a processed soil fraction that is sensitive to management. Soil Sci. Soc. Am. J. 2012, 76, 494–504. [Google Scholar] [CrossRef]
- Kätterer, T.; Börjesson, G.; Kirchmann, H. Changes in organic carbon in topsoil and subsoil and microbial community composition caused by repeated additions of or-ganic amendments and N fertilisation in a long-term field experiment in Sweden. Agric. Ecosyst. Environ. 2014, 189, 110–118. [Google Scholar] [CrossRef]
- Fontaine, S.; Barot, S.; Barré, P.; Bdioui, N.; Mary, B.; Rumpel, C.; Fontaine, S.; Barot, S.; Barré, P. Stability of organic carbon in deep soil layers controlled by fresh carbon supply. Nature 2007, 450, 277–280. [Google Scholar] [CrossRef] [PubMed]
- Nomura, D. Arctic and Antarctic sea ice acts as a sink for atmospheric CO2 during periods of snowmelt and surface flooding. J. Geophys. Res. Ocean. 2013, 118, 6511–6524. [Google Scholar] [CrossRef]
- Wang, H.; Guan, D.; Zhang, R.; Chen, Y.; Hu, Y.; Xiao, L. Soil aggregates and organic carbon affected by the land use change from rice paddy to vegetable field. Ecol. Eng. 2014, 70, 206–211. [Google Scholar] [CrossRef]
- Kuzyakov, Y.; Friedel, J.K.; Stahr, K.; Kuzyakov, Y.; Friedel, J.K.; Stahr, K. Review of mechanisms and quantification of priming effects. Soil Biol. Biochem. 2000, 32, 1485. [Google Scholar] [CrossRef]
- Zhao, Z.; Geng, P.; Wang, X.; Li, X.; Cai, P.X.; Zhan, X.M.; Han, X.R. Improvement of Active Organic Carbon Distribution and Soil Quality with the Combination of Deep Tillage and No-Tillage Straw Returning Mode. Agronomy 2023, 13, 2398. [Google Scholar] [CrossRef]
- De Los Rios, J.; Poyda, A.; Taube, F.; Kluß, C.; Loges, R.; Reinsch, T. No-Till Mitigates SOC Losses after Grassland Renovation and Conversion to Silage Maize. Agriculture 2022, 12, 1204. [Google Scholar] [CrossRef]
- He, T.; Yang, Y.; Peng, T.; Wang, Y.; Zhang, G.; Chen, X.; Liu, Y.; Liu, B. The role of straw mulching in shaping rills and stabilizing rill network under simulated extreme rainfall. Soil Tillage Res. 2023, 229, 105656. [Google Scholar] [CrossRef]
- Zhang, J.; Jia, L.; Zhang, Z.; Wei, Y.; Wang, Y.; Su, Z. Effect of the soil-implement contact area on soil translocation under hoeing tillage. Soil Tillage Res. 2018, 183, 42–50. [Google Scholar] [CrossRef]












| Growing and Harvest Season | Cultivar | Plant Pattern | Sowing (kg/ha) | Nutrient Input (kg/ha) | |
|---|---|---|---|---|---|
| P2O5 | N | ||||
| March to July | Dingxi 40 | Directly sowing rows spaced 20 cm | 187.5 | 105 | 105 |
| April to July | Lvnon 1 | Directly sowing rows spaced 24 cm | 180 | 105 | 20 |
| Tillage Modes | Treatments | Straw Input Level (kg/ha) | |
|---|---|---|---|
| Wheat | Pea | ||
| Tradition tillage with straw return (TS) | 1-time treatment(TS1) | 3500 | 1500 |
| 2-time treatment(TS2) | 7000 | 3000 | |
| 3-time treatment(TS3) | 10,500 | 4500 | |
| 4-time treatment(TS4) | 14,000 | 6000 | |
| No-till with straw mulching (NTS) | 1-time treatment(NTS1) | 3500 | 1500 |
| 2-time treatment(NTS2) | 7000 | 3000 | |
| 3-time treatment(NTS3) | 10,500 | 4500 | |
| 4-time treatment(NTS4) | 14,000 | 6000 | |
Disclaimer/Publisher’s Note: The statements, opinions and data contained in all publications are solely those of the individual author(s) and contributor(s) and not of MDPI and/or the editor(s). MDPI and/or the editor(s) disclaim responsibility for any injury to people or property resulting from any ideas, methods, instructions or products referred to in the content. |
© 2025 by the authors. Licensee MDPI, Basel, Switzerland. This article is an open access article distributed under the terms and conditions of the Creative Commons Attribution (CC BY) license (https://creativecommons.org/licenses/by/4.0/).
Share and Cite
Ren, X.; Zhang, X.; Cai, L.; Wu, J. Responses of Soil Aggregate Stability and SOC to Different Tillage Modes and Straw Input Level. Sustainability 2025, 17, 893. https://doi.org/10.3390/su17030893
Ren X, Zhang X, Cai L, Wu J. Responses of Soil Aggregate Stability and SOC to Different Tillage Modes and Straw Input Level. Sustainability. 2025; 17(3):893. https://doi.org/10.3390/su17030893
Chicago/Turabian StyleRen, Xiaoyan, Xinyi Zhang, Liqun Cai, and Jun Wu. 2025. "Responses of Soil Aggregate Stability and SOC to Different Tillage Modes and Straw Input Level" Sustainability 17, no. 3: 893. https://doi.org/10.3390/su17030893
APA StyleRen, X., Zhang, X., Cai, L., & Wu, J. (2025). Responses of Soil Aggregate Stability and SOC to Different Tillage Modes and Straw Input Level. Sustainability, 17(3), 893. https://doi.org/10.3390/su17030893

