Abstract
Traffic accidents at urban intersections may lead to severe traffic congestion, necessitating effective detection and timely intervention. To achieve real-time traffic accident monitoring at intersections more effectively, this paper proposes an urban road intersection accident detection method based on Generative Adversarial Networks (GANs), Extreme Gradient Boosting (XGBoost), and the SHAP interpretability framework. Data extraction and processing methods are described, and a brief analysis of accident impact features is provided. To address the issue of data imbalance, GAN is used to generate synthetic accident samples. The XGBoost model is then trained on the balanced dataset, and its accident detection performance is validated. In addition, SHAP is employed to interpret the results and analyze the importance of individual features. The results indicate that the accident samples generated by GAN not only retain the characteristics of real data but also enhance sample diversity, improving the AUC value of the XGBoost model by 7.1% to reach 0.844. Compared with the benchmark models mentioned in the study, the AUC value shows an average improvement of 7%. Additionally, the SHAP model confirms that the time–vehicle ratio and average speed are key factors influencing the model’s detection results. These findings provide a reliable method for urban road intersection accident detection, and accurate accident location detection can assist urban planners in formulating comprehensive emergency management strategies for intersections, ensuring the sustainable operation of traffic flow.
1. Introduction
The occurrence of traffic accidents is a major issue faced by countries worldwide. According to a 2023 report by the World Health Organization (WHO), the global number of traffic accidents remains persistently high due to the rapid increase in the number of motor vehicles in most countries. Road traffic accidents have become one of the leading causes of death and serious injuries, with over 1.19 million fatalities annually [1]. Furthermore, traffic accidents have a negative impact on traffic flow, particularly those occurring at intersections [2]. Such accidents account for more than half of the total number of traffic accidents in urban road networks and can lead to severe congestion. If these accidents are not detected accurately and promptly, they are likely to exacerbate congestion, leading to further economic losses and increased air pollution [3], impeding the sustainable operation of traffic flow.
Research in the field of transportation has increasingly leveraged new data sources [4,5] and novel computational techniques [6,7]. Many researchers have utilized machine learning techniques to develop accident models [8,9], which have provided us with a more detailed understanding of accident characteristics. Moreover, these data sources and technologies play a crucial role in traffic accident prediction and detection [10,11].
Existing studies on traffic accident detection can be categorized into four types based on the data used: video-based traffic accident detection methods, social networks data-based methods, vehicle trajectory data-based methods, and traditional macro traffic flow data-based methods.
Firstly, visual data such as photos and videos have increasingly been utilized in traffic accident detection. Several studies have utilized these data sources to detect traffic accidents [12,13]. Traffic accident detection methods based on video data primarily utilize the video footage captured by roadside cameras to obtain vehicle positions. These positions are then analyzed to detect traffic accidents. However, vision-based accident detection requires a large amount of information provided by photos and videos, and its coverage is limited. In addition, the accuracy of vision-based accident detection models is significantly affected by weather conditions and picture/frame resolution [5,14]. The continuous advancements in smartphones have enabled them to acquire data from an increasing number of sources. Secondly, the data obtained from smartphones in social networks are a new source of data that can be used to detect accidents. As an example, Ali used ontology, latent Dirichlet allocation (OLDA), and bidirectional long short-term memory (Bi-LSTM) to detect traffic accidents by social network data [15]. In fact, due to the often limited availability of social network data, they generally cannot serve as the primary source for traffic accident detection.
Thirdly, with the widespread use of GPS in mobile phones and in-vehicle systems, it has become increasingly easier to collect large volumes of vehicle trajectory data. As a result, research utilizing trajectory data for traffic accident detection has steadily increased. Researchers typically set thresholds for trajectory-related variables such as vehicle speed, acceleration, angular velocity, or jerk and classify an event as an accident when a variable exceeds its threshold [16]. Traffic accident detection using trajectory data offers high real-time performance; however, this method requires highly accurate data [6]. In complex traffic scenarios, such as intersections, using trajectory data often leads to a high false-positive rate. Finally, traditional macro-level traffic data are a rich and relatively accessible data source for traffic accident detection [17]. These data are convenient to collect, cost-effective, and highly stable in outdoor environments, which makes them widely used for accident detection. In early studies, researchers employed the California algorithm for traffic accident detection using traditional macro-level traffic data [18]. This algorithm sets thresholds based on traffic flow variation characteristics to identify accidents. Over time, machine learning methods, with their excellent learning and reasoning capabilities, have gradually become the mainstream approach in traffic accident detection research. For example, some researchers have applied logistic regression to analyze traffic data and predict the likelihood of traffic accidents [19]. Additionally, many models, including decision trees, support vector machines, k-nearest neighbor algorithms [20], recurrent neural networks (RNNs) [21], graph neural networks (GNNs) [22], and deep learning models [23], have been employed for accident detection. Thus, traditional macro-level traffic flow data have provided strong support for research in traffic accident detection.
Due to the complexity of intersection traffic flow, research on intersection accident detection using traditional macro-level traffic flow data remains relatively limited. Existing studies on intersection accident detection mainly focus on accidents occurring at intersection approach lanes [24], while research on detecting accidents in the central area of the intersection (where conflicting flows intersect) and at departure lanes is notably insufficient. Furthermore, there is a significant imbalance between the number of non-accident samples and accident samples that are collected, which represents a challenge for training accident detection models [25], potentially affecting the model’s detection performance. Finally, in accident detection models based on traditional traffic flow data, the variables used often exhibit inadequate adaptability when detecting accidents at intersections.
The primary objective of this study is to develop an accident detection model that can effectively identify accidents that have occurred in the intersection approach lanes, departure lanes, and the central area of the intersection. First, the study analyzes the impact characteristics of intersection accidents on traffic flow to guide the selection of model variables. Next, Generative Adversarial Networks (GANs) are employed to address the imbalance between accident and non-accident samples [26]. Subsequently, new variables are proposed to enhance the transferability of the intersection accident detection model, and the performance of the XGBoost model in real-time traffic accident detection is evaluated. Finally, to improve the interpretability of the XGBoost model results, SHAP analysis is introduced to identify the key factors influencing accident occurrence, further validating the effectiveness of the proposed variables. The knowledge derived from this study can provide support for urban planners in developing more refined intersection emergency management strategies [27], ensuring the sustainable operation of traffic flow.
The structure of this paper is organized as follows. Section 2 describes the data collection methods and accident impact features. Section 3 provides a detailed description of the accident detection model’s recognition process and introduces the Generative Adversarial Network (GAN), XGBoost, and SHAP methods. Section 4 presents the data sources and processing methods and validates the model using these data. Additionally, the quality of the new samples generated by GAN is evaluated, the performance of the accident detection model is analyzed and discussed, and a comprehensive feature interpretation is provided using SHAP. Finally, Section 5 summarizes the paper’s content and discusses future research directions.
2. Analysis of Intersection Accident Impact Characteristics
2.1. Accident Data Collection
In this study, an intersection with frequent accidents was selected from the Accident Statistics database. Three traffic accidents were chosen based on their location: one at the approach lane (Accident 1), one at the departure lane (Accident 2), and one in the central area of the intersection (Accident 3). The impact of these accidents on traffic volume and average speed at the intersection was analyzed. Figure 1 illustrates the locations of the selected traffic accidents.
Figure 1.
The geographical location and geometry of the analyzed intersection (the red dot in the figure represents the intersection).
The data used in this study were obtained from urban electronic surveillance systems. Due to their extensive coverage and the vast amount of information they collect, electronic surveillance systems have been widely deployed at urban intersections. Their primary function is to capture traffic violations while also recording information such as vehicle license plates, passage times, speeds, travel directions, and lane numbers. These data, along with video footage, are stored in a database. Table 1 shows the data format collected by the electronic surveillance system. The style and coverage area of the electronic surveillance system are depicted in Figure 2.
Table 1.
The E-Police data example (*** represents the last three characters of the car number).
Figure 2.
The appearance and collection range of E-Police: (a) Appearance; (b) the collection range of E-Police.
To facilitate accident analysis, the data in Table 1 were processed. The number of vehicles passing through each lane within a 5 min interval was counted as traffic volume, and the average speed of the vehicles passing through each lane within the same interval was calculated as the average speed for that period. Table 2 presents the processed traffic data for the three southbound approach lanes.
Table 2.
Traffic flow data for this time period.
2.2. Accident Impact Features
Based on the data collection and processing methods described in Section 2.1, the data from three traffic accidents at the intersection, along with the corresponding pre- and post-accident periods, were collected. The traffic volume, average speed, and time–vehicle ratio (As mentioned in Section 4.2) before and after the accidents were analyzed. The accident impact characteristics for the three intersection accident cases are shown in Figure 3.

Figure 3.
Analysis of accident impact characteristics. (a) The traffic volume of Accident 1; (b) the vehicle mean speed of Accident 1; (c) the time–vehicle ratio of Accident 1; (d) the traffic volume of Accident 2; (e) the vehicle mean speed of Accident 2; (f) the time–vehicle ratio of Accident 2; (g) the traffic volume of Accident 3; (h) the vehicle mean speed of Accident 3; and (i) the time–vehicle ratio of Accident 3.
Figure 3a–c illustrate the traffic flow characteristics present during Accident 1. During the accident, the traffic volume and average speed on the blocked lanes were both reduced to zero and the time–vehicle ratio increased to 10. However, on the other unblocked lanes, traffic volume increased by approximately 50%, while the average speed showed little variation, and the time–vehicle ratio was reduced to two.
Figure 3d–f depict the traffic flow changes occurring during Accident 2. The traffic volume on the blocked lane decreased by about 44%; the average speed decreased by approximately 56%; and the time–vehicle ratio increased to nine. On the other unblocked lanes, traffic volume increased by around 28%, while the average speed decreased by about 31%.
Figure 3g–i show the traffic flow changes during Accident 3. On the southbound blocked lane, traffic volume decreased by 50%, the average speed decreased by 48%, and the time–vehicle ratio also significantly increased. On the unblocked southbound lanes, traffic volume decreased by approximately 18%, and the average speed decreased by about 26%. On the eastbound blocked lane, traffic volume decreased by approximately 47%, and the average speed decreased by about 54%. The traffic volume on the unblocked eastbound lanes remained largely unchanged, but the average speed decreased by about 36%.
In summary, after an accident at the intersection, traffic volume and average speed on the directly blocked lanes were significantly reduced, while traffic volume on other lanes in the same direction as the blocked lanes showed little change or even an increase. Additionally, the average speed on the affected lanes decreased notably. Therefore, these significantly altered variables can be used to construct a multivariate sample set for training the accident detection model.
3. Methods
3.1. Intersection Accident Detection Process
We developed a hybrid model using multiple variables from traditional traffic flow data as inputs to identify accidents at different locations within an intersection. The core function of the hybrid model is to classify the input traditional traffic flow data using XGBoost, thereby identifying the affected traffic directions and further inferring the specific location of the accident within the intersection. The model’s accuracy is evaluated by detecting the sample set provided in this study, thereby verifying its detection performance. The specific process of applying the model for intersection accident detection is shown in Figure 4.
Figure 4.
The intersection accident detection process.
The algorithm shown in Figure 4 was implemented as follows:
Step 1: Extract the vehicle passage data stored in the Network Video Recorder (NVR) device.
Step 2: Record the traffic flow data for each direction every 5 min, constructing a sample set that includes the directional variables.
Step 3: Use the GAN algorithm to generate virtual accident samples in order to balance the dataset.
Step 4: Integrate the newly generated virtual accident samples into the dataset and train the XGBoost algorithm.
Step 5: Receive a set of 12 samples every 5 min.
Step 6: Utilize the trained GAN-XGBoost model to detect anomalous samples within a given set.
Step 7: Output the flow direction variables of the samples identified as anomalous in the current set.
Step 8: Based on the intersection points of the anomalous flow directions output, infer the specific location of the accident within the intersection.
For the detection of intersection accidents, the following two tasks must be carried out: (a) obtain various variable data calculated based on traffic volume and speed; (b) identify the intersection accident and assume that any anomalies in the traffic flow are a result of the accident at the intersection.
3.2. Accident Sample Generation Based on GAN Algorithm
The severe imbalance between accident and non-accident samples may affect the performance of the detection model. Common methods for addressing the sample imbalance issue include oversampling, undersampling, and weighted loss functions. Oversampling and undersampling balance the dataset by increasing or decreasing the sample size, but they are prone to overfitting or information loss. In this study, we chose Generative Adversarial Networks (GANs) as the method to balance the samples, as they can capture the complex distribution characteristics of the samples rather than relying solely on simple statistical methods to generate new samples, thereby effectively balancing the dataset [28]. This approach successfully addresses the sample imbalance issue, demonstrating its unique advantages.
GAN consists of two components: the generator and the discriminator . The generator continuously learns the probability distribution of real data and transforms random noise vectors into virtual samples. The discriminator is a binary classifier responsible for outputting the probability that the data are a real sample, distinguishing virtual data and real data from the training set [29]. The objective is to maximize the probability that the discriminator misclassifies the virtual samples generated by the generator in real samples, i.e., to minimize the following objective function:
In this context, represents the random noise vector, denotes the real samples, represents the virtual samples generated by the generator, and and represent the distributions of real and virtual samples, respectively. During the training process, the parameters of and are updated using the following two equations:
In this context, and represent the parameters of the discriminator, is the learning rate during the parameter update of the discriminator; and are the parameters of the generator, and is the learning rate during the parameter update of the generator. When training the discriminator, , both and are input into the discriminator, which classifies them, calculates the error, and updates the parameters. When training the generator , virtual samples are synthesized from the random noise vector , and the discriminator classifies and , calculates the error, and updates the generator’s training parameters via backpropagation.
The structure of the GAN is shown in Figure 5. Both the generator and discriminator models can be any type of multilayer perceptron. In this study, two fully connected neural networks were used as the generator and discriminator.
Figure 5.
Generative Adversarial Network (GAN) structure.
3.3. Training and Detection Based on XGBoost Model
Machine learning methods such as decision trees, support vector machines (SVMs), and random forests are prone to overfitting and exhibit poor adaptability when handling imbalanced datasets. In contrast, deep learning methods require substantial data and computational resources. Compared to these approaches, XGBoost, through ensemble learning, performs well in handling imbalanced samples and effectively mitigates overfitting with its regularization mechanism, ensuring model stability in complex data environments [30].
XGBoost essentially constructs multiple weak learners, where each learner fits the residual errors of the previous learner as the learning objective. All weak learners are then combined to achieve a better classification performance than a single model, ultimately forming a strong classifier [31]. XGBoost optimizes various aspects, including the objective function, optimization methods, handling of missing values, and overfitting prevention. The prediction expression is given as follows:
In the equation, represents the prediction result of sample iii after the t-th iteration; represents the prediction result of the -th tree; and represents the prediction result of the -th tree model. The objective function of the model consists of a loss function and a regularization term.
In the equation, represents the objective function of the model; represents the corresponding loss function; and represents the regularization term.
This study will employ a grid search combined with cross-validation to fine-tune the key parameters of the XGBoost model, aiming to enhance model performance and prevent overfitting. In addition, when using the database provided in Section 4.3 of this study to train the model, the optimal hyper-parameter value of XGBoost adjusted by the above method has the following characteristics: learning rate: 0.001; max depth: 5; subsample: 0.7; lambda: 1.6; alpha: 0.2; gamma: 0.1; colsample bytree: 0.5; and min_child_weight: 5.
3.4. Model Interpretation Based on SHAP
Several methods have been proposed in existing research to enhance model interpretability, including Local Interpretable Model-Agnostic Explanations (LIMEs), Partial Dependence Plots (PDPs), and the built-in feature importance analysis module in XGBoost. However, LIME is relatively weak in understanding overall feature importance, PDP may overlook nonlinear relationships between features, and XGBoost’s built-in feature importance analysis only shows each feature’s contribution to the overall model performance.
SHAP, based on Shapley values, offers significant advantages in providing both global and local explanations, accurately and reliably revealing the specific contributions of features to model predictions [32,33]. Therefore, SHAP has become one of the most widely adopted interpretability methods.
SHAP, as a commonly used interpretability framework in machine learning, addresses the limitation of XGBoost in reflecting the impact of individual features on prediction outcomes. The SHAP model significantly aids in understanding the mechanism of influence of inputs on outputs. SHAP values quantify the contribution of each input feature to the prediction result and intuitively illustrate the influence of the mechanism of each feature on the model’s output [34]. The model can be expressed as follows:
In the equation, represents the interpretive model; indicates the presence (1) or absence (0) of the k-th feature for sample x; M is the number of features; denotes the average prediction value of the model on the dataset; and represents the contribution of the k-th feature to the prediction of sample x, which is the SHAP value for that feature.
3.5. Model Evaluation Metrics
This study employs three metrics: the Detection Rate (DR), the False Alarm Rate (FAR), and the Area Under the Curve (AUC) value. These are commonly used evaluation metrics in classification problems.
- Detection Rate (DR): DR represents the proportion of correctly detected traffic accidents, as shown in Equation (7).
- 2.
- False Alarm Rate (FAR): The developed model may suffer from overfitting [35]. Therefore, to provide a more detailed evaluation of model performance, FAR is introduced to assess the model’s precision, as shown in Equation (8). A lower FAR indicates a reduced likelihood of classification errors.
- 3.
- AUC Value: The Area Under the ROC Curve (AUC) represents the area under the Receiver Operating Characteristic (ROC) curve and is frequently used to measure the performance of classification models. The AUC value ranges from [0, 1]. Generally, an AUC value greater than or equal to 0.5 indicates acceptable performance, while a value less than 0.5 suggests poor model performance.
4. Data
4.1. Data Source
This study aims to establish a relationship model between traffic flow and intersection accidents. To achieve this, we extracted accident data from an accident statistics database for accidents occurring at urban road intersections, including approach-lane accidents, departure-lane accidents, and central area accidents. The accident statistics database is from Zibo City, China, which is a typical urban area with a grid-like road network structure. Therefore, the detection model proposed in this study may be more applicable to cities in China that have similar driving habits. We selected intersection accident records over a 60-day period and identified corresponding electronic police surveillance devices based on the time and location of each accident to collect traffic flow data. To ensure data quality, samples with missing values were removed. Ultimately, 105 valid traffic accident cases from 48 intersections were selected. All cases occurred under normal weather conditions with clear visibility. Table 3 presents the collected accident cases, and Figure 6 shows the locations of these intersections where the accidents occurred.
Table 3.
Description of accidents.
Figure 6.
Distribution of intersection accident collection points (The red dots in the figure represent the intersection. The larger the red dot, the higher the frequency of accidents.).
Selecting non-accident samples corresponding to accident samples is crucial. To eliminate the influence of other factors, this study adopted the commonly used case–control method [36]. Under identical weather conditions, we collected data at the same locations and times as the accidents to serve as non-accident cases. Specifically, three matched non-accident cases were collected for each accident case. In total, 315 non-accident cases were obtained, constituting the non-accident dataset. Since each case includes 12 traffic directions (with each set consisting of samples from 12 different directions), this study ultimately collected 183 accident samples and 4857 non-accident samples.
4.2. Data Processing
After collecting accident and non-accident cases, vehicle passage information was first gathered using electronic police surveillance devices. The data were then processed to obtain the traffic volume and average speed for each lane at 5 min intervals [25]. The data were then classified by traffic direction, as shown in Table 2 in Section 2.1. Subsequently, processing was conducted according to the spatiotemporal characteristics of intersection accidents. Figure 7 is the data flow diagram [37].
Figure 7.
Data flow diagram.
In Figure 7, NVR represents the location where data collected by the electronic police system (e.g., traffic cameras) are stored. P1 refers to the raw data; T1 indicates the process of aggregating the raw data into 5 min intervals; P2 represents the traffic flow data after aggregation; T2 involves the calculation of traffic flow-related variables; P3 denotes the process of inputting the data into the database; and P4 refers to the integration of data from the database into the model.
- 1.
- Traffic Direction (LDT)
A classic four-way intersection has 12 traffic directions. By identifying abnormal traffic directions, the accident location can be inferred. Therefore, when constructing the accident detection model, the 12 traffic directions of the intersection were encoded and included as one of the variables in the database. Specifically, left-turn, straight, and right-turn traffic flows at approach 1 were encoded as 1, 2, and 3, respectively. For approach 2, the left-turn, straight, and right-turn flows were encoded as 4, 5, and 6. For approach 3, these flows were encoded as 7, 8, and 9, and for approach 4, they were encoded as 10, 11, and 12.
- 2.
- Traffic Volume
Considering the spatiotemporal characteristics of how accidents affect traffic volume at intersections, the average traffic volume for each direction within a 5 min interval was calculated and compared with the previous interval’s volume. Additionally, the traffic volume for each lane in the same direction was calculated to determine the standard deviation of traffic volume for that direction.
- 3.
- Average Speed
To capture the spatiotemporal characteristics of how accidents affect average speed at intersections, the average speed for each direction within a 5 min interval was calculated and compared with the previous interval’s speed. The average speed for each lane in the same direction was also calculated to determine the standard deviation of the average speed for that direction.
- 4.
- Time–Vehicle Ratio
Unlike the data collected on highways, traffic volume data detected by electronic police surveillance devices at intersections are influenced by signal timing schemes and the number of lanes. As a result, the collected traffic volume data may not effectively train traffic accident detection models. To improve the model’s generalization and transferability at intersections, this study proposes a new variable, T (time–vehicle ratio), to eliminate the influence of signal timing schemes on traffic volume data, thereby enhancing the model’s generalization capability. The calculation is shown in Equation (9).
In the equation, represents the effective green time for phase i; denotes the signal cycle time of the intersection; and is the number of vehicles passing through the j-th lane in direction i within a 5 min interval. If it equals zero, is set to 10. Furthermore, after obtaining the time–vehicle ratio, the average time–vehicle ratio and the standard deviation of the time–vehicle ratio for the same direction are calculated.
Specifically, when there is only one lane in a particular traffic direction, the values of the STD_Q, STD_V, and STD_T in the sample are set to −1.
4.3. Database
Referring to previous studies on traffic accident detection methods [25] and the analysis of intersection accident impact characteristics in Section 2.2, this study involved the selection of variables such as traffic volume, average speed, and the time–vehicle ratio for the accident detection model. Ultimately, a total of 11 variables were chosen. Table 4 provides the explanations and value ranges for these variables. Based on the constructed database, the proposed accident detection model was employed for detection.
Table 4.
Description of explanatory features.
5. Results and Discussion
5.1. Comparison Between Synthetic Data and Real Data
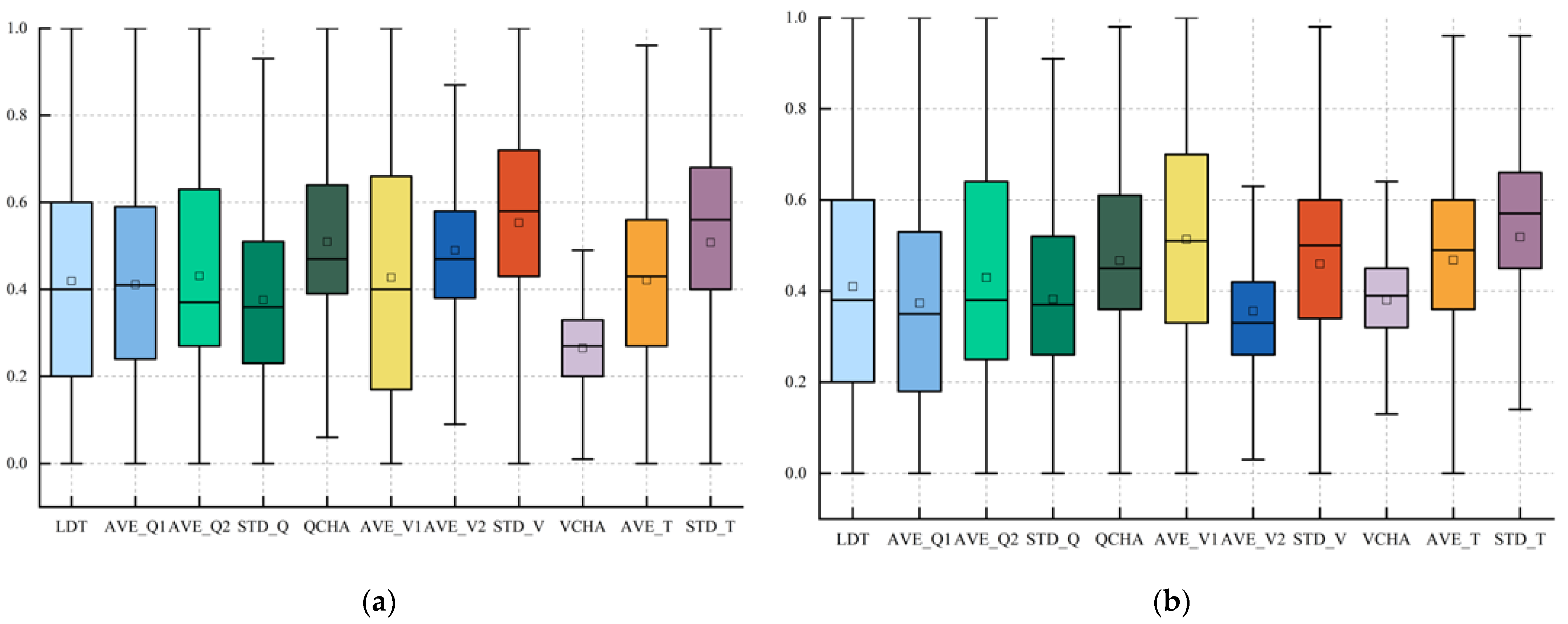
Using the GAN algorithm, each real accident sample was regenerated six times, resulting in a total of 1098 new accident samples. To evaluate the performance of the GAN-generated data, the real traffic accident samples were compared with the newly generated accident samples. Figure 8a,b, respectively, present the descriptive statistics of the real and generated accident samples, including the minimum, maximum, mean, median, first quartile, and third quartile (with outliers removed). As shown in Figure 8, the generated traffic accident sample data exhibited a high degree of similarity to the real sample data, although some differences were present. This indicates that the GAN algorithm effectively generates new traffic accident samples, retaining the characteristics of real accident data while enhancing sample diversity. This improvement contributes to the enhanced accuracy of the accident detection model [13].
Figure 8.
Descriptive statistics of accident samples. (a) Descriptive statistics of real traffic accident samples; (b) descriptive statistics of newly generated traffic accident samples.
To prevent changes in the correlation between variables caused by the new data generated by the GAN algorithm, we calculated the difference between the correlation matrices of the real traffic accident samples and the GAN-generated traffic accident samples. This approach helps determine whether there are significant changes in variable correlations. When the difference approaches zero, it indicates that the correlations between variables remain largely unchanged; conversely, a significant difference suggests notable changes. As shown in Figure 9, the maximum difference in the variable correlation is 0.144, indicating minimal differences in correlations between the real and generated traffic accident datasets. This demonstrates that the GAN algorithm successfully preserves the correlation information between variables when generating new traffic accident samples [28].
Figure 9.
Differences in the correlations of variables between the real dataset and the generated dataset.
5.2. Model Performance Evaluation
In the proposed GAN-XGBoost hybrid model, the XGBoost model serves as the core component of the traffic accident detection framework. To evaluate the performance of the XGBoost model, we trained and validated the existing data using commonly used models such as support vector machine (SVM) and random forest (RF), comparing the performance across multiple models. Additionally, commonly used data balancing methods, such as the SMOTE technique, were employed as benchmark models to verify the effectiveness of the GAN approach.
In this study, different benchmark models were optimized using grid search combined with cross-validation to determine their optimal parameter values.
The detection performance of the proposed model, using both balanced and unbalanced sample datasets, is shown in Table 5. The results indicate that, without sample balancing, the proposed XGBoost model can outperform other benchmark models, achieving an AUC value of 0.773. When balanced samples are used, the detection performance of the XGBoost model improves further, with the AUC value reaching 0.844. This demonstrates that balancing the data with the GAN algorithm significantly enhances the performance of the accident detection model.
Table 5.
Comparison of model performance.
Moreover, not only did the XGBoost model show improved detection performance with balanced data, but the performance of other baseline models also improved noticeably. This further validates the effectiveness of the GAN algorithm.
Furthermore, since the number of accident samples before and after data balancing was smaller than that of non-accident samples in this study, the detection performance of the XGBoost model slightly outperformed that of the RF model, as also reflected in the literature [8]. Therefore, the XGBoost model demonstrated better performance in handling imbalanced datasets.
To evaluate the performance of the GAN algorithm in generating new accident samples, this study provides three common data balancing benchmark methods: SMOTE, Random Under Sampling, and NearMiss. The samples were balanced using these three benchmark methods, and then accident detection was performed using models such as XGBoost, SVM, and RF. The performance of each model was then compared. Table 6 presents the performance of the detection models using different balancing methods. Compared to the proposed benchmark methods, each detection model combined with the GAN algorithm demonstrates better detection performance. Specifically, the AUC value for XGBoost reached 0.844, which is an average improvement of 0.035 over the benchmark methods.
Table 6.
Model performance under different balancing sample methods.
5.3. The SHAP-Based Analysis of GAN-XGBoost Prediction Results
The prediction results of the GAN-XGBoost model were analyzed using SHAP, and the results are shown in Figure 10 and Figure 11.
Figure 10.
Feature summary plot of the GAN-XGBoost model.

Figure 11.
The impact of different variables on the model output. (a) The SHAP value of AVE_V2; (b) the SHAP value of AVE-T; (c) the SHAP value of VCHA; and (d) the SHAP value of STD_T.
Figure 10 presents the feature summary plot of the traffic accident detection model based on GAN-XGBoost. The plot ranks each feature according to its importance in detecting traffic accidents, showing the influence of different features on the intersection accident detection model. The y-axis represents the feature values, with colors indicating the magnitude of the feature values (the closer the color is to red, the larger the value; the closer the color is to blue, the smaller the value), and the x-axis represents the SHAP values.
As shown in Figure 10, STD_T, AVE_V2, AVE_T, and VCHA are positioned at the top of the feature summary plot, indicating that the standard deviation of the time–vehicle ratio, average speed, average time–vehicle ratio, and average speed difference are the four most important factors influencing the intersection accident detection model. The impact of AVE_Q1 and AVE_Q2 is noticeably smaller than that of STD_T and AVE_T, further validating the effectiveness of the time–vehicle ratio variable proposed in this study. Additionally, STD_T, AVE_T, and VCHA are located on the right side of the plot, with colors closer to red, indicating that as the average time–vehicle ratio, time–vehicle ratio standard deviation, and average speed difference increase, the likelihood of detecting a sample as a traffic accident increases. This is because an increase in the standard deviation of the time–vehicle ratio at an intersection typically indicates an imbalance in traffic flow, which is often caused by a traffic accident [24]. On the other hand, VCHA is positioned near the right side of the plot with a red color, suggesting that the larger the average speed difference, the more likely the detected sample is to represent a traffic accident. This is because a significant decrease in average speed at the intersection typically signifies traffic congestion caused by traffic accidents [25].
To further investigate the impact of different variables on accident detection results, this study employed the SHAP model for the individual analysis of each variable. When the SHAP value is positive, the likelihood of the detected sample being a traffic accident increases. Figure 11a–d present the analysis results for four variables in the traffic accident detection model: vehicle average speed, the average time–vehicle ratio, the traffic volume standard deviation, and time–vehicle ratio standard deviation.
As shown in Figure 11a, when the average speed is less than 4.5 m/s, the SHAP values are mostly positive; however, when the average speed exceeds 4.5 m/s, the SHAP values gradually decrease and approach −3, indicating the decreasing likelihood that the detected sample corresponds to a traffic accident. Figure 11b demonstrates that when the average time–vehicle ratio is less than 4.2 s, the SHAP values are mostly negative; when the average time–vehicle ratio exceeds 4.2 s, the SHAP values are predominantly positive. Therefore, the greater the average time–vehicle ratio, the higher the likelihood of the sample being a traffic accident. As shown in Figure 11c, when the average speed difference exceeds 1.5 m/s, the SHAP values are mostly positive, suggesting a higher likelihood of the sample being detected as a traffic accident. Conversely, when the average speed difference is less than 1 m/s, more SHAP values are negative, indicating an increased likelihood that the sample is classified as non-accident data. This shows that traffic accidents lead to reduced speed [25]. Figure 11d shows that when the standard deviation of the time–vehicle ratio exceeds 1.0, the SHAP values are predominantly positive and gradually approach two, indicating a higher likelihood that the detected sample corresponds to a traffic accident.
Although other features may also influence the model’s detection results, this study focused on analyzing the top four features that have the most significant impact on the intersection traffic accident detection model. By calculating SHAP values, we effectively addressed the issue of limited interpretability in the XGBoost model.
6. Conclusions
This study proposes a hybrid model for traffic accident detection at urban road intersections by integrating Generative Adversarial Networks (GANs), Extreme Gradient Boosting (XGBoost), and the SHAP interpretability framework based on real-time traffic flow data at intersections. Through further investigation of the hybrid model, the following conclusions can be drawn:
- The results indicate that the significant impact of accidents on traffic volume and average speed at intersections can serve as a crucial basis for selecting model variables.
- Newly generated accident samples exhibit high similarity to real accident samples, and the correlation between variables in the newly generated samples is similar to that in the real accident samples, with a maximum difference of only 0.144. The accident detection performance of the GAN-augmented XGBoost algorithm is optimal among the selected methods, achieving an AUC value of 0.844.
- The SHAP model reveals the magnitude of the impact of features on the XGBoost algorithm’s prediction results. The top four influential features are the standard deviation of the time–vehicle ratio, the average speed, the average time–vehicle ratio, and the difference in average speed. The feature with the lowest impact is the number of vehicles passing through the intersection 5 min before the accident or non-accident event, further emphasizing the crucial role of the proposed time–vehicle ratio variable in enhancing the generalization performance of the accident detection model.
Finally, this method achieves unified detection for accidents on the approach lanes, departure lanes, and central area of the intersection. The new detection model exhibits good transferability. Its accurate determination of accident locations at intersections provides effective support for urban traffic management and emergency response.
However, this model has two limitations:
- It is limited to intersections where the left-turn lanes and straight lanes each occupy a single phase.
- The proposed intersection accident detection model cannot detect the severity of intersection accidents.
In future research, we will further improve the adaptability of the detection model to other scenarios and work towards detecting the severity of intersection accidents.
Author Contributions
Conceptualization, Z.S. and F.S.; methodology, Z.S.; software, Y.W.; validation, Z.S., Y.W. and F.S.; formal analysis, D.G.; investigation, F.J.; resources, D.G., H.Z. and F.S.; data curation, H.Z.; writing—original draft preparation, Z.S.; writing—review and editing, F.J.; visualization, Y.W.; supervision, F.S.; project administration, H.Z.; funding acquisition, D.G., H.Z. and F.S. All authors have read and agreed to the published version of the manuscript.
Funding
This research was funded by the National Natural Science Foundation of China [52172314]; the Special Funding Project of Taishan Scholar Engineering; the Natural Science Foundation of Shandong Province, China [ZR2024MG021]; the National Natural Science Foundation of China [52302437]; the Doctoral Scientific Research Start-up Foundation of Shandong University of Technology [422049]; the High-tec SMEs Innovation Capacity Improvement Project of the Shandong Province [2022TSGC2279]; the Shandong provincial programme of introducing and cultivating talents of discipline to universities: the research and innovation team of intelligent connected vehicle technology [2021SLG08]; and the Shandong Provincial Natural Science Foundation [ZR2024QG023].
Institutional Review Board Statement
Not applicable.
Informed Consent Statement
Not applicable.
Data Availability Statement
Some of the data in this study are contained within the article, and additional data are available upon request from the corresponding author.
Acknowledgments
We are thankful to the editor and the anonymous reviewers for several pertinent questions and suggestions to improve this paper.
Conflicts of Interest
The authors declare no conflicts of interest.
References
- Global Status Report on Road Safety 2023. Available online: https://www.who.int/teams/social-determinants-of-health/safety-and-mobility/global-status-report-on-road-safety-2023 (accessed on 1 December 2024).
- Arvin, R.; Kamrani, M.; Khattak, A.J. How Instantaneous Driving Behavior Contributes to Crashes at Intersections: Extracting Useful Information from Connected Vehicle Message Data. Accid. Anal. Prev. 2019, 127, 118–133. [Google Scholar] [CrossRef] [PubMed]
- Zhu, W.; Wu, J.; Fu, T.; Wang, J.; Zhang, J.; Shangguan, Q. Dynamic Prediction of Traffic Incident Duration on Urban Expressways: A Deep Learning Approach Based on LSTM and MLP. J. Intell. Connect. Veh. 2021, 4, 80–91. [Google Scholar] [CrossRef]
- Sharifi, M.S.; Song, Z.; Esfahani, H.N.; Christensen, K. Exploring Heterogeneous Pedestrian Stream Characteristics at Walking Facilities with Different Angle Intersections. Phys. A Stat. Mech. Its Appl. 2020, 540, 123112. [Google Scholar] [CrossRef]
- Golshani, N.; Shabanpour, R.; Mahmoudifard, S.M.; Derrible, S.; Mohammadian, A. Modeling Travel Mode and Timing Decisions: Comparison of Artificial Neural Networks and Copula-Based Joint Model. Travel Behav. Soc. 2018, 10, 21–32. [Google Scholar] [CrossRef]
- Yang, D.; Wu, Y.; Sun, F.; Chen, J.; Zhai, D.; Fu, C. Freeway Accident Detection and Classification Based on the Multi-Vehicle Trajectory Data and Deep Learning Model. Transp. Res. Part C Emerg. Technol. 2021, 130, 103303. [Google Scholar] [CrossRef]
- Ji, J.; Wang, J.; Huang, C.; Wu, J.; Xu, B.; Wu, Z.; Zhang, J.; Zheng, Y. Spatio-Temporal Self-Supervised Learning for Traffic Flow Prediction. Proc. AAAI Conf. Artif. Intell. 2023, 37, 4356–4364. [Google Scholar] [CrossRef]
- Ahmed, S.; Hossain, M.A.; Ray, S.K.; Bhuiyan, M.M.I.; Sabuj, S.R. A Study on Road Accident Prediction and Contributing Factors Using Explainable Machine Learning Models: Analysis and Performance. Transp. Res. Interdiscip. Perspect. 2023, 19, 100814. [Google Scholar] [CrossRef]
- Liao, S.; Weng, J.; Zhang, Z.; Li, Z.; Li, F. Probabilistic Modeling of Maritime Accident Scenarios Leveraging Bayesian Net-work Techniques. J. Mar. Sci. Eng. 2023, 11, 1513. [Google Scholar] [CrossRef]
- Yu, H.; Jiang, R.; He, Z.; Zheng, Z.; Li, L.; Liu, R.; Chen, X. Automated Vehicle-Involved Traffic Flow Studies: A Survey of Assumptions, Models, Speculations, and Perspectives. Transp. Res. Part C Emerg. Technol. 2021, 127, 103101. [Google Scholar] [CrossRef]
- Reza, S.; Ferreira, M.C.; Machado, J.J.M.; Tavares, J.M.R.S. A Multi-Head Attention-Based Transformer Model for Traffic Flow Forecasting with a Comparative Analysis to Recurrent Neural Networks. Expert Syst. Appl. 2022, 202, 117275. [Google Scholar] [CrossRef]
- Lin, Y.; Li, L.; Jing, H.; Ran, B.; Sun, D. Automated Traffic Incident Detection with a Smaller Dataset Based on Generative Adversarial Networks. Accid. Anal. Prev. 2020, 144, 105628. [Google Scholar] [CrossRef]
- Pramanik, A.; Sarkar, S.; Maiti, J. A Real-Time Video Surveillance System for Traffic Pre-Events Detection. Accid. Anal. Prev. 2021, 154, 106019. [Google Scholar] [CrossRef] [PubMed]
- Khan, S.W.; Hafeez, Q.; Khalid, M.I.; Alroobaea, R.; Hussain, S.; Iqbal, J.; Almotiri, J.; Ullah, S.S. Anomaly Detection in Traffic Surveillance Videos Using Deep Learning. Sensors 2022, 22, 6563. [Google Scholar] [CrossRef] [PubMed]
- Xia, S.; Xiong, J.; Liu, Y.; Li, G. Vision-Based Traffic Accident Detection Using Matrix Approximation. In Proceedings of the 2015 10th Asian Control Conference (ASCC), Kota Kinabalu, Malaysia, 31 May–3 June 2015; pp. 1–5. [Google Scholar]
- Fernandes, B.; Alam, M.; Gomes, V.; Ferreira, J.; Oliveira, A. Automatic Accident Detection with Multi-Modal Alert System Implementation for ITS. Veh. Commun. 2016, 3, 1–11. [Google Scholar] [CrossRef]
- Xu, B.; Barkley, T.; Lewis, A.; MacFarlane, J.; Pietrobon, D.; Stroila, M. Real-Time Detection and Classification of Traffic Jams from Probe Data. In Proceedings of the 24th ACM SIGSPATIAL International Conference on Advances in Geographic Information Systems; Association for Computing Machinery: New York, NY, USA, 2016; pp. 1–4. [Google Scholar]
- Jiang, H.; Deng, H. Traffic Incident Detection Method Based on Factor Analysis and Weighted Random Forest. IEEE Access 2020, 8, 168394–168404. [Google Scholar] [CrossRef]
- Kwak, H.-C.; Kho, S. Predicting Crash Risk and Identifying Crash Precursors on Korean Expressways Using Loop Detector Data. Accid. Anal. Prev. 2016, 88, 9–19. [Google Scholar] [CrossRef]
- Silva, P.B.; Andrade, M.; Ferreira, S. Machine Learning Applied to Road Safety Modeling: A Systematic Literature Review. J. Traffic Transp. Eng. (Engl. Ed.) 2020, 7, 775–790. [Google Scholar] [CrossRef]
- Sun, Y.; Mallick, T.; Balaprakash, P.; Macfarlane, J. A Data-Centric Weak Supervised Learning for Highway Traffic Incident Detection. Accid. Anal. Prev. 2022, 176, 106779. [Google Scholar] [CrossRef]
- Parsa, A.B.; Taghipour, H.; Derrible, S.; Mohammadian, A. Real-Time Accident Detection: Coping with Imbalanced Data. Accid. Anal. Prev. 2019, 129, 202–210. [Google Scholar] [CrossRef] [PubMed]
- Ghahremannezhad, H.; Shi, H.; Liu, C. Real-Time Accident Detection in Traffic Surveillance Using Deep Learning. In Proceedings of the 2022 IEEE International Conference on Imaging Systems and Techniques (IST), Kaohsiung, Taiwan, 21–23 June 2022; pp. 1–6. [Google Scholar]
- Du, Y.; Sun, F.; Jiao, F.; Liu, B.; Wang, X.; Zhao, P. The Identification of Intersection Entrance Accidents Based on Autoencoder. Sustainability 2023, 15, 8533. [Google Scholar] [CrossRef]
- Parsa, A.B.; Movahedi, A.; Taghipour, H.; Derrible, S.; Mohammadian, A. Toward Safer Highways, Application of XGBoost and SHAP for Real-Time Accident Detection and Feature Analysis. Accid. Anal. Prev. 2020, 136, 105405. [Google Scholar] [CrossRef] [PubMed]
- Ding, H.; Sun, Y.; Wang, Z.; Huang, N.; Shen, Z.; Cui, X. RGAN-EL: A GAN and Ensemble Learning-Based Hybrid Approach for Imbalanced Data Classification. Inf. Process. Manag. 2023, 60, 103235. [Google Scholar] [CrossRef]
- Kashani, H.; Movahedi, A.; Morshedi, M.A. An Agent-Based Simulation Model to Evaluate the Response to Seismic Retrofit Promotion Policies. Int. J. Disaster Risk Reduct. 2019, 33, 181–195. [Google Scholar] [CrossRef]
- Dong, Y.; Xiao, H.; Dong, Y. SA-CGAN: An Oversampling Method Based on Single Attribute Guided Conditional GAN for Multi-Class Imbalanced Learning. Neurocomputing 2022, 472, 326–337. [Google Scholar] [CrossRef]
- Cheng, X.; Zhou, J.; Song, J.; Zhao, X. A Highway Traffic Image Enhancement Algorithm Based on Improved GAN in Complex Weather Conditions. IEEE Trans. Intell. Transp. Syst. 2023, 24, 8716–8726. [Google Scholar] [CrossRef]
- Mousa, S.R.; Bakhit, P.R.; Ishak, S. An Extreme Gradient Boosting Method for Identifying the Factors Contributing to Crash/near-Crash Events: A Naturalistic Driving Study. Can. J. Civ. Eng. 2019, 46, 712–721. [Google Scholar] [CrossRef]
- Vlachogiannis, D.M.; Moura, S.; Macfarlane, J. Intersense: An XGBoost Model for Traffic Regulator Identification at Intersections through Crowdsourced GPS Data. Transp. Res. Part C Emerg. Technol. 2023, 151, 104112. [Google Scholar] [CrossRef]
- Panda, C.; Mishra, A.K.; Dash, A.K.; Nawab, H. Predicting and Explaining Severity of Road Accident Using Artificial Intelligence Techniques, SHAP and Feature Analysis. Int. J. Crashworthiness 2023, 28, 186–201. [Google Scholar] [CrossRef]
- Kashifi, M.T. Investigating Two-Wheelers Risk Factors for Severe Crashes Using an Interpretable Machine Learning Approach and SHAP Analysis. IATSS Res. 2023, 47, 357–371. [Google Scholar] [CrossRef]
- Salih, A.M.; Raisi-Estabragh, Z.; Galazzo, I.B.; Radeva, P.; Petersen, S.E.; Lekadir, K.; Menegaz, G. A Perspective on Explainable Artificial Intelligence Methods: SHAP and LIME. Adv. Intell. Syst. 2024, 2400304. [Google Scholar] [CrossRef]
- Asakura, Y.; Kusakabe, T.; Nguyen, L.X.; Ushiki, T. Incident Detection Methods Using Probe Vehicles with On-Board GPS Equipment. Transp. Res. Part C Emerg. Technol. 2017, 81, 330–341. [Google Scholar] [CrossRef]
- Abdel-Aty, M.; Uddin, N.; Pande, A.; Abdalla, M.F.; Hsia, L. Predicting Freeway Crashes from Loop Detector Data by Matched Case-Control Logistic Regression. Transp. Res. Rec. 2004, 1897, 88–95. [Google Scholar] [CrossRef]
- Kocian, A.; Chessa, S. Iterative Probabilistic Performance Prediction for Multiple IoT Applications in Contention. IEEE Internet Things J. 2022, 9, 13416–13424. [Google Scholar] [CrossRef]
Disclaimer/Publisher’s Note: The statements, opinions and data contained in all publications are solely those of the individual author(s) and contributor(s) and not of MDPI and/or the editor(s). MDPI and/or the editor(s) disclaim responsibility for any injury to people or property resulting from any ideas, methods, instructions or products referred to in the content. |
© 2025 by the authors. Licensee MDPI, Basel, Switzerland. This article is an open access article distributed under the terms and conditions of the Creative Commons Attribution (CC BY) license (https://creativecommons.org/licenses/by/4.0/).












