Next Article in Journal
Nature Tourism and Mental Well-Being: Insights from a Controlled Context on Reducing Depression, Anxiety, and Stress
Next Article in Special Issue
Research on the Efficiency and Synergistic Effect of Industrial Green Innovation Development in the Beijing–Tianjin–Hebei Urban Agglomeration
Previous Article in Journal
Neural Network for AI-Driven Prediction of Larval Protein Yield: Establishing the Protein Conversion Index (PCI) for Sustainable Insect Farming
 
 
Font Type:
Arial Georgia Verdana
Font Size:
Aa Aa Aa
Line Spacing:
Column Width:
Background:
Article

The Impacts of the US Inflation Reduction Act on EV Supply Chains

1
School of Business, Shandong Normal University, Jinan 250014, China
2
School of Management, Shanghai University, Shanghai 200444, China
*
Author to whom correspondence should be addressed.
Sustainability 2025, 17(2), 653; https://doi.org/10.3390/su17020653
Submission received: 20 November 2024 / Revised: 20 December 2024 / Accepted: 25 December 2024 / Published: 16 January 2025

Abstract

The Inflation Reduction Act (IRA) passed by the United States in 2022 affected the global layout of electric vehicle (EV) supply chains. This paper explores the impacts of the IRA on the decisions of overseas battery suppliers and domestic EV manufacturers in the US. The main findings are that (1) the suppliers’ and manufacturers’ optimal decisions depend on the local subsidy, tariff, and battery R&D costs: tariffs (subsidies) reduce (increase) the battery R&D level for overseas (local) suppliers, EV prices, and supply chain members’ profits; (2) subsidies and tariffs are key factors in distinguishing manufacturers from overseas procurement and local procurement when R&D cost coefficients are determined; cost coefficients and service fees are the key factors for manufacturers to choose local procurement or R&D cooperation strategies; and (3) when local supply chains compete with overseas supply chains, subsidies will give the local supply chains a sales advantage while giving overseas supply chains a price advantage, and when local supply chains compete with cooperative supply chains, subsidies will give local supply chains a price disadvantage and a sales disadvantage.

1. Introduction

The global automotive industry is undergoing an unprecedented transformation, and the rise of electric vehicles (EVs) not only represents the direction of technological innovation but is also the key to addressing climate change and promoting sustainable development globally [1,2,3]. However, this transformation is not only related to technology and the market; the underlying geopolitical factors are increasingly becoming key variables affecting industrial development [4,5]. The rise of EVs serves as a strategic response to climate change and an essential driver of sustainable development. However, beyond environmental considerations, the transition to EVs has also become a central aspect of industrial competition, with both Eastern and Western nations positioning themselves as global leaders in the green technology sector. This competition spans technological innovation, manufacturing capabilities, and geopolitical influence as countries seek to dominate the burgeoning electric vehicle market and secure a competitive advantage in the global economy [6,7].
The dynamic changes in geopolitics directly affect the layout of global supply chains, trade flows, investment decisions, and policy formulation. In this background, many countries have introduced policies to support the development of their electric vehicle industry and enhance their competitiveness in the global market. The Inflation Reduction Act (IRA) passed by the United States in 2022 is an important measure among them. According to the IRA, vehicles meeting both the critical mineral and the battery component requirements are eligible for a total tax credit of USD 7500 [8].
Critical Minerals: To be eligible for the USD 3750 critical minerals portion of the tax credit, the percentage of the value of the battery’s critical minerals that are extracted or processed in the United States or a US free-trade agreement partner or recycled in North America must meet or exceed the following thresholds in Table 1.
Battery Components: To be eligible for the USD 3750 battery components portion of the tax credit, the percentage of the value of the battery’s components that are manufactured or assembled in North America must meet or exceed the following thresholds in Table 1.
The IRA states that the procurement of raw materials or assembly of EVs needs to be carried out in certain regions; hence, some electric vehicle manufacturers and battery manufacturers have begun to change their original production plans. BMW announced that it will invest USD 1.7 billion to produce EVs in South Carolina. The Volkswagen Group has shelved plans to build battery factories in Eastern Europe and prioritized building factories in the United States. A Swedish battery manufacturer plans to establish a factory in the United States. In addition, some EV manufacturers and battery suppliers have begun to cooperate in response to the IRA. For example, Honda Motor and LG New Energy have announced that their US battery joint venture factory will settle in Ohio, with official production expected to begin as early as 2025. Ford Motor has announced a USD 3.5 billion investment to construct a lithium iron phosphate battery plant in Michigan. The plant’s production will receive technical and service support from CATL.
However, whether the above measures can alleviate the impact of the IRA on manufacturers and battery suppliers is not clear enough. Therefore, this paper will explore the impacts of the IRA on electric vehicle manufacturers’ and battery suppliers’ decisions, as well as whether the IRA helps protect US companies and improve their competitiveness. The main research questions are as follows:
(1)
How does the IRA affect manufacturers’ procurement strategies?
(2)
How does the IRA affect the R&D strategies of local and overseas suppliers?
(3)
How does the IRA affect competition between EV supply chains?
In this paper, we assume a supply chain consists of an EV manufacturer and a battery supplier. The manufacturer could purchase their batteries from an overseas supplier or a local battery supplier. If the manufacturer chooses the former, they will pay the tariff; if the manufacturer chooses the latter, they will obtain the subsidy that is mentioned in the IRA. In addition, the battery supplier and the manufacturer could collaborate locally to produce batteries. We use stylized game theory to construct a model, then analyze the impacts of the subsidy on battery R&D level and price. Future, we explore how the subsidy affects the present and future supply chains’ competition.
Therefore, our paper mainly contributes to the following three aspects: (1) incorporating government subsidies for local procurement, we construct three models for manufacturers—source battery from overseas, source battery locally, and cooperate with overseas suppliers—to study the optimal procurement strategy of manufacturers; (2) considering consumer sensitivity to component quality, we explore the impact of the IRA on suppliers’ R&D investments in the US and China; and (3) we investigate the impact of the IRA on the competitiveness of manufacturers and suppliers in the US.
The main findings are that (1) the optimal decisions depend on the local subsidy, tariff, and battery R&D cost coefficients. Tariffs (subsidies) reduce (increase) the battery R&D level for overseas (local) suppliers, EV prices, and supply chain members’ profits; (2) subsidies and tariffs are key factors in distinguishing manufacturers from overseas procurement and local procurement when R&D cost coefficients are determined, while cost coefficients and service fees are the key factors for manufacturers to choose local procurement or R&D cooperation strategies; and (3) when local supply chains compete with overseas supply chains, subsidies will give the local supply chains a sales advantage while giving overseas supply chains a price advantage, and when local supply chains compete with cooperative supply chains, subsidies will give local supply chains a price disadvantage and a sales disadvantage.

2. Literature Review

Our paper is related to three literature streams: original equipment manufacturer (OEM) procurement, especially cross-border procurement, supply chain collaborative research and development, and government policies.
Firstly, we review the literature related to OEM procurement strategies. Ehsan et al. [9] studied a supply chain consisting of a supplier, a contract manufacturer, and two OEMs. Suppliers were divided into non-strategic and strategic suppliers and the manufacturer determined their procurement strategy—Delegation vs. Control. In an assembly system consisting of two suppliers providing complementary components and one manufacturer, Li et al. [10] studied how another supplier and manufacturer can assist an interrupted supplier in restoring production capacity when one supplier encounters an interruption. Considering possible supply disruptions from overseas suppliers, Yin et al. [11] studied how to utilize flexible local procurement policies to reduce the risk of overseas disruptions. In a supply chain consisting of two EV manufacturers, one manufacturer can choose to purchase batteries from another manufacturer. Zhu et al. (2020) [1] studied the optimal battery procurement channel selection and battery capacity allocation strategies for EV manufacturers in the presence of battery recycling. Srivastava et al. [12] conducted semi-structured interviews with 20 Tier 1 suppliers of Indian automotive companies (OEMs) to provide insights into how suppliers can cope with institutional pressure in a highly uncertain environment.
Considering OEM procurement competition, Zhou et al. [13] designed a supply chain consisting of original equipment manufacturers and contract manufacturers and found that outsourcing can achieve a win–win situation for both OEMs and contract manufacturers. Guo et al. [14] constructed a game model involving an OEM and outsourced remanufacturer to study the impact of carbon trading policies on supply chains under decentralized and centralized decision-making conditions. Suvadarshini et al. [15] studied a closed-loop supply chain consisting of an OEM, retailers, and third-party suppliers. When recycling agents competitively recycle used products, the OEM can design an efficient omni-channel recycling structure. Zhao et al. [16] developed a game model for a duopoly situation and studied how OEMs compete with TPRs to trade in old products for new ones.
Considering cross-border procurement, Niu et al. [17,18,19] studied the domestic and foreign procurement strategies for waste metals in the context of uncertain quality in cross-border procurement. In the context of competition between multinational corporations and local manufacturers, Xu, Hsu, and Niu [20] studied the procurement strategy of multinational corporations—whether to choose entrusted procurement or turnkey procurement. In addition, as high-tech manufacturers often require their suppliers to undergo technological reforms, a financially constrained supplier sometimes requires external financing, including investment from downstream manufacturers in the supplier. In recent years, some literature has combined procurement strategies with investments to study the impact of different investment strategies such as equity and loans on supplier development efforts and the probability of technological success [21,22]. Hsu et al. [23] studied an MNF’s decision about whether to supply a rival in the retail market by taking into account tax disparities between countries and regulations on transfer pricing. Shao et al. [24] examined the impact of cost uncertainty and information asymmetry on global sourcing through the lens of a sourcing game.
Secondly, our research is also related to collaborative R&D in the supply chain. Niu et al. [25] considered coding, licensing, and coding with opt-out options to study how a large technology firm can collaborate with an innovative but financially constrained supplier. Yu et al. [26] considered developing cooperative alliances between automobile manufacturers and battery manufacturers and discussed R&D cooperation contracts for four different payment methods. Liu and Huang [27] studied the innovation level of battery suppliers in a supply chain consisting of one battery supplier and two competing manufacturers, considering three scenarios: non-cooperation between the two manufacturers, partial cooperation, and complete cooperation.
Finally, we provide a review of papers related to geopolitics. Papers on geopolitics mainly focus on analyzing the multiple characteristics and vulnerability assessment of the global literacy on the battery supply chain network [5,28] and resilience assessments of China’s cobalt supply chain [4]. The papers on subsidies for electric vehicles mainly focus on studying the impact of domestic consumption subsidies for electric vehicles [29], manufacturer production subsidies, and R&D subsidies [30,31] on the price and sales of electric vehicles. There are few papers exploring the impact of subsidies on suppliers’ R&D. Li et al. [32], considering the current state of China’s automotive industry, use a complex network evolution game theory approach to explore the dynamic impacts of government policies on the diffusion of EVs within networks of different scales. They provide corresponding policy recommendations for different periods. Setiawan et al. [33] combine a system dynamics model for EV adoption with a policy analysis framework to investigate the effectiveness of policies aimed at increasing EV adoption rates in Indonesia. Bjerkan et al. [34] study fiscal policies, such as purchase tax exemptions and value-added tax exemptions, which have significantly contributed to the large market share of electric vehicles in Norway. Jo [35] focuses on the structural power of firms and explains how large enterprises systematically exclude small- and medium-sized suppliers from new growth policies through the automotive industry’s production hierarchy structure and policy information monopolies.
This paper investigates how the EV subsidy policy for local production and assembly in the United States affects the R&D strategies of Chinese and American battery suppliers, as well as the procurement strategies of American manufacturers. Furthermore, we also investigate whether the IRA improves the competitiveness of US manufacturers and suppliers.

3. Assumptions and Model Description

We consider a supply chain consisting of a battery supplier and a US EV manufacturer. The battery supplier produces and sells the battery to the EV manufacturer and the EV manufacturer assembles and sells its products to the consumers in the local US market. In this paper, we study three battery sourcing strategies: (1) oversea sourcing; (2) domestic sourcing; and (3) cooperative R&D. In the first mode, the manufacturer will source the batteries from an overseas supplier and the overseas supplier is responsible for battery R&D and production. The manufacturer needs pay the tariffs when they purchase batteries from the overseas supplier. In the second mode, the manufacturer will source the batteries from local supplier in US and the local supplier is responsible for battery R&D and production. In the third mode, the manufacturer develops the batteries with the overseas supplier, such as the cooperation between Ford and CATL mentioned in the introduction. These battery R&D strategies are illustrated in Figure 1.
Assuming that the EV demand is influenced by the product price and the battery quality, the demand function is D = a p + θ q , where a is the EV potential demand, p is the EV retailed price, q is the EV battery quality, and θ is the sensitivity of the market demand towards battery quality [13]. We assume that the battery R&D cost c = 1 2 k q 2 , where k > 0 represents the battery R&D cost coefficient [36]. For analytic simplicity, we assume that the R&D investment does not affect the marginal production cost and the marginal production cost is normalized to be zero [37].
The specific sequence of the game model is as follows: In the first stage, the battery supplier decides on the battery quality and wholesale price based on the principle of profit maximization. In the second stage, the EV manufacturer, considering the quality level of the battery, determines the retail price of the EV to maximize their profit. The optimal solution is obtained through the backwards induction method.
To facilitate the reader’s understanding, the notations are summarized in Table 2.

4. No Competition

4.1. Model

4.1.1. Overseas Sourcing Strategy

In this mode, the manufacturer purchases the batteries directly from the overseas battery supplier at a wholesale price w 1 and pays a tariff of t per battery [18]. The overseas supplier is responsible for the battery R&D and production. The profit functions of the supplier and the manufacturer under the sourcing strategy are π s = ( a p 1 + θ q 1 ) w 1 1 2 k 1 q 1 2 and π M = ( a p 1 + θ q 1 ) ( p 1 w 1 t ) , respectively.
Assumption 1. 
The sensitivity of the market demand towards battery quality θ and battery R&D cost coefficient k 1 satisfy 4 k 1 θ 2 > 0 .
Assumption 1 implies that the battery R&D cost coefficient is bounded and the bound is related to the sensitivity of the market demand towards battery quality, which also guarantees that the equilibrium decision variables in Theorem 1 are positive and meaningful.
Theorem 1. 
In the overseas sourcing strategy, the optimal battery quality, the battery wholesale price, the EV price, demand, and profits are q 1 = * θ ( a t ) 4 k 1 θ 2 , w 1 = * 2 k 1 ( a t ) 4 k 1 θ 2 , p 1 = * 3 a k 1 + t k 1 t θ 2 4 k 1 θ 2 , D 1 = * k 1 ( a t ) 4 k 1 θ 2 , π 1 S = k 1 ( a t ) 2 2 ( 4 k 1 θ 2 ) , and π 1 M = k 1 ( a t ) 2 2 ( 4 k 1 θ 2 ) 2 .
Appendix A contains the detailed calculations used in this study.

4.1.2. Domestic Sourcing Strategy

In this mode, the manufacturer sources the batteries from local firms with w 2 and the local supplier is responsible for the battery R&D and production. In this scenario, we assume that a certain proportion of the raw materials for the batteries comes from the US or free trade agreement countries. According to the US’s IRA, the consumer can receive a subsidy s [29] when they purchase an EV produced by the manufacturer. Hence, the supplier’s and manufacturer’s profit functions are
π 2 S = ( a p 2 + s + θ q 2 ) w 2 1 2 k 2 q 2 2   and   π 2 M = ( a p 2 + s + θ q 2 ) ( p 2 w 2 )
Similar to Assumption 1, we give Assumption 2.
Assumption 2. 
The sensitivity of the market demand towards battery quality θ and battery R&D cost coefficient k 2 satisfy 4 k 2 θ 2 > 0 .
Assumption 2 implies that the battery R&D cost coefficient is bounded and the bound is related to the sensitivity of the market demand towards battery quality, which also guarantees that the equilibrium decision variables in Theorem 2 are positive and meaningful.
Theorem 2. 
In the domestic sourcing strategy, the battery quality, battery wholesale price, EV price, demand, and profits are q 2 = * ( a + s ) θ 4 k 2 θ 2 , w 2 = * 2 k 2 ( a + s ) 4 k 2 θ 2 , p 2 = * 3 k 2 ( a + s ) 4 k 2 θ 2 , D 2 = * k 2 ( a + s ) 4 k 2 θ 2 , π 2 S = k 2 ( a + s ) 2 2 ( θ 2 + 4 k 2 ) , and π 2 M = k 2 ( a + s ) 2 2 ( θ 2 + 4 k 2 ) 2 .

4.1.3. Cooperative R&D Strategy

In this mode, we focus on the cooperation between the oversea supplier and the manufacturer. The manufacturer builds a battery factory in US to produce batteries and the overseas supplier provides technical and service support to the EV manufacturer. The manufacturer pays service fees F [37] to the supplier according to the battery quality. Similar to scenario 2, the consumer also will obtain the government subsidy when they purchase a product. Thus, the profit functions of the supplier and the manufacturer under the cooperative R&D strategy are, respectively,
π s = q 3 F 1 2 k 3 q 3 2   and   π M = ( a p + s + θ q 3 ) p q 3 F .
The sequence of the game model in this mode is as follows: in the first stage, the manufacturer determines the service fee; then the battery supplier decides on the battery quality; and finally, the EV manufacturer determines the EV retail price. Both the manufacturer and the retailer aim to maximize their own profits. We use the backwards induction method to obtain the optimal solution.
Before giving the optimal solution, we need to make the following assumption.
Assumption 3. 
The sensitivity of the market demand towards battery quality θ and battery R&D cost coefficient k 3 satisfy 4 k 3 θ 2 > 0 .
Assumption 3 implies that the battery R&D cost coefficient is bounded and the bound is related to the sensitivity of the market demand towards battery quality, which also guarantees that the equilibrium decision variables in Theorem 3 are positive and meaningful.
Theorem 3. 
In the cooperative R&D strategy, the optimal battery quality, the service fee, EV price, demand, and profits are q 3 = * θ ( a + s ) 4 k 3 θ 2 , F * = θ k 3 ( a + s ) 4 k 3 θ 2 , p 3 = * 2 k 3 ( a + s ) 4 k 3 θ 2 , D 3 = * 2 k 3 ( a + s ) 4 k 3 θ 2 , π 3 S = k 3 θ 2 ( a + s ) 2 2 ( θ 2 + 4 k 3 ) 2 , and π 3 M = k 3 ( a + s ) 2 θ 2 + 4 k 3 .

4.2. Results Comparison

Corollary 1. 
(a) If s < 4 a ( k 2 k 1 ) t ( 4 k 2 θ 2 ) , then q 1 * > q 2 * , or else q 1 < * q 2 * ;
(b) If s < k 1 ( a t ) ( θ 2 + 4 k 2 ) k 2 ( θ 2 + 4 k 1 ) a , then π 1 M * > π 2 M * , or else π 1 M < * π 2 M * ;
(c) If k 2 ( a + s ) 2 θ 2 + 4 k 2 < k 1 ( a t ) 2 θ 2 + 4 k 1 , then π 1 S > * π 2 S * , or else π 1 S < * π 2 S * .
Corollary 1 compares the optimal battery quality and the profits of the manufacturer and the supplier under the overseas sourcing strategy and domestic sourcing strategy. It shows that no strategy always outperforms the other. More specifically, Corollary 1 establishes the thresholds to distinguish which strategy outperforms others in terms of the battery quality and the two members’ profitability, respectively. Because these thresholds are quite complicated, we resort to numerical studies to visually display the partition of the s–t space under different settings of k 1 and k 2 in Figure 2, where colored curves (A), (B), and (C) correspond to s = 4 a ( k 2 k 1 ) t ( 4 k 2 θ 2 ) , s = k 1 ( a t ) ( θ 2 + 4 k 2 ) k 2 ( θ 2 + 4 k 1 ) a , and k 2 ( a + s ) 2 θ 2 + 4 k 2 = k 1 ( a t ) 2 θ 2 + 4 k 1 , respectively.
The analysis method is outlined in Appendix A.
Figure 2 visually displays the three thresholds furnished in Corollary 1 to compare the battery quality as well as the manufacturer’s and supplier’s profits. The three thresholds in Corollary 1 correspond to the three colored curves in Figure 2, which partition the s–t space into four distinct regions, labeled as I, II, III, and IV, when k 1 = 25 ,   k 2 = 27 . In our numerical study, we also draw partitions under other combinations of k 1 and k 2 and they are qualitatively the same except for minor differences in size for the four regions. As such, we omit them for brevity. These four regions distinguish which strategy, overseas sourcing or domestic sourcing, is better in terms of the unit subsidy, tariff, or the manufacturer’s and supplier’s profits.
In Figure 2, we can see that if the subsidy is very large (small), the battery R&D level and local supply chain’s members’ profits will be higher (lower) than those in overseas procurement in region I (IV). On the contrary, if the subsidy is not very high, the quality of products produced through local procurement is lower in region IV. As the subsidy increases, the profit of the manufacturer first exceeds that of overseas supplier (Region III) and then, as the subsidy continues to increase, the profits of the manufacturer and the supplier under the local procurement strategy exceed those under overseas procurement (Region II). With the further increase in the subsidy, the quality of batteries produced by the local supplier eventually exceeds that of those provided by the overseas supplier. Overall, subsidies will first increase the profits of suppliers and the manufacturer and then the local supplier will increase battery research and development to improve battery quality.
Corollary 2. 
(a) If s < t ( θ 2 4 k 3 ) + 4 a ( k 3 k 1 ) θ 2 + 4 k 1 , then q 1 * > q 3 * , or else q 1 * < q 3 * .
(b) If k 3 θ 2 ( a + s ) 2 ( θ 2 + 4 k 3 ) 2 < k 1 ( a t ) 2 θ 2 + 4 k 1 , then π 1 M * > π 3 M * , or else π 1 M * < π 3 M * .
(c) If k 3 ( a + s ) 2 θ 2 + 4 k 3 < k 1 ( a t ) 2 2 ( θ 2 + 4 k 1 ) 2 , then π 1 s * > π 3 s * , or else π 1 s * < π 3 s * .
Corollary 2 compares the optimal battery range and the profits of the manufacturer and the supplier under the overseas sourcing strategy and cooperation strategy. We find that no strategy always outperforms the other under any of the subsidies or tariffs.
Similar to Figure 2, Figure 3 visually displays the three thresholds ( s = t ( θ 2 4 k 3 ) + 4 a ( k 3 k 1 ) θ 2 + 4 k 1 , k 3 θ 2 ( a + s ) 2 ( θ 2 + 4 k 3 ) 2 = k 1 ( a t ) 2 θ 2 + 4 k 1 , and k 3 ( a + s ) 2 θ 2 + 4 k 3 = k 1 ( a t ) 2 2 ( θ 2 + 4 k 1 ) 2 ) furnished in Corollary 2 to compare the two strategies under the subsidy and tariff as well as the two members’ profits. The thresholds in Corollary 2 correspond to the three colored curves in Figure 3, which partition the s–t space into four distinct regions labeled as I, II, III, and IV therein. Different from Figure 2, in Figure 3 the profit of the manufacturer under the cooperative R&D strategy is always higher than that of the manufacturer under overseas sourcing. With the increase of subsidies, the battery quality under the cooperative R&D strategy is higher than that under the overseas sourcing strategy; with the further increase of subsidies, the profits of suppliers under the cooperative R&D strategy will be higher than those under the overseas sourcing strategy. This indicates that the relocation of overseas suppliers to the U.S. will first increase the manufacturer’s profits and, with the increase of subsidies, the product quality will further improve. For overseas suppliers, there is a high possibility of a decrease in profits.
For Figure 2 and Figure 3, we also draw the partitions under various combinations of ( k 1 , k 2 ) and ( k 1 , k 3 ) and note that they are structurally the same except for minor differences in size of the three regions. As such, we omit the figures with other combinations for brevity.
Corollary 3. 
(a) If k 3 > k 2 , then q 2 * > q 3 * , or else q 2 * < q 3 * ;
(b) If k 3 > k 2 θ 2 2 ( a + s ) 2 4 k 2 ( a + s ) 2 2 ( a + s ) 2 ( 4 k 2 θ 2 ) 2 , then π 2 M * > π 3 M * , or else π 2 M * < π 3 M * ;
(c) If ( 4 k 3 θ 2 ) 2 k 3 > θ 2 ( 4 k 2 θ 2 ) k 2 , then π 2 s * > π 3 s * , or else π 2 s * < π 3 s * .
Corollary 3 compares the optimal battery range and the profits of the manufacturer and the supplier under the overseas sourcing strategy and cooperative R&D strategy.
Similar to Figure 3, Figure 4 visually displays the two thresholds furnished in Corollary 2 to compare the two strategies under the battery R&D cost coefficients as well as the two members’ profits. The thresholds in Corollary 2 correspond to the three colored curves in Figure 4, which partition the k 3 k 2 space into four distinct regions labeled as I, II, III, and IV therein. From Figure 4, it can be seen that when local suppliers have poor R&D technology, manufacturers always obtain higher profits from cooperative R&D strategies than from domestic procurement strategies (I, II, and III). As the cost coefficient increases during collaborative research and development, the profits of overseas suppliers decrease (II and III); if the cost coefficient of collaborative R&D is high, the quality of batteries produced through collaboration will be lower than that of batteries purchased domestically (I).
We also draw the partitions under various combinations of s and t and note that they are structurally the same except for minor differences in size of the three regions. As such, we omit the figures with other combinations of s and t for brevity.

5. Competition

In this section, we consider the competition between two supply chains, one consisting of an overseas supplier S 1 and a local EV manufacturer M 1 and the other consisting of a local battery supplier S 2 and a local EV manufacturer M 2 . We focus on analyzing whether the IRA makes local supply chains more competitive.

5.1. Competition Between Oversea Sourcing and Local Sourcing

In this subsection, we assume supplier 1 produces batteries overseas and when manufacturer 1 purchases the battery from supplier 1, they need to pay the tariff. Supplier 2 produces and sells batteries locally, so if consumers purchase product 2, they will receive a subsidy. We assume that overseas suppliers have more mature battery R&D technology, so the battery quality produced by overseas suppliers is greater than that of those produced by local suppliers. Note that the difference in quality between the two batteries is q .
We assume that the demand function of the two products is not only affected by the prices of the two competing products, but also by the quality difference between the two products (Niu et al., 2020) [38]. The demand functions for the two competing EVs are D 1 = 1 p 1 + b p 2 + θ q and D 2 = 1 p 2 + b p 1 + s .
Hence, the profit functions of the two supply chain members are
π S 1 L = ( 1 p 1 L + b p 2 L + θ q ) w 1 L K 1 , π M 1 L = ( 1 p 1 L + b p 2 L + θ q ) ( p 1 L w 1 L t ) ;
π S 2 L = ( 1 p 2 L + b p 1 L + s ) w 2 L K 2 ,   π M 2 L = ( 1 p 2 L + b p 1 L + s ) ( p 2 L w 2 L ) .
Using the backwards induction method, we can get the optimal wholesale price and retail price for the two products:
Theorem 4. 
The optimal battery wholesale prices and EV retail prices for the two products are
w 1 L * = 8 t + 6 b + 6 b s + 8 q θ 2 b 3 s + 9 b 2 t 2 b 4 t 3 b 2 2 b 3 3 b 2 q θ + 8 4 b 4 17 b 2 + 16 , w 2 L * = 6 b + 8 s + 2 b t 3 b 2 s b 3 t 3 b 2 2 b 3 2 b 3 q θ + 6 b q θ + 8 4 b 4 17 b 2 + 16 ,
p 1 L * = b + 2 t + 2 w 1 L * + b s + b w 2 L * + 2 θ q + 2 4 b 2 ,
p 2 L * = b + 2 s + 2 w 2 L * + b t + b w 1 L * + b θ q + 2 4 b 2 ,
D 1 L * = b 2 t 2 w 1 L * + b s + b w 2 L * + 2 θ q + b 2 t + b 2 w 1 L * + 2 4 b 2 ,
D 2 L * = b + 2 s 2 w 2 L * + b t + b w 1 L * + b 2 w 2 L * + b θ q + 2 4 b 2 .
From Theorem 4, we can get that the price difference between the two products as p 1 L * p 2 L * = 2 b 2 6 2 b 2 + q θ t and D 1 L * D 2 L * = ( b 2 2 ) ( t + b t q θ ) 8 2 b 3 3 b 2 + 6 b 1 2 when there is no subsidy; and p 1 L * p 2 L * = 2 b 2 6 2 b 2 + q θ t s t and D 1 L * D 2 L * = ( b 2 2 ) ( t + b t q θ + s ) 8 2 b 3 3 b 2 + 6 b when there is a subsidy. Hence, we can find that the subsidy increases the two products’ prices (Theorem 4) and reduces the price difference, which means that the subsidy increases the price competition between the two products.
Additionally, we can also find that if there is no subsidy and q > t + b t θ , then D 1 > D 2 ; else D 1 < D 2 . If there is a subsidy and q > t + b t + s θ , then D 1 > D 2 ; else D 1 < D 2 . This finding shows that only when the quality difference between products 1 and 2 exceeds a certain threshold ( t + b t + s θ ) will the demand of product 1 be greater than the demand of product 2; else, product 1’s demand will be lower than product 2’s demand. Additionally, the government subsidy raises this threshold, which indicates that the subsidy, to some extent, gives product 2 an advantage in sales competition.

5.2. Competition Between Cooperative R&D and Local Sourcing

Affected by the IRA, the overseas supplier 1 and manufacturer 1 begin to collaborate, similar to the cooperation mentioned in Section 4.1. In this subsection, we analyze the impact of the cooperation between supplier 1 and manufacturer 1 on the local EV supply chain consisting of supplier 2 and manufacturer 2.
Similar to Section 5.1 and Section 4.1, the profit functions of the two supply chain members are
π S 1 N = F q 1 1 2 k 1 q 1 2 ,   π M 1 N = ( 1 p 1 N + b p 2 N + θ q + s ) p 1 N F q 1 ;
π S 2 N = ( 1 p 2 N + b p 1 N + s ) w 2 N 1 2 k 2 q 2 2 ,   π M 2 N = ( 1 p 2 N + b p 1 N + s ) ( p 2 N w 2 N ) .
Using the backward induction method, we can obtain the optimal solutions:
Theorem 5. 
The optimal battery wholesale prices and EV retail prices for the two products are
w 2 N * = b + 2 s + b s + b θ q + 2 4 2 b 2 ,
p 1 N * = b + 2 s + b s + b w 2 N * + 2 θ q + 2 4 b 2 ,
p 2 N * = b + 2 s + 2 w 2 N * + b s + b θ q + 2 4 b 2 ,
D 1 N * = b + 2 s + b s + b w 2 N * + 2 θ q + 2 4 b 2 ,
D 2 N * = b + 2 s 2 w 2 N * + b s + b 2 w 2 N * + b θ q + 2 4 b 2
From Theorem 5, we can obtain p 1 N * p 2 N * = ( 4 2 b 2 b ) q θ ( 2 + b ) ( s + 1 ) 2 ( 4 b 3 2 b 2 + 2 b ) . If the quality difference between the two products, q′, is small, then the price of product 2 is higher than that of product 1 and the subsidy increases the price difference between the two products. If there is a significant difference in quality between the two products, then the price of product 1 will be higher than that of product 2 and the subsidy will reduce the price difference between the two products. If the quality difference between the two products is in the middle position, the subsidy will make the price of product 2 higher than the price of product 1. Overall, the subsidy gives local products a competitive disadvantage in price.
We can also find that the product demand with local sourcing is always smaller than the demand with cooperation and the demand difference ( D 1 N D 2 N = ( 2 + 3 b + b 2 ) ( s + 1 ) + ( 4 b 2 + b ) q θ 2 ( 4 b 3 2 b 2 + 2 b ) ) increases as the subsidy increases. In other words, the subsidy provides a sales advantage to the cooperative strategy.

6. Parameter Sensitivity Analysis

6.1. No Competition

In this subsection, we will explore parameter sensitivity analysis without the competition mentioned in Section 4.

6.1.1. Impacts of a Tariff on Supply Chain Members’ Decisions in the Overseas Sourcing Strategy

Figure 5 visually displays how the tariff affects the battery quality (Figure 5a), the battery wholesale price, the EV price (Figure 5b), and the profits (Figure 5c) when k 1 = 5 . From Figure 5, we can see that the battery quality and wholesale price decrease under the tariff, while EV price increases. The profits of battery suppliers and EV manufacturers both decrease with the tariff. Overall, imposing a tariff is not a good policy as they lead to a decrease in product quality, an increase in EV price, and lower profits for supply chain members.

6.1.2. Impacts of a Subsidy on Supply Chain Members’ Decisions in the Domestic Sourcing Strategy and Cooperation Strategy

Figure 6 visually displays how the subsidy affects the battery quality (Figure 6a), the battery wholesale price, the EV price (Figure 6b), and the profits (Figure 6c) when k 2 = 8 , k 3 = 10 and 0 s 0.25 .
From Figure 6, we can see that government subsidies have a positive effect on the local procurement strategy and R&D cooperation strategy. As the subsidy increases, the battery quality, wholesale prices, and EV prices under the local procurement strategy are higher than those under the R&D cooperation strategy. In this case, the local battery supplier could obtain more profit than the overseas supplier. However, the EV manufacturer achieves more profit under the R&D cooperation strategy. The overseas supplier ensures battery quality and increases the manufacturer’s profit through technical support, but the manufacturer needs to be wary of non-cooperation from the supplier if the technical service fee provided by the manufacturer is very low.

6.2. Competition

In this subsection, we will analyze parameter sensitivity analysis when there is competition of the kind shown in Section 5.

6.2.1. Impacts of a Tariff on Supply Chain Members’ Decisions in Competition

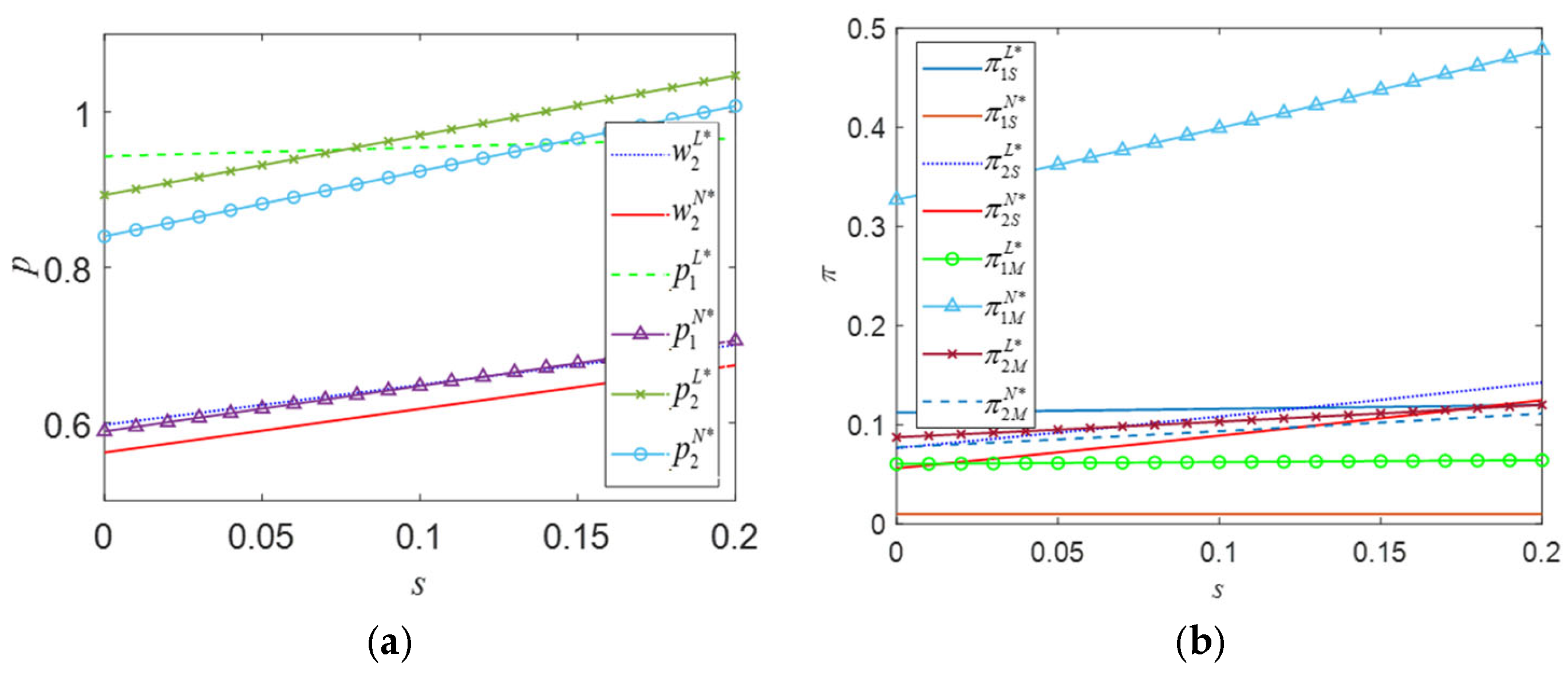
Figure 7a,b demonstrates how the tariff influences the battery wholesale prices, EV prices, and the profits of the battery supplier and EV manufacturer when b = 0.2 , q = 0.1 and 0.2 t 0.3 in Section 5.1.
In Figure 7, we find that in a competitive situation, the tariff increases the battery wholesale price and EV prices. The tariff decreases the manufacturer’s and supplier’s profit if the supplier is overseas, but increases the supply chain members’ profits when the members are all in US. In this example, the EV manufacturer tends to choose the local procurement strategy, while the battery supplier overseas (in US) will obtain more profit if the tariff is lower (bigger) than 0.23.

6.2.2. Impacts of a Subsidy on Supply Chain Members’ Decisions in Competition

Parallelly, Figure 8 demonstrates how the subsidy influences the wholesale prices, EV prices, and the profits of battery suppliers and EV manufacturers when b = 0.2 , q = 0.1 and 0.2 t 0.3 .
Similarly, from Figure 8, we can see that the battery wholesale prices and EV prices increase under a subsidy. In the first competitive situation in Section 5.1, the influence of the subsidy on the EV prices under the local procurement strategy is more obvious than that in the overseas procurement strategy. When the subsidy is large enough, the EV price under the local procurement strategy gradually exceeds that of the overseas procurement strategy. In this case, EV manufacturers tend to choose the local procurement strategy. In the second competitive situation in Section 5.2, the EV prices under both the R&D cooperation strategy and the local procurement strategy increase uniformly and the EV prices under the local procurement strategy are higher. In this case, both EV manufacturers and battery suppliers tend to choose the R&D cooperation strategy.

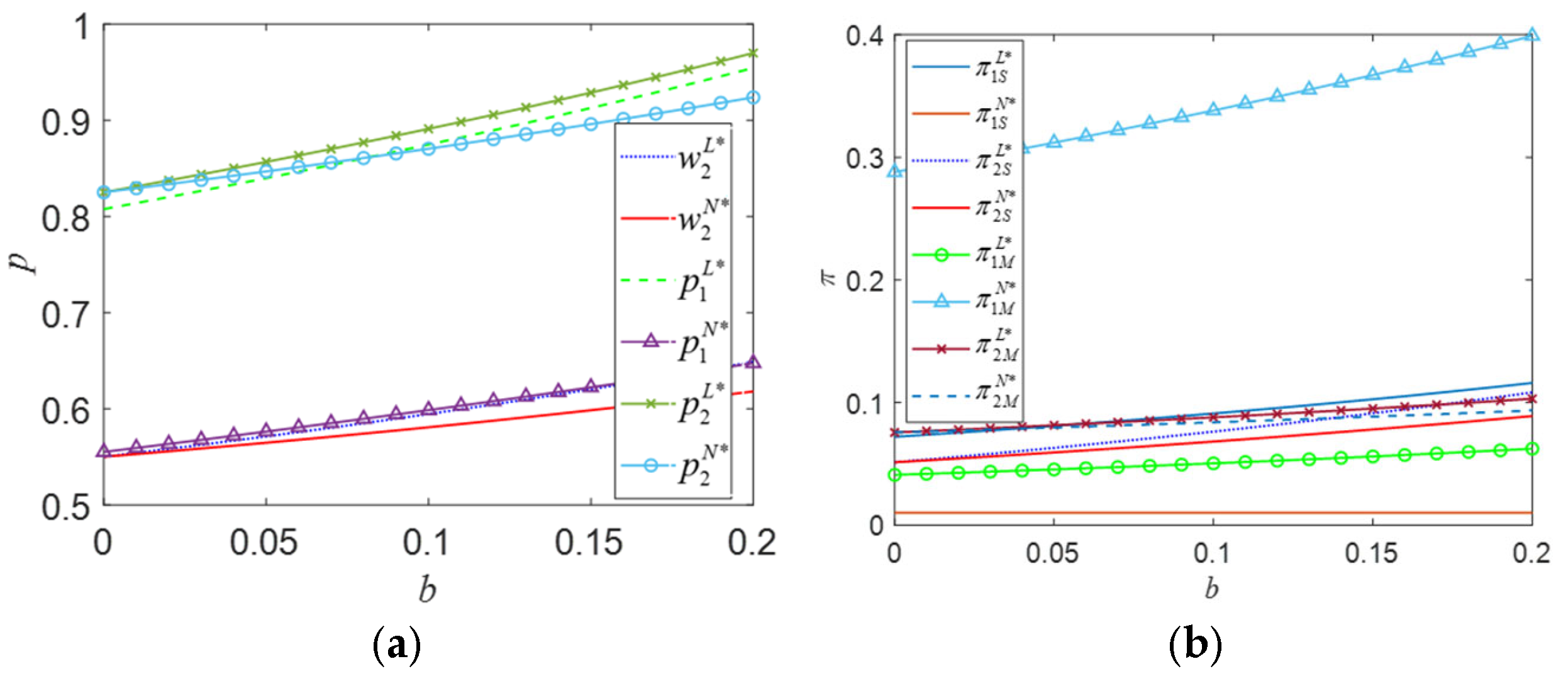
6.2.3. Impacts of Competition Level on Supply Chain Members’ Decisions in Competition

Figure 9 shows the case when there is competition in the market. Parallelly, Figure 9a,b demonstrates how the competition level influences the profits of battery suppliers and EV manufacturers when s = 0.1 , q = 0.1 and 0 b 0.2 .
From Figure 9, we find that the degree of competition is beneficial for the improvement of optimal solutions. In both competitive situations, the EV prices under the local procurement strategy are relatively high. As the competition level intensifies, the profits of both EV manufacturers and battery suppliers change. In the first competitive mode in Section 5.1, battery suppliers prioritize overseas procurement, but as the competition level intensifies, the gap between the two strategies gradually decreases. For EV manufacturers, the difference between the two strategies is relatively small, but choosing local procurement strategy can provide a slight advantage. In the second competitive scenario in Section 5.2, for battery suppliers, the local procurement strategy is preferred when the level of competition is high; otherwise, the overseas procurement strategy is preferred. For EV manufacturers, the local procurement strategy is highly influenced by the competition level and fluctuates greatly. When the competition level reaches a certain level, the EV manufacturers choose the local procurement strategy; otherwise, they tend to choose the R&D cooperation strategy.

7. Discussion

Under the premises that government subsidies stimulate local product consumption, this paper entertains three schemes: overseas sourcing, domestic sourcing, and cooperative R&D. By analyzing the equilibrium results and conducting comparative analyses, the following managerial insights can be garnered for supply chain managers to better operate their business and government authority to promote local product consumption and stimulate the R&D capabilities of EV enterprises. Below, we itemize these insights.
For battery quality, only when the subsidy is very large will the battery quality in the cooperative R&D (domestic procurement) strategy be higher than that in the overseas procurement strategy. This indicates that if the subsidy amount is relatively low, it will only increase the profits of suppliers or manufacturers and may not necessarily improve battery quality. Only when the subsidy is high can the battery quality be improved.
Compared to the domestic sourcing strategy, when subsidies are relatively small, the overseas procurement strategy will be more advantageous for suppliers and manufacturers; with the increase of subsidies, suppliers will gain more profits from the domestic procurement strategy. As subsidies continue to increase, both suppliers and manufacturers will gain more profits from the domestic procurement strategy. Compared to the overseas sourcing strategy, manufacturers prefer the collaborative R&D strategy because, on the one hand, collaborative R&D strategies can increase their own profits, and on the other hand, even in situations where government subsidies are not very high, battery quality will still be higher. However, for suppliers, if manufacturers adopt a collaborative R&D strategy, they are likely to face a decrease in profits; hence, overseas suppliers will not be willing to relocate to the U.S. unless the subsidies are particularly high.
Taxation plays a complementary role, as high tariffs can enable overseas suppliers to earn less profit, forcing them to relocate to the domestic market for cooperative R&D. Compared to suppliers, tariffs have a smaller impact on manufacturers’ profits.
Overall, although the IRA can force suppliers and manufacturers to change their production and procurement strategies, its efficiency in improving the quality of batteries produced by local suppliers is relatively low, especially in situations where government budgets are limited. If the R&D costs of domestic batteries continues to decrease with technological progress, the impact of subsidies on the quality of locally produced batteries will become greater. When the R&D costs of domestic batteries are lower than those of overseas batteries, even without subsidies, the quality of locally produced batteries will be higher than that of overseas produced batteries. At this time, manufacturers will directly choose domestic procurement instead of overseas procurement.
If there is competition between two supply chains, one consisting of local manufacturers and overseas suppliers and the other consisting of local manufacturers and local suppliers, the IRA will reduce the price difference between the two products, which undoubtedly increases the price competition between the two products. However, the IRA gives an advantage in sales competition for locally produced products. Under the influence of the IRA, if overseas suppliers relocate to the US and collaborate with domestic manufacturers for battery R&D, the IRA will put the products produced by the local supply chains at a price disadvantage and sales disadvantage, which is not conducive to the further development of the local supply chains. Therefore, the IRA is not suitable for long-term use, especially when overseas suppliers move to the United States; if the IRA continues to be used at this time, it will have a significant impact on the local supply chains.
In sum, the IRA and similar subsidy laws are a type of low efficiency policy in improving product quality and sometimes intensify product competition, putting local firms in a more disadvantageous position. If the government intends to truly improve the product quality and sales of local firms, subsidizing their technological R&D is a better approach.

8. Conclusions

This study examines how the IRA and tariffs affect the operations of supplier–manufacturer supply chains. We analytically characterize the equilibrium solutions of the overseas sourcing, domestic sourcing, and cooperation models under the tariff and subsidy policies. We then assess the performance of the IRA under four metrics: the battery quality, the wholesale price, the EV price, and the supply chain members’ profits. Finally, we consider the supply chain competition and discuss the influence of the IRA on supply chain competition.
Our theoretical analysis derives useful managerial insights for policymakers and supply chain managers. From a supply chain operations perspective, considering the IRA, our analytical result furnishes guidelines for the two members of the supply chain to attain higher profitability. From a policymaking angle, the government-provided subsidy is better to achieve better battery quality and increase the profits of supply chain members; however, the subsidy efficiency is relatively low and the disadvantages brought by the IRA to local products outweigh the benefits in a competitive environment. From supply chain members, only by controlling the cost coefficient within a certain range can they better achieve maximized profits. Our analysis reveals that whether tariffs and subsidies have a positive impact on profits must be considered comprehensively based on cost coefficients. While it is ideal for the three parties to reach a congruence region, our results furnish proper guidelines for their actions to arrive at a more desirable area.
This paper has the following limitations, which provide directions for future research. First, this research considers a two-echelon supply chain comprising a single manufacturer and a single supplier. In reality, supply chains are often more complex, involving multiple tiers and numerous stakeholders. Therefore, a future research direction could be to examine the impact of the IRA on a more complex supply chain structure, incorporating multiple manufacturers, suppliers, and potentially different types of EVs. Second, our study primarily focuses on the cost of batteries and does not delve into the cost of bare electric vehicles. Incorporating the configuration of bare cars into the analysis could provide a more holistic view of the economic implications of the IRA on the EV industry. Additionally, the findings obtained in this paper are mainly based on theoretical models and parameters without empirical validation. Future research can conduct empirical analysis and data simulation based on reality to provide more meaningful results.

Author Contributions

Conceptualization, L.Z.; Methodology, L.Z.; Software, W.S.; Formal analysis, L.Z. and W.S.; Investigation, L.Z.; Resources, W.S.; Writing—original draft, L.Z. and W.S. All authors have read and agreed to the published version of the manuscript.

Funding

This research received no external funding.

Institutional Review Board Statement

Not applicable.

Informed Consent Statement

Not applicable.

Data Availability Statement

The data presented in this study are openly available in [Committee for a Responsible Federal Budget] [https://www.crfb.org/blogs/ira-energy-provisions-could-cost-two-thirds-more-originally-estimated/] (accessed on 6 July 2023).

Conflicts of Interest

The authors declare no conflict of interest.

Appendix A

Proof of Theorem 1. 
We begin with the overseas sourcing strategy. First, we derive the manufacturer’ optimal quantity, which maximizes their expected profit. The manufacturer’s profit function is π 1 M p 1 = a 2 p 1 t + w + θ q 1 . 2 π 1 M p 1 2 = 2 < 0 , π 1 M is a concave function about p 1 , π 1 M p 1 = 0 . The manufacturer’s equilibrium price can be obtained as p 1 = w + t + q 1 θ + a 2 . Substituting price p 1 into π 1 S , we obtain π 1 S = w ( a t w + q 1 θ 2 ) k 1 q 1 2 2 (1). Calculated from Equation (1), we obtain π 1 S w = a t + θ q 1 2 w 2 , 2 π 1 S w 2 = 1 < 0 . π 1 S is a concave function about w , π 1 S w = 0 . The equilibrium wholesale price of the battery can be obtained as w = θ q 1 t + a 2 . Substituting the wholesale price w into π 1 S , we obtain π 1 S = ( a t + q 1 θ 2 ) ( a t + q 1 θ 4 ) k 1 q 1 2 2 (2). Calculated from Equation (2), we obtain π 1 S q 1 = a θ t θ + q 1 θ 2 4 k 1 q 1 , 2 π 1 S q 1 2 = θ 2 4 k 1 < 0 , which is a concave function about q 1 , π 1 S w = 0 . The range of the battery can be obtained as q 1 = θ ( a t ) θ 2 + 4 k 1 after substituting q 1 into the p 1 , w equation.
Hereby, Theorem 1 is proven.□
Proof of Corollary 1. 
The difference between q 1 * and q 2 * is q 1 * q 2 = * θ ( a t ) θ 2 + 4 k 1 ( a + s ) θ 4 k 2 θ 2 . To prove q 1 > * q 2 * , we need prove θ ( a t ) θ 2 + 4 k 1 > ( a + s ) θ 4 k 2 θ 2 , so we assume 4 a ( k 2 k 1 ) + t ( θ 2 4 k 2 ) > s . Then, we find that θ ( a t ) θ 2 + 4 k 1 ( a + s ) θ 4 k 2 θ 2 > 0 .
The difference between π 1 M and π 2 M is π 1 M π 2 M = k 1 ( a t ) 2 2 ( θ 2 + 4 k 1 ) 2 k 2 ( a + s ) 2 2 ( θ 2 + 4 k 2 ) 2 . To prove π 1 M > π 2 M , we need prove k 1 ( a t ) 2 2 ( θ 2 + 4 k 1 ) 2 > k 2 ( a + s ) 2 2 ( θ 2 + 4 k 2 ) 2 , so we assume k 1 ( a t ) ( θ 2 + 4 k 2 ) k 2 ( θ 2 + 4 k 1 ) a > s . Then, we find that k 1 ( a t ) 2 2 ( θ 2 + 4 k 1 ) 2 k 2 ( a + s ) 2 2 ( θ 2 + 4 k 2 ) 2 > 0 .
The difference between π 1 S and π 2 S is π 1 S π 2 S = k 1 ( a t ) 2 2 ( θ 2 + 4 k 1 ) k 2 ( a + s ) 2 2 ( θ 2 + 4 k 2 ) . To prove π 1 S > π 2 S , we need prove k 1 ( a t ) 2 θ 2 + 4 k 1 > k 2 ( a + s ) 2 θ 2 + 4 k 2 , so we assume k 1 ( a t ) 2 θ 2 + 4 k 1 > k 2 ( a + s ) 2 θ 2 + 4 k 2 . Then, we find that k 1 ( a t ) 2 2 ( θ 2 + 4 k 1 ) k 2 ( a + s ) 2 2 ( θ 2 + 4 k 2 ) > 0 .
Hereby, Corollary 1 is proven. □
The proofs of Theorem 2, 3, 4, and 5 are similar to Theorem 1 and the proofs of Corollary 2 and 3 are similar to Corollary 1, so we will not repeat them.

References

  1. Zhu, M.P.; Liu, Z.X.; Li, J.B.; Zhu, S.X. Electric vehicle battery capacity allocation and recycling with downstream competition. Eur. J. Oper. Res. 2020, 283, 365–379. [Google Scholar] [CrossRef]
  2. Yu, J.J.; Tang, C.S.; Li, M.K.; Shen, Z.M. Coordinating installation of electric vehicle charging stations between governments and automakers. Prod. Oper. Manag. 2022, 31, 681–696. [Google Scholar] [CrossRef]
  3. Rajaeifar, M.A.; Ghadimi, P.; Raugei, M.; Wu, Y.F.; Heidrich, O. Challenges and recent developments in supply and value chains of electric vehicle batteries: A sustainability perspective. Resour. Conserv. Recycl. 2022, 180, 106144. [Google Scholar] [CrossRef]
  4. Liu, W.; Li, X.; Liu, C.Y.; Wang, M.X.; Liu, L.T. Resilience assessment of the cobalt supply chain in China under the impact of electric vehicles and geopolitical supply risks. Resour. Policy 2023, 80, 103183. [Google Scholar] [CrossRef]
  5. Ren, H.Y.; Mu, D.; Wang, C.; Yue, X.P.; Li, Z.L.; Du, J.B.; Zhao, L.F.; Lim, M.K. Vulnerability to geopolitical disruptions of the global electric vehicle lithium-ion battery supply chain network. Comput. Ind. Eng. 2024, 188, 109919. [Google Scholar] [CrossRef]
  6. Dua, R.; Almutairi, S.; Bansal, P. Emerging energy economics and policy research priorities for enabling the electric vehicle sector. Energy Rep. 2024, 12, 1836–1847. [Google Scholar] [CrossRef]
  7. Meckling, J.; Nahm, J. The politics of technology bans: Industrial policy competition and green goals for the auto industry. Energy Policy 2019, 126, 470–479. [Google Scholar] [CrossRef]
  8. Committee for a Responsible Federal Budget. IRA Energy Provisions Could Cost Two-Thirds More Than Originally Estimated. 2023. Available online: https://www.crfb.org/blogs/ira-energy-provisions-could-cost-two-thirds-more-originally-estimated (accessed on 6 July 2023).
  9. Ehsan, B.; Panos, K.; Zhang, F.Q. Delegation vs. control in supply chain procurement under competition. Prod. Oper. Manag. 2016, 25, 1528–1541. [Google Scholar]
  10. Li, G.; Li, L.; Zhou, Y.; Guan, X. Capacity restoration in a decentralized assembly system with supply disruption risks. Int. Trans. Oper. Res. 2017, 24, 763–782. [Google Scholar] [CrossRef]
  11. Yin, Z.; Guan, X.; Xiao, L. Managing global sourcing with disruption risks in an assemsble-to-order system. Transp. Res. Part E Logist. Transp. Rev. 2017, 108, 1–17. [Google Scholar] [CrossRef]
  12. Srivastava, M.; Narayanamurthy, G.; Moser, R.; Pereira, V.; Paille, P. Supplier’s response to institutional pressure in uncertain environment: Implications for cleaner production. J. Clean. Prod. 2021, 286, 124954. [Google Scholar] [CrossRef]
  13. Zhou, Q.; Meng, C.; Sheu, J.-B.; Yuen, K.F. Remanufacturing mode and strategic decision: A game-theoretic approach. Int. J. Prod. Econ. 2023, 260, 108841. [Google Scholar] [CrossRef]
  14. Guo, J.; Wu, R.; Wang, W.; Zhu, W. How carbon trading influences manufacturing/remanufacturing? A coordination mechanism design based on outsourced remanufacturing. J. Clean. Prod. 2024, 442, 141073. [Google Scholar] [CrossRef]
  15. Sudarshini, P.; Biswas, I.; Srivastava, S.K. Impact of reverse channel competition, individual rationality, and information asymmetry on multi-channel closed-loop supply chain design. Int. J. Prod. Econ. 2023, 259, 108818. [Google Scholar]
  16. Zhao, S.L.; You, Z.Z.; Zhu, Q.H. Quality choice for product recovery considering a trade-in program and third-party remanufacturing competition. Int. J. Prod. Econ. 2021, 240, 108239. [Google Scholar] [CrossRef]
  17. Niu, B.Z.; Liu, Y.Q.; Luo, H.J.; Feng, B.B. Domestic sourcing vs. cross-border sourcing: Impact of the quality of the scrap metal and Government’s tariff policies. J. Clean. Prod. 2019, 208, 1281–1293. [Google Scholar] [CrossRef]
  18. Niu, B.Z.; Mu, Z.H.; Chen, L.K. Quality Spillover, Tariff, and Multinational Firms’ Local Sourcing Strategies. Int. Trans. Oper. Res. 2019, 26, 2508–2530. [Google Scholar] [CrossRef]
  19. Niu, B.; Mu, Z.; Chen, L.; Lee, C.K. Coordinate the economic and environmental sustainability via procurement outsourcing in a co-opetitive supply chain. Resour. Conserv. Recycl. 2019, 146, 17–27. [Google Scholar] [CrossRef]
  20. Xu, J.Y.; Hsu, V.N.; Niu, B.Z. The Impacts of Markets and Tax on a Multinational Firm’s Procurement Strategy in China. Prod. Oper. Manag. 2018, 27, 251–264. [Google Scholar] [CrossRef]
  21. Zhang, W.; Lee, H.H. Investment strategies for sourcing a new technology in the presence of a mature technology. Manag. Sci. 2022, 686, 4631–4644. [Google Scholar] [CrossRef]
  22. Tang, C.S.; Yang, S.A.; Wu, J. Sourcing from suppliers with financial constraints and performance risk. Manuf. Serv. Oper. Manag. 2018, 20, 70–84. [Google Scholar] [CrossRef]
  23. Hsu, V.N.; Xiao, W.Q.; Xu, J.Y. The impact of tax and transfer pricing on a multinational firm’s strategic decision of selling to a rival. Prod. Oper. Manag. 2019, 28, 2279–2290. [Google Scholar] [CrossRef]
  24. Shao, L.S.; Wu, X.L.; Zhang, F.Q. Sourcing competition under cost uncertainty and information asymmetry. Prod. Oper. Manag. 2020, 29, 447–461. [Google Scholar] [CrossRef]
  25. Niu, B.Z.; Xie, F.F.; Chen, L. Analysis of global brands’ green procurement strategy: Competitive local sourcing vs. overseas sourcing under delivery disruption. Omega 2014, 123, 102991. [Google Scholar] [CrossRef]
  26. Yu, X.N.; Lan, Y.F.; Zhao, R.Q. Strategic green technology innovation in a two-stage alliance: Vertical collaboration or co-development? Omega 2019, 98, 102116. [Google Scholar] [CrossRef]
  27. Liu, B.; Huang, R.Y. Cooperation Modes between Competing Manufacturers in EV Supply Chain with Innovation-Driven Common Supplier. J. Adv. Transp. 2022, 2022, 3637938. [Google Scholar] [CrossRef]
  28. Mu, D.; Ren, H.Y.; Wang, C.; Yue, X.P.; Du, J.B.; Ghadimi, P. Structural characteristics and disruption ripple effect in a meso-level electric vehicle Lithium-ion battery supply chain network. Resour. Policy 2023, 80, 103225. [Google Scholar] [CrossRef]
  29. Cheng, J.S.; Wang, J.L.; Gong, B.G. Game-theoretic analysis of price and quantity decisions for electric vehicle supply chain under subsidy reduction. Comput. Econ. 2020, 55, 1185–1208. [Google Scholar] [CrossRef]
  30. Wang, Z.; Wang, M.; Liu, W. To Introduce Competition or Not to Introduce Competition: An Analysis of Corporate Social Responsibility Investment Collaboration in a Two-Echelon Supply Chain. Transp. Res. Part E Logist. Transp. Rev. 2019, 133, 101812. [Google Scholar] [CrossRef]
  31. Zhang, Y. Incentivizing the adoption of electric vehicles in city logistics: Pricing, driving range, and usage decisions under time window policies. Int. J. Prod. Econ. 2022, 245, 108406. [Google Scholar]
  32. Li, J.; Jiao, J.; Tang, Y. An evolutionary analysis on the effect of government policies on electric vehicle diffusion in complex network. Energy Policy 2019, 129, 1–12. [Google Scholar] [CrossRef]
  33. Setiawan, A.D.; Zahari, T.N.; Purba, F.J.; Moeis, A.O.; Hidayatno, A. Investigating policies on increasing the adoption of electric vehicles in Indonesia. J. Clean. Prod. 2022, 380, 135097. [Google Scholar] [CrossRef]
  34. Bjerkan, K.Y.; Nørbech, T.E.; Nordtømme, M.E. Incentives for promoting battery electric vehicle (BEV) adoption in Norway. Transp. Res. Part D Transp. Environ. 2016, 43, 169–180. [Google Scholar] [CrossRef]
  35. Jo, K. Who drives the green shift? EV and battery policymaking and systemic marginalization of auto suppliers in South Korea. Extr. Ind. Soc. 2024, 20, 101538. [Google Scholar]
  36. Dong, C.W.; Shen, B.; Chow, P.S.; Yang, L.; Ng, C.T. Sustainability investment under cap-and-trade regulation. Ann. Oper. Res. 2016, 240, 509–531. [Google Scholar] [CrossRef]
  37. Yang, H.; Chen, W. Retailer-driven carbon emission abatement with consumer environmental awareness and carbon tax: Revenue-sharing versus cost-sharing. Omega 2018, 78, 179–191. [Google Scholar] [CrossRef]
  38. Niu, B.; Xie, F.; Mu, Z.; Ji, P. Multinational firms’ local sourcing strategies considering unreliable supply and environmental sustainability. Resour. Conserv. Recycl. 2020, 155, 104648. [Google Scholar] [CrossRef]
Figure 1. Three modes of EV supply chain.
Figure 1. Three modes of EV supply chain.
Sustainability 17 00653 g001
Figure 2. Partition of the s–t space as per Corollary 1 ( k 1 = 5 ,   k 2 = 10 ).
Figure 2. Partition of the s–t space as per Corollary 1 ( k 1 = 5 ,   k 2 = 10 ).
Sustainability 17 00653 g002
Figure 3. Partition of the s-t space as per Corollary 2 ( k 1 = 5 ,   k 3 = 7 ).
Figure 3. Partition of the s-t space as per Corollary 2 ( k 1 = 5 ,   k 3 = 7 ).
Sustainability 17 00653 g003
Figure 4. Partition of the k 3 k 2 space as per Corollary 3 ( s = 5 , t = 1 ).
Figure 4. Partition of the k 3 k 2 space as per Corollary 3 ( s = 5 , t = 1 ).
Sustainability 17 00653 g004
Figure 5. (ac) Impacts of tariff on supply chain members’ decisions in overseas sourcing strategy.
Figure 5. (ac) Impacts of tariff on supply chain members’ decisions in overseas sourcing strategy.
Sustainability 17 00653 g005
Figure 6. (ac) Impacts of subsidy on supply chain members’ decisions in domestic sourcing strategy and cooperation strategy.
Figure 6. (ac) Impacts of subsidy on supply chain members’ decisions in domestic sourcing strategy and cooperation strategy.
Sustainability 17 00653 g006
Figure 7. (a,b) Impacts of tariff on supply chain members’ decisions in competition.
Figure 7. (a,b) Impacts of tariff on supply chain members’ decisions in competition.
Sustainability 17 00653 g007
Figure 8. (a,b) Impacts of subsidy on supply chain members’ decisions in competition.
Figure 8. (a,b) Impacts of subsidy on supply chain members’ decisions in competition.
Sustainability 17 00653 g008
Figure 9. (a,b) Impacts of competition level on supply chain members’ decisions in competition.
Figure 9. (a,b) Impacts of competition level on supply chain members’ decisions in competition.
Sustainability 17 00653 g009
Table 1. The requirements that are eligible for a total tax credit of USD 7500.
Table 1. The requirements that are eligible for a total tax credit of USD 7500.
YearCritical Minerals Minimum Percent Value RequirementYearBattery Components Minimum Percent Value Requirement
202340%202350%
202450%2024 and 202560%
202560%202670%
202670%202780%
2027 and later80%202890%
2029 and later100%
Table 2. Model parameters and variables.
Table 2. Model parameters and variables.
ParametersDescription
aEV potential demand
θSensitivity of market demand towards battery quality
tTariff
sGovernment subsidy
kBattery R&D cost coefficient
ciPer-unit battery production cost
ii = 1, 2, 3
Decision VariablesDescription
piEV price
qiBattery quality
wBattery wholesale price
FService fee
π s Profits of overseas battery supplier
π M Profits of EV manufacturer
Disclaimer/Publisher’s Note: The statements, opinions and data contained in all publications are solely those of the individual author(s) and contributor(s) and not of MDPI and/or the editor(s). MDPI and/or the editor(s) disclaim responsibility for any injury to people or property resulting from any ideas, methods, instructions or products referred to in the content.

Share and Cite

MDPI and ACS Style

Zhang, L.; Shi, W. The Impacts of the US Inflation Reduction Act on EV Supply Chains. Sustainability 2025, 17, 653. https://doi.org/10.3390/su17020653

AMA Style

Zhang L, Shi W. The Impacts of the US Inflation Reduction Act on EV Supply Chains. Sustainability. 2025; 17(2):653. https://doi.org/10.3390/su17020653

Chicago/Turabian Style

Zhang, Linghong, and Wence Shi. 2025. "The Impacts of the US Inflation Reduction Act on EV Supply Chains" Sustainability 17, no. 2: 653. https://doi.org/10.3390/su17020653

APA Style

Zhang, L., & Shi, W. (2025). The Impacts of the US Inflation Reduction Act on EV Supply Chains. Sustainability, 17(2), 653. https://doi.org/10.3390/su17020653

Note that from the first issue of 2016, this journal uses article numbers instead of page numbers. See further details here.

Article Metrics

Back to TopTop