Spatiotemporal Detection of Ecological Environment Quality Changes in the Lijiang River Basin Using a New Dual Model
Abstract
1. Introduction
2. Materials
2.1. Study Area
2.2. Data Sources and Pre-Processing
3. Methods
3.1. RSECI
3.2. Calculation of Each Indicator
3.2.1. Greenness Index
3.2.2. Wetness Index
3.2.3. Heat Index
3.2.4. Dryness Index
3.2.5. Aerosol Optical Depth Index
3.3. Integration of the Indices
3.4. The Comprehensive Representativeness Test of RSECI
3.5. The Calculation of the Difference Change in RSECI
4. Results and Discussion
4.1. Classification of RSECI
4.2. Analysis of the Change in RSECI Grade
4.3. Analysis of Temporal and Spatial Variations in RSECI
4.4. Modeling and 3D Inspection Analysis
4.4.1. RSECI Regression Model
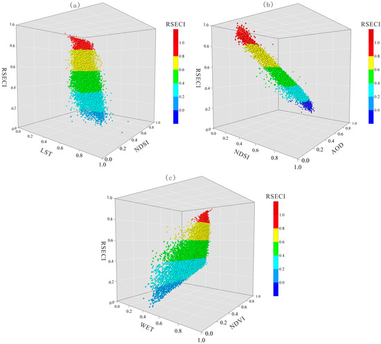
4.4.2. RSECI 3D Inspection Analysis
4.5. Analysis of RSECI Difference Change
5. Conclusions
- (1)
- The temporal and spatial evolutionary processes and dynamic change characteristics of ecological and environmental quality in the LRB during 2000–2020 were studied by constructing the dual model of the RSECI and its difference change. Regarding temporal alterations, the area of good and excellent EEQ ratings in the LRB declined from 3676.22 km² in 2000 to 2083.89 km² in 2020; conversely, the area of poor and fair EEQ ratings rose from 80.81 km² in 2000 to 1375.91 km² in 2020. Concerning spatial modifications, the region of deteriorating EEQ expanded annually, progressively diffusing to the periphery and central–southern areas, with the central–western regions at its core. The areas where the EEQ improved were mainly distributed within the Maoer Mountain National Nature Reserve, located in the northern part of the basin; the areas with unchanged EEQ mainly appeared in the upper reaches of the LRB.
- (2)
- 1542 sample points were taken from NDVI, WET, LST, NDSI, AOD, and RSECI respectively every year. Subsequently, with the NDVI, WET, LST, NDSI, and AOD set as independent variables and the RSECI as the dependent variable, stepwise regression analysis was carried out in order to establish a regression model, in which no variables were excluded, and p-values were all less than 0.01 (p < 0.01), indicating that all of the independent variables were significant to the dependent variable. In the regression models obtained for each of the 5 years, none of the NDVI, WET, LST, NDSI, or AOD indicators were ever removed, indicating that the five selected indicators are key ecological indicators, and the evaluation results are reliable, further confirming the scientific validity of RSECI modeling.
- (3)
- A difference model was established in order to examine the variation in the RSECI difference within the LRB, the findings of which demonstrated that the curve of EEQ difference in the LRB from 2000 to 2020 initially rose, subsequently declined, and then ascended once more. Throughout the research period, two distinct inflection points were present in the difference change curve, the first of which appeared in 2008, while the second appeared in 2013. An analysis of the RSECI differentiation curve leads to the conclusion that, within the research period, although the EEQ of the LRB was in a state of deterioration, the rate of deterioration was progressively decreasing, thus implying the effectiveness of diverse ecological environmental protection measures. Therefore, in future development, the EEQ of the LRB is expected to gradually improve.
- (4)
- In this work, we constructed the RSECI and difference change model in order to study the spatial and temporal evolutionary characteristics of EEQ in the LRB from 2000 to 2020. From the perspective of spatial distribution changes, urban expansion has placed significant pressure on the ecological environment. Through regression analysis of the RSECI and each relevant index, the scientific nature of RSECI modeling was further verified, thus confirming that the RSECI can be applied to other regions. The difference analysis unveiled the inflection points and trends in EEQ alteration within the study area. Through an examination of the coupling relationships between the inflection points of EEQ change in the LRB and the principal policies of the study area, it is implied that the shift in EEQ is tightly correlated with policies.
Author Contributions
Funding
Institutional Review Board Statement
Informed Consent Statement
Data Availability Statement
Conflicts of Interest
References
- Begou, P.; Kassomenos, P. The ecosyndemic framework of the global environmental change and the COVID-19 pandemic. Sci. Total Environ. 2023, 857, 159327. [Google Scholar] [CrossRef] [PubMed]
- Li, W.; An, M.; Wu, H.; An, H.; Huang, J.; Khanal, R. The local coupling and telecoupling of urbanization and ecological environment quality based on multisource remote sensing data. J. Environ. Manag. 2023, 327, 116921. [Google Scholar] [CrossRef]
- Liu, Y.; Du, W.; Chen, N.; Wang, X. Construction and evaluation of the integrated perception ecological environment indicator (IPEEI) based on the DPSIR framework for smart sustainable cities. Sustainability 2020, 12, 7112. [Google Scholar] [CrossRef]
- Gao, Y.; Li, Y.; Xu, H. Assessing ecological quality based on remote sensing images in Wugong Mountain. Earth Space Sci. 2022, 9, e2021EA001918. [Google Scholar] [CrossRef]
- Xu, Q. A remote sensing index for assessment of regional ecological changes. China Environ. Sci. 2013, 33, 889–897. [Google Scholar]
- Yang, W.; Zhou, Y.; Li, C. Assessment of Ecological Environment Quality in Rare Earth Mining Areas Based on Improved RSEI. Sustainability 2023, 15, 2964. [Google Scholar] [CrossRef]
- An, M.; Xie, P.; He, W.; Wang, B.; Huang, J. Spatiotemporal change of ecologic environment quality and human interaction factors in three gorges ecologic economic corridor, based on RSEI. Ecol. Indic. 2022, 141, 109090. [Google Scholar] [CrossRef]
- Yuan, B.; Fu, L.; Zou, Y.; Zhang, S.; Chen, X.; Li, F.; Deng, Z.; Xie, Y. Spatiotemporal change detection of ecological quality and the associated affecting factors in Dongting Lake Basin, based on RSEI. J. Clean. Prod. 2021, 302, 126995. [Google Scholar] [CrossRef]
- Wang, Y.; Chen, L.; Xin, J.; Wang, X. Impact of the Dust Aerosol Model on the VIIRS Aerosol Optical Depth (AOD) Product across China. Remote Sens. 2020, 12, 991. [Google Scholar] [CrossRef]
- Zeb, B.; Alam, K.; Khan, R.; Ditta, A.; Iqbal, R.; Elsadek, M. Characteristics and optical properties of atmospheric aerosols based on long-term AERONET investigations in an urban environment of Pakistan. Sci. Rep. 2024, 14, 8548. [Google Scholar] [CrossRef]
- Meng, H.; Bai, G.; Wang, L. Analysis of the spatial and temporal distribution characteristics of AOD in typical industrial cities in northwest China and the influence of meteorological factors. Atmos. Pollut. Res. 2024, 15, 101957. [Google Scholar] [CrossRef]
- Che, H.; Xia, X.; Zhao, H.; Li, L.; Gui, K.; Zheng, Y.; Song, J.; Zhu, J.; Miao, Y.; Wang, Y.; et al. Aerosol optical and radiative properties and their environmental effects in China: A review. Earth-Sci. Rev. 2023, 248, 104634. [Google Scholar] [CrossRef]
- Fisher, C.; Skolrood, L.N.; Li, K.; Joshi, P.C.; Aytug, T. Aerosol-jet printed sensors for environmental, safety, and health monitoring: A review. Adv. Mater. Technol. 2023, 8, 2300030. [Google Scholar] [CrossRef]
- Zhang, Y.; Li, Z.; Zhao, S.; Zhang, X.; Lin, J. A review of collaborative remote sensing observation of atmospheric gaseous and particulate pollution with atmospheric environment satellites. Natl. Remote Sens. Bull. 2022, 26, 873–896. [Google Scholar] [CrossRef]
- Filonchyk, M.; Peterson, M.P.; Zhang, L.; Yan, H. An analysis of air pollution associated with the 2023 sand and dust storms over China: Aerosol properties and PM10 variability. Geosci. Front. 2024, 15, 101762. [Google Scholar] [CrossRef]
- Shen, K.H.; Wei, S.G.; Li, L.; Chu, X.X.; Zhong, J.J.; Zhou, J.G.; Zhao, Y. Spatial Distribution Patterns of Soil Organic Carbon in Karst Forests of the Lijiang River Basin and Its Driving Factors. Environ. Sci. 2024, 45, 323–334. [Google Scholar]
- Bi, L.; Fu, B.; Zhou, J.; Tang, T.; Lou, P. Quantitative study on landscape pattern change in the Lijiang River Basin during 2005–2015. Territ. Nat. Resour. Study 2019, 179, 31–37. [Google Scholar]
- Liu, Y.; Huang, J.; Lin, W. Zoning strategies for ecological restoration in the karst region of Guangdong province, China: A perspective from the “social-ecological system”. Front. Environ. Sci. 2024, 12, 1369635. [Google Scholar] [CrossRef]
- Guo, X.Y.; Mu, X.; Ding, Z.; Ming, Q.Z.; Lu, B. Coordination Effect and Dynamic Relationship of Urban Ecological Environmentand Tourism Economy:A Case Study of Qujing. Econ. Geogr. 2020, 40, 231–240. [Google Scholar]
- De La Iglesia Martinez, A.; Labib, S.M. Demystifying normalized difference vegetation index (NDVI) for greenness exposure assessments and policy interventions in urban greening. Environ. Res. 2023, 220, 115155. [Google Scholar] [CrossRef] [PubMed]
- Sánchez, N.; Plaza, J.; Criado, M.; Pérez-Sánchez, R.; Gómez-Sánchez, M.Á.; Morales-Corts, M.R.; Palacios, C. The Second Derivative of the NDVI Time Series as an Estimator of Fresh Biomass: A Case Study of Eight Forage Associations Monitored via UAS. Drones 2023, 7, 347. [Google Scholar] [CrossRef]
- Caruso, G.; Palai, G.; Tozzini, L.; D’Onofrio, C.; Gucci, R. The role of LAI and leaf chlorophyll on NDVI estimated by UAV in grapevine canopies. Sci. Hortic. 2023, 322, 112398. [Google Scholar] [CrossRef]
- Wang, S.; Cui, D.; Wang, L.; Peng, J. Applying deep-learning enhanced fusion methods for improved NDVI reconstruction and long-term vegetation cover study: A case of the Danjiang River Basin. Ecol. Indic. 2023, 155, 111088. [Google Scholar] [CrossRef]
- Farbo, A.; Sarvia, F.; De Petris, S.; Basile, V.; Borgogno-Mondino, E. Forecasting corn NDVI through AI-based approaches using sentinel 2 image time series. ISPRS J. Photogramm. Remote Sens. 2024, 211, 244–261. [Google Scholar] [CrossRef]
- Ren, F.; Xu, J.; Wu, Y.; Li, T.; Li, M. Analysis of Eco-Environmental Quality of an Urban Forest Park Using LTSS and Modified RSEI from 1990 to 2020—A Case Study of Zijin Mountain National Forest Park, Nanjing, China. Forests 2023, 14, 2458. [Google Scholar] [CrossRef]
- Zhang, W.; Zhang, W.; Ji, J.; Chen, C. Urban Ecological Quality Assessment Based on Google Earth Engine and Driving Factors Analysis: A Case Study of Wuhan City, China. Sustainability 2024, 16, 3598. [Google Scholar] [CrossRef]
- Shan, W.; Jin, X.; Ren, J.; Wang, Y.; Xu, Z.; Fan, Y.; Gu, Z.; Hong, C.; Lin, J.; Zhou, Y. Ecological environment quality assessment based on remote sensing data for land consolidation. J. Clean. Prod. 2019, 239, 118126. [Google Scholar] [CrossRef]
- Li, Z.L.; Wu, H.; Duan, S.B.; Zhao, W.; Ren, H.; Liu, X.; Leng, P.; Tang, R.; Ye, X.; Zhu, J.; et al. Satellite remote sensing of global land surface temperature: Definition, methods, products, and applications. Rev. Geophys. 2023, 61, e2022RG000777. [Google Scholar] [CrossRef]
- Hu, Y.; Tang, R.; Jiang, X.; Li, Z.L.; Jiang, Y.; Liu, M.; Gao, C.; Zhou, X. A physical method for downscaling land surface temperatures using surface energy balance theory. Remote Sens. Environ. 2023, 286, 113421. [Google Scholar] [CrossRef]
- Wang, Z.; Chen, T.; Zhu, D.; Jia, K.; Plaza, A. RSEIFE: A new remote sensing ecological index for simulating the land surface eco-environment. J. Environ. Manag. 2023, 326, 116851. [Google Scholar] [CrossRef]
- Neinavaz, E.; Skidmore, A.K.; Darvishzadeh, R. Effects of prediction accuracy of the proportion of vegetation cover on land surface emissivity and temperature using the NDVI threshold method. Int. J. Appl. Earth Obs. Geoinf. 2020, 85, 101984. [Google Scholar] [CrossRef]
- Zheng, X.; Zou, Z.; Xu, C.; Lin, S.; Wu, Z.; Qiu, R.; Hu, X.; Li, J. A new remote sensing index for assessing spatial heterogeneity in urban ecoenvironmental-quality-associated road networks. Land 2021, 11, 46. [Google Scholar] [CrossRef]
- Liu, Y.; Meng, Q.; Zhang, L.; Wu, C. NDBSI: A normalized difference bare soil index for remote sensing to improve bare soil mapping accuracy in urban and rural areas. Catena 2022, 214, 106265. [Google Scholar] [CrossRef]
- Zhang, K.; de Leeuw, G.; Yang, Z.; Chen, X.; Su, X.; Jiao, J. Estimating Spatio-Temporal Variations of PM 2.5 Concentrations Using VIIRS-Derived AOD in the Guanzhong Basin, China. Remote Sens. 2019, 11, 2679. [Google Scholar] [CrossRef]
- Xu, Q. A Study on In formation Extraction of Water Body with the Modified Normalized Difference Water Index (MNDWI). J. Remote Sens. 2005, 9, 79–85. [Google Scholar]
- Yue, H.; Liu, Y.; Li, Y.; Lu, Y. Eco-environmental quality assessment in China’s 35 major cities based on remote sensing ecological index. IEEE Access 2019, 7, 51295–51311. [Google Scholar] [CrossRef]
- Su, X.; Wu, J.; Li, P.; Li, R.; Cheng, P. RSEI-Based Modeling of Ecological Security and Its Spatial Impacts on Soil Quality: A Case Study of Dayu, China. Sustainability 2022, 14, 4428. [Google Scholar] [CrossRef]
- Tang, H.; Fang, J.; Xie, R.; Ji, X.; Li, D.; Yuan, J. Impact of land cover change on a typical mining region and its ecological environment quality evaluation using remote sensing based ecological index (RSEI). Sustainability 2022, 14, 12694. [Google Scholar] [CrossRef]









| RSECI Level | 2000 | 2005 | 2010 | 2015 | 2020 | |||||
|---|---|---|---|---|---|---|---|---|---|---|
| Area (km2) | % | Area (km2) | % | Area (km2) | % | Area (km2) | % | Area (km2) | % | |
| 1 (0~0.2) (poor) | 5.10 | 0.09 | 30.70 | 0.52 | 114.15 | 1.95 | 146.83 | 2.52 | 147.06 | 2.52 |
| 2 (0.2~0.4) (fair) | 75.71 | 1.30 | 648.17 | 11.11 | 1062.65 | 18.21 | 1243.17 | 21.30 | 1228.85 | 21.06 |
| 3 (0.4~0.6) (average) | 2078.58 | 35.62 | 2334.55 | 40.01 | 2266.93 | 38.85 | 2434.94 | 41.73 | 2375.81 | 40.71 |
| 4 (0.6~0.8) (good) | 3337.43 | 57.19 | 1972.48 | 33.80 | 1217.17 | 20.86 | 1119.87 | 19.19 | 1678.05 | 28.76 |
| 5 (0.8~1.0) (excellent) | 338.79 | 5.80 | 849.71 | 14.56 | 1174.71 | 20.13 | 890.80 | 15.26 | 405.84 | 6.95 |
| Total | 5835.61 | 100 | 5835.61 | 100 | 5835.61 | 100 | 5835.61 | 100 | 5835.61 | 100 |
| Class | Level | Level Area (km2) | Class Area (km2) | Class Proportion (%) |
|---|---|---|---|---|
| Degraded | −4 | 0.01 | 2999.16 | 51.39 |
| −3 | 11.23 | |||
| −2 | 452.87 | |||
| −1 | 2535.05 | |||
| No change | 0 | 2352.39 | 2352.39 | 40.31 |
| Improved | +1 | 466.20 | 484.06 | 8.30 |
| +2 | 11.93 | |||
| +3 | 5.91 | |||
| +4 | 0.02 |
Disclaimer/Publisher’s Note: The statements, opinions and data contained in all publications are solely those of the individual author(s) and contributor(s) and not of MDPI and/or the editor(s). MDPI and/or the editor(s) disclaim responsibility for any injury to people or property resulting from any ideas, methods, instructions or products referred to in the content. |
© 2025 by the authors. Licensee MDPI, Basel, Switzerland. This article is an open access article distributed under the terms and conditions of the Creative Commons Attribution (CC BY) license (https://creativecommons.org/licenses/by/4.0/).
Share and Cite
Li, N.; Wang, H.; He, W.; Jia, B.; Fu, B.; Chen, J.; Meng, X.; Yu, L.; Wang, J. Spatiotemporal Detection of Ecological Environment Quality Changes in the Lijiang River Basin Using a New Dual Model. Sustainability 2025, 17, 414. https://doi.org/10.3390/su17020414
Li N, Wang H, He W, Jia B, Fu B, Chen J, Meng X, Yu L, Wang J. Spatiotemporal Detection of Ecological Environment Quality Changes in the Lijiang River Basin Using a New Dual Model. Sustainability. 2025; 17(2):414. https://doi.org/10.3390/su17020414
Chicago/Turabian StyleLi, Ning, Haoyu Wang, Wen He, Bin Jia, Bolin Fu, Jianjun Chen, Xinyuan Meng, Ling Yu, and Jinye Wang. 2025. "Spatiotemporal Detection of Ecological Environment Quality Changes in the Lijiang River Basin Using a New Dual Model" Sustainability 17, no. 2: 414. https://doi.org/10.3390/su17020414
APA StyleLi, N., Wang, H., He, W., Jia, B., Fu, B., Chen, J., Meng, X., Yu, L., & Wang, J. (2025). Spatiotemporal Detection of Ecological Environment Quality Changes in the Lijiang River Basin Using a New Dual Model. Sustainability, 17(2), 414. https://doi.org/10.3390/su17020414

