Abstract
With the continuous adjustment of energy structure and the improvement of environmental protection requirements, combined heat and power microgrids (CHP-MG) have received widespread attention as an efficient and economical way of utilizing energy. The complexity of energy supply relationships and energy coupling within the microgrid system necessitates optimizing the power output of each equipment unit. In this paper, an optimization strategy for a multi-energy microgrid system is proposed based on the efficient energy supply of cogeneration microgrids: decoupling the thermoelectric connection by using the energy storage equipment on the supply side, utilizing the flexibility of the electrical loads and the diversity of the system’s heating methods, and reducing the electrical loads and changing the selection of the heating methods on the demand side. The optimization model in the paper is mainly based on mixed-integer linear programming and demand-side management theory, which simulates the system operation under different scenarios so as to find the optimal equipment output and load management strategies. Simulation results show that the optimized CHP-MG system can ensure a reliable power supply while effectively reducing operating costs, improving energy utilization and promoting sustainable operation of the energy system. The optimized microgrid system offers significant advantages in terms of economic efficiency and energy management when compared to conventional CHP systems. These findings provide actionable insights for policymakers, system operators, and researchers aimed at driving the development of efficient and sustainable energy management solutions.
1. Introduction
With the increasing global energy demand and the increasingly severe environmental problems, the optimization and diversification of energy structure has become a key research topic. Multi-energy system refers to a comprehensive energy system including electricity, heat, gas, and other forms of energy. Through effective scheduling and optimization, energy conversion and complementarity can be achieved between different forms of energy, thus improving energy utilization efficiency and reducing energy waste. Supply and demand synergy, on the other hand, refers to the operation of the energy system, taking into account the real-time status and dynamic changes in the supply side and the demand side, and maximizing the balance between supply and demand through coordinated scheduling, as well as optimizing the process of energy production and consumption [1]. Microgrid technology can integrate these decentralized, remote energy production facilities into a coherent system that can reduce environmental impacts by improving energy efficiency and promoting the use of renewable energy; early microgrids could only deliver electricity to consumers; with the emergence of multi-power interconnections, the cogeneration system will be attached to the smart grid, allowing the grid to deliver both electricity and thermal energy to the consumer, and this microgrid system is called Combined Heat and Power Microgrid (CHP-MG) [2]. It serves as a distributed energy system that integrates multiple forms of energy such as electricity, heat, and gas, breaking the pattern of mutual independence between energy systems and realizing multiple utilization of energy, thus improving energy efficiency and enhancing the reliability and flexibility of the system [3].
Study [4] constructed a cogeneration microgrid economic scheduling model based on game theory, reaching the goal of mutual benefit and a win-win situation for microgrid operators and users. Study [5] constructed a cogeneration microgrid scheduling model containing heat storage equipment and optimized the scheduling with the objective function of minimizing the depreciation cost of the equipment, fuel cost, and environmental cost, and combined with the characteristics of time-sharing tariffs, the model was solved using a genetic algorithm, and the results of the calculation example showed that the scheduling scheme cost less. In multi-energy systems, the challenges of supply–demand synergy and multi-energy optimization are mainly reflected in two aspects. First, due to the complexity of multiple energy forms and their interdependence, the optimal scheduling of the system must consider a number of factors. Among them are the cost of energy production, fluctuations in user demand, environmental constraints, and technical conditions. Secondly, with the development of distributed energy and energy storage technologies, how to break through the thermoelectric coupling constraints through the synergistic optimization of energy storage and distributed capacity/energy conversion equipment, make full use of the complementary relationship of multiple loads on the demand side, and establish a scientific and reasonable microgrid operation model with multi-energy coordination on the both sides of the demand and supply sides is the focus of the current research [6]. In recent years, most of the domestic and international studies have focused on supply-side energy co-optimization, and a relatively perfect study has been made on the optimization of CHP-MG supply-side equipment output around the planning and scheduling problem. However, due to the complexity of the schedulability of electric and thermal loads, which involves the complexity of user behaviors, and the uncertainty of the power and heat demand, there are many challenges to modeling and optimizing them, and therefore, there are some gaps in research on the consideration of the schedulability of electric and thermal loads. There is a certain gap in the research on customer-side demand response with dispatchability.
Demand Side Management (DSM) emerged in the late 1970s as a result of global power shortages that led to a growing environmental awareness. Utilities and governments recognized that optimizing electricity consumption on the demand side could improve energy efficiency, relieve pressure on the grid, and reduce the environmental impact [7]. DSM technologies can generally be categorized by their potential ability to change the state of the load in such a way as to reduce the cost of energy or improve performance to some extent, and the various technologies available include peak shaving and load shifting. Demand Response (DR) is a key component of Demand Side Management (DSM). It involves market mechanisms that incentivize electricity users to adjust their consumption habits. This adjustment aims to optimize energy use and reduce the operational strain on distribution networks, through strategies like market pricing and financial incentives [8]. For the study of customer-side demand response, studies [9,10,11] established an energy management model for residential demand response, analyzed the potential and flexibility of residential demand response, and provided customers with preferential coupon incentives to guide electricity demand. The complementary CHP-MG can also rationally change the size of heat load according to the actual operation of the energy source to improve the efficiency of the system. For the multi-energy complementary system, study [12] provides users with a heat demand market mechanism and models the heat demand response, which successfully reduces the system operating cost.
Nevertheless, with more energy carriers increasingly linked to the network [13], the importance of Integrated Demand Side Response (IDSR), which could greatly enhance energy center scheduling and operational efficiency, is growing [14,15]. IDSR combines multiple response mechanisms, including real-time tariff adjustments, customer load control, and market-based incentives. These measures can be flexibly adjusted according to the demand characteristics of different time periods and different user groups to optimize the balance between supply and demand. By utilizing a combination of demand response measures, the reliance on standby generation capacity can be reduced, and generation and transmission costs can be lowered. Present studies concentrate on the modeling and analyzing of electrical loads, and the behavioral modeling of multi-type consumer energy requirements is relatively simplistic, lacking the sophisticated behavioral modeling of multi-type consumer energy requirements. There is an urgent need to establish an integrated demand response mechanism oriented to multiple energy sources to improve grid reliability [16,17,18]. Facing large-scale user-level integrated energy systems, the literature [19] mentions a Distributed Robust Optimization (DRO) model based on Kullback–Leibler (KL) dispersion, which can predict the uncertainty of renewable generation in energy hubs. Review [20] verifies that incentivized demand response reduces the economic operating cost of microgrids and enhances the role of energy storage by considering the satisfaction of electricity consumers in terms of remediation, the satisfaction of microgrid supply, and the satisfaction of users in terms of electricity consumption.
The research in this paper is based on the above theoretical knowledge, and an optimized multi-energy complementary CHP-MG system is established by decoupling thermoelectricity using energy storage devices. On both the delivery and the request aspects, the energy supply capacity on the supply side is improved by energy conversion devices, and on the demand side, the thermoelectric operation of the microgrid system is optimized by changing the user’s choice of energy use to improve the responsiveness of the system. The simulation example shows that integrating supply–demand synergy and multi-energy optimization in the microgrid system alleviates supply pressure and enhances energy supply flexibility, especially during peak periods. The proposed system model improves the demand-side response capability, optimizes the thermoelectric operation of the microgrid system, and solves the problem of modeling the complex behavior of multiple types of consumer energy demand.
2. CHP-MG System Structure and Electricity Supply and Demand Modeling
The CHP-MG system structure model is established to analyze the optimal scheduling method of the combined heat and power (CHP) system on the basis of its system operation in order to meet the demand of electric and thermal loads for energy supply.
The structural model is shown in Figure 1: The main components of a microgrid system that provide electrical energy are Micro Turbine (MT), Wind Turbine (WT), Gas Boiler (GB), and Battery (BT) in Energy Storage System (ESS); the main types of heating equipment are Gas Boiler (GB), Thermal Storage Tank (TST) in ESS, Heat Exchanger (HE) in Energy Conversion Equipment (ECE), and Electric Boilers (EB), etc. Among them, the MT is the core device of the CHP-MG system, the high temperature gas generated in the combustion process pushes the turbine blades to work to generate electricity, and the high temperature waste heat flue gas is discharged through the HE to provide heat for users.
Figure 1.
CHP-MG system structure diagram.
2.1. Mathematical Modeling of Electricity Supply
2.1.1. Power Supply for MT and WT
In the actual production of MT for cogeneration can greatly improve its efficiency and primary energy utilization, while reducing environmental pollution. This is achieved by utilizing excess heat generated during the power generation process to drive additional machinery, reducing the need for separate energy sources and thus minimizing emissions. MT is first set to the “heat to set electricity” mode, following the thermal load demand output, to meet the user’s thermal load demand; the power is issued by the electric power to supply the electric load of the users [21]. In this paper, the equipment used in the system is C65 MT, which is commonly used in the project, and the mathematical model of its output is as follows:
where is the electric power output from MT at time t; is the power generation efficiency of MT, which is expressed as Equation (2); is the natural gas input to MT at time t.
As a renewable energy source, wind energy can be used in the CHP-MG system without consuming traditional primary energy and has the advantages of low power generation cost and no pollution. The physical principle of wind power generation is that wind energy is first converted into mechanical energy, and then mechanical energy is converted into electrical energy. Its wind speed has a great influence on the power generation of the wind turbine, and the power generated by the wind turbine is obtained from the aerodynamic principle:
where and are wind speed and air density; is the radius of the windmill blades; is the wind energy utilization factor.
2.1.2. Mathematical Model of BT
The storage battery device can balance the electric energy demand in the system through rapid charging and discharging, and plays the role of providing energy balance, peak shaving, and emergency energy supply. The use of electric energy storage can improve the efficiency of energy utilization and the reliability of the power supply, and at the same time it has the ability to respond positively to the price of electricity, which can be lower during the charging and storage of energy. The peak load discharge of the energy supply, and the system can be well-coordinated with the other energy-supplying equipment. The storage capacity of BT in the time period t is
where is the dissipation factor; and are the charging and discharging power of the battery in time period t; and are the charging and discharging efficiencies of the battery in time period t, respectively.
2.2. Electric Load Demand Response Modeling
For electrical loads, embedded energy management encourages consumers to modify their own consumption through incentivizing or pricing, and users participate in integrated demand response to adjust electric load cuts and transfers, transferring peak energy use to low energy use, and satisfying users’ energy use needs through lower energy prices, thus further improving the system’s operating economy. Which regulates the electric load response including leveling-type demand response load and cut-type demand response load.
2.2.1. Translatable Demand Response Load
Translatable demand response load, also known as Time-shiftable Load, refers to power loads that can be flexibly adjusted in time [22]. Domestic electric equipment such as dishwashers and washing machines need to run continuously across multiple scheduling periods, but have lower requirements for the moment of starting operation. Based on this, a portion of the electricity-using load can be shifted from the original scheduled time period to run in another time period within a specific range to realize the improvement of the load profile. Users sign an agreement with the microgrid to report the acceptable time slots for leveling and the amount of electricity that can be leveled according to the dispatch demand given by the system, and agree on the financial compensation. The expression of the time-shifted load in its time period t is shown in Equation (5).
where is the time-shifted load power used by the i th user in time period t before IDSR regulation; and are the transferred and shifted load power of the i th user in time period t after IDSR regulation; N0 is the number of users participating in the time-shifted load response.
2.2.2. Reducible Demand Response Load
Reducible demand response load is a demand response strategy designed to respond to grid load fluctuations by adjusting or curtailing electricity demand. In practical scenarios, customers can obtain financial compensation or incentives from electricity suppliers by curtailing demand, thus reducing the cost of electricity. Curtailable load is highly flexible and can be adjusted to the actual demand on the grid to achieve balance between electricity markets, and its pattern of responding to electricity demand is as follows.
where is the load power that can be curtailed by the i th user in time period t before IDSR regulation; is the power consumption of the i th user in time period t that is curtailed after IDSR regulation; and N1 is the number of users participating in the controllable load response.
2.3. Electricity Constraints
When the plant is in operation, the operating power of the MT does not exceed the maximum output power of the MT. The flexibility of plant operation is considered an important indicator for managing power load changes and providing grid support services, where the creepage rate is a measure of this flexibility, so the creepage rate constraint for MT is
BT is an important part of CHP-MG. BT can be charged and discharged in real time according to the time-sharing tariff, and its constraints when the device is working are
where
and are the highest and lowest rated energy of BT charging and discharging, and Equation (9) shows that the BT power in time period t is to be kept within the set range.
The WT output power participates in the coordinated dispatch according to the predicted power, and its output power does not exceed the maximum output power.
3. Thermal Energy Supply and Demand Modeling
3.1. Heat Supply Model
3.1.1. Cogeneration Unit Heating Model
The cogeneration units in this system include MT and GB. The waste heat discharged by MT during power generation can be converted to the heat load required by the user through the heat exchanger, and its exhaust waste heat power is
where and are the generating capacity and operating performance of the MT in time period t; and is the heat loss coefficient of the MT.
In the CHP-MG system, the thermal energy provided by the GB is used to supplement the insufficient supply of HE and TST [23]. When the equipment is running, the thermal power produced by GB is
where
and are, respectively, the thermal efficiency and thermal power of GB output at the time interval t of GB.
3.1.2. Mathematical Modeling of Energy Conversion Equipment
The energy conversion equipment in the system of this paper includes HE and EB; where HE is to convert the waste heat from the MT power generation output to gas heat energy for the user, the equation has the following expression.
where is the heat production power of the heat exchanger in time period t; , are the heat production coefficient of the heat exchanger and the flue gas recovery rate coefficient, respectively.
EB is able to convert electricity and heat in the microgrid system, and the CHP unit meets the heat load demand at the same time. The mathematical model used in this system refers to study [24].
where,
and are expressed as the thermal output and electrical power input of the electric boiler during the time interval t; represents the conversion factor.
3.1.3. Mathematical Modeling of TST
In microgrids containing cogeneration systems, due to the influence of peak and valley loads at different times of the day, there is often a mismatch between the electric heat supply and the electric heat load. At night, when the demand for heat load in the microgrid is high, the CHP units produce more power to meet the heat load, while at night, when the electricity consumption is in the trough period, the power generated by the CHP units will have surplus. During the daytime, when the demand of electrical load is high and the demand of thermal load is low, the CHP units will produce excess heat [25]. Therefore, time coordination can be achieved by TST energy storage for gas–heat loads to alleviate the issues of mismatch in electrical and heat outputs and load demands in CHP systems and to achieve unified and coordinated management of electric and thermal energy.
The residual heat of the TST in its time period t is
where and are the heat storage and release power of TST in its time period t; and are the heat storage and release coefficients of TST, respectively.
3.2. Thermal Energy Demand Response Modeling
The user’s heat demand response can be met by adjusting the heating load response. During the peak hours of electricity consumption in the heating season, the use of air conditioners, electric heaters, and other electric heating equipment will increase the pressure on the system power supply. In order to alleviate the pressure on the grid’s power supply, IDSR regulation can be carried out, so that users are provided with the conditions to choose to use centralized heating instead of air conditioning, electric heaters and other heating methods [26]. Let the replacement response power of the i th user after IDSR regulation in time period t be , then the electric heat load and gas heat load of the system after IDSR regulation are shown in Equations (15) and (16).
where is the demand power of the gas–heat load of the i th user in time period t before IDSR regulation; E is the replacement factor.
3.3. Thermal Constraints
Similar to the electrical energy constraints in this paper, the GB operating power in the system is between the maximum and minimal power output of the GB during the time span t. The GB is a system with the following constraints. Its creep rate constraint is
where is the GB output power during time period t.
The constraints of TST when it operates in time period t are
where and are the maximum and minimum power at which the TST operates, and study (18) shows that the residual heat of the TST is to be kept within the specified range in the time span t. In study (19), a, b are constants, 0 < a ≠ b < 1, i.e., it means that the residual thermal power of the TST in its time period t is kept within the maximum capacity of the TST.
4. Constraints and Objective Function of the CHP-MG Optimization Model
4.1. IDSR Compensation
Adopting a cost compensation mechanism for users can encourage them to choose demand response more actively [27], and the compensation cost is shown in Equation (20).
where , , and are the unit prices of electric load reduction, time-shifted electric load, and adjusted electric heat load in time period t, respectively.
4.2. Main Constraints
4.2.1. Electric and Thermal Power Balance Constraints
Through comprehensive demand response through incentives or prices to guide the user to change their own energy use, the user engages in a comprehensive demand shift to adapt to the decrease in load and the transfer of load, the energy use of the peak to the energy use of the valley, through the lower price of energy to meet the user’s energy needs, thereby further improving the system operation economy.
When the system works, it is required that the electric and thermal loads in the microgrid should maintain the capacity balance in each time period. The expression is as follows:
where represents the power obtained by the large grid by the microgrid during time period t, and its relationship expression is shown in Equation (21); is the user-demanded electric load optimized by IDSR over the time interval t; is expressed as the heat output of the electric heating boiler for the time interval t; and is the user demanded heat load optimized by IDSR during time period t.
4.2.2. Electricity Price Constraint
According to the time-sharing tariff, it should be set so that the rate of power in the maximum period is greater than the price in the flat minimum time, whereas the price of power in the valley period should be less than the rate in the flat maximum time, and the constraint relationship is as follows:
where , and are, respectively, the tariffs at peak, level, and valley times; , and are the length of peak, level, and valley times.
4.2.3. Electric Power Interaction Constraints Between Microgrids and Large Power Grids
When the microgrid obtains power from the large grid to guarantee the power quality and ensure safe operation, its microgrid purchased power should be reasonably maintained between the specified maximum/minimum purchased power, and the creep rate constraint of the purchased power is
where / are the maximum or minimum limit of the creepage speed of the purchased power, respectively.
4.3. Objective Function
In this paper, considering the economical operating expenses of the microgrid system running 24 h a day, according to the linear mixed integer programming issue, the optimization configuration objective is the minimum overall running expenses of CHP-MG, and its objective function is established as:
where is the MT generation cost; is the power purchase cost, and are the power bought from the grid by the micro-grid in the time interval t and the unit power purchase price, respectively; is the battery usage cost; is the GB heating cost, and indicates the degree of efficiency of the GB; and indicates the compensation cost received by the user after adopting IDSR.
Of these, , and significantly affect the total system cost and operational efficiency. By analyzing the MT generation cost, the economics of different generation technologies can be evaluated to provide a basis for investment decisions. Considering MT generation cost in the objective function helps to optimize the scheduling strategy of power generation equipment to minimize the total cost. MT generation cost reflects the cost of purchasing electricity from the electricity market, including tariffs and transmission losses. The power purchase cost affects the system’s supply–demand balancing strategy when the power demand exceeds the local generation capacity, and its volatility needs to be controlled by risk management strategies to minimize the market risk. Changes in the cost of heat supply affect the system’s strategy for responding to heat demand when the demand for heat changes.
5. Analysis of Simulation Results
In this chapter, CPLEX 12.10 software is applied to perform the solution of the optimized scheduling model of the CHP-MG system, and the simulation results verify that the supply–demand synergistic and optimized system can achieve the expected results, and four scenarios are set up in this paper for comparison.
Option 1: Combined heat and power (CHP) operation, using ESS to decouple the CHP linkages and optimize the system supply-side equipment output.
Option 2: Based on Scenario 1, load curtailment is carried out on the customer side during peak hours, while part of the electricity demand is shifted to the low valley hours to reduce the electricity load during peak hours.
Option 3: Based on Scenario 1, during the peak hours of electricity consumption, the user side selects thermal energy to replace the electric energy heating to reduce the electric load in the peak hours.
Option 4: On the basis of Option 1, choose to carry out the methods of Option 2 and 3 simultaneously to reduce the power load during the peak hours.
The operation of CHP-MG under four scenarios is shown in Table 1, and it can be seen that the total operation cost of Scenarios 2, 3, and 4 through optimization is lower than that of Scenario 1, with Scenario 4 having the lowest total operation cost in the CHP-MG system.
Table 1.
Optimized operating results under different operating scenarios.
5.1. Analysis of the Operation of the System’s Main Micro-Source Equipment
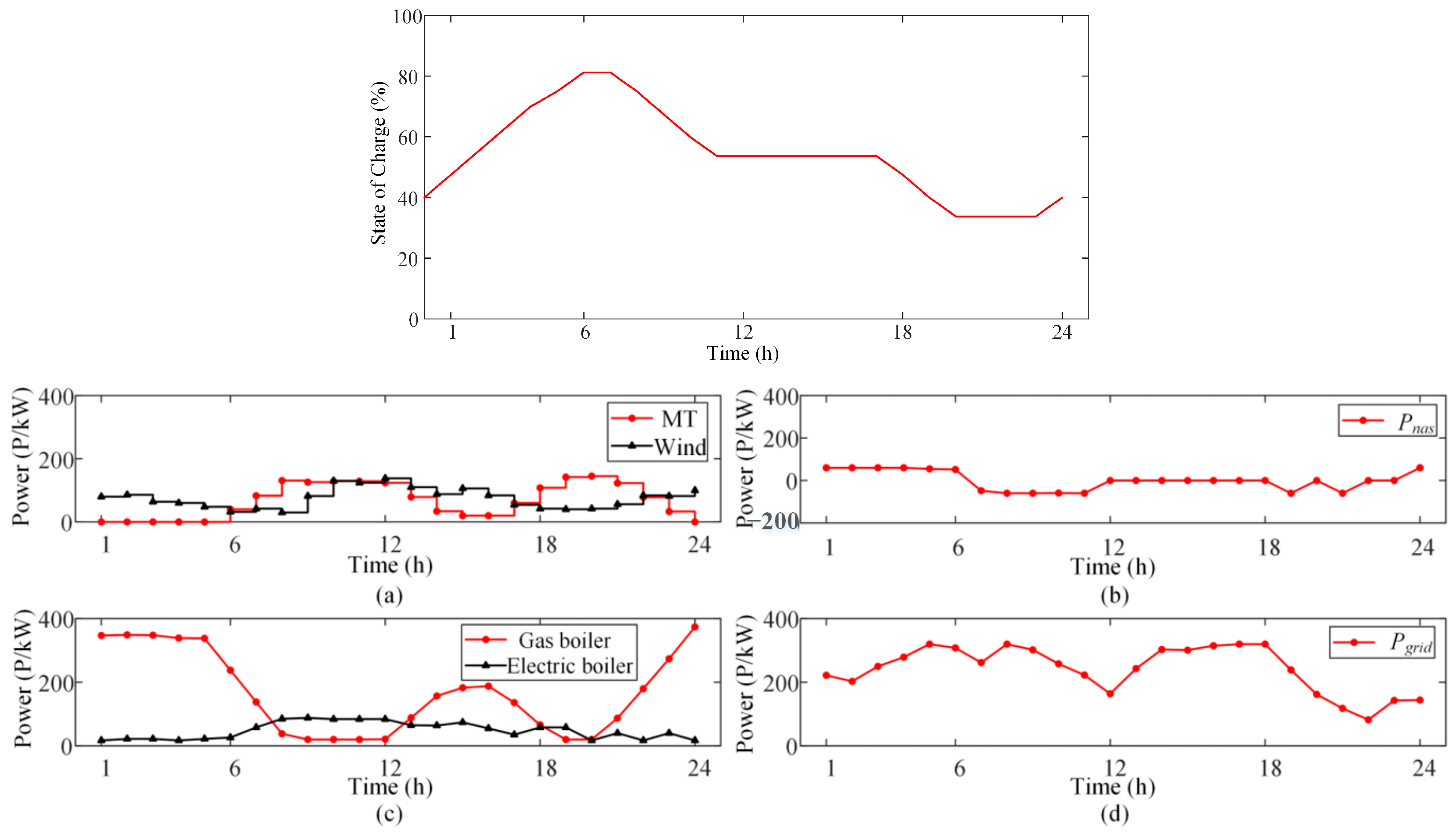
Figure 2 illustrates the operation analysis of the system microsource equipment. Where (a) shows the functioning of the power generation equipment, (b) the operation of the energy storage equipment, (c) the operation of the heating equipment, and (d) the grid power.
Figure 2.
The waveform of energy storage SOC and analytical scheme of the functioning of the micro-source devices for Option 1. (a) the functioning of the power generation equipment, (b) the operation of the energy storage equipment, (c) the operation of the heating equipment, and (d) the grid power.
Electric load: 1–6 h is the trough time, in which wind power and the grid are the main sources of electric load. The peak time is 6–12 h, which is due to the increase in electricity demand and electricity price; MT and electric storage equipment start to discharge. The peak time is 12–18 h, in which the electric load and the electricity price are reduced; MT reduces the power, the power purchased by the grid increases, and the electric storage equipment starts to store the energy. From 18 to 22 h is the second peak time; the operation of the main equipment of the system is similar to that from 6 to 12 h, but from 20 to 22 h, the demand for electricity decreases, and the discharge power and frequency of the storage equipment decreases. The trough time is 22 to 24 h, and the storage equipment starts to store energy, and the purchased power from the grid starts to increase, but because there are still some residents who consume electricity in this hour, the MT is still generating electricity unlike that in the hours of 1 to 6. However, as there are still some residents using electricity in this period, it is different from 1 to 6 h because there is still power generation in MT.
Heat load: from 1 to 6, the gas boiler has the highest power due to the relatively low temperature and high demand for heat supply from customers, MT is not in power during this period, so the residual heat converted from MT is very small. From 6 to 12, MT starts to be in power, and the residual heat converted from MT starts to increase. During this time, the temperature gradually increases, and the heating demand of the user decreases, so the power of the gas boiler starts to decrease and finally reaches the lowest power of the whole day. Due to the centralized heating in the area during the peak daytime heating hours of 12–18 h, in order to maintain the heat supply, the gas boiler starts to power up, and when in the second half of the day, the power of the gas boiler starts to decrease. During 18–24 h, with the gradual decrease in the temperature, the power of the gas boiler increases again until the maximum.
Figure 3 shows an analysis of the operation of the system’s microsource equipment in Scenario 2. Where (a–d) are represented as in Scenario 1.
Figure 3.
Analytical scheme of the functioning of the micro-source devices for Option 2. (a) the functioning of the power generation equipment, (b) the operation of the energy storage equipment, (c) the operation of the heating equipment, and (d) the grid power.
Electric load: At 22–6, the operation of the main equipment of the system is similar to that of Scenario 1. The peak hour of electricity consumption is 6–12 is, and there is a significant decrease in grid power compared to Scenario 1. And in the second half of the period, it is higher than the wind power, but it is lower than the MT power. During 12–18, the power curve of the grid has a significant change compared to that in Scenario 1. The second peak hour is 18–22, and the power of the grid has a significant decrease compared to that in Scenario 1.
For heat load: during 22–6, the gas boiler power is lower compared to Scenario 1, due to the heat release from the thermal storage device. During 6–12, the thermal storage device starts to store energy in this time period, due to the relatively lower heat demand from the customers. During 12–18, the MT converts less surplus heat compared to Scenario 1, due to the heat release from the thermal storage. During 19–22, the thermal storage device starts to store surplus heat due to the sufficient heat supply from the system.
Figure 4 shows the system equipment operation analysis for Scenario 3. In the figure, (a) is the operation diagram for the power generation equipment, (b) is the operation diagram for the energy storage equipment, (c) is the operation diagram for the heating equipment, and (d) is the grid power.
Figure 4.
Analytical scheme of the functioning of the micro-source devices for Option 3. (a) the functioning of the power generation equipment, (b) the operation of the energy storage equipment, (c) the operation of the heating equipment, and (d) the grid power.
For the electric load: at 22–6 h, the operation of the main equipment of the system is similar to that of Scenarios 1 and 2. The peak hour of electricity consumption is 6–12 h, and the grid power has a significant decrease compared to Scenario 2. The grid power curve is different from that in Scenario 2 during 12–18 h. The second peak hour of electricity consumption is 18–22 h, and the electric energy storage curve is different from that in Scenario 2.
For heat load: At 6–12 and 18–22 h, the gas boiler power is higher than that in Scenario 2, and the MT converts less waste heat compared to Scenario 2 because the scenario has a user-side choice of heat to replace the part of heat supplied by electricity in the peak hours of electricity consumption.
The analysis of the system microsource device operation in Scenario 4 is described below. (a–d) in Figure 5 are represented as in Scenario 3.
Figure 5.
Analytical diagram of the operation of the system’s microsource equipment for Option 4. (a) the functioning of the power generation equipment, (b) the operation of the energy storage equipment, (c) the operation of the heating equipment, and (d) the grid power.
For electrical loads: being in the peak hours of electricity consumption at 6–12 and 20–22 h, the grid operation curves are significantly different from Scenario 3.
For heat load: the residual heat converted from MT is higher than Scenario 3 at 6–12 and 18–22 h.
5.2. Analysis of Electricity Operation Results
Figure 6 represents the comparison of electrical load operation under four scenarios, where (a–d) represent the results of electrical energy operation for scenarios 1, 2, 3, 4, respectively.
Figure 6.
Electric load operation comparison chart. (a) the results of electrical energy operation for scenarios 1, (b) the results of electrical energy operation for scenarios 2, (c) the results of electrical energy operation for scenarios 3, (d) the results of electrical energy operation for scenarios 4.
Figure 6 illustrates that during the low power consumption hours from 22 to 6 o’clock, the electric loads in the four scenarios are mainly supplied by the grid and wind power generation, and the electric storage energy is in the charging state, but the electric storage energy charging of Scenarios 3 and 4 is lower than that of Scenarios 1 and 2. During the peak hours of 6 to 12 o’clock, due to the gradual increase in the power supply demand of the users, the MT power in all scenarios is also increased, and the electric storage power is significantly lower compared to Scenario 1, Scenario 2, Scenario 3, Scenario 4, Scenario 2, Scenario 3, and Scenario 4. Compared with Scenario 1, the MT power of Scenarios 2, 3, and 4 decreases significantly, and because Scenarios 2, 3, and 4 adopt the user-side optimization, their total loads are lower than that of Scenario 1. And compared with Scenarios 2 and 3, Scenario 4 cuts and transfers the MT power at this time and guides the users to change the supply mode, so that the MT load of Scenario 4 decreases even more. During the peak hours of 12–18 h, the load and the price of electricity are reduced, and the grid power is increased in all scenarios, and the MT reduces the output. The second peak period is 18–22 h, and the system working status in all scenarios is similar to that of 6–12 h; but from Figure 6a, it can be seen that the burden of the load in this hour is much lower than that of the first peak hour, and so more optimization is mainly carried out in the first peak hour, and therefore, the total load in the second peak hour decreases even more. Therefore, the total electrical load of each scenario in the second peak hour does not decrease significantly compared to the pre-optimization period.
Figure 7 illustrates the electrical power load graphs in the four scenarios, where case 1 is the electrical load curve before optimization, case 2, 3, 4 is the electrical load curve after optimization. In the peak hours of electricity consumption from 6 to 12 and 18 to 22, the height of the three curves is smaller than that of the pre-optimization graphs, in which the curve of case 4 is located at the lowest position and the optimization effect is the best.
Figure 7.
Electric load profile.
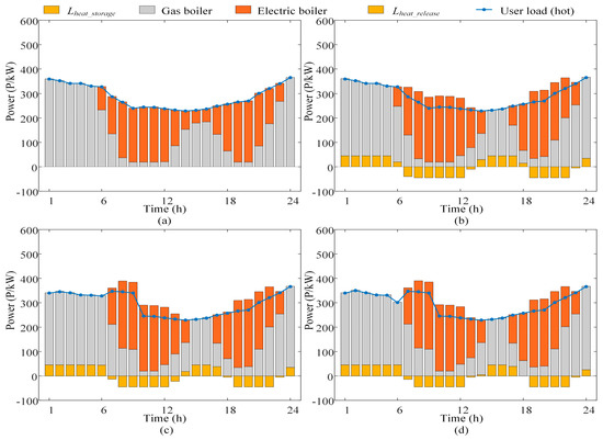
5.3. Analysis of Thermal Operation Results
Figure 8a–d show the thermal operation results for Scenarios 1, 2, 3, 4, respectively. Compared with Scheme 1, Schemes 2–4 incorporate a thermal energy storage device, which can replace part of the gas boiler power when the thermal energy storage is released and can reduce the burden of gas boiler use. In the 22–6 h of low electricity consumption, the heat load of each of the systems is essentially borne within the gas boiler and thermal storage tank, compared with Scheme 2, Schemes 3 and 4 in the thermal energy storage release more heat, and the gas boiler power is smaller. At 6–12, the waste heat energy converted from MT in each scenario gradually rises, and the excess heat energy produced in Scenarios 2, 3, 4 is stored by the thermal energy storage device. Compared with Scenarios 1, 2, Scenarios 3, 4 choose to use thermal energy to replace part of the electrical energy, so the power of the thermal load increases. The thermal energy converted by the MT in each scenario decreases at 12–18 h, when the thermal energy storage starts to release thermal energy at 18–22 h, which is the second maximum time period of the electricity consumption. The thermal load operating conditions are similar to the first maximum time period of electricity consumption, and the thermal load curve starts to increase, and the gas boiler starts to power up again.
Figure 8.
Thermal load operation comparison chart.
Figure 9 shows the heat load profile for the four scenarios. Case 3, 4 selects thermal energy to replace some of the electrical energy during the peak hours of electricity consumption from 6 to 12 h, which increases the heat load power, and thus the profile is higher than in case 1, 2.
Figure 9.
Thermal load profile.
6. Conclusions
In this paper, for the microgrid system containing multiple energy sources and multiple loads, a multi-energy complementary CHP-MG system is constituted through ESS decoupled thermoelectric technology, and its planning configuration and operation schedule are optimized. The application of energy conversion equipment on the supply side on the basis of decoupled thermoelectric linkage through ESS can actually enhance the supply capacity of the supply side and increase the energy utilization efficiency. Optimization of the demand-side management enables users to change their energy supply choices to improve the demand-side response capability, providing optimization space for electricity and heat operation of microgrid system.
Through supply-demand synergy and multi-energy optimization of the system, on the basis of which coordination and optimization of the supply side and user side can balance the supply-demand relationship, reduce load fluctuations, and enhance the stability of the microgrid and the reliability of the power supply; by guiding the user’s energy use behavior to improve the demand-side response capability of the CHP-MG system, and by optimizing the operation of energy sources in the microgrid, the supply–demand relationship of the supply and user sides can be balanced and the pressure of system operation during peak periods can be reduced. The system can balance the supply and demand relationship between the supply side and the user side, reduce the pressure of the system’s operation during the peak period, and actually enhance the energy utilization efficiency.
Due to the limitations of research time, this paper only makes a preliminary study on the operation of microgrid containing cogeneration with thermal power plants. Therefore, there are still many problems to be further studied, and the proposed model can be improved so that the interconnection of multi-region microgrids can be considered in the future to flexibly cope with the load changes. The price and benefit competition among microgrid operators and the consumption behavior of individual users can be considered more comprehensively when setting retail tariffs. The energy and information interaction behaviors of multi-operators and multi-users can be further studied to develop a satisfactory retail tariff for all parties.
Author Contributions
Conceptualization, Z.Y.; methodology, Z.Y.; software, Z.W.; validation, F.Y.; formal analysis, F.Y.; investigation, Y.L.; resources, Y.L.; data curation, N.L.; writing—original draft preparation, Z.Y.; writing—review and editing, N.L. and Z.W.; visualization, Z.W.; supervision, F.Y. and Y.L.; project administration, F.Y. All authors have read and agreed to the published version of the manuscript.
Funding
This research was funded by the National Natural Science Foundation of China (Grant NO. 52377104).
Institutional Review Board Statement
Not applicable.
Informed Consent Statement
Not applicable.
Data Availability Statement
The original contributions presented in the study are included in the article, further inquiries can be directed to the corresponding author.
Conflicts of Interest
Authors Zhilong Yin, Zhiguo Wang are employed by the company Xi’an Dynamic Inspection and Testing Co., Ltd. Author Yue Long is employed by the company China National Accreditation Service for Conformity Assessment. Author Na Li is employed by the company China National Testing Holding Group Co., Ltd. The remaining author declares that the research was conducted in the absence of any commercial or financial relationships that could be construed as a potential conflict of interest.
References
- Xu, M.M.; Zhou, B.X.; Wang, J.L. An Algorithm of Supply and Demand Coordination for Flexible Load Assessment. In Proceedings of the 2024 IEEE 4th International Conference on Electronic Technology, Communication and Information (ICETCI), Changchun, China, 24–26 May 2024; pp. 49–54. [Google Scholar]
- Liu, N.; He, L.; Yu, X.; Ma, L. Multiparty Energy Management for Grid-Connected Microgrids with Heat- and Electricity-Coupled Demand Response. IEEE Trans. Ind. Inform. 2017, 14, 1887–1897. [Google Scholar] [CrossRef]
- Zhao, M.B.; Zhang, Q.R.; Chen, C. Optimal Allocation and Operation of Combined Heat and Power Microgrid Including Phase Change Heat Storage. In Proceedings of the 2023 IEEE 3rd International Conference on Power, Electronics and Computer Applications (ICPECA), Shenyang, China, 29–31 January 2023; pp. 1585–1589. [Google Scholar]
- Chatterjee, D.; Biswas, P.K.; Sain, C.; Roy, A. Artificial Neural Network Based Holistic Approach in Energy Management Controllers for Fuel Cell Hybrid Electric Vehicles. In Proceedings of the 2024 IEEE 4th International Conference on Sustainable Energy and Future Electric Transportation (SEFET), Hyderabad, India, 31 July–3 August 2024; pp. 1–6. [Google Scholar]
- Mu, C.; Ding, T.; Sun, Y.; Huang, Y.; Li, F.; Siano, P. Energy Block-Based Peer-to-Peer Contract Trading with Secure Multi-Party Computation in Nanogrid. IEEE Trans. Smart Grid 2022, 13, 4759–4772. [Google Scholar] [CrossRef]
- Wang, L.Y.; Cao, Y.W.; Li, Y.F.; Dong, H.Q.; Zeng, M.; Guo, X.P. Optimal Operation of Multi-energy Collaborative System Considering Demand Response. In Proceedings of the 2020 IEEE/IAS Industrial and Commercial Power System Asia (I&CPS Asia), Weihai, China, 13–16 July 2020; pp. 466–474. [Google Scholar]
- Adejumobi, I.A.; Adeoti, J.A. Efficient Utilization of Industrial Power: Demand Side Management Approach. In Proceedings of the 2019 IEEE PES/IAS PowerAfrica 2019, Abuja, Nigeria, 20–23 August 2019; pp. 677–681. [Google Scholar]
- Hong, T.; Fan, S. Probabilistic electric load forecasting: A tutorial review. Int. J. Forecast. 2016, 32, 914–938. [Google Scholar] [CrossRef]
- Li, P.; Xi, W.; Cai, T.T.; Yu, H.; Li, P.; Wang, C.S. Concept, architecture and key technologies of digital power grids. Proc. CSEE 2022, 42, 5002–5016. [Google Scholar]
- Zhou, X.X.; Chen, S.Y.; Lu, Z.X.; Huang, Y.H.; Ma, S.C.; Zhao, Q. Technology Features of the New Generation Power System in China. Proc. CSEE 2018, 38, 1893–1904. [Google Scholar]
- Song, K.B.; Baek, Y.S.; Hong, D.H.; Jang, G. Short-term load forecasting for the holidays using fuzzy linear regression method. IEEE Trans. Power Syst. 2005, 20, 96–101. [Google Scholar] [CrossRef]
- Bunnoon, P.; Chalermyanont, K.; Limsakul, C. Mid term load forecasting of the country using statistical methodology: Case study in Thailand. In Proceedings of the International Conference on Signal Processing Systems, Singapore, 15–17 May 2009; pp. 924–928. [Google Scholar]
- Chen, K.; Zhang, Z. In-flight wireless charging: A promising application-oriented charging technique for drones. IEEE Ind. Electron. Mag. 2024, 18, 6–16. [Google Scholar] [CrossRef]
- Lei, S.L.; Sun, C.X.; Zhou, Q.; Zhang, X.X. The research of local linear model of short term electrical load on multivariate time series. In Proceedings of the IEEE Russia Power Tech, St. Petersburg, Ruusia, 27–30 June 2005; pp. 1–5. [Google Scholar]
- Soares, L.J.; Medeiros, M.C. Modeling and forecasting short-term electricity load: A comparison of methods with an application to Brazilian data. Int. J. Forecast. 2008, 24, 630–644. [Google Scholar] [CrossRef]
- Tao, Y.; He, L.; Zhang, H.; Wang, X. Research on the prediction of fatigue life of tower crane based on grey system. Mech. Sci. Technol. Aerosp. Eng. 2012, 31, 1236–1240. [Google Scholar]
- Wang, Q.; Li, S.; Li, R. Forecasting energy demand in China and India: Using single-linear, hybrid-linear, and non-linear time series forecast techniques. Energy 2018, 161, 821–831. [Google Scholar] [CrossRef]
- Ma, J.; Yang, H.G. Application of adaptive Kalman filter in power system short-term load forecasting. Power Syst. Technol. 2005, 29, 75–79. [Google Scholar]
- Zhong, J.; Li, Y.; Wu, Y.; Cao, Y.; Li, Z.; Peng, Y.; Qiao, X.; Xu, Y.; Yu, Q.; Yang, X.; et al. Optimal Operation of Energy Hub: An Integrated Model Combined Distributionally Robust Optimization Method with Stackelberg Game. IEEE Trans. Sustain. Energy 2023, 14, 1835–1848. [Google Scholar] [CrossRef]
- Ren, J.; Zhang, L.; Jin, L.; Chen, Y. Operation optimization and analysis of office building integrated energy system considering comprehensive demand response of heat and electricity. In Proceedings of the 2022 Asian Conference on Frontiers of Power and Energy (ACFPE), Chengdu, China, 21–23 October 2022; pp. 237–241. [Google Scholar]
- Guan, C.; Luh, P.B.; Michel, L.D.; Chi, Z. Hybrid Kalman filters for very short-term load forecasting and prediction interval estimation. IEEE Trans. Power Syst. 2013, 28, 3806–3817. [Google Scholar] [CrossRef]
- Zhang, Z.; Hong, W.C. Application of variational mode decomposition and chaotic grey wolf optimizer with support vector regression for forecasting electric loads. Knowl. -Based Syst. 2021, 228, 107297. [Google Scholar] [CrossRef]
- Chapagain, K.; Kittipiyakul, S. Short-term electricity load forecasting model and Bayesian estimation for Thailand data. In Proceedings of the Asia Conference on Power and Electrical Engineering (ACPEE), Bangkok, Thailand, 20–22 March 2016; Volume 55, pp. 20–22. [Google Scholar]
- Jiang, W.; Huang, L.L.; Feng, W.; Yang, L.; Wang, L.; Xu, Q.S.; Wu, J.; Yang, H.B. Research on load forecasting technology of transformer areas based on distributed graph computing. Proc. CSEE 2018, 38, 3419–3430. [Google Scholar]
- Xi, Y.W.; Wu, J.Y.; Shi, C.; Zhu, X.W.; Cai, R. A refined load forecasting based on historical data and real-time influencing factors. Power Syst. Prot. Control. 2019, 47, 80–87. [Google Scholar]
- Bedi, J.; Toshniwal, D. Deep learning framework to forecast electricity demand. Appl. Energy 2019, 238, 1312–1326. [Google Scholar] [CrossRef]
- Sha, F.; Zhu, F.; Guo, S.N.; Gao, J.T. Based on the EMD and PSO-BP neural network of short-term load forecasting. Adv. Mater. Res. 2013, 614, 1872–1875. [Google Scholar]
Disclaimer/Publisher’s Note: The statements, opinions and data contained in all publications are solely those of the individual author(s) and contributor(s) and not of MDPI and/or the editor(s). MDPI and/or the editor(s) disclaim responsibility for any injury to people or property resulting from any ideas, methods, instructions or products referred to in the content. |
© 2025 by the authors. Licensee MDPI, Basel, Switzerland. This article is an open access article distributed under the terms and conditions of the Creative Commons Attribution (CC BY) license (https://creativecommons.org/licenses/by/4.0/).








