Collaborative Optimization of Stope Cooling and Geothermal Energy Exploitation for Backfill Embedded Heat Exchanger
Abstract
1. Introduction
2. Model Establishment
2.1. Physical Model
2.2. Mathematical Model
2.2.1. Model Assumption
- (1)
- Both the backfill and BEHE are considered isotropic, with thermophysical parameters remaining constant with respect to temperature.
- (2)
- The contact thermal resistance between the backfill and the heat transfer pipe is ignored;
- (3)
- The influence of seepage on the thermal conductivity of the BEHE and surrounding rock is not considered, and ignores the heat and humidity migration of soil;
- (4)
- The air in the stope area is regarded as an incompressible fluid, satisfying Boussinesq hypothesis.
2.2.2. Governing Equations
2.2.3. Boundary Conditions
- (1)
- Heat transfer pipe inlet: ,
- (2)
- Surrounding rock adjacent to the backfill:
- (3)
- Surrounding rock adjacent to the stope area:
- (4)
- The junction between the BEHE and the backfill area [53]:
3. Numerical Simulation and Verification
3.1. Numerical Simulation Method
3.2. Independence Verification
3.3. Model Verification
4. Results and Discussions
4.1. Cooling Period Analysis
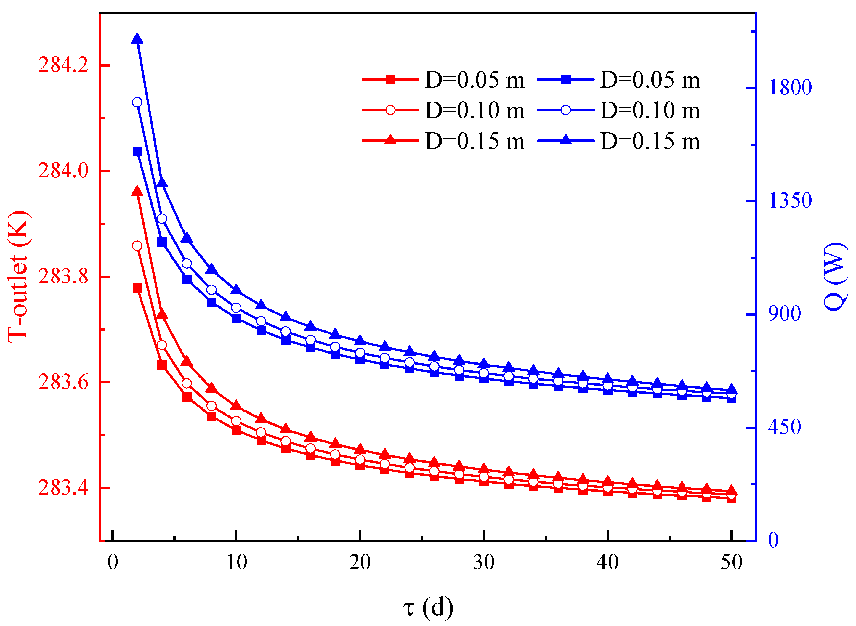
4.1.1. Distance from the BEHE to the Cold Radiation Surface D
4.1.2. Pipe Spacing S
4.1.3. Pipe Diameter DN
4.1.4. Number of Pipe Layers F
4.1.5. Pipe Layer Spacing PLS
4.2. Geothermal Exploitation Period Analysis
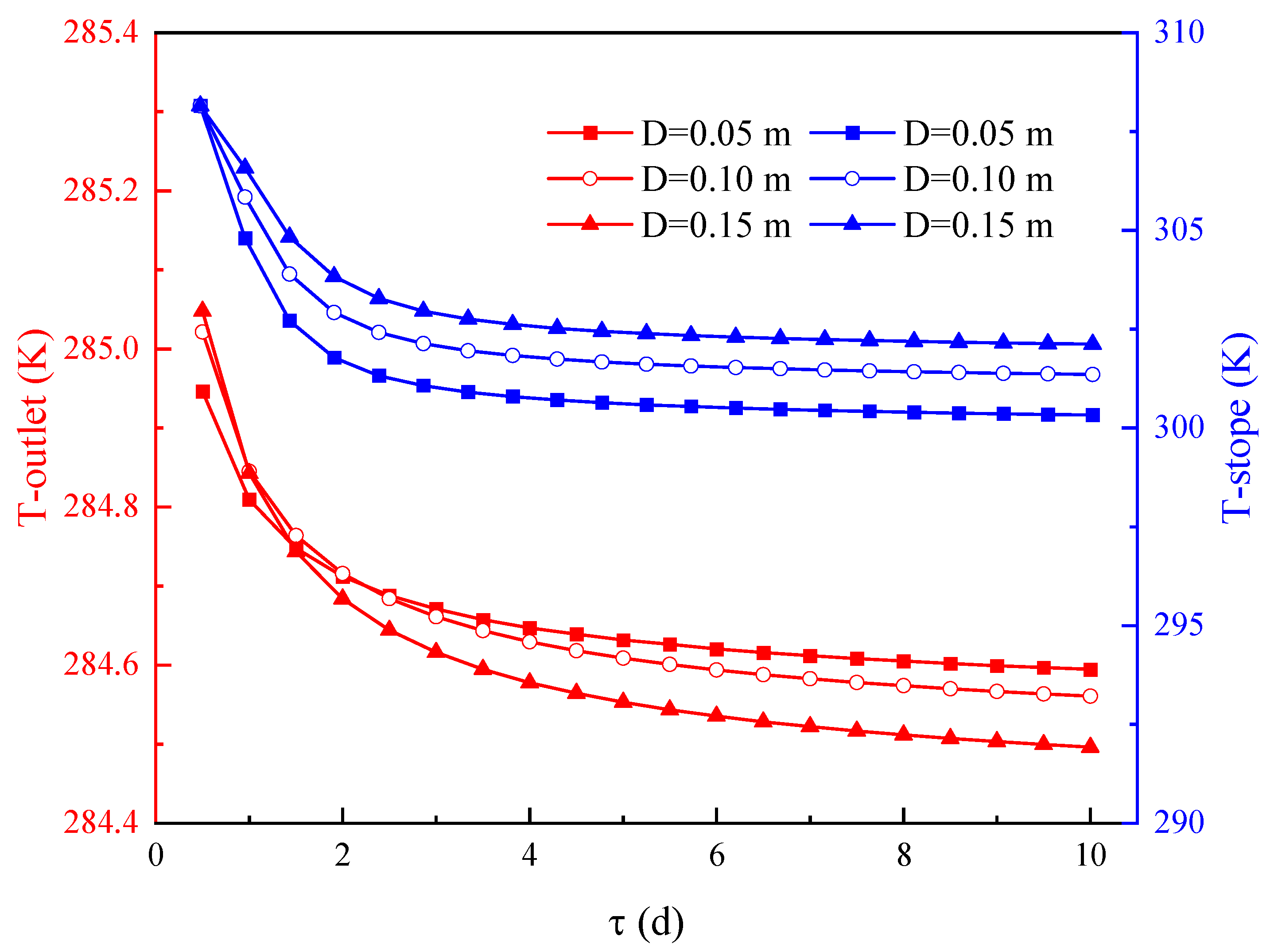
4.2.1. Distance from the BEHE to the Cold Radiation Surface D
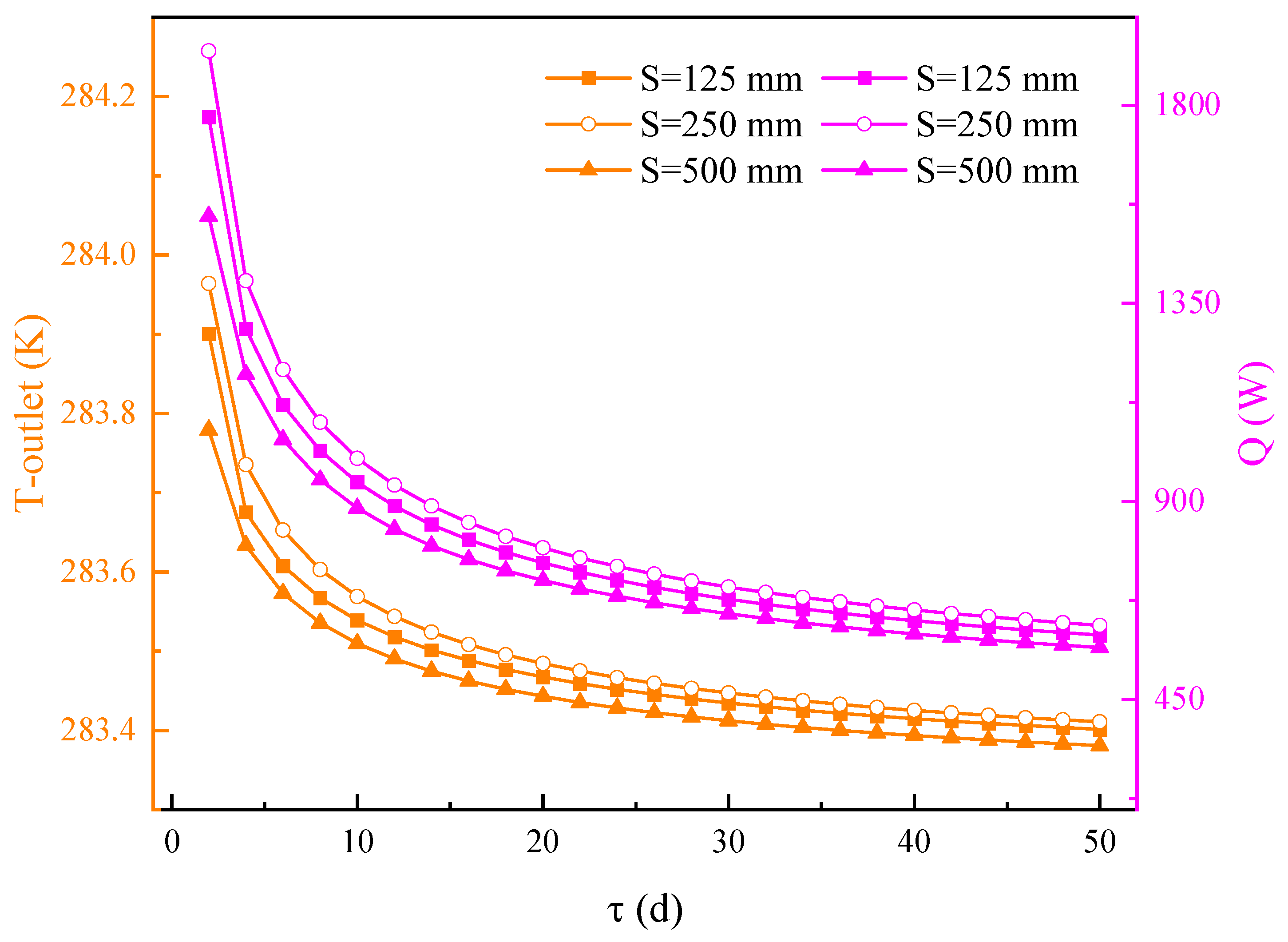
4.2.2. Pipe Spacing S
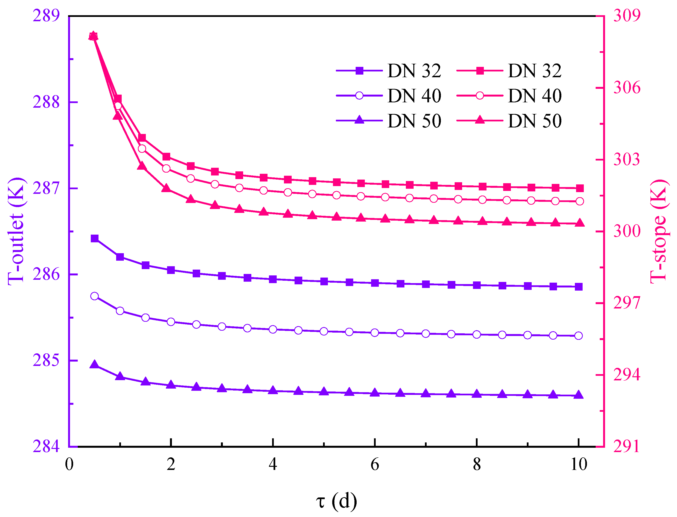
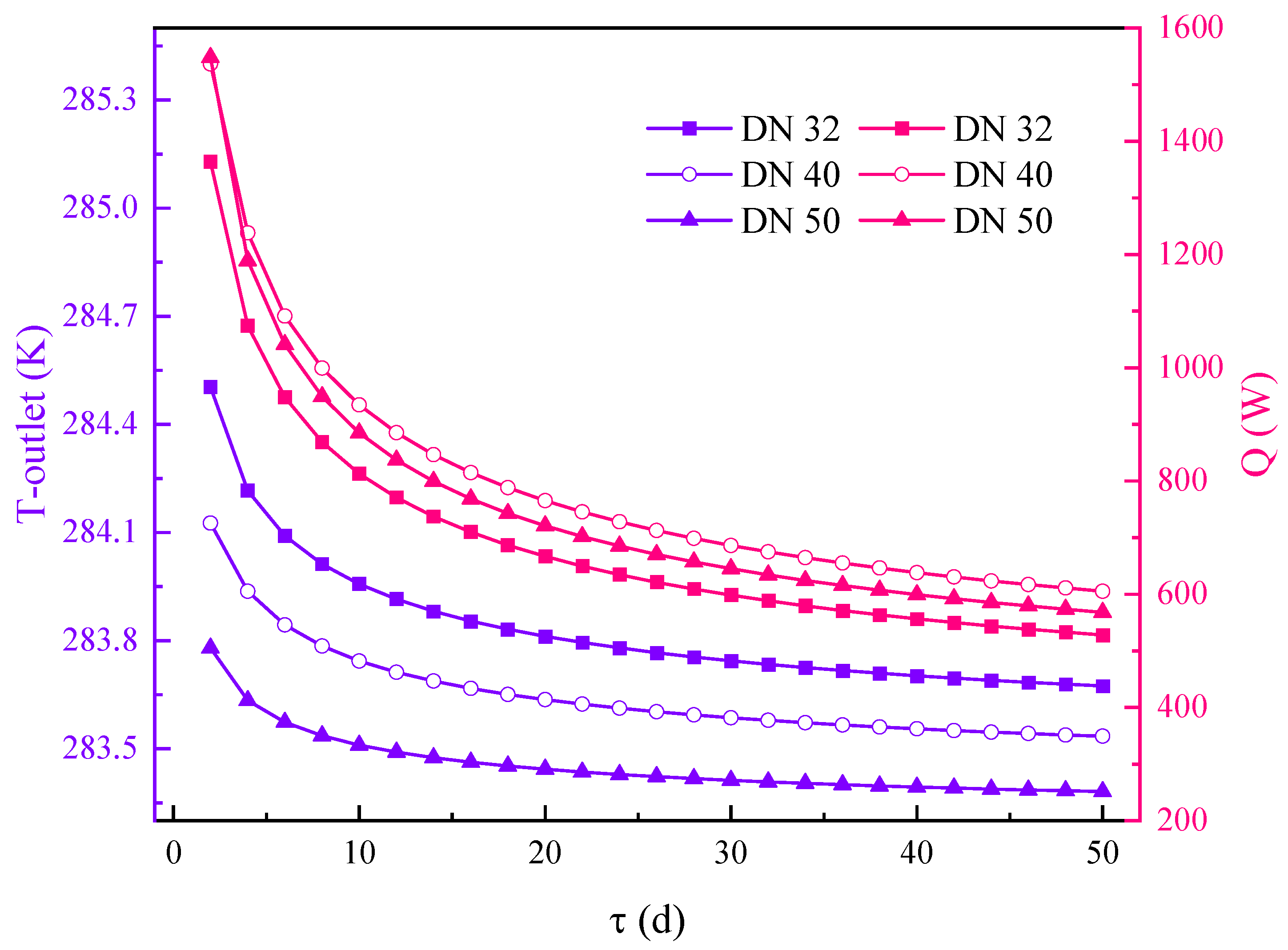
4.2.3. Pipe Diameter DN
4.2.4. Number of Pipe Layers F
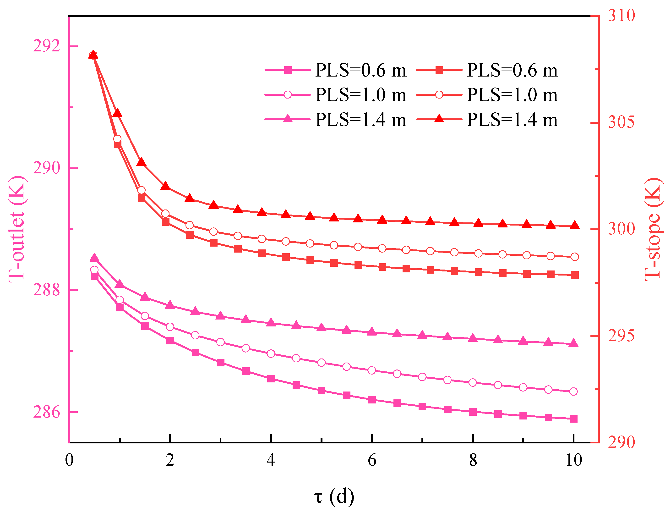
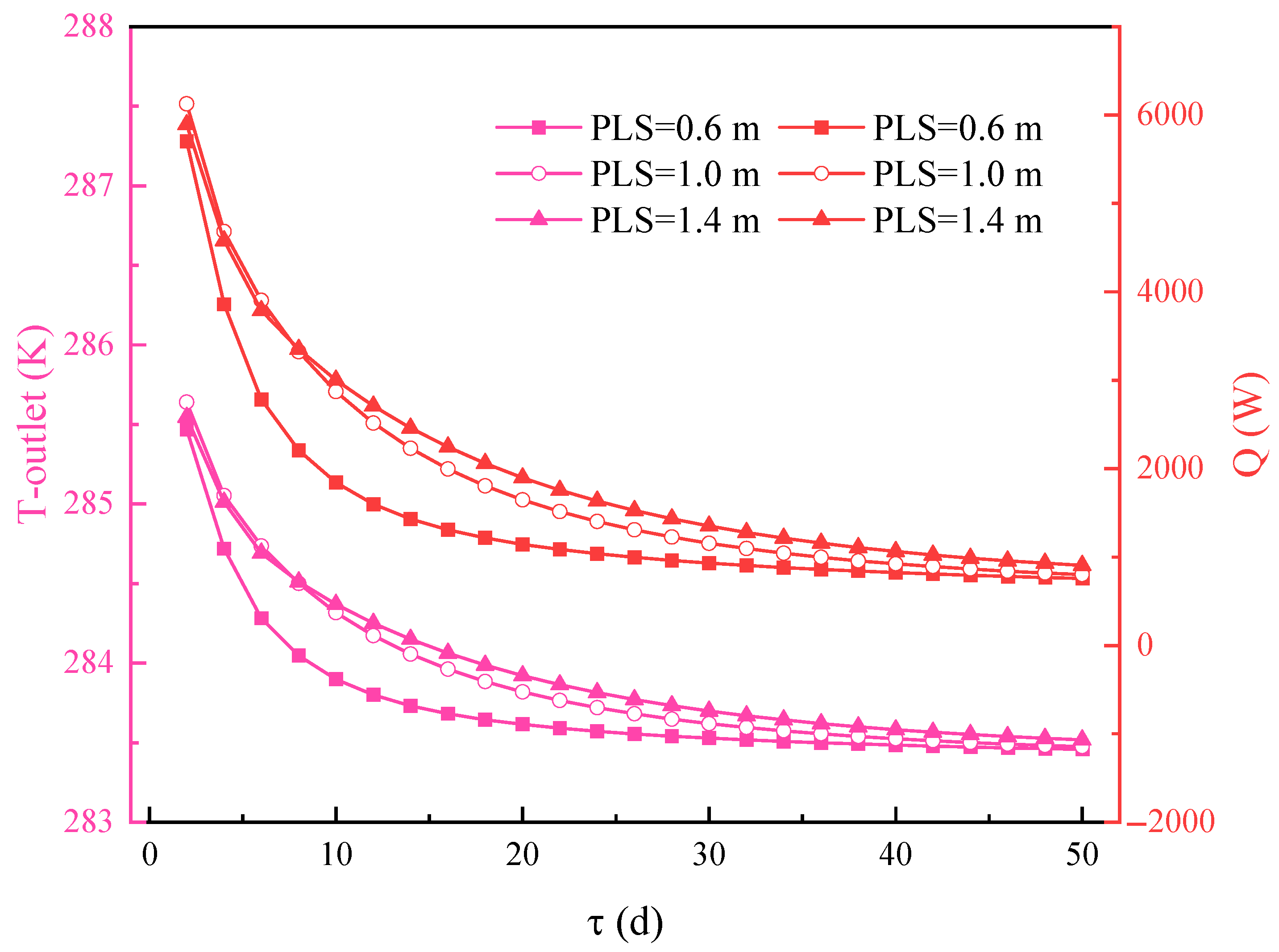
4.2.5. Pipe Layer Spacing PLS
5. Collaborative Optimization
6. Conclusions
Author Contributions
Funding
Institutional Review Board Statement
Informed Consent Statement
Data Availability Statement
Conflicts of Interest
Nomenclature
| u: | x direction velocity-vector component, m/s |
| v: | y direction velocity-vector component, m/s |
| w: | z direction velocity-vector component, m/s |
| x: | x direction |
| y | y direction |
| z: | z direction |
| T: | temperature, K |
| : | time, s |
| cp: | specific heat, kJ/(kg·K) |
| : | position vector |
| : | direction vector |
| : | scattering direction vector |
| : | scattering direction vector |
| : | refractive index |
| : | radiation intensity at the position |
| Q: | geothermal extraction capacity of backfill, W |
| G: | fluid flow rate of the BEHE, kg/h |
| L: | length of the BEHE |
| ρ: | density, kg/m3 |
| μ: | Kinetic viscosity, Pa·s |
| : | heat conductivity coefficient, W/m·K |
| : | surface emissivity |
| : | Space angle |
| : | absorption coefficient |
| : | phase function |
| : | scattering coefficient |
| b: | backfill |
| cou: | coupled |
| f: | fluid |
| w: | pipe wall |
| a: | air |
| in: | fluid inlet |
| out: | fluid outlet |
| C: | cooling period |
| CR: | real values during the cooling period |
| CF: | fitted empirical relationship correlation during the cooling period |
| H: | geothermal exploitation period |
| HR: | fitted empirical relationship correlation during the geothermal exploitation period |
| HF: | fitting correlation values during the heat extraction period |
| surface: | cold radiant surface |
| Sim: | simulation |
| Exp | experiment |
| BEHE: | embedded backfill heat exchanger |
| D: | distance from the BEHE to the cold radiation surface |
| S: | pipe spacing |
| DN: | pipe diameter |
| F: | number of pipe layers |
| PLS: | pipe layer spacing |
References
- Li, P.; Cai, M. Challenges and New Insights for Exploitation of Deep Underground Metal Mineral Resources. Trans. Nonferrous Met. Soc. China 2021, 31, 3478–3505. [Google Scholar] [CrossRef]
- Xin, J.; Liu, L.; Xu, L.; Wang, J.; Yang, P.; Qu, H. A Preliminary Study of Aeolian Sand-Cement-Modified Gasification Slag-Paste Backfill: Fluidity, Microstructure, and Leaching Risks. Sci. Total Environ. 2022, 830, 154766. [Google Scholar] [CrossRef] [PubMed]
- Zhai, M.; Hu, R.; Wang, Y.; Jiang, S.; Wang, R.; Li, J.; Chen, H.; Yang, Z.; Lü, Q.; Qi, T.; et al. Mineral Resource Science in China: Review and Perspective. Geogr. Sustain. 2021, 2, 107–114. [Google Scholar] [CrossRef]
- Pang, Z.; Luo, J.; Cheng, Y.; Duan, Z.; Tian, J.; Kong, Y.; Li, Y.; Hu, S.; Wang, J. Evaluation of geological conditions for the development of deep geothermal energy in China. Earth Sci. Front. 2020, 27, 134–151. [Google Scholar] [CrossRef]
- Guo, P.; He, M.; Zheng, L.; Zhang, N. A Geothermal Recycling System for Cooling and Heating in Deep Mines. Appl. Therm. Eng. 2017, 116, 833–839. [Google Scholar] [CrossRef]
- Bjornsson, S.; Juliusson, E.; Davidsdottir, B.; Kristofersson, D.M. Optimal Geothermal Resource Utilization—A Holistic Methodological Framework. Geothermics 2024, 123, 103117. [Google Scholar] [CrossRef]
- Soltani, M.; Moradi Kashkooli, F.; Souri, M.; Rafiei, B.; Jabarifar, M.; Gharali, K.; Nathwani, J.S. Environmental, Economic, and Social Impacts of Geothermal Energy Systems. Renew. Sustain. Energy Rev. 2021, 140, 110750. [Google Scholar] [CrossRef]
- Chen, Z.; Huang, L.; Li, X.; Liu, Z.; Chen, J. Numerical Investigations of Mechanical Behavior and Permeability Evolution in Mine Geothermal Reservoir with Blasting Fractures Using Fully Coupled Thermal–Hydraulic-Mechanical Modeling. Appl. Therm. Eng. 2024, 252, 123596. [Google Scholar] [CrossRef]
- Ma, F.; Liu, G.; Zhao, Z.; Xu, H.; Wang, G. Coupled Thermo-Hydro-Mechanical Modeling on the Rongcheng Geothermal Field, China. Rock. Mech. Rock. Eng. 2022, 55, 5209–5233. [Google Scholar] [CrossRef]
- Olabi, A.G.; Mahmoud, M.; Soudan, B.; Wilberforce, T.; Ramadan, M. Geothermal Based Hybrid Energy Systems, toward Eco-Friendly Energy Approaches. Renew. Energy 2020, 147, 2003–2012. [Google Scholar] [CrossRef]
- Huo, R.; Xu, X.; Jiang, Y. Current situation and prospect of renewable energy development and utilization in abandoned mines abroad. Coal Sci. Technol. 2019, 47, 267–273. [Google Scholar] [CrossRef]
- Wu, J. Project practice of exploitation and utilization of geothermal energy in abandoned coal mine water in Heerlen City, Netherlands. Chin. Coal 2020, 46, 94–98. [Google Scholar] [CrossRef]
- Zhang, B.; Zhan, R.; Liu, L.; Huan, C.; Zhao, Y.; Zhang, X. A Comparative Analysis of the Performance of Backfill Heat Exchangers in Deep Mine Geological Environments. Appl. Therm. Eng. 2024, 239, 122092. [Google Scholar] [CrossRef]
- Cui, Y.; Zhu, J.; Twaha, S.; Chu, J.; Bai, H.; Huang, K.; Chen, X.; Zoras, S.; Soleimani, Z. Techno-Economic Assessment of the Horizontal Geothermal Heat Pump Systems: A Comprehensive Review. Energy Convers. Manag. 2019, 191, 208–236. [Google Scholar] [CrossRef]
- Liu, L.; Xin, J.; Zhang, B.; Zhang, X. Exploration of basic theory and application of functional filling in mine. J. Coal Sci. 2018, 43, 1811–1820. [Google Scholar] [CrossRef]
- Qiu, H.; Zhang, F.; Liu, L.; Huan, C.; Hou, D.; Kang, W. Experimental Study on Acoustic Emission Characteristics of Cemented Rock-Tailings Backfill. Constr. Build. Mater. 2022, 315, 125278. [Google Scholar] [CrossRef]
- Liu, L.; Yang, P.; Qi, C.; Zhang, B.; Guo, L.; Song, K.-I. An Experimental Study on the Early-Age Hydration Kinetics of Cemented Paste Backfill. Constr. Build. Mater. 2019, 212, 283–294. [Google Scholar] [CrossRef]
- Zhong, K.; Chen, X.; Meng, Q.; Ran, M.; Zhang, Z.; Liu, X.; Feng, C. Application of the Air-Pipe Rack Heat Exchanger Heating System in Residential Buildings of Guangzhou. J. Build. Eng. 2022, 61, 105280. [Google Scholar] [CrossRef]
- Wang, M.; Liu, L.; Zhang, B.; Zhang, X.; Huan, C.; Zhao, Y.; Tu, B. Basic theory of mine loading/cold storage functional filling. J. Coal Sci. 2020, 45, 1336–1347. [Google Scholar] [CrossRef]
- Wang, M.; Shang, S.; Wang, Y.; Wen, G.; Geng, M.; Liu, L. Cooling Characteristics Analysis of Cold Load/Storage Functional Backfill in Mine Radiant Cooling Based on RC Network Model. J. Energy Storage 2024, 97, 112669. [Google Scholar] [CrossRef]
- Zhang, X.; Bu, B.; Liu, L.; Cao, T.; Ke, Y.; Du, Q. Numerical Simulation on Cooling Effect of Working Face under Radiation Cooling Mode in Deep Well. Energies 2021, 14, 4428. [Google Scholar] [CrossRef]
- Wang, M.; Wen, G.; Liu, P.; Liu, L.; Zan, Y.; Zhao, Y.; Wang, X. Optimization of Deep Mine Cooling by Functional Backfill Using Wall Surface Modification Method. Int. Commun. Heat. Mass. Transf. 2024, 157, 107817. [Google Scholar] [CrossRef]
- Leo Samuel, D.; Shiva Nagendra, S.; Maiya, M. A Study of Pipe Parameters on the Performance of Cooling Tower-Based Thermally Activated Building System. Indoor Built Environ. 2018, 27, 219–232. [Google Scholar] [CrossRef]
- Sarbu, I.; Sebarchievici, C. A Study of the Performances of Low-Temperature Heating Systems. Energy Effic. 2015, 8, 609–627. [Google Scholar] [CrossRef]
- Shen, C.; Li, X. Dynamic Thermal Performance of Pipe-Embedded Building Envelope Utilizing Evaporative Cooling Water in the Cooling Season. Appl. Therm. Eng. 2016, 106, 1103–1113. [Google Scholar] [CrossRef]
- Stemmle, R.; Menberg, K.; Rybach, L.; Blum, P. Tunnelgeothermie—Ein Überblick. Geomech. Tunn. 2022, 15, 104–111. [Google Scholar] [CrossRef]
- Li, N.; Pan, C.; Huang, X.; Gu, Z.; Su, L.; Chang, L. Research on heat transfer and cooling capacity of concrete radiant roof based on RC simplified heat transfer model. J. Hunan Univ. (Nat. Sci. Ed.) 2017, 44, 143–150. [Google Scholar] [CrossRef]
- Yang, Y.K.; Kim, M.Y.; Chung, M.H.; Park, J.C. PCM Cool Roof Systems for Mitigating Urban Heat Island—An Experimental and Numerical Analysis. Energy Build. 2019, 205, 109537. [Google Scholar] [CrossRef]
- Su, L.; Li, N.; Zhang, X.; Sun, Y.; Qian, J. Heat Transfer and Cooling Characteristics of Concrete Ceiling Radiant Cooling Panel. Appl. Therm. Eng. 2015, 84, 170–179. [Google Scholar] [CrossRef]
- Rosa, N.; Soares, N.; Costa, J.J.; Santos, P.; Gervásio, H. Assessment of an Earth-Air Heat Exchanger (EAHE) System for Residential Buildings in Warm-Summer Mediterranean Climate. Sustain. Energy Technol. Assess. 2020, 38, 100649. [Google Scholar] [CrossRef]
- Pakari, A.; Ghani, S. Performance Evaluation of a Near-Surface Earth-to-Air Heat Exchanger with Short-Grass Ground Cover: An Experimental Study. Energy Convers. Manag. 2019, 201, 112163. [Google Scholar] [CrossRef]
- Zhang, X.; Liu, L.; Liu, L.; Liu, L.; Jia, Y. Numerical Simulation of Heat Release Performance of Filling Body under Condition of Heat Extracted by Fluid Flowing in Buried Tube. J. Cent. South Univ. 2019, 26, 2160–2174. [Google Scholar] [CrossRef]
- Hassanpour, A.; Borji, M.; Ziapour, B.M.; Kazemi, A. Performance Analysis of a Cascade PCM Heat Exchanger and Two-Phase Closed Thermosiphon: A Case Study of Geothermal District Heating System. Sustain. Energy Technol. Assess. 2020, 40, 100755. [Google Scholar] [CrossRef]
- Li, S.; Yang, W.; Zhang, X. Soil Temperature Distribution around a U-Tube Heat Exchanger in a Multi-Function Ground Source Heat Pump System. Appl. Therm. Eng. 2009, 29, 3679–3686. [Google Scholar] [CrossRef]
- Zhang, Z.; Yang, C.; Fang, C.; Yang, W.; Zhang, X.; Rong, Z.; Li, X.; Jung, Y.; Lu, J.; Dong, X. Laser Ablation of Pristine Fe Foil for Constructing a Layer-by-Layer SiO2/Fe2O3/Fe Integrated Anode for High Cycling-Stability Lithium-Ion Batteries. Phys. Chem. Chem. Phys. 2021, 23, 10365–10376. [Google Scholar] [CrossRef]
- Alghamdi, K.I.; Bach, C.K.; Spitler, J.D.; Istiaque, F. Modeling, Simulating, and Validating a Novel Three-Fluid Heat Exchanger (TriCoilTM) for a Residential Heating and Air-Conditioning System Integrating Water-Based Thermal Energy Storage. Energy Build. 2023, 298, 113545. [Google Scholar] [CrossRef]
- Naili, N.; Hazami, M.; Kooli, S.; Farhat, A. Energy and Exergy Analysis of Horizontal Ground Heat Exchanger for Hot Climatic Condition of Northern Tunisia. Geothermics 2015, 53, 270–280. [Google Scholar] [CrossRef]
- Asgari, B.; Habibi, M.; Hakkaki-Fard, A. Assessment and Comparison of Different Arrangements of Horizontal Ground Heat Exchangers for High Energy Required Applications. Appl. Therm. Eng. 2020, 167, 114770. [Google Scholar] [CrossRef]
- Shi, Y.; Cui, Q.; Song, X.; Xu, F.; Song, G. Study on Thermal Performances of a Horizontal Ground Heat Exchanger Geothermal System with Different Configurations and Arrangements. Renew. Energy 2022, 193, 448–463. [Google Scholar] [CrossRef]
- Lein, R.; Fujii, H.; Ikeda, R.; Bina, S.M.; Harada, R.; Kosukegawa, H. Optimization of Double Layered Horizontal Directional Drilled Ground Heat Exchangers by Water Injection into the Borehole. Geothermics 2024, 118, 102913. [Google Scholar] [CrossRef]
- Agrawal, K.K.; Agrawal, G.D.; Misra, R.; Bhardwaj, M.; Jamuwa, D.K. A Review on Effect of Geometrical, Flow and Soil Properties on the Performance of Earth Air Tunnel Heat Exchanger. Energy Build. 2018, 176, 120–138. [Google Scholar] [CrossRef]
- Dehghan, B.; Sisman, A.; Aydin, M. Parametric Investigation of Helical Ground Heat Exchangers for Heat Pump Applications. Energy Build. 2016, 127, 999–1007. [Google Scholar] [CrossRef]
- Park, S.; Sung, C.; Jung, K.; Sohn, B.; Chauchois, A.; Choi, H. Constructability and Heat Exchange Efficiency of Large Diameter Cast-in-Place Energy Piles with Various Configurations of Heat Exchange Pipe. Appl. Therm. Eng. 2015, 90, 1061–1071. [Google Scholar] [CrossRef]
- Ren, M.; Yuan, Y.; Cao, X.; Sun, L.; Jiang, F. Numercial Analysis on the Thermal Performance of Capillary Heat Exchange System in Metro Running Tunnel. Energy Built Environ. 2020, 1, 207–214. [Google Scholar] [CrossRef]
- Liu, J.; Wang, F.; Gao, Y.; Zhang, Y.; Cai, W.; Wang, M.; Wang, Z. Influencing Factors Analysis and Operation Optimization for the Long-Term Performance of Medium-Deep Borehole Heat Exchanger Coupled Ground Source Heat Pump System. Energy Build. 2020, 226, 110385. [Google Scholar] [CrossRef]
- Ghoreishi-Madiseh, S.A.; Hassani, F.; Abbasy, F. Numerical and Experimental Study of Geothermal Heat Extraction from Backfilled Mine Stopes. Appl. Therm. Eng. 2015, 90, 1119–1130. [Google Scholar] [CrossRef]
- Cuny, M.; Lapertot, A.; Lin, J.; Kadoch, B.; Le Metayer, O. Multi-Criteria Optimization of an Earth-Air Heat Exchanger for Different French Climates. Renew. Energy 2020, 157, 342–352. [Google Scholar] [CrossRef]
- Zhao, Y.; Liu, L.; Wen, D.; Zhang, X.; Huan, C.; Zhang, B.; Wang, X. Recycling Waste Material for Backfill Coupled Heat Exchanger Systems in Underground Stopes of Mines. Energy Build. 2022, 256, 111703. [Google Scholar] [CrossRef]
- Habibi, M.; Amadeh, A.; Hakkaki-Fard, A. A Numerical Study on Utilizing Horizontal Flat-Panel Ground Heat Exchangers in Ground-Coupled Heat Pumps. Renew. Energy 2020, 147, 996–1010. [Google Scholar] [CrossRef]
- Li, C.; Mao, J.; Peng, X.; Mao, W.; Xing, Z.; Wang, B. Influence of Ground Surface Boundary Conditions on Horizontal Ground Source Heat Pump Systems. Appl. Therm. Eng. 2019, 152, 160–168. [Google Scholar] [CrossRef]
- Zhang, C.; Chu, H.; Gu, M.; Zheng, S. Experimental and Numerical Investigation of Silicothermic Reduction Process with Detailed Chemical Kinetics and Thermal Radiation. Appl. Therm. Eng. 2018, 135, 454–462. [Google Scholar] [CrossRef]
- Chen, C.; Mao, R.; Huang, G.; Wu, H.; Zhang, Z. Optimizing Horizontal Manifold Arrangement for Ground Source Heat Pump Using Orthogonal Testing. Appl. Therm. Eng. 2024, 243, 122582. [Google Scholar] [CrossRef]
- Islam, M.R.; Hayashi, D.; Kamruzzaman, A.B.M. Finite Element Modeling of Stress Distributions and Problems for Multi-Slice Longwall Mining in Bangladesh, with Special Reference to the Barapukuria Coal Mine. Int. J. Coal Geol. 2009, 78, 91–109. [Google Scholar] [CrossRef]
- Ye, M.; Serageldin, A.A.; Radwan, A.; Sato, H.; Nagano, K. Thermal Performance of Ceiling Radiant Cooling Panel with a Segmented and Concave Surface: Laboratory Analysis. Appl. Therm. Eng. 2021, 196, 117280. [Google Scholar] [CrossRef]
- Song, W. Numerical Simulation Study on Heat Transfer Characteristics of Mine Heat Regulating Coil; Tongfang Knowledge Network Technology Co., Ltd.: Beijing, China, 2023. [Google Scholar] [CrossRef]


















| ρ (kg/m3) | λ (W/(m•K)) | cp (J/(kg•K)) | ||
|---|---|---|---|---|
| Heat transfer fluid | 998.2 | 0.6 | 4187 | 1 |
| Copper pipe | 8500 | 110 | 393.6 | 0.05 |
| Air | 1.225 | 0.0267 | 1006 | 0.3 |
| Surrounding rock | 2400 | 2.5 | 2000 | 0.8 |
| Backfill material | 1709 | 0.6 | 1235 | 0.92 |
| Number | 1# | 2# | 3# | 4# | 5# | 6# | 7# | 8# | 9# | 10# | 11# | 12# | 13# | 14# | 15# | |
|---|---|---|---|---|---|---|---|---|---|---|---|---|---|---|---|---|
| calculation condition | working condition | S 1 | S 2 | S 3 | F 2 | F 3 | F 4 | PLS 1 | PLS 2 | PLS 3 | D 1 | D 2 | D 3 | DN 1 | DN 2 | DN 3 |
| S (mm) | 125 | 250 | 500 | 500 | 500 | 500 | 500 | 500 | 500 | 500 | 500 | 500 | 500 | 500 | 500 | |
| F | 2 | 2 | 2 | 2 | 3 | 4 | 2 | 2 | 2 | 2 | 2 | 2 | 2 | 2 | 2 | |
| PLS (m) | 0.6 | 0.6 | 0.6 | 0.6 | 0.6 | 0.6 | 0.6 | 1.0 | 1.4 | 0.6 | 0.6 | 0.6 | 0.6 | 0.6 | 0.6 | |
| D (m) | 0.05 | 0.05 | 0.05 | 0.05 | 0.05 | 0.05 | 0.05 | 0.05 | 0.05 | 0.05 | 0.10 | 0.15 | 0.05 | 0.05 | 0.05 | |
| DN (mm) | 50 | 50 | 50 | 50 | 50 | 50 | 50 | 50 | 50 | 50 | 50 | 50 | 32 | 40 | 50 | |
| L (m) | 466.3 | 242.7 | 131.4 | 131.4 | 198.1 | 264.8 | 131.4 | 131.2 | 134.0 | 131.4 | 131.4 | 131.4 | 131.4 | 131.4 | 131.4 | |
| G (kg/h) | 2116 | 2116 | 2116 | 2116 | 2116 | 2116 | 2116 | 2116 | 2116 | 2116 | 2116 | 2116 | 867 | 1354 | 2116 | |
| cooling period | TCR-outlet (K) | 286.0 | 285.7 | 285.2 | 285.2 | 285.9 | 285.5 | 285.2 | 285.4 | 285.5 | 285.2 | 285.1 | 285.1 | 287.3 | 286.1 | 285.2 |
| TCF-outlet (K) | 286.0 | 285.6 | 285.2 | 285.2 | 285.9 | 285.4 | 285.2 | 285.4 | 285.5 | 285.2 | 285.1 | 285.1 | 287.3 | 286.2 | 285.2 | |
| Error-Tout,C (%) | 0.69 | 8.02 | 0.79 | 0.79 | −4.21 | 1.34 | 0.79 | −0.23 | 0.90 | 0.79 | −0.11 | 0.96 | 0.71 | −12.0 | 0.79 | |
| QCR (W) | 7107 | 6254 | 5045 | 5045 | 6739 | 8168 | 5045 | 5479 | 5809 | 5045 | 4898 | 4850 | 4188 | 4682 | 5045 | |
| QCF (W) | 7090 | 6057 | 5025 | 5025 | 6843 | 8235 | 5025 | 5484 | 5787 | 5025 | 4900 | 4827 | 4181 | 4871 | 5025 | |
| Error-QC (%) | 0.24 | 3.15 | 0.38 | 0.38 | −1.54 | 0.40 | 0.38 | −0.10 | 0.38 | 0.38 | −0.06 | 0.49 | 0.17 | −4.04 | 0.38 | |
| Q/LC (W/m) | 15.24 | 25.77 | 38.38 | 38.38 | 34.01 | 30.85 | 38.38 | 41.28 | 43.36 | 38.38 | 37.26 | 36.90 | 31.86 | 35.62 | 38.38 | |
| Tsurface (K) | 292.8 | 295.6 | 299.0 | 299.0 | 298.2 | 297.8 | 299.0 | 299.5 | 299.9 | 299.0 | 300.0 | 300.8 | 300.9 | 299.7 | 299 | |
| Geothermal exploitation period | THR-outlet (K) | 283.3 911 | 283.3 939 | 283.3 381 | 283.4 323 | 283.4 596 | 283.4 607 | 283.4 323 | 283.4 568 | 283.4 852 | 283.4 322 | 283.4 348 | 283.4 366 | 283.8 484 | 283.5 881 | 283.4 323 |
| THF-outlet (K) | 283.2 280 | 283.4 230 | 283.4 181 | 283.4 181 | 283.4 424 | 283.4 596 | 283.4 181 | 283.4 494 | 283.4 700 | 283.4 181 | 283.4 208 | 283.4 224 | 283.8 332 | 283.6 256 | 283.4 181 | |
| Error-Toutlet, H (%) | 3.68 | 2.91 | 3.68 | −1.42 | −1.72 | −0.10 | −1.42 | −0.74 | −1.52 | −1.42 | −1.40 | −1.42 | −1.44 | 3.74 | −1.42 | |
| QHR (W) | 593.2 | 600.1 | 568.8 | 694.4 | 761.7 | 761.3 | 694.4 | 754.8 | 824.6 | 694.4 | 700.5 | 705.1 | 703.0 | 689.8 | 689.4 | |
| QHF (W) | 683.8 | 671.7 | 659.5 | 659.5 | 719.3 | 761.7 | 659.5 | 736.5 | 787.2 | 659.5 | 666.2 | 670.1 | 688.5 | 748.8 | 659.5 | |
| Error-QH (%) | 13.25 | 10.66 | 13.74 | −5.29 | −5.90 | −0.34 | −5.29 | −2.47 | −4.74 | −5.29 | −5.16 | −5.22 | −2.11 | 7.87 | −5.29 | |
| Q/LHR (W/m) | 1.27 | 2.47 | 4.33 | 5.28 | 3.84 | 2.89 | 5.28 | 5.69 | 6.16 | 5.28 | 5.33 | 5.37 | 5.35 | 2.45 | 5.28 |
Disclaimer/Publisher’s Note: The statements, opinions and data contained in all publications are solely those of the individual author(s) and contributor(s) and not of MDPI and/or the editor(s). MDPI and/or the editor(s) disclaim responsibility for any injury to people or property resulting from any ideas, methods, instructions or products referred to in the content. |
© 2025 by the authors. Licensee MDPI, Basel, Switzerland. This article is an open access article distributed under the terms and conditions of the Creative Commons Attribution (CC BY) license (https://creativecommons.org/licenses/by/4.0/).
Share and Cite
Wang, M.; Ni, W.; Liu, L.; Zan, Y.; Li, J. Collaborative Optimization of Stope Cooling and Geothermal Energy Exploitation for Backfill Embedded Heat Exchanger. Sustainability 2025, 17, 1251. https://doi.org/10.3390/su17031251
Wang M, Ni W, Liu L, Zan Y, Li J. Collaborative Optimization of Stope Cooling and Geothermal Energy Exploitation for Backfill Embedded Heat Exchanger. Sustainability. 2025; 17(3):1251. https://doi.org/10.3390/su17031251
Chicago/Turabian StyleWang, Mei, Wanying Ni, Lang Liu, Yutong Zan, and Jiahui Li. 2025. "Collaborative Optimization of Stope Cooling and Geothermal Energy Exploitation for Backfill Embedded Heat Exchanger" Sustainability 17, no. 3: 1251. https://doi.org/10.3390/su17031251
APA StyleWang, M., Ni, W., Liu, L., Zan, Y., & Li, J. (2025). Collaborative Optimization of Stope Cooling and Geothermal Energy Exploitation for Backfill Embedded Heat Exchanger. Sustainability, 17(3), 1251. https://doi.org/10.3390/su17031251

