Next Article in Journal
Evaluating Municipal Solid Waste Incineration Through Determining Flame Combustion to Improve Combustion Processes for Environmental Sanitation
Previous Article in Journal
The Impact of Drought Risk on Maize Crop in Romania
 
 
Font Type:
Arial Georgia Verdana
Font Size:
Aa Aa Aa
Line Spacing:
Column Width:
Background:
Article

Chain Leader Policy and Corporate Environmental Sustainability: A Multi-Level Analysis of Greenwashing Mitigation Mechanisms

1
School of Economics, Guangxi University, Nanning 530004, China
2
School of Business, Guangxi University, Nanning 530004, China
*
Author to whom correspondence should be addressed.
Sustainability 2025, 17(19), 8871; https://doi.org/10.3390/su17198871
Submission received: 9 September 2025 / Revised: 26 September 2025 / Accepted: 29 September 2025 / Published: 4 October 2025

Abstract

Corporate greenwashing has emerged as a pervasive and systemic threat to global sustainability efforts, undermining regulatory effectiveness and obstructing progress toward multiple United Nations Sustainable Development Goals. As environmental opportunism increasingly diffuses across interconnected industrial supply networks, it evolves from isolated corporate misconduct into a chain-level governance challenge with significant systemic risks. Traditional governance mechanisms—whether market-based self-regulation or top-down administrative control—have proven insufficient, while the effectiveness of hybrid approaches integrating administrative coordination with market dynamics remains largely unexplored. This study investigates China’s Chain Leader Policy, a novel hybrid governance model that combines formal administrative authority with market coordination mechanisms to systematically address environmental opportunism across industrial supply networks, and its impact on mitigating greenwashing. Employing a multi-period difference-in-differences design on 12,334 firm-year observations of Chinese A-share listed companies from 2011 to 2023, we find that the policy reduces corporate greenwashing by 10.8% through four pathways: stabilizing supply–demand relationships, reducing coordination costs, fostering green collaborative innovation, and enhancing external scrutiny via social networks. Coercive isomorphism strengthens these effects, while mimetic isomorphism weakens them; impacts are more pronounced in state-owned enterprises, firms with stronger green awareness and higher levels of internationalization, and in more concentrated industries. By operationalizing embedded autonomy theory in an environmental governance context, this research extends theoretical understanding of hybrid governance mechanisms, offers robust empirical evidence for designing policies to curb greenwashing, and provides a replicable framework for achieving corporate environmental sustainability worldwide.

1. Introduction

Greenwashing, defined as corporate practices of creating a positive environmental image through false or exaggerated claims to cover up inadequate actual environmental performance, has emerged as a critical strategy for firms to cope with mounting sustainability pressures and gain environmental legitimacy. Against the backdrop of global deepening inter-firm connectivity, the influencing factors and consequences of corporate environmental practices are now transcending organizational boundaries and extending across industrial chains. In response to this phenomenon, scholarly research on greenwashing has expanded beyond firm-level analyses to encompass network-level perspectives, examining how supply chain network centrality influences corporate greenwashing behavior [1], strategic interactions among nodal firms in industrial chains [2], and contagious effects within ESG investment frameworks [3]. Emerging empirical evidence suggests potential inter-firm transmission mechanisms, including how customer firms’ environmental disclosure practices may unintentionally incentivize suppliers to engage in greenwashing behaviors [4], while systematic literature reviews highlight growing scholarly recognition of the need for coordinated approaches to address environmental opportunism across supply chain networks [5]. However, whether these patterns represent a fundamental transition from isolated misconduct to systematic coordination, and what governance mechanisms might effectively address such networked challenges, remains an open empirical question that requires further investigation. This emerging research landscape underscores the necessity of examining systematic greenwashing governance mechanisms that are compatible with the complex structure of industrial chains.
This global trend underscores the need for innovative governance mechanisms that can systematically address environmental externalities across complex production networks. Internationally, similar challenges have been approached through varied institutional arrangements. For instance, Germany’s “Industrie 4.0” initiative represents a comprehensive digitalization strategy involving coordinated efforts between government, industry, and research institutions to establish standards and foster collaboration within industrial value chains, though environmental considerations, while present as beneficial outcomes, are not its primary governance focus compared to manufacturing efficiency and digital transformation [6]. Similarly, Japan’s historically influential practice of administrative guidance (gyosei shido) has demonstrated how government ministries can facilitate coordination with key industries to achieve strategic development objectives through informal yet systematic channels, embodying a form of embedded state facilitation [7]. However, these models typically lack a dedicated governmental role with explicit mandate and administrative authority to coordinate entire industrial chains—from upstream suppliers to downstream distributors—specifically for mitigating systemic environmental risks such as greenwashing.
These limitations in existing international governance models underscore the need for alternative institutional arrangements capable of systematically addressing chain-level environmental opportunism. Against this backdrop, China’s Chain Leader Policy emerges as a theoretically and empirically significant case meriting rigorous investigation. Unlike the models discussed above, this policy represents a deliberate institutional innovation specifically designed to combat greenwashing through systematic industrial chain coordination. Since its initial implementation in Changsha in 2017, the policy has expanded across multiple Chinese cities, providing a natural experimental setting with sufficient temporal and geographical variation to enable robust causal inference. The policy’s scale and scope—encompassing diverse industries and thousands of enterprises across a 13-year observation window (2011–2023)—offer unprecedented opportunities to examine how embedded autonomy mechanisms operate in environmental governance contexts. This empirical setting addresses a critical gap in the literature; while existing studies have theorized about hybrid governance approaches, systematic evidence regarding their effectiveness in curbing corporate greenwashing remains limited. The Chain Leader Policy’s explicit environmental governance mandate, combined with its distinctive tri-level coordination architecture, positions it as an ideal case for investigating whether and how government-embedded coordination can transform greenwashing behaviors across industrial networks.
China’s ongoing exploration of the “Chain Leader Policy” provides valuable experience for researching effective industrial chain governance models. The Chain Leader Policy represents a fundamentally distinct governance innovation that differs markedly from existing international models in three critical dimensions. First, unlike Germany’s Industrie 4.0, which primarily focuses on digital transformation with environmental benefits as secondary outcomes, the Chain Leader Policy explicitly targets environmental governance as its core objective through systematic greenwashing mitigation. Second, whereas Japan’s administrative guidance (gyosei shido) operates through informal ministerial coordination, the Chain Leader mechanism establishes formal administrative authority with designated government officials who possess explicit mandates and resource allocation powers to coordinate entire industrial chains. Third, in contrast to market-based industry self-regulation prevalent in Western contexts, this policy embodies a hybrid governance approach that combines state administrative capacity with market coordination mechanisms, enabling systematic intervention across upstream–downstream networks specifically for environmental compliance. Unlike traditional top-down industrial policies, the Chain Leader Policy embodies an embedded autonomy mechanism. Under this framework, local government officials serve as chain leaders, leveraging their administrative guidance and resource coordination capabilities to promote deeper structural and functional integration of enterprises within the industrial chain network. This approach strengthens value and goal alignment, thereby activating the latent dynamics of the industrial chain system. Its functions are manifested in: guiding industrial chain development planning and resolving bottlenecks in upstream and downstream linkages; coordinating resources and demands among upstream and downstream firms, enterprises of varying sizes, academic and research institutions, and government departments to mitigate information asymmetry and collaboration barriers [8]; integrating and optimizing the allocation of industrial chain resources to enhance overall efficiency and resilience [9]; and providing tailored services to enterprises within the chain to accurately address common developmental challenges and bottlenecks [10].
Enterprises do not exist as isolated entities but are embedded within multi-stakeholder interactive systems, which substantially increases the governance complexity of addressing greenwashing practices. For example, the convergence of direct greenwashing by enterprises at multiple supply chain levels and “substitutive greenwashing” such as supplier contract breaches results in blurred accountability boundaries and creates significant challenges for assigning responsibility [11]. Furthermore, the high transaction costs associated with low-carbon technology diffusion and conflicts over the distribution of emission reduction benefits exacerbate enterprises’ green coordination dilemmas and expand the scope for “more talk, less action” opportunism [12]. However, existing literature exhibits three critical limitations that constrain systematic understanding of greenwashing governance. First, mechanism specification deficit: current studies examine isolated greenwashing drivers [13,14,15] but lack theoretical frameworks explaining how hybrid governance mechanisms systematically address greenwashing across industrial chains. Second, network-level analytical absence: research focuses on dyadic relationships [1,2] while overlooking how coordinated governance operates across multi-stakeholder networks to combat greenwashing. Third, institutional contingency gap: although institutional pressures influence environmental behavior [16,17], the ways different isomorphic pressures moderate hybrid governance effectiveness remain unexplored. These limitations result in fragmented approaches that cannot address greenwashing’s systemic nature in complex industrial networks.
This study addresses these limitations through three targeted innovations. Theoretically, we extend embedded autonomy theory to industrial chain environmental governance, providing the first systematic framework for dual-coordination mechanisms in greenwashing control. Empirically, we identify and validate four specific pathways through which hybrid governance reduces greenwashing—revealing the operational mechanisms behind policy effectiveness. Methodologically, we integrate institutional pressure theory to systematically examine how different isomorphic pressures moderate governance effectiveness, advancing beyond single-pressure approaches.
This study directly addresses the identified limitations through three distinct contributions that advance existing knowledge. First, we demonstrate how state-embedded coordination creates systematic anti-greenwashing effects that neither pure market mechanisms nor command-and-control approaches achieve, extending embedded autonomy theory to environmental governance contexts and resolving the mechanism specification deficit. Second, we provide empirical evidence of four specific pathways through which the Chain Leader Policy operates—supply–demand stabilization, coordination cost reduction, collaborative innovation, and external scrutiny—resolving the pathway identification absence and the “black box” problem in governance mechanism research. Third, we establish how institutional pressures systematically moderate hybrid governance effectiveness, revealing that coercive isomorphism strengthens while mimetic isomorphism weakens policy impact, addressing the institutional contingency oversight and providing actionable insights for context-sensitive governance design. Our large-scale quantitative analysis using 12,334 firm-year observations addresses the empirical validation gap through rigorous causal identification.

2. Literature Review

This study adopts a dual-theory integration framework to comprehensively analyze how the Chain Leader Policy influences corporate greenwashing behavior. Embedded autonomy theory serves as the primary theoretical foundation for explaining the policy’s mediating mechanisms—specifically, how government officials, as chain leaders, leverage their embedded position within socio-economic networks to coordinate supply chain relationships and mobilize social network resources, thereby systematically addressing greenwashing practices. Institutional pressure theory complements this framework by explaining the moderating mechanisms—how different types of isomorphic pressures (coercive, mimetic, and normative) from the external institutional environment shape the effectiveness of the Chain Leader Policy. This theoretical integration enables a more nuanced understanding of hybrid governance mechanisms in environmental governance, addressing both the internal coordination logic and external institutional conditions that determine policy effectiveness.

2.1. Theoretical Foundation: Embedded Autonomy Theory

Embedded autonomy theory represents an extension of embeddedness theory [18] into the realm of governance. Evans [19] pioneered its development through the core concept of “embedded autonomy,” which explains how states achieve effective governance through deep engagement with society. This theoretical framework posits that governance efficacy stems not from the distant, coercive exercise of power, but rather requires governments to simultaneously maintain “autonomy” (freedom from capture by particularistic interests) and “embeddedness” (close ties with society to obtain information and implementation capacity). In the context of industrial chain governance, this theory provides a structural perspective for understanding how chain leaders achieve development objectives by embedding themselves within socio-economic networks.
Recent literature has expanded upon the embedded autonomy theory by examining its application in specific contexts. Block and Negoita [20] sought to provide further details regarding the processes through which state officials engage with technocrats and corporations. By developing an economic model incorporating the concept of embedded autonomy, Lyu and Singh [21] emphasized that close relationships between bureaucrats and industrialists can facilitate the selection of high-growth investments, while also highlighting the importance to guard against corruption resulting from cronyism. Chan and Kwok [22] contend that under state-led embeddedness, platforms are primarily perceived not as private economic entities but as instruments for delivering public goods and addressing societal challenges. However, most existing studies employ theoretical models or case analysis methods, with few focusing on empirical research regarding specific industrial policies and their implementation effects. This gap in the literature presents an opportunity for this study.
The Chain Leader Policy can be conceptualized as an operationalization of embedded autonomy theory at the meso-level of industrial chains. While Evans’s seminal framework was originally applied to analyze state-society relations at the national level in explaining broad patterns of industrial transformation, the Chain Leader mechanism scales down and adapts this theoretical construct to function within specific sectoral contexts. The “Chain Leader” (a designated government official) embodies the “autonomy” dimension of the state—maintaining bureaucratic capacity and coherence independent from particularistic interests—while their deep engagement in coordinating relationships among firms, universities, and research institutes within the industrial chain exemplifies the “embeddedness” dimension. This institutional design distinguishes the policy from purely hierarchical, top-down industrial interventions and from laissez-faire market governance approaches, thereby providing a concrete empirical context for examining how embedded autonomy operates in contemporary environmental governance—a domain that extends beyond the scope of classical developmental state literature.
Having established embedded autonomy theory as the foundation for understanding the Chain Leader Policy’s coordination mechanisms, we now examine how this theoretical framework intersects with broader institutional environments that shape corporate behavior and policy effectiveness.

2.2. Determinants and Spillover Effects of Greenwashing

Having established embedded autonomy theory as our analytical foundation, we now examine the empirical literature on greenwashing determinants and governance mechanisms. This theoretical lens enables us to systematically analyze how government-market hybrid arrangements can address the coordination failures and information asymmetries that drive greenwashing behavior. The following review follows a logical progression: first examining individual-level and institutional factors that drive greenwashing behavior (Section 2.2), then analyzing existing governance approaches and their limitations (Section 2.3), thereby identifying the research gap that our embedded autonomy-based analysis addresses.
Numerous scholars have investigated both internal and external factors influencing corporate greenwashing. External factors encompass inadequate government oversight [13] and market pressures from consumers [14], while internal factors involve managerial subjective perceptions regarding greenwashing, such as environmental attitudes [15] or limited transparency [23]. However, these studies predominantly adopt singular-factor approaches. Currently, only a limited number of studies examine the impact of institutional pressures on corporate greenwashing from an institutional theory perspective, with findings remaining inconclusive. Chakraborty et al. [16] demonstrate that coercive isomorphic pressures’ effect on greenwashing remains unaffected by consumer skepticism, whereas economic and normative pressures exhibit varying impacts depending on skepticism contexts. Can and Turker [17] reveal that public and social welfare logics drive greenwashing, whereas business logic shows no direct effect. Furthermore, corporate greenwashing strategies not only spread contagiously within ESG mutual funds [3] but also negatively affect purchase intentions for green products from other brands within the same industry [24]. These findings indicate that while institutional pressures’ influence on corporate greenwashing has gained scholarly attention in recent research, significant gaps remain for further exploration. Moreover, the spillover effects of greenwashing underscore the necessity to investigate industrial chain governance mechanisms for curbing such practices.

2.3. Environmental Governance Mechanisms in Industrial Chains

Building on the understanding of greenwashing determinants and their complex institutional contexts, this section examines how various governance mechanisms have been employed to address these challenges at the industrial chain level. The analysis reveals both the contributions and limitations of existing approaches, providing the foundation for understanding why hybrid governance mechanisms like the Chain Leader Policy merit systematic investigation.

2.3.1. Chain Leader Policy and Environmental Governance: Current Research Status

Recent empirical studies on the Chain Leader Policy have evolved from general economic impact assessments to more specific environmental governance investigations. Early research primarily documented the policy’s effects on enterprise innovation performance, industrial chain resilience, and regional economic development outcomes [8,9,10]. However, emerging evidence suggests significant environmental governance potential that warrants systematic investigation.
Current environmental impact studies reveal three key findings. First, policy implementation correlates with measurable improvements in enterprise environmental performance indicators, including reduced pollution intensity and enhanced green technology adoption rates. Second, industrial chains under Chain Leader coordination exhibit stronger green technology diffusion patterns compared to non-policy chains, with knowledge spillover effects extending across upstream-downstream networks. Third, preliminary evidence suggests that Chain Leader intervention may influence corporate environmental disclosure behavior, though the specific mechanisms through which this occurs remain underspecified.
Despite these promising findings, existing research exhibits critical limitations that constrain systematic understanding of the policy’s anti-greenwashing mechanisms. Methodologically, most studies rely on aggregate environmental outcome measures without examining specific behavioral changes such as greenwashing practices. Theoretically, current analyses lack frameworks explaining how Chain Leader coordination mechanisms systematically address environmental opportunism. Empirically, existing studies overlook institutional contingencies that may moderate policy effectiveness across different contexts. These limitations underscore the need for comprehensive analysis that can illuminate both the operational mechanisms and boundary conditions of Chain Leader environmental governance.

2.3.2. Greenwashing Governance Mechanisms: Theoretical Foundations and Empirical Evidence

Existing literature identifies two predominant modes of environmental governance in industrial chains: government-led governance and market-based governance. As a powerful stakeholder within institutional systems, governments facilitate structural transitions toward sustainability and mitigate greenwashing through proactive policymaking [25], with specific instruments including government accounting oversight [26], subsidies [27], and green financial system regulation [28]. Market-based governance manifests in two dimensions. First, from a market-position perspective, leading firms employ coordination mechanisms (e.g., reducing supply chain collaboration costs, restructuring trade credit networks) and guidance strategies (e.g., promoting green technology sharing, fostering ecological responsibility awareness) to curb greenwashing [12,29], with such governance exhibiting value-creating multiplier effects [30]. Second, from a cross-organizational perspective, downstream clients’ ESG performance transmits upstream through supply chain power relations, constraining suppliers’ greenwashing [31].
Building on these governance approaches, theoretical perspectives on greenwashing mitigation draw from multiple disciplinary foundations that illuminate four critical mechanisms. Resource constraint theory suggests that supply–demand relationship stability reduces resource uncertainty that often drives opportunistic environmental behavior. When firms can rely on stable supply chains and predictable demand patterns, they face fewer pressures to engage in short-term environmental deception to maintain competitive position. Transaction cost economics highlights how coordination cost reduction addresses information asymmetries and inefficiencies that create space for environmental opportunism. Lower coordination costs enable better monitoring and verification of environmental claims across supply chain networks.
Resource-based view emphasizes how green collaborative innovation mechanisms transform environmental requirements from external burdens into internal capabilities, reducing incentives for deceptive practices by making genuine environmental performance economically advantageous. Stakeholder theory demonstrates how external scrutiny enhancement creates reputational risks that increase the costs of greenwashing relative to substantive environmental investments. Each mechanism addresses different aspects of the greenwashing problem: resource constraints, information asymmetries, capability deficits, and accountability gaps, respectively.
However, empirical evidence supporting these theoretical mechanisms remains fragmented across different literature streams, with no systematic investigation examining how these mechanisms operate collectively within integrated governance systems like the Chain Leader Policy. This theoretical foundation suggests four specific pathways through which embedded autonomy mechanisms could systematically reduce corporate greenwashing: stabilizing supply–demand relationships to reduce resource constraints, minimizing coordination costs to eliminate information asymmetries, facilitating collaborative innovation to build genuine capabilities, and enhancing external scrutiny to strengthen accountability mechanisms. These theoretical predictions form the basis for our subsequent hypothesis development.

2.3.3. Hybrid Governance Models: Institutional Innovations and Comparative Advantages

International experiences reveal diverse institutional approaches to environmental governance within industrial chains, yet each demonstrates inherent limitations in addressing systemic environmental risks. Market-oriented models such as Germany’s Industrie 4.0 initiative coordinate government-industry-research collaboration primarily for digitalization and manufacturing efficiency rather than systematic environmental governance [6]. The United States employs voluntary Environmental Protection Agency programs that rely on private sector leadership with limited enforcement mechanisms. Regulatory-driven approaches include France’s extended producer responsibility schemes that mandate lifecycle environmental accountability and the EU’s emerging supply chain due diligence directives. Collaborative governance models are exemplified by Japan’s administrative guidance (gyosei shido), which provides informal coordination between government ministries and industries [7], and Sweden’s government-facilitated industrial symbiosis networks that foster circular economy principles. However, these international models typically lack a dedicated governmental authority with explicit mandate and comprehensive administrative capacity to coordinate entire industrial chains specifically for mitigating systemic environmental risks such as greenwashing.
China’s Chain Leader Policy represents a distinctive hybrid governance approach that transcends traditional government-market dichotomies through operationalizing embedded autonomy theory. This policy features a unique institutional design wherein local government officials serve as designated “Chain Leaders” who simultaneously maintain bureaucratic independence and deep market engagement [19]. The policy’s embedded autonomy manifests through four core mechanisms: strategic coordination of industrial chain development planning to resolve upstream-downstream bottlenecks; resource integration among enterprises, academic institutions, and government departments to mitigate information asymmetries [8]; systemic optimization of industrial chain resource allocation to enhance overall efficiency and resilience [9]; and targeted intervention providing tailored services to address developmental challenges across chain enterprises [10]. This institutional architecture enables responsive environmental governance while maintaining necessary autonomy, distinguishing it from both hierarchical state intervention and laissez-faire market mechanisms prevalent internationally.
To contextualize the Chain Leader Policy’s distinctiveness, comparative governance scholarship reveals that different institutional environments have developed varying approaches to industrial coordination challenges [32,33]. Table 1 presents a systematic comparison of different governance models across five key dimensions to highlight the Chain Leader Policy’s institutional innovations.
This comparative analysis reveals three critical institutional innovations of the Chain Leader Policy: (1) Formal Cross-Sectoral Authority: Unlike voluntary industry initiatives or informal guidance, Chain Leaders possess explicit administrative mandate spanning entire industrial networks; (2) Systematic Environmental Targeting: While other models treat environmental outcomes as secondary benefits or regulatory compliance issues, this policy explicitly targets environmental opportunism as its primary objective; (3) Hybrid Enforcement Mechanism: The combination of administrative authority with market coordination enables both prevention (through supply chain coordination) and detection (through network monitoring) of greenwashing practices.
The Chain Leader Policy’s hybrid institutional design addresses these limitations by combining formal administrative authority with market coordination mechanisms. Unlike purely voluntary industry initiatives or informal guidance systems, Chain Leaders possess explicit mandate and resource allocation powers to coordinate environmental compliance across entire industrial networks, from upstream suppliers to downstream distributors. This institutional arrangement enables systematic intervention in greenwashing practices while maintaining market efficiency through enterprise-led innovation and competition dynamics.

2.3.4. Research Gaps and Theoretical Opportunities

However, beyond these conventional government-market dichotomies and existing international models, the Chain Leader Policy as a novel embedded autonomy mechanism remains underexplored regarding its systematic impact on corporate greenwashing.
This literature review reveals a fundamental research gap: while environmental governance studies separately examine market coordination [29,30] and government regulation [25,26], no research systematically investigates how hybrid mechanisms integrate both approaches to address greenwashing’s dual nature—requiring simultaneous coordination and supervision. Existing fragmented approaches cannot explain why traditional single-mechanism governance often fails against sophisticated greenwashing strategies. The Chain Leader Policy represents a unique context to test embedded autonomy theory in environmental governance, yet this opportunity remains unexploited.
This comprehensive review reveals that while existing literature provides valuable insights into greenwashing determinants and various governance approaches, a critical gap remains: systematic empirical analysis of how embedded autonomy mechanisms can coordinate industrial chain-level environmental governance to address greenwashing systematically. Most existing studies examine either government-led or market-based approaches in isolation, without considering hybrid governance forms that integrate state guidance with market coordination through embedded institutional arrangements. Our study addresses this gap by examining China’s Chain Leader Policy as an operationalization of embedded autonomy theory in environmental governance, thereby contributing to both theoretical understanding and practical policy design for sustainable industrial development.
Four interconnected research gaps limit systematic understanding of hybrid governance approaches to environmental opportunism. First, mechanism specification deficit: while existing studies document that various governance approaches can influence environmental behavior, they lack theoretical frameworks explaining how hybrid mechanisms systematically integrate coordination and supervision functions to address greenwashing’s dual nature as both coordination failure and information asymmetry problem. Second, pathway identification absence: current literature treats governance effectiveness as a “black box,” failing to specify the precise channels through which policies like the Chain Leader mechanism operate to reduce environmental opportunism. Third, institutional contingency oversight: although institutional theory suggests that external pressures shape organizational responses to governance interventions, empirical research has not systematically examined how different isomorphic pressures moderate anti-greenwashing policy effectiveness. Fourth, empirical validation gap: despite growing recognition of greenwashing’s systematic nature in industrial chains, large-scale quantitative studies testing hybrid governance approaches remain rare.
These interconnected gaps underscore the need for comprehensive empirical analysis that can illuminate both the operational mechanisms and boundary conditions of embedded autonomy approaches to environmental governance. Our investigation of China’s Chain Leader Policy directly addresses these limitations through systematic examination of mediating pathways (supply–demand stabilization, coordination cost reduction, collaborative innovation enhancement, and external scrutiny amplification) and moderating institutional conditions, thereby contributing to both theoretical advancement and practical policy design for sustainable industrial development. Based on this theoretical analysis and research gap identification, the following section develops specific research hypotheses to guide our empirical investigation.

3. Hypothesis Development

Building on our dual-theory integration framework, this section develops hypotheses regarding both the mediating mechanisms (derived from embedded autonomy theory) and moderating mechanisms (derived from institutional pressure theory) through which the Chain Leader Policy influences corporate greenwashing behavior.

3.1. The Chain Leader Policy and the Curbing of Corporate Greenwashing

Embedded autonomy theory posits that the effectiveness of governance does not derive from the distant and coercive exercise of power, but requires governments to simultaneously maintain autonomy and embeddedness [19]. This implies that when governance actors are themselves embedded within socio-economic networks, they can effectively reshape network structures and cultivate relational ties. The Chain Leader Policy, as a governance mechanism through which the government appropriately embeds itself in the market, enhances interactions among nodes within the industrial chain and connects them with external resources [34]. Consequently, it curbs corporate greenwashing through both supply chain-level and social network-level mechanisms.
At the supply chain level, the embedded autonomy of the chain leader is manifested in its role as a “built-in coordinator.” Leveraging its public credibility and information advantages, the chain leader can proactively identify and reinforce weak links within the supply chain [10], thereby enhancing the continuity and stability of green production among enterprises. This governance approach reduces firms’ incentives to engage in greenwashing as a short-term response to financial constraints or market pressures [35].
At the social network level, the embedded autonomy of the chain leader manifests in its role as a “network leverage actor.” By mobilizing broader social forces beyond market transactions—including universities, research institutes, media, and public attention [8]—the chain leader facilitates the flow of innovation resources across networks. This reduces the uncertainty and costs associated with corporate green R&D, while simultaneously densifying monitoring networks. Consequently, it increases both the exposure risks of greenwashing practices and the associated costs under reputation spillover mechanisms [36].
Based on this theoretical framework, we propose:
The Chain Leader Policy operates through a distinctive dual-coordination mechanism. Chain Leaders, as government officials, function as institutional facilitators who establish the governance framework, coordinate cross-enterprise relationships, and ensure policy compliance, while Leading Firms, as dominant enterprises, serve as market catalysts that drive technological diffusion, supply chain integration, and competitive benchmarking within the industrial network. This bifurcated yet synergistic approach enables the policy to address greenwashing through both institutional enforcement via administrative oversight and market dynamics via competitive pressure and technological upgrading, creating multiple complementary pathways for environmental governance effectiveness.
H1. 
The implementation of the Chain Leader Policy can effectively curb corporate greenwashing behavior.
Unlike industry self-regulation mechanisms prevalent in some Western contexts or purely mandate-driven regulatory approaches, the Chain Leader’s distinctive institutional position as an embedded governmental authority enables it to address greenwashing through dual mechanisms: coordination (reducing structural incentives for greenwashing behavior) and supervision (elevating the costs and risks associated with greenwashing practices), as will be elaborated in the following theoretical mechanisms.

3.2. The Mediating Mechanisms

3.2.1. Supply–Demand Stability

Drawing on resource constraint theory, limited resources restrict decision-making space and lead to suboptimal choices [37]. Resource-constrained firms may perceive symbolic gestures as sufficient to maintain legitimacy and competitive advantage, even when failing to implement substantive environmental changes [38]. Volatile supply–demand relationships compel firms to hoard resources for survival challenges, creating inefficient resource allocation that deprives substantive environmental investments [39] and fosters greenwashing reliance [35,40]. Supply–demand stability builds inter-firm trust, simplifying contracts and promoting green investments. This reduces greenwashing incentives while enabling collaborative environmental innovation, ultimately diminishing fake green claims.
Empirical evidence supports this relationship: Liu et al. [27] demonstrate that stable supplier relationships reduce firms’ short-term financial pressures and enable long-term environmental investments. Similarly, Kim and Chai [41] find that supply chain stability creates conditions for authentic environmental practices by reducing uncertainty-driven opportunistic behaviors. Chen et al. [42] further show that when firms operate within stable supply networks, they are less likely to engage in symbolic environmental actions and more likely to implement substantive green initiatives.
Unlike corporate entities that prioritize profit maximization, the government functions as an impartial coordinator capable of enhancing contractual credibility through mechanisms such as credit endorsement. This institutional role raises the costs of cooperation breaches, establishes reliable long-term expectations for inter-firm relationships, and ultimately fosters the development of industrial chains characterized by stable upstream-downstream linkages and resilient supply–demand dynamics. Accordingly, we hypothesize:
H2a. 
The Chain Leader Policy curbs corporate greenwashing by stabilizing supply–demand relationships.

3.2.2. Supply–Demand Coordination Costs

Supply–demand mismatches expose firms to varying degrees of disruption risks that not only impair demand responsiveness but also threaten customer safety [43]. More critically, perceived disruption risks force managers to weigh project, market, and supplier characteristics, thereby increasing supply chain decision complexity [44] and discouraging positive attitudes toward long-term environmental objectives, ultimately promoting passive environmental practices [41].
Research consistently demonstrates this relationship: Zsidisin [43,44] shows that supply chain coordination failures create resource allocation inefficiencies that discourage long-term environmental investments. Cachon et al. [45] provide empirical evidence that firms with higher supply–demand coordination costs are more likely to adopt short-term, symbolic environmental strategies rather than substantive green practices. More recently, Zhang et al. [46] find that coordination cost reductions through government intervention significantly decrease corporate greenwashing propensity by enabling firms to allocate resources more efficiently toward genuine environmental improvements.
The Chain Leader Policy mitigates these constraints through government-led coordination mechanisms. By strengthening government-firm and inter-firm linkages, chain leaders integrate industrial chain information, eliminate critical bottlenecks, and guide precise resource matching. This reduces supply shortages or surpluses from information asymmetries while providing targeted support to weak links, accelerating supply response. Furthermore, chain leaders stabilize expectations through planning, preventing capacity imbalances from blind investments, thereby enhancing supply–demand alignment. Accordingly, we hypothesize:
H2b. 
The Chain Leader Policy curbs corporate greenwashing by reducing supply–demand coordination costs.

3.2.3. Green Collaborative Innovation

Drawing on the resource-based view, a firm’s competitive advantage stems from its unique resources and capabilities, which shape its competitive logic [47]. Green collaborative innovation capability represents one such competitive advantage. From the innovation perspective, Long et al. [48] demonstrate that green innovation, as a critical organizational capability, provides firms with sustained competitive advantages and facilitates sustainable development. Enhanced green innovation capabilities improve resource utilization efficiency and reduce environmental compliance costs, thereby diminishing incentives for greenwashing in market competition [49,50,51]. From the collaboration perspective, corporate social responsibility (CSR) orientation generates supply chain spillover effects that strengthen green strategic alignment and information sharing [52]. This creates a governance mechanism characterized by demonstration effects and competitive pressures that suppresses greenwashing. Furthermore, the complementary resources mobilized during cross-organizational knowledge integration, along with the resulting symbiotic specialized assets and knowledge-sharing protocols, constitute sources of interorganizational competitive advantage [53]. These factors raise imitation barriers for greenwashing practices and reduce the likelihood of simplistic replication.
The Chain Leader Policy facilitates the establishment of green technology alliances among industrial chain enterprises, universities, and research institutions, accelerating technology sharing while distributing innovation risks. Simultaneously, chain leaders rationally coordinate resources across the industrial chain, encouraging lead firms to share green technologies and promoting technology spillovers throughout the chain [12]. This fosters organic clustering of chain enterprises [34], enabling efficient coordination and collaborative innovation. Accordingly, we propose:
H2c. 
The Chain Leader Policy inhibits corporate greenwashing by promoting inter-firm green collaborative innovation.

3.2.4. External Attention

Heightened external attention constrains corporate greenwashing by reducing information asymmetry and elevating reputation costs. Firms typically possess superior knowledge of their actual environmental performance compared to external stakeholders, creating an information gap that facilitates greenwashing. However, institutional investors and analysts play a pivotal monitoring role in markets [54,55], leveraging their professional analytical capabilities to narrow this information disparity and influence managerial disclosure choices [56], while simultaneously amplifying board incentives to enhance oversight effectiveness, thereby curbing greenwashing behaviors [57]. Additionally Furthermore, corporate reputation represents a long-accumulated intangible asset whose damage incurs substantial recovery costs [58]. Increased media scrutiny accelerates exposure of corporate misconduct through multiple channels [59,60], inflicting reputational damage that compels firms to adopt more substantive environmental actions and reduce greenwashing [61].
The implementation of the Chain Leader Policy not only signals “high potential with strong oversight” through published industrial chain lists attracting intensive investor tracking and proactive media focus to generate sustained market pressure, but also creates cluster visibility effects by promoting organic clustering and effective linkage among upstream and downstream firms. This enables small and medium enterprises to leverage leading firms’ prominence for greater external attention. Accordingly, we hypothesize:
H2d. 
The Chain Leader Policy inhibits corporate greenwashing by enhancing firms’ external attention.

3.3. The Moderating Mechanisms

Institutional pressure theory posits that corporate behavior is driven not only by efficiency considerations but also constrained by external institutional environments, categorizing these pressures into coercive isomorphism, mimetic isomorphism, and normative isomorphism [62]. This theoretical framework provides critical insights into how broader social norms, regulations, and expectations shape organizational environmental practices [63].

3.3.1. Coercive Isomorphism

Coercive isomorphism refers to the pressure forcing firms to adopt specific behaviors or structures due to formal or informal mandates from authoritative entities such as governments, regulators, and industry associations [62]. It can amplify the Chain Leader Policy’s inhibitory effect on corporate greenwashing by strengthening regulatory rigidity. Existing research demonstrates that under strong coercive isomorphism, corporate environmental behavior receives heightened scrutiny from government and regulatory bodies, creating more urgent compliance demands [64,65,66]. Regarding enforcement, non-compliance not only incurs direct penalties but also triggers chain-level resource constraints including revoked policy support and lost cooperation opportunities, thereby elevating the risk costs of greenwashing and intensifying the policy’s deterrent effect. In information disclosure, compulsory measures like government penalties prove more effective than incentives in standardizing ESG reporting [67].
Stringent environmental disclosure requirements make greenwashing attempts more detectable, enabling the Chain Leader Policy’s information transparency function to operate at full capacity. We therefore hypothesize:
H3a. 
The inhibitory effect of the Chain Leader Policy on corporate greenwashing strengthens with the intensity of coercive isomorphism.

3.3.2. Mimetic Isomorphism

Mimetic isomorphism refers to the pressure that compels firms to emulate the behaviors, structures, or strategies of other successful or mainstream organizations as a risk-reduction mechanism in contexts characterized by uncertainty or ambiguous goals [62]. This form of institutional pressure may weaken the Chain Leader Policy’s inhibitory effect on corporate greenwashing through the diffusion of herd behavior logic. While the policy implementation promotes authentic environmental practices by establishing clear standards and providing exemplary guidance, heightened mimetic pressures can reinforce industry-wide inertia in greenwashing behaviors, thereby complicating policy enforcement. In such scenarios, firms tend to reference peer greenwashing practices—when observing competitors gaining market share and customer loyalty through sustainability branding, they may perceive similar green marketing strategies as necessary and ultimately engage in greenwashing through behavioral imitation [68,69]. This collective emulation of greenwashing practices may dilute the authority of the green standards established by the Chain Leader Policy and potentially foster collusion to circumvent constraints, ultimately undermining its guiding function. Accordingly, we hypothesize:
H3b. 
The inhibitory effect of the Chain Leader Policy on corporate greenwashing weakens with the intensity of mimetic isomorphism.

3.3.3. Normative Isomorphism

Normative isomorphism denotes the pressure that induces firms to voluntarily align their behaviors with shared values, professional norms, or ethical expectations transmitted through professional communities, educational systems, or social networks [62]. When such pressure intensifies, firms develop deeper value-based identification with “green compliance,” making the substantive environmental requirements embedded in the Chain Leader Policy more likely to be internalized as taken-for-granted obligations rather than perceived as additional burdens. To effectively respond to NGO expectations [70], gain recognition for sustainability certification values [71], and secure advantageous positions within social trust networks [72], firms become increasingly motivated to actively participate in the industrial chain collaborative supervision system and trust linkage mechanisms established by the Chain Leader Policy as normative pressures strengthen. This voluntary integration helps maintain the green value consensus advocated by chain leaders while reducing opportunistic behaviors like greenwashing. We therefore hypothesize:
H3c. 
The inhibitory effect of the Chain Leader Policy on corporate greenwashing strengthens with the intensity of normative isomorphism.
In summary, the research framework of this study is illustrated in Figure 1.

3.4. Boundary Conditions: Firm and Industry Characteristics

While the Chain Leader Policy operates through systematic coordination mechanisms across industrial chains, the effectiveness of these mechanisms may vary significantly depending on firm-level and industry-level characteristics. Two critical boundary conditions warrant theoretical consideration: the level of firm internationalization and industry concentration. These characteristics fundamentally alter the institutional environment within which the Chain Leader Policy operates, thereby moderating its effectiveness in curbing corporate greenwashing.

3.4.1. Level of Internationalization

The degree of firm internationalization creates differential exposure to environmental standards and reputational pressures that can amplify the Chain Leader Policy’s effects on greenwashing behavior. Drawing on institutional theory [73] and stakeholder theory [74], firms with higher levels of internationalization operate within multiple institutional environments simultaneously, subjecting them to more stringent environmental expectations from diverse stakeholder groups.
Highly internationalized firms face elevated environmental scrutiny from international markets, regulatory bodies, and global supply chain partners. As demonstrated by research on firm self-regulation in global contexts [75], international environmental standards impose substantive compliance costs that make symbolic environmental actions (greenwashing) increasingly ineffective as legitimacy strategies. When operating across multiple regulatory jurisdictions, these firms cannot rely on information asymmetries that typically enable greenwashing in domestic contexts, as international stakeholders often possess sophisticated environmental monitoring capabilities.
Furthermore, internationalized firms’ reputational capital spans multiple markets, making the reputational costs of detected greenwashing exponentially higher than those faced by domestically-focused firms. A greenwashing scandal in one market can trigger cascading reputational damage across all operational territories, threatening market access and stakeholder relationships globally. Under these heightened stakes, the Chain Leader Policy’s coordination and monitoring mechanisms provide valuable institutional support for implementing genuine environmental practices rather than engaging in deceptive green marketing.
Interaction with Core Mechanisms: Higher internationalization amplifies all four mechanisms identified in H2a–H2d. International firms benefit more from supply–demand stability (H2a) due to complex global supply networks, experience greater coordination cost reductions (H2b) through standardized international practices, gain enhanced access to global green innovation networks (H2c) as shown in green innovation research [76], and face intensified external scrutiny from international stakeholders (H2d).
In contrast, firms with limited international exposure primarily operate within domestic institutional environments, where information asymmetries between firms and stakeholders remain more pronounced. These firms face comparatively lower external pressure for environmental transparency and may view the Chain Leader Policy’s requirements as additional regulatory burdens rather than strategic opportunities for environmental leadership. Accordingly, we hypothesize:
H4a. 
The inhibitory effect of the Chain Leader Policy on corporate greenwashing strengthens with higher levels of firm internationalization.

3.4.2. Industry Concentration

Industry structure fundamentally shapes the effectiveness of the Chain Leader Policy through its impact on market power distribution and coordination capacity within industrial chains. In highly concentrated industries, a small number of dominant firms possess substantial market power and resource integration capabilities that enable more effective environmental governance across supply networks.
Drawing on network governance theory [77] and strategic network perspectives [78], leading firms in concentrated industries occupy central positions within industrial networks, granting them significant influence over upstream and downstream partners’ environmental practices. These structural positions, as conceptualized in network theory [79], enable chain leaders to establish industry-wide environmental standards, coordinate green technology diffusion, and monitor compliance more effectively than their counterparts in fragmented industries. Their market dominance provides both the incentive to maintain industry reputation and the resources necessary to enforce environmental requirements throughout the supply chain.
Moreover, concentrated industries typically feature more stable inter-firm relationships and clearer hierarchical structures that facilitate the Chain Leader Policy’s coordination mechanisms [80]. The presence of dominant firms reduces coordination costs and information asymmetries, enabling more efficient implementation of environmental initiatives. When chain leaders in concentrated industries commit to reducing greenwashing, their influence cascades throughout the industry, creating strong demonstration effects and competitive pressures that discourage opportunistic environmental behaviors among smaller firms.
Interaction with Core Mechanisms: Higher industry concentration enhances the effectiveness of all four policy mechanisms. Dominant firms in concentrated industries can more effectively stabilize supply–demand relationships (H2a) through their market power, achieve greater coordination cost reductions (H2b) due to clearer hierarchical structures, facilitate broader green collaborative innovation (H2c) through industry-wide influence, and generate more concentrated external attention (H2d) that affects entire industry segments.
Conversely, in fragmented industries characterized by numerous small competitors, market power is dispersed, and no single firm possesses sufficient influence to drive industry-wide environmental standards. The absence of dominant coordinators makes it difficult to establish unified environmental practices or monitor compliance across dispersed networks. As organizational theory suggests [81], individual firms in fragmented industries may perceive environmental investments as competitive disadvantages rather than collective benefits, leading to greater reliance on symbolic environmental actions to maintain legitimacy while minimizing costs. Accordingly, we hypothesize:
H4b. 
The inhibitory effect of the Chain Leader Policy on corporate greenwashing strengthens in industries with higher concentration levels.
These boundary conditions illuminate the contingent nature of hybrid governance mechanisms in environmental regulation. The Chain Leader Policy’s effectiveness depends not only on its institutional design but also on the broader structural characteristics of firms and industries within which it operates, which systematically moderate the four core mechanisms through which the policy reduces greenwashing behavior.

4. Methodology

Our empirical methodology addresses critical challenges in policy evaluation research through a comprehensive analytical framework grounded in established econometric principles. Policy evaluation in quasi-experimental settings requires careful attention to endogeneity concerns, selection bias, and confounding factors that could compromise statistical inference [82]. This study employs a multi-period difference-in-differences approach, which is widely recognized as an effective approach for policy evaluation where randomized controlled trials are infeasible [83]. The method’s effectiveness stems from its ability to simultaneously control for time-invariant unobserved heterogeneity through entity fixed effects and common temporal shocks through time fixed effects, thereby isolating the causal impact of the Chain Leader Policy on corporate greenwashing behavior [84].
Recent methodological advances have addressed concerns about heterogeneous treatment effects in staggered adoption designs, particularly the work by Callaway and Sant’Anna [85] and Goodman-Bacon [86], which we incorporate through robust estimation procedures and comprehensive sensitivity analyses. Our variable construction strategy follows established practices in corporate environmental research, with the greenwashing measure building upon the theoretical framework developed by Lyon and Maxwell [87] and empirically validated by Yu et al. [88]. The integration of multiple data sources and systematic robustness checks ensures the reliability and validity of our empirical findings, consistent with best practices in corporate governance research [89].

4.1. Data and Sample

The Chain Leader Policy was first implemented in 2017 in Changsha City, Hunan Province. To ensure symmetry in the pre- and post-policy time windows, this study selects A-share listed companies in Shanghai and Shenzhen stock exchanges from 2011 to 2023 (six years before and after policy implementation) as the research sample.
To ensure the validity and comparability of our empirical analysis, we implement several sample selection criteria based on established methodological considerations in corporate environmental research. Financial firms are excluded because they operate under fundamentally different regulatory frameworks, accounting standards, and business models compared to non-financial enterprises. Their balance sheet structures, characterized by deposits and loans rather than traditional operating assets and liabilities, make financial ratios and performance metrics non-comparable with industrial firms. Moreover, financial institutions face distinct environmental disclosure requirements and regulatory oversight that differ substantially from the manufacturing and service sectors primarily targeted by the Chain Leader Policy. ST (Special Treatment) companies are excluded due to their financial distress status, which creates systematic differences in strategic behavior, resource allocation decisions, and disclosure incentives. These firms face trading restrictions, heightened delisting risks, and intensive regulatory scrutiny that fundamentally alter their environmental reporting behavior and greenwashing propensity compared to financially healthy enterprises. Including such firms would introduce significant sample heterogeneity and potentially confound the identification of the Chain Leader Policy’s effects on normal operating companies.
Our sample processing follows established methodological protocols in corporate governance research to ensure statistical validity and cross-study comparability. The sample selection criteria are grounded in theoretical and empirical considerations extensively validated in prior research.
We implement four systematic processing steps: (1) Financial firms are excluded following the standard practice established by Fama and French [90] and widely adopted in corporate governance research. This exclusion is theoretically justified because financial firms operate under distinct regulatory regimes, utilize fundamentally different accounting standards, and face unique capital structure constraints that render traditional financial ratios non-comparable with industrial firms [91]. (2) Special Treatment (ST) and Particular Transfer (PT) companies are excluded following the methodology established in Chinese corporate governance research [92]. These firms under regulatory special treatment due to financial distress exhibit systematic differences in strategic behavior and disclosure incentives that could confound our policy evaluation. (3) Firms with missing or abnormal data for key variables are removed following data quality protocols established by Petersen [93] for panel data analysis. (4) Continuous variables are winsorized at the 1% and 99% percentiles following standard practice [94] to mitigate the influence of extreme outliers while preserving the underlying data distribution.
The final dataset consists of 12,334 firm-year observations in an unbalanced panel. This processing approach excludes approximately 3.2% of initial observations due to data quality and comparability concerns, consistent with loss rates reported in similar studies using corporate databases [95].
The raw data on corporate greenwashing are obtained from ESG ratings provided by Bloomberg and HuaZheng. Data on the Chain Leader Policy are manually collected from policy implementation documents published on government websites and economic development zone portals. Data on firms’ green joint patent applications and media coverage come from the CNRDS database, while investor attention data are sourced from Baidu Search Index. Provincial-level environmental NGO counts are manually compiled from the “Environmental Protection” category in the NGO directory on China Development Brief. Other firm-level variables are primarily drawn from the CSMAR database, and city-level data mainly come from relevant years of the China City Statistical Yearbook and government work reports.
Data quality and reliability are ensured through systematic validation procedures following established protocols in large-scale corporate database research [96]. We implement comprehensive quality controls including: (1) logical consistency verification to ensure financial ratios fall within economically meaningful ranges and percentage variables remain within appropriate bounds; (2) cross-database validation for key firm identifiers and fundamental variables against alternative data sources where available; (3) temporal consistency analysis to identify sudden jumps or structural breaks that could indicate data entry errors, following diagnostic frameworks developed for corporate databases [97]; and (4) multivariate outlier detection using Mahalanobis distance criteria adapted for panel data applications [98]. This comprehensive data quality assurance process results in high reliability of our empirical findings and minimizes potential for spurious results arising from data quality issues.
The Chain Leader Policy’s institutional uniqueness lies in its tri-level governance architecture that systematically addresses the coordination failures enabling greenwashing practices. At Level 1, Administrative Coordination Authority operates through Chain Leaders—appointed government officials (typically at vice-mayor or department director level) who possess cross-sectoral coordination authority, resource allocation discretion, and network convening power to coordinate environmental compliance across industry boundaries. At Level 2, Market Coordination Mechanisms leverage Leading Firms (dominant enterprises within each industrial chain) as market-based enforcement agents through green technology spillover requirements, supply chain environmental standards, and competitive benchmarking systems. At Level 3, Social Network Mobilization enables Chain Leaders to activate broader social oversight through media integration, academic collaboration, and public information systems that enable stakeholder monitoring of industrial chain environmental practices.
This tri-level architecture enables the policy to address greenwashing’s multi-stakeholder complexity through institutional mechanisms that traditional environmental regulation lacks.

4.2. Model Settings

The selection of an appropriate empirical methodology is crucial for establishing causal relationships between policy interventions and corporate behavioral outcomes. The Chain Leader Policy exhibits a staggered rollout pattern across different prefecture-level cities over multiple years, creating a quasi-natural experimental setting where firms are exogenously assigned to treatment based on their geographic location and policy timing rather than their own characteristics.
This study employs a multi-period difference-in-differences (DID) approach as the primary identification strategy for several reasons. The DID framework allows us to control simultaneously for time-invariant firm heterogeneity through firm fixed effects and common temporal shocks through year fixed effects, thereby isolating the policy’s causal impact on corporate greenwashing behavior from confounding factors. This exogenous assignment mitigates endogeneity concerns that could confound traditional cross-sectional or time-series analyses.
The selection of multi-period difference-in-differences methodology over alternative causal identification strategies is based on systematic evaluation of methodological appropriateness and practical constraints inherent in our research setting. We considered four primary alternatives: instrumental variables (IV), regression discontinuity design (RDD), matching methods, and synthetic control approaches.
Instrumental variables estimation was deemed inappropriate due to the absence of valid instruments that satisfy both relevance and exclusion restrictions for the Chain Leader Policy implementation. Unlike studies examining market-based regulations where natural instruments may exist, the administrative nature of our policy intervention lacks clear exogenous determinants that would not directly affect corporate greenwashing behavior [99]. Regression discontinuity design was not feasible because the Chain Leader Policy implementation did not follow clear cutoff rules or threshold-based assignment mechanisms required for valid RDD application [100].
Matching methods, including propensity score matching, were considered but ultimately rejected due to fundamental limitations in addressing time-varying confounders. While matching can control for observable pre-treatment characteristics [101], it cannot account for unobserved time-varying factors that may simultaneously influence policy adoption and environmental behavior—a critical limitation in our multi-year panel setting. Synthetic control methods, though powerful for aggregate-level policy evaluation [102], are less suitable for firm-level analysis with large cross-sectional dimensions and limited pre-treatment periods.
In contrast, the multi-period DID approach optimally exploits the staggered implementation pattern of the Chain Leader Policy across cities and years, providing the exogenous variation necessary for causal identification while controlling for both time-invariant firm heterogeneity and common temporal trends [103]. The method’s robustness has been demonstrated in numerous policy evaluation studies with similar institutional settings [104,105].
This study first employs a multi-period DID model to assess the impact of the Chain Leader Policy on corporate greenwashing, as specified in Equation (1). Subsequently, recognizing the endogeneity and efficiency issues associated with the stepwise approach for testing mediation effects, we adopt the two-step method proposed by Jiang [106]. Equation (2) examines whether the Chain Leader Policy has the expected effect on mechanism variables, while the impact of mechanism variables on the dependent variable is confirmed through theoretical and empirical evidence. Finally, Equation (3) tests whether the three types of institutional pressures moderate the inhibitory effect of the Chain Leader Policy on greenwashing.
Gw s i , t = α 0 + α 1 C h ain Leader i , t + α x Control i , t + μ i + μ t + ε i , t
M i , t = β 0 + β 1 C h ain Leader i , t + β x C ontrol s i , t + μ i + μ t + ε i , t
Gw s i , t = γ 0 + γ 1 C h ain Leader i , t + γ 2 Pressure i , t + γ 3 Pressure i , t × C h ain Leader i , t + γ x C ontrol s i , t + μ i + μ t + ε i , t
In the model specifications, Gws represents the degree of corporate greenwashing, ChainLeader denotes the dummy variable for the Chain Leader Policy, M stands for the mechanism variables, Pressure indicates the moderating variables, and Controls refers to the control variables. The terms μᵢ and μₜ capture firm fixed effects and year fixed effects, respectively, while εᵢ,ₜ represents the random error term. The coefficients α0, β0, and γ0 correspond to constant terms. Subscripts i and t index firms and years, respectively, with standard errors clustered at the city level.
To ensure robust causal identification, this study implements a systematic validation strategy addressing the core identification challenges in quasi-experimental designs. Following established protocols in policy evaluation research for addressing fundamental assumptions underlying difference-in-differences estimation [103,107], our comprehensive robustness framework encompasses four critical validation dimensions:
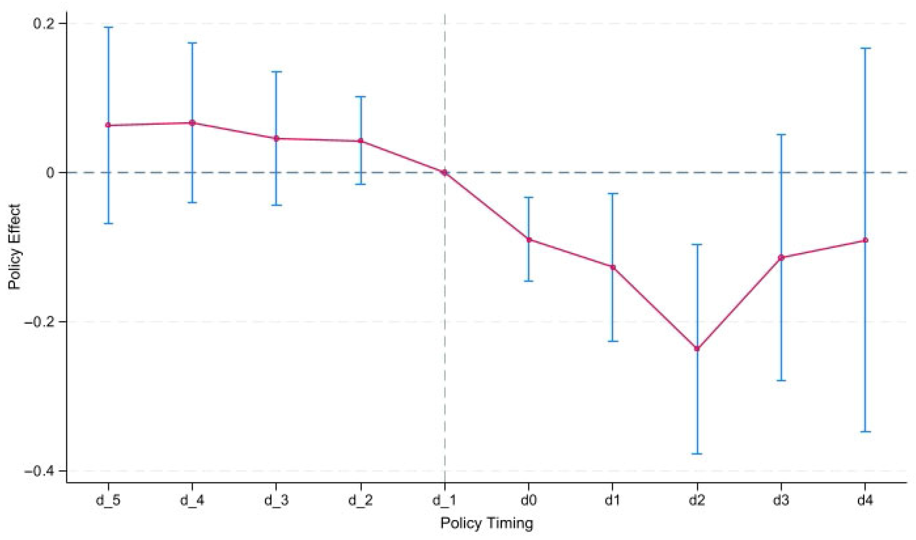
First, parallel trends verification through pre-treatment anticipatory effects testing to validate the fundamental DID assumption that treatment and control groups would follow similar trajectories absent the intervention.
Second, placebo testing using both temporal (testing non-treatment periods) and spatial (testing non-treatment regions) approaches to verify that observed effects are genuinely attributable to the policy intervention rather than spurious correlations or unobserved confounding factors.
Third, selection bias controls through predetermined firm characteristics and propensity score matching techniques to address potential systematic differences between treatment and control groups that could confound our estimates.
Fourth, sensitivity analyses employing alternative model specifications, estimation methods, and sample definitions to assess the stability of our findings across different analytical approaches.
This multi-layered validation strategy addresses the fundamental threats to causal inference in difference-in-differences designs—ensuring treatment exogeneity, ruling out alternative explanations, and validating model assumptions. The detailed implementation of each validation approach is presented in Section 5.2, providing comprehensive empirical evidence supporting our causal inferences.

4.3. Model Application Conditions and Boundary Analysis

The validity and generalizability of our findings depend on specific theoretical assumptions, methodological requirements, and institutional conditions. This section systematically examines these prerequisites to guide future research applications and policy implementations across different contexts.

4.3.1. Methodological Prerequisites

Our empirical strategy employs three interconnected model specifications—baseline difference-in-differences (Equation (1)), mediation analysis (Equation (2)), and institutional moderation (Equation (3))—each requiring distinct methodological prerequisites.
Our empirical framework requires three methodological foundations for valid causal inference. First, policy exogeneity demands that Chain Leader Policy implementation follows administrative logic rather than firm-specific environmental performance, which our institutional analysis confirms through evidence of administrative hierarchy-driven rollout. Second, temporal stability requires consistent policy mechanisms throughout the analysis period, validated through our robustness checks across multiple implementation phases. Third, treatment independence assumes limited spillover effects between treatment and control groups, though this may be challenged in highly integrated industrial networks where supply chains cross policy boundaries.
The mediation analysis framework operates under distinct validity conditions: mechanism measurability through observable firm behaviors, temporal sequencing following policy implementation, and theoretical independence among proposed pathways. Our four-pathway approach (supply–demand stability, coordination costs, collaborative innovation, external scrutiny) satisfies these requirements through established proxies that demonstrate minimal cross-correlation and clear theoretical distinctions.

4.3.2. Institutional Prerequisites

Cross-context applicability requires three institutional capabilities that determine policy effectiveness:
Administrative Coordination Capacity: Government officials must possess cross-sectoral authority to facilitate multi-stakeholder collaboration. This capacity exists in administrative state traditions (e.g., East Asian developmental states, continental European corporatist systems) but may be limited in market-oriented systems with restricted government roles.
Resource Allocation Authority: Policymakers require meaningful incentives for environmental compliance through regulatory support, financial instruments, or network facilitation. This authority varies significantly across political systems and determines the policy’s enforcement credibility.
Network Convening Legitimacy: Social acceptance of government roles in coordinating business-academia-research partnerships reflects cultural and institutional contexts. High-trust societies with corporatist traditions typically demonstrate greater legitimacy than individualistic, market-oriented environments.

4.3.3. Sectoral and Temporal Conditions

The empirical framework exhibits optimal effectiveness under specific structural conditions:
Industrial Structure Requirements: Manufacturing-intensive economies with clear upstream-downstream relationships facilitate coordination mechanisms central to policy effectiveness. Network-dense industries where firms maintain multiple inter-organizational relationships enable social network mobilization pathways. Our heterogeneity analysis confirms strongest effects in Equipment Manufacturing (−0.160) and Biopharmaceuticals (−0.153), while limited effectiveness appears in rapidly changing sectors like New Energy Vehicles (−0.027).
Temporal Stability Requirements: Model validity requires stable institutional environments, sufficient policy learning periods (typically 2–3 years for coordination mechanisms to mature), and technological stability that maintains supply chain coordination structures. Rapid technological change or major institutional transitions may invalidate core assumptions.

4.3.4. Performance Boundaries and Effect Magnitudes

Our finding of 10.8% greenwashing reduction provides a benchmark for policy effectiveness expectations under optimal conditions. This effect magnitude is conditional on three performance boundaries:
Firm Characteristics: Enhanced effectiveness in state-owned enterprises (coefficient difference: 0.151), firms with stronger green awareness (coefficient difference: 0.172), and highly internationalized companies (coefficient difference: 0.080) suggests that organizational capacity and external pressure amplify policy transmission.
Regional Variations: Effectiveness gradients across Eastern (−0.142), Central (−0.089), and Western (−0.058) regions reflect institutional maturity differences. Eastern regions leverage market coordination mechanisms, while Western regions rely on direct government intervention due to limited coordination infrastructure.
Industrial Chain Specificity: Policy transmission varies systematically across industrial chains, with mature sectors demonstrating stronger effects due to established coordination standards and stable network relationships.

4.3.5. Application Guidelines and Transferability

For practical implementation, policymakers should assess three readiness criteria before adopting similar approaches:
  • Institutional Readiness Assessment: Evaluate administrative capacity, resource allocation authority, and social legitimacy for government-business coordination
  • Sectoral Suitability Analysis: Prioritize implementation in sectors with stable supply chains, established technical standards, and mature inter-firm relationships
  • Regional Adaptation Strategy: Design differentiated approaches reflecting local institutional environments rather than uniform implementation
Transferability Considerations: While context-dependent, the policy’s dual-coordination mechanism (administrative + market) and tri-level governance architecture represent transferable institutional innovations. Countries with strong administrative traditions could emphasize formal coordination components, while market-oriented systems might focus on network mobilization and competitive enforcement mechanisms.

4.4. Variable Measurement

4.4.1. Dependent Variable

Corporate Greenwashing (Gws) is defined as corporate practices of misleading stakeholders by disclosing extensive ESG data to create a transparent public image while concealing poor actual ESG performance [88]. Since ESG data are unaudited, the gap between disclosed ESG information and true ESG performance creates opportunities for greenwashing. Following Zhang [46], this study quantifies corporate greenwashing in ESG disclosures based on ESG rating divergence, calculated as follows:
Gw s i , t = ESG disi , t ESG dis ¯ σ ESG dis ESG peri , t ESG per ¯ σ ESG per
Here, ESG disi , t represents the ESG disclosure score of firm i in year t, while ESG dis ¯ and σ ESG dis denote the mean and standard deviation of ESG disclosure scores for firm i’s industry in year t, respectively. These disclosure metrics are measured using Bloomberg ESG scores to assess the volume of disclosed ESG key indicators. Similarly, ESG peri , t indicates the ESG performance score of firm i in year t, with ESG per ¯ and σ ESG per representing the industry mean and standard deviation of ESG performance scores in year t, respectively. The performance metrics are evaluated using HuaZheng ESG scores to capture firms’ actual ESG performance.

4.4.2. Independent Variable

Drawing on the methodology of Zhan and Liang [10], this study constructs a dummy variable ChainLeader to capture whether a firm was exposed to the Chain Leader Policy shock. It is important to note that this variable specifically measures the policy intervention led by government-appointed Chain Leaders, who are administrative officials, not the presence of Leading Firms, which are dominant enterprises within the industrial chain. The policy effect captured here reflects the government coordination mechanism rather than market-based leadership effects. ChainLeader is defined as ChainLeader = Treat × Post, where the Treat variable equals 1 if: (1) the prefecture-level city where the firm is located implemented the Chain Leader Policy by appointing government officials as Chain Leaders, and (2) the firm operates within the relevant industrial chain designated for this policy intervention; otherwise it is 0. The Post variable equals 1 for years following policy implementation in the firm’s location, and 0 otherwise.

4.4.3. Mediating Variables

(1) Supply–Demand Stability
Following Liu and Zheng [108], supplier relationship stability (SuppSt) is measured by dividing the number of non-newly-appearing suppliers in a firm’s annual list of top five suppliers by five. Customer relationship stability (CusSt) is calculated analogously. Higher values indicate greater stability in the firm’s supply chain relationships. (The impact of supply chain finance on supplier stability: The mediation role of corporate risk-taking)
(2) Supply–Demand Coordination Costs
Following Cachon et al. [45], the supply–demand coordination costs (Cost_Coor) is measured by the deviation of a firm’s production volatility from demand volatility. The specific calculation formula is as follows:
Cost - Coor i , t = σ Production i , t σ Demand i , t
Production i , t = Cos t i , t + Inv i , t Inv i , t 1
In Equation (5), (σ) denotes the standard deviation of the variables, while the numerator and denominator represent the volatility of production and demand, respectively. A larger deviation between production and demand indicates lower precision in supply–demand matching, implying higher supply chain coordination costs for firms. The production quantity of firms is calculated using Equation (6), where Cost represents the firm’s operating costs and Inv denotes the net value of year-end inventory. Firm demand is proxied by operating costs.
(3) Green Collaborative Innovation
Following the approach of Tian and Shi [109], this study measures firms’ green collaborative innovation level (GreInvja) by summing the number of jointly applied green invention patents and green utility model patents.
(4) External Attention
Following the approach of Li et al. [110], external attention is captured through investor attention (Index, measured by annual Baidu search frequency for the firm) and media attention (News, measured by annual total news mentions of the firm).

4.4.4. Moderating Variables

Referring to relevant studies [16,24], we measure coercive isomorphism using government environmental regulation intensity (Reg, calculated as the ratio of environmental keyword frequency to total words in municipal government work reports [111], mimetic isomorphism using industry-average greenwashing levels at 2-digit (Imi1) and 3-digit (Imi2) Industry codes, and normative isomorphism using provincial environmental NGO counts by year-end (NGO).

4.4.5. Control Variables

With reference to relevant literature [88], we control for firm characteristics including size (Size, natural logarithm of total assets plus 1) and age (Age, natural logarithm of listing years plus 1); operational features including leverage ratio (Lev, total debt divided by total assets), return on assets (ROA, net income divided by average total assets), growth opportunities (Growth, revenue growth rate), and cash flow ratio (Cashflow, operating cash flow divided by total assets); governance factors including board size (Board, natural logarithm of directors plus 1), independent director ratio (Indep, independent directors divided by total directors), and top five shareholders’ ownership (Top5); and regional factors including GDP per capita (Gdp), financial development level (Finance, loan balance divided by GDP), and fiscal expenditure ratio (Budget, fiscal expenditure divided by GDP).

5. Empirical Analysis

5.1. Descriptive Statistics

Table 2 presents the descriptive statistics. The dependent variable, corporate greenwashing (Gws), shows a maximum value of 6.129 and a minimum value of −3.925. This range indicates that while some firms in the sample engage in greenwashing practices, others adopt conservative approaches in their environmental disclosures, avoiding overcommitment. The significant variation in Gws values reflects substantial differences between firms’ environmental “talk” (disclosures) and “walk” (actual performance).

5.2. Baseline Results

Following the systematic robustness testing framework outlined in Section 4.2, we implement multiple validation approaches to ensure reliable causal inferences. Our empirical validation begins with parallel trends verification, where we examine the period immediately before policy implementation (denoted as d_1) to test for pre-treatment differences between treatment and control groups. As shown in Figure 2, this foundational test confirms that no significant difference existed in greenwashing levels prior to policy enactment, supporting the validity of our DID identification strategy.
Table 3 presents the estimation results of Equation (1). The coefficient of ChainLeader remains statistically significant and negative across all specifications: (1) without controls, (2) with firm-level controls, and (3) with both firm- and city-level controls. As shown in Column (3), firms exposed to the Chain Leader Policy exhibit a 10.8% reduction in greenwashing severity post-implementation compared to untreated firms. This evidence robustly supports the policy’s inhibitory effect on corporate greenwashing, thereby validating H1.

5.3. Robustness Tests

Prior to implementing the multi-period DID approach, this study verifies the parallel trends assumption. Specifically, we designate the period immediately before the Chain Leader Policy
(1) Testing for Anticipatory Effects. Treating the Chain Leader Policy as a quasi-natural experiment requires the policy shock to be exogenous. This study conducts an anticipatory effect test by including variables for one year before (ChainLeader_1), two years before (ChainLeader_2), and three years before (ChainLeader_3) the implementation of the Chain Leader Policy in the baseline regression. The test results, as shown in columns (1) to (3) of Table 4, indicate that the regression coefficients for ChainLeader_1, ChainLeader_2, and ChainLeader_3 are not statistically significant, ruling out the presence of anticipatory effects. Controlling for the interaction term between potential selection criteria and time trends.
(2) The implementation of the Chain Leader Policy across cities may exhibit non-randomness, as its adoption is often influenced by a city’s own development level and strategic position. For example, provincial capital cities typically possess higher development levels within their provinces and serve as demonstrative models for policy implementation, making them more likely to be prioritized for the Chain Leader Policy. Additionally, the policy’s implementation may tend to focus on strategically important sectors, such as technology-intensive industries, whose development aligns closely with the goal of overall industrial chain upgrading.
To mitigate estimation biases arising from the above issues, this study selects whether a firm is located in a provincial capital city and whether it belongs to a technology-intensive industry as predetermined variables. The model (1) incorporates interaction terms between these predetermined variables and time trends to control for potential confounding factors. The regression results in Table 5 show that the coefficient of the core explanatory variable ChainLeader remains significantly negative, indicating that the core conclusion of this study—that the Chain Leader Policy suppresses corporate greenwashing—is robust.
(3) Placebo Tests. Following the approach of Chen et al. [42], we conducted temporal placebo test by advancing the policy implementation by 6 years, along with spatial placebo tests and hybrid placebo tests with 500 random resamplings each. From Figure 3, it can be observed that the 95% confidence intervals of the temporal placebo effects all contain the value 0, indicating that the placebo effects are not significant. As evident from Figure 4 and Figure 5, the estimated treatment effects (represented by the vertical solid lines in the diagrams) are located in the left tail of the placebo effect distribution, thus identifying them as statistical outliers. The dotted line represents a policy effect of zero. In Table 5, the row for variable ChainLeader_Pbounit reports the two-tailed, left-tailed, and right-tailed p-values for the spatial placebo tests, where the two-sided p-value is 0.01 (significant at the 1% level) and the left-sided p-value is 0.008 (significant at the 1% level), allowing us to reject the null hypothesis of “zero treatment effect. The results for ChainLeader_Pbomix (hybrid placebo tests) show both two-sided and left-sided p-values significant at the 1% level, confirming the validity of the hybrid placebo tests.
(4) Replacing the dependent variable. Following Sun et al. [112], we construct a greenwashing measure (Gwl) based on 37 environmental disclosure indicators across four dimensions [2]. After assigning binary values to disclosure types (1 for reported/0 for non-reported; 1 for qualitative/0 for quantitative), we compute selective (Gwls) and symbolic (Gwle) disclosure scores per Equations (7) and (8), with Gwl as their geometric mean (Equation (9)). Table 6 Column (1) confirms the significantly negative coefficient of ChainLeader at the 1% level.
Degree of Selective Disclosure (Gwls)
= 100 × 1 Number   of   disclosed   items Total   number   of   items   that   should   be   disclosed
Degree of Selective Disclosure (Gwle)
= 100 × N u m b e r   o f   q u a l i t a t i v e   d e s c r i p t i o n   i t e m s Number   of   disclosed   items
G w l = G w l s × G w l e
(5) Addressing Heterogeneous Treatment Effects. When using multi-period DID models to estimate policy effects, significant estimation bias may arise due to “Heterogeneous Treatment Effects” [113]. We therefore re-estimated the model using the Two-stage Differences in Differences to address the estimation bias [114], with results presented in column (1) of Table 6. The findings confirm that the Chain Leader Policy’s effect remains robust.
(6) Double Machine Learning Approach. By employing regularization algorithms to automatically optimize the selection of high-dimensional control variables, machine learning helps mitigate the “curse of dimensionality” and multicollinearity issues [115]. Using Lasso and gradient boosting models with a sample split ratio of 1:2, we re-estimated the policy’s effects, with results shown in columns (2) and (3) of Table 4, respectively. The Chain Leader Policy continues to exhibit a significantly negative impact on corporate greenwashing.
(7) Alternative Clustering of Robust Standard Errors. Although the Chain Leader Policy is implemented by local governments, its effects target specific industries. We therefore clustered standard errors at the industry level, with results in column (4) of Table 6 showing the policy’s significantly negative effect on corporate greenwashing remains unchanged.
(8) Controlling for Confounding Policies. Since corporate environmental practices may be influenced by various environmental policies, we incorporated dummy variables (Air, LowCarbon, and GreFinance) into Equation (1) to control for potential impacts from Air Pollution Control Zones, Low-Carbon City Pilots Zones, and Green Finance Reform Pilot Zones. Columns (1)–(4) of Table 7 demonstrate that the Chain Leader Policy’s negative impact on corporate greenwashing persists whether these policies are controlled for individually or collectively, confirming the reliability of our baseline regression results.

5.4. The Mediating Mechanisms Tests

Table 8 presents the results demonstrating how the Chain Leader Policy reduces corporate greenwashing through multiple channels. As shown in Columns (1) and (2), the coefficient of ChainLeader is statistically significant and positive, confirming that the Chain Leader Policy significantly enhances the stability of corporate supplier and customer relationships. This effect mitigates the problem of inefficient resource allocation, thereby suppressing corporate greenwashing behavior. Column (3) shows that the coefficient of ChainLeader is significantly negative at the 5% level, confirming that the policy significantly reduces supply chain coordination costs, mitigates uncertainty risks in supply chains, thereby curbing greenwashing. Column (4) indicates that the coefficient of ChainLeader is significantly positive at the 5% level, suggesting that the policy effectively enhances corporate green collaborative innovation and facilitates the diffusion of green technologies and green-oriented practices across supply chains, which in turn suppresses greenwashing. Columns (5) and (6) reveal that the coefficients of ChainLeader are significantly positive at the 1% level, demonstrating that the implementation of the Chain Leader Policy substantially increases external scrutiny on firms, thereby reducing information asymmetry and raising reputational costs to inhibit greenwashing behavior. These findings collectively support H2a, H2b, H2c and H2d.

5.5. The Moderating Mechanisms Tests

The moderation test results are reported in Table 9. The coefficient of Reg×ChainLeader is significantly negative at the 5% level, indicating that stronger coercive isomorphism strengthens the negative effect of the Chain Leader Policy on corporate greenwashing (H3a supported). The coefficients of Imi1×ChainLeader and Imi2×ChainLeader are significantly positive at the 1% level, suggesting that greater mimetic isomorphism weakens the policy’s inhibitory effect on greenwashing (H3b supported). The insignificant coefficient of NGO×ChainLeader implies that normative isomorphism does not exhibit a notable moderating effect (H3c not supported).
This may be because, although non-governmental organizations (NGOs) possess some influence in promoting corporate environmental responsibility, their impact remains limited in scope [116]. Furthermore, the market competition pressures embedded in coercive and mimetic isomorphism essentially imply that firms face clear penalties and potential losses if they deviate from compliance or industry norms, whereas normative isomorphism may lead to the accumulation of implicit social capital through positive corporate behavior—representing a form of positive incentive. According to Prospect Theory, losses are perceived as more salient and aversive than equivalent gains [117], which may explain why the first two types of pressures demonstrate significant moderating effects due to their direct association with potential losses, while the moderating role of normative isomorphism remains insignificant.

5.6. The Heterogeneity Tests

The Chain Leader Policy regulates corporate environmental behaviors through policy guidance and industrial chain collaboration, yet differences in firms themselves and industry characteristics lead to varying constraining effects on greenwashing.

5.6.1. Nature of Corporate Property Rights

Due to their close ties with the government, state-owned enterprises (SOEs) are not only required to shoulder more social responsibilities but also subject to stricter environmental regulations. Moreover, some SOEs, serving as chain leaders during the implementation of the Chain Leader Policy, are more proactive in responding to environmental policies and tend to reduce greenwashing through substantive investments such as technological upgrades and environmental research and development. In contrast, non-state-owned enterprises (non-SOEs) prioritize economic efficiency as their core objective. When environmental investments mandated by the Chain Leader Policy increase operational costs and these enterprises hold weaker bargaining power within the supply chain, they are more likely to exhibit opportunistic tendencies, evading cost pressures through superficial publicity and formalistic compliance—behaviors associated with greenwashing—to maintain operations. Therefore, it can be anticipated that the Chain Leader Policy has a stronger inhibitory effect on greenwashing in SOEs. This study utilizes corporate property rights data from the CSMAR database to divide the sample into two groups—SOEs and non-SOEs—for heterogeneity testing. The regression results in columns (1) to (2) of Table 10 indicate that the Chain Leader Policy exerts a greater inhibitory effect on greenwashing in SOEs.

5.6.2. Corporate Green Cognition

Enterprises with deep green cognition —such as those equipped with executives possessing environmental backgrounds or those incorporating green concepts into their strategies—proactively regard environmental protection as a core element of long-term development rather than an external burden. Driven by the Chain Leader Policy, such enterprises can quickly grasp the policy intent and integrate collaborative requirements proposed by the system, such as emission reduction across the industrial chain and the construction of green supply chains, into their daily operations. By optimizing production processes and increasing environmental investments, they enhance environmental performance through concrete actions, thereby fundamentally curbing greenwashing. Conversely, enterprises with weak green cognition view environmental compliance merely as a “task” to cope with regulations, lacking the intrinsic motivation to fulfill the deeper requirements of the Chain Leader Policy. They often resort to formal measures such as publishing green reports or conducting short-term environmental activities, making it difficult to avoid greenwashing behavior. Therefore, it can be anticipated that the deeper the level of green cognition, the stronger the inhibitory effect of the Chain Leader Policy on greenwashing. Referring to Loughran and McDonald [118], this study uses the frequency of green keywords disclosed in annual reports to measure corporate green cognition (Gec) and divides enterprises into two groups—those with deep green cognition and those with weak green cognition —based on the median value of Gec for heterogeneity testing. The regression results in columns (3) to (4) of Table 10 show that the Chain Leader Policy has a stronger inhibitory effect on greenwashing in enterprises with deep green cognition.

5.6.3. Level of Internationalization

Enterprises with a high degree of internationalization, such as those operating in overseas markets or participating in global supply chains, face stricter environmental standards in international markets (e.g., the EU Carbon Border Tax, international green certifications) and higher reputational risks—any instance of greenwashing may lead to a decline in overseas market share and loss of investor trust. Therefore, under the Chain Leader Policy, such enterprises proactively align with international standards and actively respond to policy requirements, such as promoting green upgrades in domestic industrial chains and adapting to international environmental regulations. They maintain their international image through genuine environmental actions, thereby reducing greenwashing. In contrast, enterprises with a low level of internationalization primarily focus on the domestic market, pay less attention to international environmental trends and standards, and face less pressure from global competition. Lacking external motivation to implement the Chain Leader Policy, they are more likely to adopt an opportunistic mindset, avoiding environmental investments through greenwashing and merely meeting basic domestic regulatory requirements. Thus, it can be anticipated that the higher the degree of internationalization, the stronger the inhibitory effect of the Chain Leader Policy on greenwashing. Referring to Liu et al. [119], this study uses the proportion of overseas operating revenue to total operating revenue to measure the level of internationalization (Intl) and divides enterprises into two groups—those with a high level of internationalization and those with a low level—based on the median value of Intl for heterogeneity testing. The regression results in columns (1) to (2) of Table 11 show that the Chain Leader Policy has a stronger inhibitory effect on greenwashing in enterprises with a high degree of internationalization.

5.6.4. Industry Concentration

In sectors with high industry concentration, leading enterprises—serving as “chain leaders”—possess strong bargaining power within the industrial chain and robust resource integration capabilities. They are also responsible for maintaining the industry’s image and addressing government regulatory requirements. Under the Chain Leader Policy, such chain leaders proactively establish industry green standards and guide small and medium-sized enterprises (SMEs) upstream and downstream to collaborate on emission reduction. For example, they may require suppliers to meet environmental standards and share green technologies, which not only restrains their own greenwashing but also drives the entire industrial chain to reduce opportunistic behaviors. In contrast, in sectors with low industry concentration, enterprises are numerous, small in scale, and operate with limited resources amid intense competition. Most prioritize short-term survival, such as cost control and market share capture, and struggle to bear the costs of green transformation (e.g., technological upgrades and equipment renewal) mandated by the Chain Leader Policy. The absence of a unified chain leader to coordinate and promote collaboration makes it difficult for enterprises to form synergistic environmental efforts. Consequently, they are more likely to resort to greenwashing to gain short-term competitive advantages, leading to a higher incidence of greenwashing behavior. Therefore, it can be anticipated that the higher the industry concentration, the stronger the inhibitory effect of the Chain Leader Policy on greenwashing. This study uses the proportion of operating revenue of the top five enterprises in an industry to total industry operating revenue to measure industry concentration (CR) and divides enterprises into two groups—those in high-concentration industries and those in low-concentration industries—based on the median value of CR for heterogeneity testing. The regression results in columns (3) to (4) of Table 11 show that the Chain Leader Policy has a stronger inhibitory effect on greenwashing in enterprises operating in industries with high concentration.

5.6.5. Industrial Chain Heterogeneity Analysis

To explore differential policy effects across industrial chains, we categorize enterprises according to the National Economic Industry Classification (GB/T 4754-2017) based on Chain Leader Policy implementation frequency [120]. We conduct heterogeneity tests focusing on five major chains: Equipment Manufacturing, New Energy Vehicles, Advanced Materials, Information Technology, and Biopharmaceuticals. The regression results are presented in Table 12.
Table 12 reveals significant variations in policy effectiveness across industrial chains. Equipment Manufacturing (Column 1, coefficient: −0.160) and Biopharmaceuticals (Column 5, coefficient: −0.153) demonstrate the strongest greenwashing reduction effects, both significant at the 1% and 5% levels, respectively. Advanced Materials (Column 3, coefficient: −0.109) exhibits moderate effectiveness. In contrast, New Energy Vehicles (Column 2, coefficient: −0.027) and Information Technology (Column 4, coefficient: 0.144) show limited or no significant effects. The F-test for coefficient equality across chains confirms these differences are statistically significant rather than random variations.
The heterogeneity patterns reflect fundamental industrial characteristics that determine policy transmission effectiveness. Equipment Manufacturing benefits from stable supplier networks and mature technical standards, enabling systematic environmental coordination. Conversely, New Energy Vehicles face rapid technological iteration that undermines stable coordination mechanisms. Information Technology chains encounter additional challenges from virtual supply chain structures that resist traditional governance approaches. Biopharmaceuticals maintain consistent effectiveness due to stringent regulatory frameworks and reputational sensitivity that transcend regional institutional differences.

5.6.6. Regional Heterogeneity Analysis

We examine whether policy effectiveness varies across regions with different industrial structures and institutional environments. We classify firms by China’s official regional divisions: Eastern, Central, and Western regions. The estimation results are reported in Table 13.
Table 13 reveals an inverted gradient pattern in policy effectiveness across China’s economic landscape. Contrary to expectations based on institutional development levels, Western regions demonstrate the strongest greenwashing reduction effects (coefficient: −0.216), followed by Central regions (coefficient: −0.167), and Eastern provinces (coefficient: −0.080). The chi-square test confirms these differences are statistically significant (χ2(2) = 12.43, p < 0.01).
This counter-intuitive regional gradient reflects distinct policy transmission mechanisms that operate differently across China’s varied institutional environments. Western regions, despite having less developed market institutions, demonstrate the strongest policy effectiveness due to their reliance on direct administrative coordination mechanisms. In these regions, Chain Leaders operate primarily through formal government channels, leveraging strong state-owned enterprise networks and centralized resource allocation systems. The absence of competing market-based coordination mechanisms allows for more direct and concentrated policy transmission, resulting in substantial greenwashing reduction.
Central regions exhibit moderate effectiveness through hybrid coordination approaches. These regions combine administrative guidance with emerging market mechanisms, benefiting from both government coordination capacity and developing private sector networks. The Chain Leader Policy operates through mixed channels: direct administrative coordination for state-owned enterprises and market-based incentives for private firms, creating complementary pathways for environmental governance.
Eastern regions, despite having the most developed market institutions and regulatory frameworks, show the weakest policy effects. This paradoxical result occurs because these regions already possess mature market-based environmental governance mechanisms that may substitute for or compete with Chain Leader coordination. The presence of sophisticated financial markets, advanced corporate governance systems, and extensive stakeholder networks creates alternative channels for environmental accountability that diminish the marginal impact of additional coordination mechanisms.
Furthermore, Eastern regions face higher baseline environmental standards and stakeholder expectations, making incremental improvements more difficult to achieve. The policy’s effectiveness is constrained by ceiling effects: firms in these regions may have already adopted substantial environmental practices in response to market pressures, leaving limited scope for further greenwashing reduction through administrative coordination.
To illustrate transmission mechanism variations across regions, we observe distinct implementation patterns. In Shaanxi Province (Western region), Chain Leaders establish integrated coordination systems linking government, state-owned enterprises, and suppliers through hierarchical administrative networks, achieving substantial effects through unified command structures. In Hunan Province (Central region), hybrid approaches combine administrative guidance with market incentives, leveraging both government coordination and competitive dynamics. In Jiangsu Province (Eastern region), despite robust industrial foundations and sophisticated market mechanisms, the policy competes with existing governance systems, limiting its marginal contribution to environmental outcomes.
These regional variations demonstrate how institutional environments fundamentally determine policy transmission pathways, with less developed regions paradoxically benefiting more from centralized coordination approaches, while market-mature regions experience diminished returns from additional administrative mechanisms.

5.7. Discussion of Results and Comparison with Prior Studies

The empirical findings of this study provide significant insights into the effectiveness of hybrid governance mechanisms in curbing corporate greenwashing, with results that both confirm and extend existing literature on environmental governance interventions.
Policy Effectiveness in Comparative Perspective. Our finding that the Chain Leader Policy reduces corporate greenwashing by 10.8% contributes meaningful evidence to environmental governance effectiveness research. This coordination-based approach demonstrates substantial impact compared to established environmental policy interventions documented in recent studies. Zhang [28] demonstrated the effectiveness of green financial system regulations in reducing corporate environmental opportunism, while Liu et al. [27] showed that government-led coordination mechanisms generate significant behavioral changes in corporate environmental practices. Our results suggest that embedded autonomy approaches may offer advantages over purely market-based mechanisms such as voluntary environmental standards [14] or consumer pressure initiatives [13], which research indicates typically achieve more limited behavioral modifications.
Mechanism Pathways and Theoretical Integration. The four-pathway mechanism through which the policy operates validates several theoretical predictions while revealing their interconnected nature. The supply–demand stability mechanism confirms resource constraint theories, demonstrating how coordination reduces uncertainty-driven opportunistic behaviors. The coordination cost reduction pathway aligns with supply chain optimization frameworks [45], showing how government-facilitated information sharing addresses market failures. The green collaborative innovation mechanism extends resource-based theories to network contexts, revealing how chain-level consortiums reduce greenwashing incentives by creating genuine competitive advantages. The external scrutiny mechanism provides empirical validation for stakeholder theory applications, confirming how enhanced transparency constrains opportunistic environmental behaviors.
Institutional Pressure Moderation Effects. Our moderation results offer empirical insights into mixed findings in institutional theory literature regarding environmental governance. The differential effects of coercive versus mimetic isomorphism address inconsistencies reported by recent studies [16,17], demonstrating that institutional pressures operate through distinct mechanisms rather than uniform pathways.
Boundary Conditions and Scope. The heterogeneity analysis reveals important boundary conditions that extend existing environmental governance literature. Enhanced effectiveness in state-owned enterprises, firms with higher green awareness, and more internationalized companies provides new evidence for contingency theories of environmental governance, suggesting policy effectiveness depends on specific organizational and institutional contexts.
Theoretical and Practical Contributions. These results advance understanding of hybrid environmental governance mechanisms by demonstrating how coordination-based approaches can achieve substantial greenwashing reduction through relationship transformation rather than mere compliance enforcement. While context-dependent, the findings suggest embedded autonomy mechanisms offer a viable pathway for addressing environmental governance challenges across industrial networks.

6. Contributions and Limitations

Grounded in embedded autonomy theory, this study examines the impact of the Chain Leader Policy on corporate greenwashing behavior using a sample of China’s A-share listed companies (2011–2023). The findings demonstrate that the policy, by complementing both market and administrative mechanisms, effectively reduces corporate greenwashing. This conclusion remains robust after a series of rigorous tests including testing for anticipatory effects, controlling for the interaction term between potential selection criteria and time trends, replacing the dependent variable, placebo tests, assessments of heterogeneous treatment effects, controls for confounding policies, and alternative clustering of standard errors. The results align with prior research and underscore the significance of the Chain Leader Policy in industrial chain governance. More importantly, our findings demonstrate the policy’s concrete contribution to global sustainability agendas. By effectively curbing corporate greenwashing, the Chain Leader Policy facilitates more transparent and substantive environmental practices, which is fundamental to achieving SDG 12. Its role in promoting green collaborative innovation (H2c) directly supports the technological advancement and upgrading of industrial sectors as outlined in SDG 9 (Industry, Innovation, and Infrastructure). Moreover, the policy’s embedded autonomy model, which leverages state-guided partnerships across enterprises, academia, and research institutes, serves as a practical embodiment of the multi-stakeholder partnerships called for by SDG 17 (Partnerships for the Goals).
Mechanism analysis results indicate that the Chain Leader Policy—a policy embodying moderate government embedding in markets—inhibits corporate greenwashing through dual pathways; at the supply chain level, it stabilizes corporate supply–demand relationships and reduces coordination costs, and simultaneously, at the social network level, it promotes green collaborative innovation and enhances external scrutiny. The study also incorporates contextual factors to reveal how different institutional pressures moderate the policy’s effectiveness. Specifically, coercive isomorphism strengthens the policy’s impact, mimetic isomorphism weakens it, while normative isomorphism shows no significant moderating effect. Furthermore, the inhibitory effect of the Chain Leader Policy on greenwashing is more pronounced in state-owned enterprises, enterprises with stronger green awareness, enterprises with a higher degree of internationalization, and enterprises operating in industries with higher concentration.

6.1. Theoretical Implications

This study makes several marginal contributions to the literature:
(1) Expanding the research on Chain Leader Policy outcomes from an environmental governance perspective. By enabling authoritative actors to internalize the negative environmental externalities of industrial chains and compensate for the incompleteness of market contracts, this investigation—departing from these institutional characteristics—reveals the system’s effectiveness in curbing greenwashing among chain enterprises through the novel lens of embedded autonomy mechanisms.
(2) This study elucidates the mechanisms through which the Chain Leader Policy inhibits corporate greenwashing. By analyzing four distinct pathways—stabilizing supply–demand relationships, reducing supply–demand coordination costs, promoting green collaborative innovation, and enhancing external scrutiny—operating through both supply chain and social network dimensions, this research provides a micro-theoretical foundation for government-guided green governance.
(3) Addressing gaps in existing literature regarding institutional pressures’ impact on greenwashing. While prior studies have paid limited and inconsistent attention to coercive, mimetic, and normative isomorphism, we systematically examine their moderating effects within the Chain Leader Policy context. This approach extends the application boundaries of institutional theory while enriching research on corporate greenwashing determinants.
Furthermore, this study demonstrates how hybrid governance mechanisms can advance global sustainability agendas. Our finding of a 10.8% reduction in corporate greenwashing provides empirical support for how national policies can contribute to SDG 12 (Responsible Consumption and Production) through enhanced corporate environmental integrity. The policy’s role in promoting green collaborative innovation directly supports SDG 9 (Industry, Innovation, and Infrastructure), while its embedded autonomy model exemplifies the multi-stakeholder collaboration advocated by SDG 17 (Partnerships for the Goals).

6.2. Policy Heterogeneity Implications

The dual heterogeneity findings across industrial chains and regions reveal critical insights for governance effectiveness and policy design. Our analysis demonstrates that policy effectiveness emerges from systematic alignment between coordination mechanisms, industrial characteristics, and regional institutional environments rather than uniform application.
Three institutional matching principles determine governance outcomes. First, structural stability prerequisite indicates that Chain Leader coordination requires relatively stable supply–demand relationships. The limited effectiveness in New Energy Vehicles and Information Technology reflects coordination failure when confronting rapid structural change. Second, technical standardization foundation demonstrates that effectiveness correlates with industrial maturity, as established standards reduce coordination costs. Third, regulatory complementarity suggests that hybrid governance builds upon existing oversight systems rather than replacing them.
Regional implementation exhibits distinct modalities reflecting adaptive responses to institutional environments. Jiangsu Province employs market-facilitated approaches emphasizing industry alliance coordination and competitive mechanisms. Hunan Province implements guidance-oriented models balancing administrative direction with market incentives. Shaanxi Province adopts support-oriented approaches relying on state-owned enterprises and direct government intervention.
These findings necessitate differentiated policy design rather than uniform implementation approaches. For institutionally mature Eastern regions, emphasis should strengthen market-based coordination functions. For transitional central regions, balanced approaches addressing both coordination failures and capability deficits prove optimal. For developing Western regions, foundational coordination capacity building should precede sophisticated governance mechanisms.

6.3. Practical Implications

This study yields important practical implications for both corporate practice and policy design. Enterprises must embed their operations within the overall ecosystem of the industrial chain, replacing single-link perspectives with collaborative synergy thinking, and leverage the systemic efficacy of the Chain Leader Policy to enhance their green performance. First, establish an internally and externally linked systematic response mechanism to proactively capitalize on the systemic benefits delivered by the Chain Leader Policy. Internally, integrate green development goals into the corporate strategic system, transforming the improved supply–demand stability and reduced supply chain coordination costs resulting from the Chain Leader Policy into advantages in internal resource allocation. For example, synchronize supply chain collaboration data with internal production planning systems, optimize inventory and production rhythms through supply–demand stability, and reduce incentives for greenwashing arising from short-term cost fluctuations. Externally, deeply engage with the industrial chain’s green collaborative innovation system. Rather than treating innovation as an isolated activity, adopt a systems thinking approach to coordinate with upstream and downstream enterprises, participate in co-establishing green technology R&D alliances, share innovation outcomes, and leverage the systemic power of chain-wide collaboration to enhance substantive emission reduction capabilities instead of relying on false claims. Second, incorporate institutional environment responsiveness into the corporate decision-making system. Not only should firms treat it as a mandatory constraint within the industrial chain’s systemic norms—proactively embedding environmental regulations and industry standards set by the Chain Leader into internal compliance systems to strengthen systemic motivation for green transformation through external coercive pressure—but they must also guard against blindly following non-green oriented mimicry behaviors within the industry. Maintain a clear-sighted assessment of their own green capabilities within the industrial chain system, anchor reference standards for substantive emission reduction through participation in chain-wide information sharing systems, and avoid being misled by inefficient imitation logic.
In the green governance of industrial chains, the government must adopt a systematic governance approach and enhance governance efficacy through the logic of holistic coordination. Guided by this principle, the Chain Leader, as a governance hub, needs to systematically leverage its coordination and guidance functions: assist enterprises in establishing relatively stable and healthy supply–demand relationships, gain deep insight into and properly reconcile supply–demand contradictions, and reduce governance challenges at the systemic level by coordinating upstream and downstream relationships. Simultaneously, it should move beyond a siloed support mindset and treat building collaborative platforms for green innovation—encompassing industry, academia, and research—as a systematic project to integrate innovation resources, enabling all parties to form synergies within a collaborative innovation system. Furthermore, it should incorporate supervisory forces such as the media into the pluralistic co-governance system of the industrial chain, establishing coordinated mechanisms among supervisory resources to form systemic supervisory synergy, thereby strengthening the overall effectiveness of green governance in the industrial chain. Additionally, different institutional pressures should be rationally utilized to create systemic linkage effects. From the perspective of whole-industrial-chain system standardization, promote the establishment of industry norms and standards covering the entire industrial chain, systematically embed clear green development responsibilities for enterprises into all nodes of the industrial chain, and ensure the implementation of governance requirements across all segments through institutional constraints. Addressing the contagion of mimetic behaviors, incorporate easily imitated entities such as leading enterprises into the core nodes of the industrial chain guidance system, using them as leverage points to strengthen positive guidance, while linking improved reward-punishment mechanisms to systemic aspects such as industrial chain access and resource allocation, to holistically prevent cross-enterprise collaborative violations such as mimetic greenwashing and collusive greenwashing.
From a global sustainability perspective, the Chain Leader Policy’s demonstrated effectiveness offers insights for international development. Its success in reducing corporate greenwashing while maintaining economic coordination provides a replicable framework for developing economies facing dual challenges of industrial development and environmental protection. This model demonstrates how systematic governance can transform corporate greenwashing into genuine environmental integrity, offering a practical pathway for aligning economic growth with sustainability commitments.

6.4. Limitations and Directions for Future Research

The study identifies several limitations that warrant further research, particularly regarding the generalizability and boundary conditions of our findings across different institutional contexts. The Chain Leader Policy’s replicability depends on three institutional prerequisites: (1) Administrative Coordination Capacity: The ability of government officials to coordinate across sectoral boundaries. (2) Resource Allocation Authority: Government capacity to provide meaningful incentives for environmental compliance. (3) Network Convening Legitimacy: Social acceptance of government roles in facilitating multi-stakeholder coordination. The policy’s dual-coordination mechanism (administrative + market) and tri-level governance architecture represent transferable institutional innovations. Countries with strong administrative traditions (e.g., France, South Korea, Singapore) could potentially adapt the formal coordination authority components, while market-oriented systems (e.g., United States, United Kingdom) might emphasize the network mobilization and market-based enforcement mechanisms.
From a methodological perspective, our ESG rating divergence approach and four-mechanism analysis framework provide replicable tools for evaluating environmental governance interventions across different institutional settings. The difference-in-differences methodology can assess policy impacts in any context with sufficient variation in implementation timing and scope.
Additionally, although our research operationalizes corporate greenwashing through ESG disclosure inaccuracies, firms in complex supply networks increasingly adopt sophisticated strategies including covert carbon accounting manipulation and transferring polluting operations to less-scrutinized subsidiaries. Future studies should develop more comprehensive measurement frameworks capturing these evolving manifestations to generate more nuanced and robust findings.
In addition, the current analysis does not fully embed firms within their industrial chain ecosystems, potentially limiting complete understanding of behavioral logic and policy transmission pathways. Subsequent research could quantify nodal relationship intensities to examine their moderating effects on policy outcomes, trace inter-firm interaction mechanisms, and analyze how the policy influences these network dynamics to produce chain-wide impacts—thereby generating more actionable optimization recommendations. These proposed directions would significantly advance both theoretical and practical understanding of hybrid governance systems’ implementation and effectiveness.

Author Contributions

Conceptualization, Y.K. and L.T.; methodology, Y.K.; software, Y.W.; validation, Y.K., Y.W. and L.T.; formal analysis, Y.K. and Y.W.; investigation, Y.W. and L.T.; resources, L.T.; data curation, Y.W.; writing—original draft preparation, Y.W.; writing—review and editing, Y.K. and L.T.; visualization, Y.W.; supervision, L.T.; project administration, L.T.; funding acquisition, Y.K. All authors have read and agreed to the published version of the manuscript.

Funding

This research was funded by the National Natural Science Foundation of China (Grant No. 72163001) through the project "Research on the Formation, Evolution, and Development Strategy of Industrial Modular Innovation Networks: A Perspective of High-End Embeddedness in Dual Value Chains" (2022.01-2025.12).

Institutional Review Board Statement

Not applicable.

Informed Consent Statement

Not applicable.

Data Availability Statement

The original contributions presented in this study are included in the article. Further inquiries can be directed to the corresponding author.

Acknowledgments

The authors would like to thank the editors and anonymous reviewers for their constructive comments and suggestions.

Conflicts of Interest

The authors declare no conflicts of interest.

References

  1. Xue, K.; Chen, X.; Sun, P.; Li, Y. Supply Chain Network Centrality and Corporate Greenwashing Behavior. Financ. Res. Lett. 2024, 70, 106357. [Google Scholar] [CrossRef]
  2. Su, Y.; Hu, W.-Q.; Lu, W. Customer ESG Performance and Supplier Greenwashing Behaviour: Evidence from China. Appl. Econ. Lett. 2025, 1–8. [Google Scholar] [CrossRef]
  3. Sun, Y.; Jiang, S.; Wang, S. Contagious Greenwashing Investment. China Finance Rev. Int. 2024, 14, 201–227. [Google Scholar] [CrossRef]
  4. Xu, X.; Liu, X.; Feng, C.; Ding, Y. The Paradox of Environmental Disclosure: Evidence of Greenwashing from Suppliers. Int. Rev. Econ. Financ. 2025, 102, 104307. [Google Scholar] [CrossRef]
  5. Inês, A.; Diniz, A.; Moreira, A.C. A Review of Greenwashing and Supply Chain Management: Challenges ahead. Clean. Environ. Syst. 2023, 11, 100136. [Google Scholar] [CrossRef]
  6. Kagermann, D.; Wahlster, W.; Helbig, J. Recommendations for Implementing the Strategic Initiative INDUSTRIE 4.0. Final Report of the Industrie 4.0 Working Group. 2013. Available online: https://en.acatech.de/publication/recommendations-for-implementing-the-strategic-initiative-industrie-4-0-final-report-of-the-industrie-4-0-working-group/ (accessed on 1 September 2025).
  7. Pempel, T.J. MITI and the Japanese Miracle: The Growth of Industrial Policy, 1925–1975. by Chalmers Johnson. Political Sci. Q. 1982, 97, 677–678. [Google Scholar] [CrossRef]
  8. Research Group of the Institute of Industrial Economics, Chinese Academy of Social Sciences; Qu, Y. The Theoretical Connotation of Industrial Chain Leader and Their Functional Realization. China Ind. Econ. 2022, 7, 5–24. [Google Scholar] [CrossRef]
  9. Li, H.; Rong, F.; Li, S. Research on the Mechanism and Effectiveness of Chain Leader in Enhancing Industrial Chain Resilience: A Case Study of Artificial Intelligence Industry Chain. Stat. Res. 2025, 42, 63–73. [Google Scholar] [CrossRef]
  10. Zhan, X.; Liang, L. How Does the Chain Leader “Chain” Enterprise Technological Innovation. China Ind. Econ. 2024, 11, 137–155. [Google Scholar] [CrossRef]
  11. Pizzetti, M.; Gatti, L.; Seele, P. Firms Talk, Suppliers Walk: Analyzing the Locus of Greenwashing in the Blame Game and Introducing ‘Vicarious Greenwashing’. J. Bus. Ethics. 2021, 170, 21–38. [Google Scholar] [CrossRef]
  12. Sun, Z.; Liu, L.; Zhao, L.; Korayim, D.; Alghafes, R. Can Chain Leaders Stop Greenwashing Practices in Supply Chain Governance? An Empirical Investigation Into Business Strategies. Corp. Soc. Responsib. Environ. 2025, 32, 5795–5817. [Google Scholar] [CrossRef]
  13. Huang, H.; Xing, X.; He, Y.; Gu, X. Combating Greenwashers in Emerging Markets: A Game-Theoretical Exploration of Firms, Customers and Government Regulations. Transp. Res. Part E Logist. Transp. Rev. 2020, 140, 101976. [Google Scholar] [CrossRef]
  14. Testa, F.; Miroshnychenko, I.; Barontini, R.; Frey, M. Does It Pay to Be a Greenwasher or a Brownwasher? Bus. Strat. Environ. 2018, 27, 1104–1116. [Google Scholar] [CrossRef]
  15. Cislak, A.; Cichocka, A.; Wojcik, A.D.; Milfont, T.L. Words Not Deeds: National Narcissism, National Identification, and Support for Greenwashing versus Genuine Proenvironmental Campaigns. J. Environ. Psychol. 2021, 74, 101576. [Google Scholar] [CrossRef]
  16. Chakraborty, D.; Bresciani, S.; Troise, C. The Role of Institutional Pressures in Greenwashing: A Two-Phase Study on Company Behavior. Int. J. Bank Mark. 2025. [Google Scholar] [CrossRef]
  17. Can, O.; Turker, D. Institutional Pressures and Greenwashing in Social Responsibility: Reversing the Link with Hybridization Capability. Manag. Decis. 2025, 63, 187–216. [Google Scholar] [CrossRef]
  18. Granovetter, M. Economic Action and Social Structure: The Problem of Embeddedness. Am. J. Sociol. 1985, 91, 481–510. [Google Scholar] [CrossRef]
  19. Evans, P.B. Embedded Autonomy: States and Industrial Transformation; Princeton paperbacks; Princeton University Press: Princeton, NJ, USA, 1995; ISBN 9780691037363. [Google Scholar]
  20. Block, F.; Negoita, M. Beyond Embedded Autonomy: Conceptualizing the Work of Developmental States. In The Asian Developmental State; Chu, Y., Ed.; Palgrave Macmillan US: New York, NY, USA, 2016; pp. 57–72. ISBN 978-1-349-57410-0. [Google Scholar]
  21. Lyu, W.; Singh, N. Embedded Autonomy, Political Institutions, and Access Orders. Econ. Politics 2023, 35, 286–312. [Google Scholar] [CrossRef]
  22. Chan, N.K.; Kwok, C. State-Led Embeddedness: Analyzing the Discursive Construction of Platforms and Social Good in Beijing, Hangzhou, Shanghai, and Shenzhen. Glob. Media China 2024, 9, 362–383. [Google Scholar] [CrossRef]
  23. Wu, Y.; Zhang, K.; Xie, J. Bad Greenwashing, Good Greenwashing: Corporate Social Responsibility and Information Transparency. Manag. Sci. 2020, 66, 3095–3112. [Google Scholar] [CrossRef]
  24. Wang, H.; Ma, B.; Bai, R. The Spillover Effect of Greenwashing Behaviours: An Experimental Approach. Mark. Intell. Plan. 2020, 38, 283–295. [Google Scholar] [CrossRef]
  25. Nishitani, K.; Nguyen, T.B.H.; Trinh, T.Q.; Wu, Q.; Kokubu, K. Are Corporate Environmental Activities to Meet Sustainable Development Goals (SDGs) Simply Greenwashing? An Empirical Study of Environmental Management Control Systems in Vietnamese Companies from the Stakeholder Management Perspective. J. Environ. Manag. 2021, 296, 113364. [Google Scholar] [CrossRef]
  26. Wang, A.; Bi, C.; Zhang, Y. Government Accounting Supervision and Supply Chain Environmental Investment. Financ. Res. Lett. 2025, 76, 106977. [Google Scholar] [CrossRef]
  27. Liu, Y.; Quan, B.; Xu, Q.; Forrest, J.Y.-L. Corporate Social Responsibility and Decision Analysis in a Supply Chain through Government Subsidy. J. Clean. Prod. 2019, 208, 436–447. [Google Scholar] [CrossRef]
  28. Zhang, D. Green Financial System Regulation Shock and Greenwashing Behaviors: Evidence from Chinese Firms. Energy Econ. 2022, 111, 106064. [Google Scholar] [CrossRef]
  29. Lerman, L.V.; Benitez, G.B.; Müller, J.M.; De Sousa, P.R.; Frank, A.G. Smart Green Supply Chain Management: A Configurational Approach to Enhance Green Performance through Digital Transformation. Supply Chain Manag. Int. J. 2022, 27, 147–176. [Google Scholar] [CrossRef]
  30. Cousins, P.D.; Lawson, B.; Petersen, K.J.; Fugate, B. Investigating Green Supply Chain Management Practices and Performance: The Moderating Roles of Supply Chain Ecocentricity and Traceability. Int. J. Oper. Prod. Manag. 2019, 39, 767–786. [Google Scholar] [CrossRef]
  31. Tong, X. Greenwashing in the Shadow of Customer Concentration: A Stakeholder Perspective. IEEE Trans. Eng. Manag. 2025, 72, 2723–2735. [Google Scholar] [CrossRef]
  32. Hall, P.A.; Soskice, D. Varieties of Capitalism: The Institutional Foundations of Comparative Advantage; Oxford University Press: Oxford, UK, 2001; ISBN 978-0-19-924775-0. [Google Scholar]
  33. Woo-Cumings, M. (Ed.) The Developmental State; Cornell University Press: Ithaca, NY, USA, 1999; ISBN 978-0-8014-8589-8. [Google Scholar]
  34. Zeng, H.; Liu, C.; Zhou, Q.; Jin, Y.; Gong, F. Can Local Industrial Chain Policy Innovation Achieve an “Economic-Environmental” Win-Win for Enterprises? A Quasi-Natural Experiment Based on the “Chain Leader” of Industrial Chains. J. Financ. Econ. 2025. [Google Scholar] [CrossRef]
  35. Zhang, D. Are Firms Motivated to Greenwash by Financial Constraints? Evidence from Global Firms’ Data. Financ. Manag. Account. 2022, 33, 459–479. [Google Scholar] [CrossRef]
  36. Hameed, I.; Hyder, Z.; Imran, M.; Shafiq, K. Greenwash and Green Purchase Behavior: An Environmentally Sustainable Perspective. Environ. Dev. Sustain. 2021, 23, 13113–13134. [Google Scholar] [CrossRef]
  37. Barney, J.B. Firm Resources and Sustained Competitive Advantage. In Advances in Strategic Management; Emerald (MCB UP): Bingley, UK, 2000; Volume 17, pp. 203–227. ISBN 978-0-7623-0661-9. [Google Scholar]
  38. Forliano, C.; Battisti, E.; De Bernardi, P.; Kliestik, T. Mapping the Greenwashing Research Landscape: A Theoretical and Field Analysis. Rev. Manag. Sci. 2025, 1–50. [Google Scholar] [CrossRef]
  39. Kahn, J.A. Why Is Production More Volatile than Sales? Theory and Evidence on the Stockout-Avoidance Motive for Inventory-Holding. Q. J. Econ. 1992, 107, 481–510. [Google Scholar] [CrossRef]
  40. O’Reilly, S.; Gorman, L.; Mac An Bhaird, C.; Brennan, N.M. Implementing the European Union Green Taxonomy: Implications for Small- and Medium-Sized Enterprises. Account. Forum 2024, 48, 401–426. [Google Scholar] [CrossRef]
  41. Kim, M.; Chai, S. Implementing Environmental Practices for Accomplishing Sustainable Green Supply Chain Management. Sustainability 2017, 9, 1192. [Google Scholar] [CrossRef]
  42. Chen, Q.; Qi, J.; Yan, G. Placebo Tests for Difference-in-Differences: A Practical Guide. Manag. World 2025, 41, 181–220. [Google Scholar] [CrossRef]
  43. Zsidisin, G.A. A Grounded Definition of Supply Risk. J. Purch. Supply Manag. 2003, 9, 217–224. [Google Scholar] [CrossRef]
  44. Zsidisin, G.A. Managerial Perceptions of Supply Risk. J. Supply Chain Manag. 2003, 39, 14–26. [Google Scholar] [CrossRef]
  45. Cachon, G.P.; Randall, T.; Schmidt, G.M. In Search of the Bullwhip Effect. Manuf. Serv. Oper. Manag. 2007, 9, 457–479. [Google Scholar] [CrossRef]
  46. Zhang, D. Subsidy Expiration and Greenwashing Decision: Is There a Role of Bankruptcy Risk? Energy Econ. 2023, 118, 106530. [Google Scholar] [CrossRef]
  47. Newbert, S.L. Value, Rareness, Competitive Advantage, and Performance: A Conceptual-level Empirical Investigation of the Resource-based View of the Firm. Strateg. Manag. J. 2008, 29, 745–768. [Google Scholar] [CrossRef]
  48. Long, H.; Feng, G.; Gong, Q.; Chang, C. ESG Performance and Green Innovation: An Investigation Based on Quantile Regression. Bus. Strat. Environ. 2023, 32, 5102–5118. [Google Scholar] [CrossRef]
  49. Zhang, D. Environmental Regulation, Green Innovation, and Export Product Quality: What Is the Role of Greenwashing? Int. Rev. Financ. Anal. 2022, 83, 102311. [Google Scholar] [CrossRef]
  50. Ma, Y.; Feng, G.; Yin, Z.; Chang, C. ESG Disclosures, Green Innovation, and Greenwashing: All for Sustainable Development? Sustain. Dev. 2025, 33, 1797–1815. [Google Scholar] [CrossRef]
  51. Zhang, W.; Qin, C.; Zhang, W. Top Management Team Characteristics, Technological Innovation and Firm’s Greenwashing: Evidence from China’s Heavy-Polluting Industries. Technol. Forecast. Soc. Change 2023, 191, 122522. [Google Scholar] [CrossRef]
  52. Wang, Q.; Hu, M.; Yue, X.; Huo, B. CSR Brings Green? The Effect of Supply Chain CSR Orientation on Green Integration and Social Performance. Int. J. Logist. Res. Appl. 2025, 1–21. [Google Scholar] [CrossRef]
  53. Dyer, J.H.; Singh, H. The Relational View: Cooperative Strategy and Sources of Interorganizational Competitive Advantage. Acad. Manag. Rev. 1998, 23, 660. [Google Scholar] [CrossRef]
  54. Liu, Y.; Jin, X.M.; Ly, K.C.; Mai, Y. The Relationship between Heterogeneous Institutional Investors’ Shareholdings and Corporate ESG Performance: Evidence from China. Res. Int. Bus. Financ. 2024, 71, 102457. [Google Scholar] [CrossRef]
  55. He, H.; Shi, W. Enterprise Litigation Risk and Enterprise Performance. Financ. Res. Lett. 2023, 55, 103783. [Google Scholar] [CrossRef]
  56. Abramova, I.; Core, J.E.; Sutherland, A. Institutional Investor Attention and Firm Disclosure. Account. Rev. 2020, 95, 1–21. [Google Scholar] [CrossRef]
  57. Ma, X.; Ma, X.; Fei, W.; Jiang, Q.; Zhang, Y. Stop Where It Should Stop: Board Faultlines, Stakeholder Supervision and Greenwashing Behaviors of Firms. J. Bus. Ethics 2025, 1–28. [Google Scholar] [CrossRef]
  58. Fombrun, C.; Shanley, M. What’s in a Name? Reputation Building and Corporate Strategy. Acad. Manag. J. 1990, 33, 233–258. [Google Scholar] [CrossRef]
  59. De Jong, M.D.T.; Huluba, G.; Beldad, A.D. Different Shades of Greenwashing: Consumers’ Reactions to Environmental Lies, Half-Lies, and Organizations Taking Credit for Following Legal Obligations. J. Bus. Tech. Commun. 2020, 34, 38–76. [Google Scholar] [CrossRef]
  60. Santos, C.; Coelho, A.; Marques, A. The Greenwashing Effects on Corporate Reputation and Brand Hate, through Environmental Performance and Green Perceived Risk. Asia-Pacific J. Bus. Adm. 2024, 16, 655–676. [Google Scholar] [CrossRef]
  61. Yue, J.; Li, Y. Media Attention and Corporate Greenwashing Behavior: Evidence from China. Financ. Res. Lett. 2023, 55, 104016. [Google Scholar] [CrossRef]
  62. DiMaggio, P.J.; Powell, W.W. The Iron Cage Revisited: Institutional Isomorphism and Collective Rationality in Organizational Fields. Am. Sociol. Rev. 1983, 48, 147. [Google Scholar] [CrossRef]
  63. Berrone, P.; Fosfuri, A.; Gelabert, L. Does Greenwashing Pay Off? Understanding the Relationship Between Environmental Actions and Environmental Legitimacy. J. Bus. Ethics 2017, 144, 363–379. [Google Scholar] [CrossRef]
  64. Liu, H.-Z.; Kou, Z.-X.; Sun, Y.-T.; Zhu, P.-H. Governing Greenwashing by Government Regulation: Evidence from China’s Listed Companies. Appl. Econ. Lett. 2025, 1–6. [Google Scholar] [CrossRef]
  65. Sun, Z.; Zhang, W. Do Government Regulations Prevent Greenwashing? An Evolutionary Game Analysis of Heterogeneous Enterprises. J. Clean. Prod. 2019, 231, 1489–1502. [Google Scholar] [CrossRef]
  66. Testa, F.; Boiral, O.; Iraldo, F. Internalization of Environmental Practices and Institutional Complexity: Can Stakeholders Pressures Encourage Greenwashing? J. Bus. Ethics 2018, 147, 287–307. [Google Scholar] [CrossRef]
  67. Liu, C.; Gong, W.; Dong, G.; Ji, Q. Regulation of Environmental, Social and Governance Disclosure Greenwashing Behaviors Considering the Risk Preference of Enterprises. Energy Econ. 2024, 135, 107637. [Google Scholar] [CrossRef]
  68. Bhuiyan, F.; Rana, T.; Baird, K.; Munir, R. Strategic Outcome of Competitive Advantage from Corporate Sustainability Practices: Institutional Theory Perspective from an Emerging Economy. Bus. Strat. Environ. 2023, 32, 4217–4243. [Google Scholar] [CrossRef]
  69. Chen, A.; Roberts, N. Joint Drivers of Different Shades of Green IT/IS Practices: A Strategic Cognition Perspective. Inf. Technol. People 2024, 37, 1103–1125. [Google Scholar] [CrossRef]
  70. Chen, Q.; Duan, Y. Impact of Information Disclosure on Global Supply Chain Greenwashing: Is More Information Transparency Always Better? Transp. Res. Part E Logist. Transp. Rev. 2023, 178, 103288. [Google Scholar] [CrossRef]
  71. Munasinghe, A.; Cuckston, T.; Rowbottom, N. Sustainability Certification as Marketisation: Rainforest Alliance in the Sri Lankan Tea Production Industry. Account. Forum 2021, 45, 247–272. [Google Scholar] [CrossRef]
  72. Shuang, Q.; Lu, J.; Wang, S.; Callari, D.; Cucari, N. Exploring the Power of Informal Institutions: How Does Social Trust Affect Corporate’s Greenwashing Strategy. Bus. Strat. Environ. 2024, 33, 9098–9115. [Google Scholar] [CrossRef]
  73. DiMaggio, P.J. Interest and Agency in Institutional Theory. In Institutional Patterns and Organizations; Zucker, L.G., Ed.; Ballinger: Cambridge, MA, USA, 1988; pp. 3–22. [Google Scholar]
  74. Freeman, R.E. Strategic Management: A Stakeholder Approach; Cambridge University Press: Cambridge, MA, USA, 1984. [Google Scholar]
  75. Christmann, P.; Taylor, G. Globalization and the Environment: Determinants of Firm Self-Regulation in China. J. Int. Bus. Stud. 2001, 32, 439–458. [Google Scholar] [CrossRef]
  76. Aguilera-Caracuel, J.; Ortiz-de-Mandojana, N. Green Innovation and Financial Performance: An Institutional Approach. Organ. Environ. 2013, 26, 365–385. [Google Scholar] [CrossRef]
  77. Jones, C.; Hesterly, W.S.; Borgatti, S.P. A General Theory of Network Governance. Acad. Manag. Rev. 1997, 22, 911–945. [Google Scholar] [CrossRef]
  78. Gulati, R.; Nohria, N.; Zaheer, A. Strategic Networks. Strategic. Manag. J. 2000, 21, 203–215. [Google Scholar] [CrossRef]
  79. Burt, R.S. Structural Holes: The Social Structure of Competition; Harvard University Press: Cambridge, MA, USA, 1992. [Google Scholar]
  80. Powell, W.W. Neither Market nor Hierarchy: Network Forms of Organization. Res. Organ. Behav. 1990, 12, 295–336. [Google Scholar]
  81. Hannan, M.T.; Freeman, J. Structural Inertia and Organizational Change. Am. Sociol. Rev. 1984, 49, 149–164. [Google Scholar] [CrossRef]
  82. Imbens, G.W.; Wooldridge, J.M. Recent developments in the econometrics of program evaluation. J. Econ. Lit. 2009, 47, 5–86. [Google Scholar] [CrossRef]
  83. Athey, S.; Imbens, G.W. The state of applied econometrics: Causality and policy evaluation. J. Econ. Perspect. 2017, 31, 3–32. [Google Scholar] [CrossRef]
  84. Angrist, J.D.; Pischke, J.S. Mostly Harmless Econometrics: An Empiricist’s Companion; Princeton University Press: Princeton, NJ, USA, 2009. [Google Scholar]
  85. Callaway, B.; Sant’Anna, P.H.C. Difference-in-differences with multiple time periods. J. Econom. 2021, 225, 200–230. [Google Scholar] [CrossRef]
  86. Goodman-Bacon, A. Difference-in-differences with variation in treatment timing. J. Econom. 2021, 225, 254–277. [Google Scholar] [CrossRef]
  87. Lyon, T.P.; Maxwell, J.W. Greenwash: Corporate environmental disclosure under threat of audit. J. Econ. Manag. Strategy 2011, 20, 3–41. [Google Scholar] [CrossRef]
  88. Yu, E.P.; Luu, B.V.; Chen, C.H. Greenwashing in environmental, social and governance disclosures. Res. Int. Bus. Financ. 2020, 52, 101192. [Google Scholar] [CrossRef]
  89. Roberts, M.R.; Whited, T.M. Endogeneity in empirical corporate finance. In Handbook of the Economics of Finance; Elsevier: Amsterdam, The Netherlands, 2013; Volume 2, pp. 493–572. [Google Scholar]
  90. Fama, E.F.; French, K.R. The cross-section of expected stock returns. J. Financ. 1992, 47, 427–465. [Google Scholar]
  91. Flannery, M.J.; Rangan, K.P. Partial adjustment toward target capital structures. J. Financ. Econ. 2006, 79, 469–506. [Google Scholar] [CrossRef]
  92. Chen, S.; Sun, Z.; Tang, S.; Wu, D. Government intervention and investment efficiency: Evidence from China. J. Corp. Financ. 2011, 17, 259–271. [Google Scholar] [CrossRef]
  93. Petersen, M.A. Estimating standard errors in finance panel data sets: Comparing approaches. Rev. Financ. Stud. 2009, 22, 435–480. [Google Scholar] [CrossRef]
  94. Leone, A.J.; Minutti-Meza, M.; Wasley, C.E. Influential observations and inference in accounting research. Account. Rev. 2019, 94, 337–364. [Google Scholar] [CrossRef]
  95. Allen, F.; Qian, J.; Qian, M. Law, finance, and economic growth in China. J. Financ. Econ. 2005, 77, 57–116. [Google Scholar] [CrossRef]
  96. Karpoff, J.M.; Koester, A.; Lee, D.S.; Martin, G.S. Proxies and databases in financial misconduct research. Account. Rev. 2017, 92, 129–163. [Google Scholar] [CrossRef]
  97. Gow, I.D.; Ormazabal, G.; Taylor, D.J. Correcting for cross-sectional and time-series dependence in accounting research. Account. Rev. 2010, 85, 483–512. [Google Scholar] [CrossRef]
  98. Ben-Gal, I. Outlier detection. In Data Mining and Knowledge Discovery Handbook; Springer: Berlin/Heidelberg, Germany, 2005; pp. 131–146. [Google Scholar]
  99. Stock, J.H.; Wright, J.H.; Yogo, M. A survey of weak instruments and weak identification in generalized method of moments. J. Bus. Econ. Stat. 2002, 20, 518–529. [Google Scholar] [CrossRef]
  100. Imbens, G.W.; Lemieux, T. Regression discontinuity designs: A guide to practice. J. Econom. 2008, 142, 615–635. [Google Scholar] [CrossRef]
  101. Rosenbaum, P.R.; Rubin, D.B. The central role of the propensity score in observational studies for causal effects. Biometrika 1983, 70, 41–55. [Google Scholar] [CrossRef]
  102. Abadie, A.; Diamond, A.; Hainmueller, J. Synthetic control methods for comparative case studies: Estimating the effect of California’s tobacco control program. J. Am. Stat. Assoc. 2010, 105, 493–505. [Google Scholar] [CrossRef]
  103. Bertrand, M.; Duflo, E.; Mullainathan, S. How much should we trust differences-in-differences estimates? Q. J. Econ. 2004, 119, 249–275. [Google Scholar] [CrossRef]
  104. Card, D.; Krueger, A.B. Minimum wages and employment: A case study of the fast-food industry in New Jersey and Pennsylvania. Am. Econ. Rev. 1994, 84, 772–793. [Google Scholar]
  105. Autor, D.H. Outsourcing at will: The contribution of unjust dismissal doctrine to the growth of employment outsourcing. J. Labor Econ. 2003, 21, 1–42. [Google Scholar] [CrossRef]
  106. Jiang, T. Mediating Effects and Moderating Effects in Empirical Causal Inference Research. China Ind. Econ. 2022, 5, 100–120. [Google Scholar] [CrossRef]
  107. Cameron, A.C.; Miller, D.L. A practitioner’s guide to cluster-robust inference. J. Hum. Resour. 2015, 50, 317–372. [Google Scholar] [CrossRef]
  108. Liu, X.; Zheng, Z. The Impact of Supply Chain Finance on Supplier Stability: The Mediation Role of Corporate Risk-Taking. Financ. Res. Lett. 2024, 65, 105606. [Google Scholar] [CrossRef]
  109. Tian, X.; Shi, D. Facilitating or Inhibiting: A Study on the Impact of Artificial Intelligence on Corporate Greenwashing. Sustainability 2025, 17, 2154. [Google Scholar] [CrossRef]
  110. Li, D.; Zhang, Z.; Gao, X. Does Artificial Intelligence Deter Greenwashing? Financ. Res. Lett. 2024, 67, 105954. [Google Scholar] [CrossRef]
  111. Shao, S.; Ge, L.; Zhu, J. How Can Man and Nature Coexist in Harmony: Environmental Regulation and Environmental Welfare Performance from the Perspective of Geographic Factors. Manag. World 2024, 40, 119–146. [Google Scholar]
  112. Sun, Z.; Liu, L.; Johan, S.; Zhao, L. FinTech Adoption and Corporate Greenwashing: A Technology Affordance Perspective. Br. J. Manag. 2025, 36, 978–1002. [Google Scholar] [CrossRef]
  113. Baker, A.C.; Larcker, D.F.; Wang, C.C.Y. How Much Should We Trust Staggered Difference-in-Differences Estimates? J. Financ. Econ. 2022, 144, 370–395. [Google Scholar] [CrossRef]
  114. Butts, K.; Gardner, J. Did2s: Two-Stage Difference-in-Differences. R J. 2022, 14, 162–173. [Google Scholar] [CrossRef]
  115. Bodory, H.; Huber, M.; Lafférs, L. Evaluating (Weighted) Dynamic Treatment Effects by Double Machine Learning. Econom. J. 2022, 25, 628–648. [Google Scholar] [CrossRef]
  116. Crapa, G.; Roma, P.; Bruccoleri, M. The Influence of NGO-corporate Relationship on Environmental Disclosure: Evidence from the Fashion Industry. Corp. Soc. Responsib. Environ. 2025, 32, 2104–2127. [Google Scholar] [CrossRef]
  117. Kahneman, D.; Tversky, A. Prospect Theory: An Analysis of Decision under Risk. Econometrica 1979, 47, 263. [Google Scholar] [CrossRef]
  118. Loughran, T.; Mcdonald, B. When Is a Liability Not a Liability? Textual Analysis, Dictionaries, and 10-Ks. J. Financ. 2011, 66, 35–65. [Google Scholar] [CrossRef]
  119. Liu, H.; Luo, J.; Cui, V. The Impact of Internationalization on Home Country Charitable Donation: Evidence from Chinese Firms. Manag. Int. Rev. 2018, 58, 313–335. [Google Scholar] [CrossRef]
  120. GB/T 4754-2017; Industrial Classification for National Economic Activities. Standardization Administration of the People’s Republic of China (SAC): Beijing, China, 2017. Available online: https://www.mca.gov.cn/images3/www/file/201711/1509495881341.pdf (accessed on 1 September 2025).
Figure 1. Research Framework. Note: This framework integrates embedded autonomy theory (upper portion) to explain the mediating pathways through which the Chain Leader Policy influences corporate greenwashing via supply chain coordination and social network mobilization, and institutional pressure theory (lower portion) to explain how external isomorphic pressures moderate these relationships. Together, this dual-theory integration offers a comprehensive analytical lens for understanding hybrid governance mechanisms in environmental governance.
Figure 1. Research Framework. Note: This framework integrates embedded autonomy theory (upper portion) to explain the mediating pathways through which the Chain Leader Policy influences corporate greenwashing via supply chain coordination and social network mobilization, and institutional pressure theory (lower portion) to explain how external isomorphic pressures moderate these relationships. Together, this dual-theory integration offers a comprehensive analytical lens for understanding hybrid governance mechanisms in environmental governance.
Sustainability 17 08871 g001
Figure 2. Pre-event Trend Test.
Figure 2. Pre-event Trend Test.
Sustainability 17 08871 g002
Figure 3. In-time Placebo Test.
Figure 3. In-time Placebo Test.
Sustainability 17 08871 g003
Figure 4. In-space Placebo Test.
Figure 4. In-space Placebo Test.
Sustainability 17 08871 g004
Figure 5. Restricted Mixed Placebo Test for Staggered DID.
Figure 5. Restricted Mixed Placebo Test for Staggered DID.
Sustainability 17 08871 g005
Table 1. Comparative Analysis of Industrial Chain Environmental Governance Models.
Table 1. Comparative Analysis of Industrial Chain Environmental Governance Models.
Governance ModelInstitutional AuthorityCoordination MechanismEnvironmental FocusImplementation Scope
Chain Leader Policy (China)Formal administrative officials with cross-sectoral mandateHybrid: Administrative + Market coordinationPrimary objective: Systematic greenwashing mitigationEntire industrial chain (upstream-downstream)
Industrie 4.0 (Germany)Industry consortiums + Government supportVoluntary collaboration + Technology standardizationSecondary outcome: Efficiency-driven environmental benefitsManufacturing clusters + Research networks
Administrative Guidance (Japan)Ministry officials through informal channelsConsensus-building + Sector-specific guidanceImplicit: Embedded in industrial upgradingSector-specific initiatives
EU Environmental RegulationRegulatory agencies + Cross-directorate coordinationRegulatory harmonization + Market-based instrumentsPrimary: Environmental protection through legal frameworksEU-wide regulatory compliance
US Supply Chain SustainabilityIndustry associations + Corporate initiativesMarket-driven + Consumer pressureVariable: Corporate responsibility frameworksCompany-specific supply chains
Table 2. Descriptive statistics.
Table 2. Descriptive statistics.
VarNameObsMeanSDMinMedianMax
Gws12,334−0.0231.102−3.925−0.0956.129
ChainLeader12,3340.2390.4270.0000.0001.000
Size12,33423.2561.32620.51623.14627.035
ListAge12,3342.5050.7220.0002.7083.401
Lev12,3340.4750.1990.0670.4870.887
ROA12,3340.0480.063−0.1690.0400.246
Growth12,3340.1560.355−0.4980.1022.100
Cashflow12,3340.0600.068−0.1240.0560.259
Board12,3342.1720.2041.0992.1972.890
Indep12,3340.3760.0590.1820.3640.800
Top512,3340.5510.1650.1920.5480.911
Gdp12,33410.5924.5762.26710.04120.028
Finance12,3341.7450.6770.4891.8293.664
Budget12,3340.1610.0550.0780.1460.367
Note: The ChainLeader variable specifically captures firms’ exposure to government-led Chain Leader Policy coordination, not the presence of Leading Firms within their industrial chains. This distinction is crucial for understanding that our empirical analysis focuses on the administrative governance mechanism rather than market-based chain leadership effects.
Table 3. The Impact of Chain Leader Policy on Corporate Greenwashing.
Table 3. The Impact of Chain Leader Policy on Corporate Greenwashing.
VarName(1)(2)(3)
GwsGwsGws
ChainLeader−0.119 ***−0.120 ***−0.108 ***
(0.043)(0.042)(0.041)
Size −0.130 ***−0.124 ***
(0.032)(0.031)
ListAge −0.100−0.099
(0.065)(0.063)
Lev 0.465 ***0.477 ***
(0.123)(0.120)
ROA −0.361−0.379
(0.261)(0.259)
Growth 0.090 ***0.088 ***
(0.025)(0.025)
Cashflow 0.468 ***0.462 **
(0.176)(0.179)
Board 0.0970.093
(0.131)(0.132)
Indep −0.880 **−0.876 **
(0.380)(0.379)
Top5 0.381 *0.376 *
(0.211)(0.210)
Gdp −0.024 **
(0.009)
Finance −0.021
(0.064)
Budget −0.195
(0.740)
Constant0.0052.945 ***3.125 ***
(0.010)(0.879)(0.904)
Firm FEYESYESYES
Year FEYESYESYES
ClusterCityCityCity
N12,51812,39012,334
R20.4470.4520.453
Note: Standard errors clustered at city level in parentheses. ***, **, * indicate significance at 1%, 5%, 10% levels.
Table 4. Robustness tests (1)–(2).
Table 4. Robustness tests (1)–(2).
(1)(2)(3)(4)(5)
GwsGwsGwsGwsGws
ChainLeader−0.114 **−0.114 **−0.094 **−0.111 ***−0.109 ***
(0.044)(0.046)(0.047)(0.041)(0.041)
ChainLeader_1−0.036
(0.062)
ChainLeader_2 −0.056
(0.069)
ChainLeader_3 −0.026
(0.077)
Tech_T 0.010
(0.007)
Pro_T −0.008
(0.006)
Firm FEYESYESYESYESYES
Year FEYESYESYESYESYES
ControlsYESYESYESYESYES
ClusterCityCityCityCityCity
N12,33412,33412,33412,33412,334
R20.4970.5140.5310.4530.453
Note: Standard errors clustered at city level in parentheses. ***, ** indicate significance at 1%, 5% levels.
Table 5. Robustness tests (3).
Table 5. Robustness tests (3).
Placebo TestCoefficientp-Value
Two-SidedLeft-SidedRight-Sided
ChainLeader_Pbounit−0.1078420.01000.00800.9920
ChainLeader_Pbomix−0.1078420.00600.00200.9980
Table 6. Robustness tests (4)~(7).
Table 6. Robustness tests (4)~(7).
(1)(2)(3)(4)(5)
GwlDid2sLassocvGradboostGws
ChainLeader−0.435 ***−2.754 ***−0.119 ***−0.104 **−0.109 **
(0.108)(0.779)(0.036)(0.045)(0.043)
Firm FEYESYESYESYESYES
Year FEYESYESYESYESYES
ControlsYESYESYESYESYES
ClusterCityCityCityCityIndustry
N12,33412,33412,33412,33412,334
R20.510///0.453
Note: Standard errors clustered at city level in parentheses. ***, ** indicate significance at 1%, 5% levels.
Table 7. Robustness tests (8).
Table 7. Robustness tests (8).
VarName(1)(2)(3)(4)
GwsGwsGwsGws
ChainLeader−0.112 ***−0.108 **−0.108 ***−0.111 ***
(0.041)(0.042)(0.042)(0.041)
Air−0.028 −0.030
(0.040) (0.040)
LowCarbon −0.018 −0.017
(0.066) (0.066)
GreFinance −0.085−0.093
(0.060)(0.060)
Firm FEYESYESYESYES
Year FEYESYESYESYES
ControlsYESYESYESYES
ClusterCityCityCityCity
N12,33412,33412,33412,334
R20.4270.4030.4160.420
Note: Standard errors clustered at city level in parentheses. ***, ** indicate significance at 1%, 5% levels.
Table 8. The mediating effects.
Table 8. The mediating effects.
VarName(1)(2)(3)(4)(5)(6)
SuppStCusStCost_CoorNewsIndexGreInvja
ChainLeader0.042 *0.039 *−0.108 **17.480 ***0.564 **1.617 **
(0.024)(0.021)(0.055)(6.085)(0.285)(0.754)
Firm FEYESYESYESYESYESYES
Year FEYESYESYESYESYESYES
ControlsYESYESYESYESYESYES
ClusterCityCityCityCityCityCity
N6108570912,13012,26312,31412,205
R20.4310.4390.1340.2420.7240.624
Note: Standard errors clustered at city level in parentheses. ***, **, * indicate significance at 1%, 5%, 10% levels.
Table 9. The moderating effects.
Table 9. The moderating effects.
VarName(1)(2)(3)(4)
GwsGwsGwsGws
ChainLeader−0.057−0.111 **−0.082 **−0.149 ***
(0.088)(0.043)(0.038)(0.053)
Reg−0.023
(0.058)
Reg×ChainLeader−0.188 **
(0.090)
Imi1 0.792 ***
(0.049)
Imi1×ChainLeader 0.269 ***
(0.095)
Imi1 0.922 ***
(0.022)
Imi2×ChainLeader 0.120 ***
(0.045)
NGO 0.035
(0.122)
NGO×ChainLeader 0.058
(0.059)
Firm FEYESYESYESYES
Year FEYESYESYESYES
ControlsYESYESYESYES
ClusterCityCityCityCity
N12,33412,33412,33412,334
R20.4510.4660.5520.450
Note: Standard errors clustered at city level in parentheses. ***, ** indicate significance at 1%, 5% levels.
Table 10. Heterogeneity test (1).
Table 10. Heterogeneity test (1).
(1)(2)(3)(4)
SOEsNon-SOEsStrong GecWeak Gec
ChainLeader−0.172 ***−0.024−0.192 ***−0.015
(0.036)(0.037)(0.065)(0.061)
Fisher’s Permutation Test0.151 ***
{0.000}
0.172 **
{0.015}
Firm FEYESYESYESYES
Year FEYESYESYESYES
ControlsYESYESYESYES
ClusterCityCityCityCity
N6153618166045740
R20.0570.0430.4980.500
Note: The values in { } are the empirical p-values of Fisher’s Permutation Test for the difference in coefficients between group. ***, ** indicate significance at 1%, 5% levels.
Table 11. Heterogeneity test (2).
Table 11. Heterogeneity test (2).
(1)(2)(3)(4)
High IntlLow IntlHigh CRLow CR
ChainLeader−0.149 **−0.056−0.193 ***0.009
(0.057)(0.075)(0.059)(0.073)
Fisher’s Permutation Test0.080 **
{0.045}
0.185 ***
{0.010}
Firm FEYESYESYESYES
Year FEYESYESYESYES
ControlsYESYESYESYES
ClusterCityCityCityCity
N6177615762006144
R20.4640.4800.4840.507
Note: The values in { } are the empirical p-values of Fisher’s Permutation Test for the difference in coefficients between group. ***, ** indicate significance at 1%, 5% levels.
Table 12. Industrial Chain Heterogeneity Analysis.
Table 12. Industrial Chain Heterogeneity Analysis.
Variables(1) Equipment Manufacturing(2) New Energy Vehicles(3) Advanced Materials(4) Information Technology(5) Biopharmaceuticals
ChainLeader−0.160 ***−0.027−0.109 **0.144−0.153 **
(0.052)(0.133)(0.054)(0.164)(0.077)
Firm FEYESYESYESYESYES
Year FEYESYESYESYESYES
ControlsYESYESYESYESYES
ClusterCityCityCityCityCity
Observations16571362884879796
R-squared0.5150.4610.5340.4360.456
Notes: Standard errors clustered at city level in parentheses. ***, ** indicate significance at 1%, 5% levels. Dependent variable is greenwashing index. All regressions include full controls. Chain coefficient equality test: F(4,∞) = 3.84, p < 0.01.
Table 13. Regional Heterogeneity Analysis.
Table 13. Regional Heterogeneity Analysis.
Variables(1) Eastern(2) Central(3) Western
ChainLeader−0.080 **−0.167 **−0.216 **
(0.038)(0.084)(0.103)
Controls YESYESYES
Firm FEYESYESYES
Year FEYESYESYES
ClusterCityCityCity
N708933221923
R-squared0.4600.4470.452
Notes: Standard errors clustered at city level in parentheses. ** indicates significance at 5% levels. Coefficient equality test: χ2(2) = 12.43, p < 0.01.
Disclaimer/Publisher’s Note: The statements, opinions and data contained in all publications are solely those of the individual author(s) and contributor(s) and not of MDPI and/or the editor(s). MDPI and/or the editor(s) disclaim responsibility for any injury to people or property resulting from any ideas, methods, instructions or products referred to in the content.

Share and Cite

MDPI and ACS Style

Ke, Y.; Wen, Y.; Teng, L. Chain Leader Policy and Corporate Environmental Sustainability: A Multi-Level Analysis of Greenwashing Mitigation Mechanisms. Sustainability 2025, 17, 8871. https://doi.org/10.3390/su17198871

AMA Style

Ke Y, Wen Y, Teng L. Chain Leader Policy and Corporate Environmental Sustainability: A Multi-Level Analysis of Greenwashing Mitigation Mechanisms. Sustainability. 2025; 17(19):8871. https://doi.org/10.3390/su17198871

Chicago/Turabian Style

Ke, Ying, Yueqi Wen, and Lili Teng. 2025. "Chain Leader Policy and Corporate Environmental Sustainability: A Multi-Level Analysis of Greenwashing Mitigation Mechanisms" Sustainability 17, no. 19: 8871. https://doi.org/10.3390/su17198871

APA Style

Ke, Y., Wen, Y., & Teng, L. (2025). Chain Leader Policy and Corporate Environmental Sustainability: A Multi-Level Analysis of Greenwashing Mitigation Mechanisms. Sustainability, 17(19), 8871. https://doi.org/10.3390/su17198871

Note that from the first issue of 2016, this journal uses article numbers instead of page numbers. See further details here.

Article Metrics

Back to TopTop