Upcycling Wheat-Rye Bread and Chokeberry Waste into Sustainable Fermented Beverages with Potential Probiotic Properties
Abstract
1. Introduction
2. Materials and Methods
2.1. Chemicals, Materials, and Microorganisms
2.1.1. Chemicals
2.1.2. Plant-Based Materials
2.1.3. Microorganisms
2.2. Bread-Waste Beverage Fermentation with LAB
2.3. Characterization of the Probiotic Potential of Selected LAB Strains
2.3.1. Identification of Selected LAB Strains
2.3.2. Antimicrobial Activity
2.3.3. Susceptibility to Antibiotics
2.3.4. Acidic pH and Bile Salts Tolerance
2.3.5. The Cell Surface Hydrophobicity Test
2.4. Evaluation of the Quality and Functional Properties of Fermented Beverages
2.4.1. Microbiological Quality and Safety of Fermented Beverages
2.4.2. Determination of Total Phenolic Content (TPC) of Fermented Beverages
2.4.3. Determination of Antioxidant Activity (TEAC) of Fermented Beverages
2.5. Statistical Analysis
3. Results
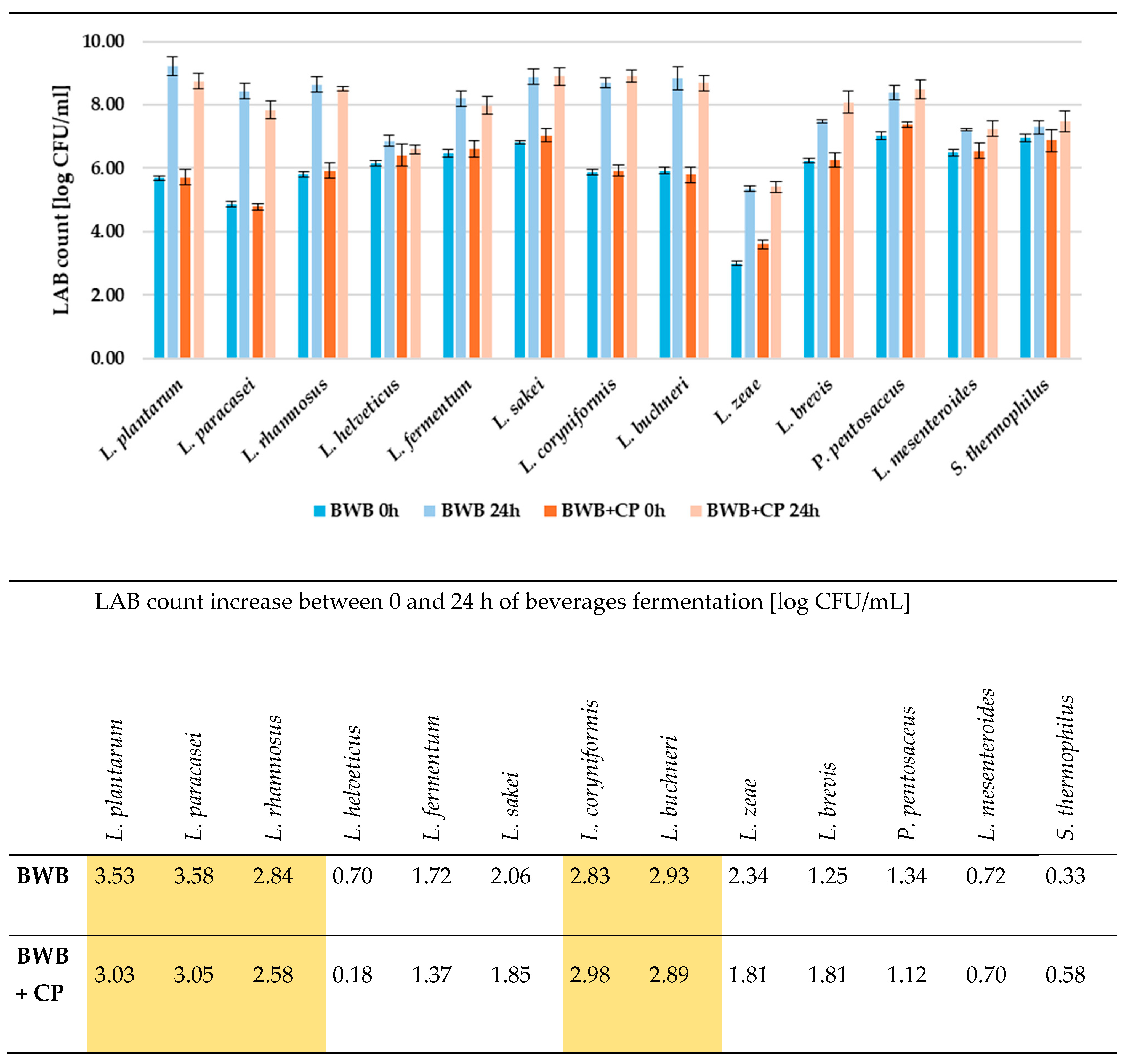
3.1. Screening of LAB Strains Based on the Ability of Bread and Chokeberry Fermentation

3.2. Characterization of the Probiotic Potential of the Selected Strains
3.2.1. Identification of LAB
3.2.2. Antimicrobial Properties of Selected LAB Strains
3.2.3. Antibiotic Sensitivity of Selected LAB Strains
3.2.4. Tolerance to Gastrointestinal Conditions
3.2.5. Cell Hydrophobicity
3.3. Development of Fermented Beverage Based on Wheat Bakery Waste and Chokeberry Pomace
3.3.1. Development of a Basic Beverage Recipe
3.3.2. Determination of Total Phenolic Compounds (TPC) and Antioxidant Activity (TEAC) of Fermented Beverages
4. Discussion
5. Conclusions
Supplementary Materials
Author Contributions
Funding
Institutional Review Board Statement
Informed Consent Statement
Data Availability Statement
Acknowledgments
Conflicts of Interest
Abbreviations
| BWB | Bread-waste beverages |
| LAB | Lactic acid bacteria |
| CP | Chokeberry pomace |
| WHO | World Health Organization |
| FAO | Food and Agriculture Organization |
| TPC | Total phenolic compounds |
| MALDI-TOF MS | Matrix-assisted laser desorption/ionization time-of-flight mass spectrometry |
| EFSA | European Food Safety Authority |
| GAE | Gallic acid equivalent |
| CFU | Colony forming unit |
References
- Al-Obadi, M.; Ayad, H.; Pokharel, S.; Ayari, M.A. Perspectives on Food Waste Management: Prevention and Social Innovations. Sustain. Prod. Consum. 2022, 31, 190–208. [Google Scholar] [CrossRef]
- Manzoor, S.; Fayaz, U.; Dar, A.H.; Dash, K.K.; Shams, R.; Bashir, I.; Pandey, V.K.; Abdi, G. Sustainable Development Goals through Reducing Food Loss and Food Waste: A Comprehensive Review. Future Foods 2024, 9, 100362. [Google Scholar] [CrossRef]
- Food Agriculture Organization of the United Nations. Food Wastage Footprint: Impacts on Natural Resources: Summary Report; FAO: Rome, Italy, 2013; Available online: https://www.fao.org/4/i3347e/i3347e.pdf (accessed on 9 September 2025).
- Meacham, T.; Parfitt, J.; Hollins, O.; Barthel, M. Food Waste Within Global Food System—September 2013. Available online: https://www.semanticscholar.org/paper/Food-waste-within-global-food-systems-September-Meacham-Parfitt/6c91c4a4bd7b73d2e51344f5fa8117532f80ceec (accessed on 8 September 2025).
- Food and Agriculture Organization of the United Nations. The State of Food and Agriculture 2019: Moving Forward on Food Loss and Waste Reduction; FAO: Rome, Italy, 2019. [Google Scholar]
- Faishal, A. Laws and Regulations Regarding Food Waste Management as a Function of Environmental Protection in a Developing Nation. Int. J. Crim. Justice Sci. 2022, 17, 223–237. [Google Scholar]
- Food and Agriculture Organization (FAO). Global Food Losses and Food Waste-Extent, Causes and Prevention; FAO: Rome, Italy, 2011; Available online: https://www.fao.org/3/i2697e/i2697e.pdf (accessed on 9 September 2025).
- Gustavsson, J.; Bos-Brouwers, H.; Timmermans, T.; Møller, H.; Anderson, G.; Clementine, O.; Soethoudt, H.; Quested, T.; Easteal, S.; Gustavsson, J.; et al. FUSIONS Definitional Framework for Food Waste-Full Report. Project Report FUSIONS. HAL Id: Hal-02800861. 2014. Available online: https://hal.inrae.fr/hal-02800861 (accessed on 9 September 2025).
- Jeswani, H.K.; Figueroa-Torres, G.; Azapagic, A. The extent of food waste generation in the UK and its environmental impacts. Sustain. Prod. Consum. 2021, 26, 532–547. [Google Scholar] [CrossRef]
- United Nations Environment Programme (UNEP). Food Waste Index Report 2021. Nairobi. 2021. Available online: https://www.unep.org/resources/report/unep-food-waste-index-report-2021 (accessed on 9 September 2025).
- United Nations. The 2030 Agenda for Sustainable Development. Sustainable Development Goals. 2022. Available online: https://sdgs.un.org/goals/goal12 (accessed on 9 September 2025).
- Du, C.; Abdullah, J.J.; Greetham, D.; Fu, D.; Yu, M.; Ren, L.; Li, S.; Lu, D. Valorization of Food Waste into Biofertiliser and Its Field Application. J. Clean. Prod. 2018, 187, 273–284. [Google Scholar] [CrossRef]
- Bigdeloo, M.; Teymourian, T.; Kowsari, E.; Ramakrishna, S.; Ehsani, A. Sustainability and Circular Economy of Food Wastes: Waste Reduction Strategies, Higher Recycling Methods, and Improved Valorization. Mater. Circ. Econ. 2021, 3, 3. [Google Scholar] [CrossRef]
- Czerniewicz, K.; Marchwińska, K.; Gwiazdowska, D.; Juś, K.; Olejniczak, A. Fruit and Vegetable Waste Management: Reusing and Recycling Strategies; Sieć Badawcza Łukasiewicz—Instytut Technologii Eksploatacji: Radom, Poland, 2024. [Google Scholar]
- Mokrane, S.; Buonocore, E.; Capone, R.; Franzese, P.P. Exploring the Global Scientific Literature on Food Waste and Loss. Sustainability 2023, 15, 4757. [Google Scholar] [CrossRef]
- Food and Agriculture Organization (FAO). Food Wastage Footprint: Full Cost-Accounting: Final Report; FAO: Rome, Italy, 2014. [Google Scholar]
- Moshtaghian, H.; Bolton, K.; Rousta, K. Challenges for Upcycled Foods: Definition, Inclusion in the Food Waste Management Hierarchy and Public Acceptability. Foods 2021, 10, 2874. [Google Scholar] [CrossRef]
- Spratt, O.; Suri, R.; Deutsch, J. Defining Upcycled Food Products. J. Culin. Sci. Technol. 2020, 19, 485–496. [Google Scholar] [CrossRef]
- Galila, A.; Kaseireldeil, S.; Abdalkhaliq, N.; Farouk, E.; Eichner, M.; Sarhan, Y. Enhancing Sustainability and Resource Efficiency through Upcycling: A Comprehensive Review and Analytical—Based Framework for Evaluating Building Upcycled Products. Innov. Infrastruct. Solut. 2024, 9, 270. [Google Scholar] [CrossRef]
- Vaikma, H.; Kaleda, A.; Rosend, J.; Rosenvald, S. Market Mapping of Plant-Based Milk Alternatives by Using Sensory (RATA) and GC Analysis. Future Foods 2021, 4, 100049. [Google Scholar] [CrossRef]
- Boukid, F.; Hassoun, A.; Zouari, A.; Tülbek, M.; Mefleh, M.; Aït-Kaddour, A.; Castellari, M. Fermentation for Designing Innovative Plant-Based Meat and Dairy Alternatives. Foods 2023, 12, 1005. [Google Scholar] [CrossRef] [PubMed]
- Research and Markets Fermented Plant-Based Alternatives Market—A Global and Regional Analysis: Focus on Applications, Products, Patent Analysis, and Country Analysis-Analysis and Forecast, 2019–2026. Available online: https://www.researchandmarkets.com/reports/5359984/fermented-plant-based-alternatives-market-a?utm_source=BW&utm_medium=PressRelease&utm_code=hg8tq8&utm_campaign=1570637+-+Global+Fermented+Plant-Based+Alternatives+Market+to+2026+-+Investment+in+Fermented+Plant-Based+Yogurt+Presents+Opportunities&utm_exec=jamu273prd (accessed on 9 September 2025).
- Xie, A.; Dong, Y.; Liu, Z.; Li, Z.; Shao, J.; Li, M.; Yue, X. A Review of Plant-Based Drinks Addressing Nutrients, Flavor, and Processing Technologies. Foods 2023, 12, 3952. [Google Scholar] [CrossRef] [PubMed]
- Hidalgo-Fuentes, B.; De Jesús-José, E.; Cabrera-Hidalgo, A.D.J.; Sandoval-Castilla, O.; Espinosa-Solares, T.; González-Reza Ricardo, M.; Zambrano-Zaragoza, M.L.; Liceaga, A.M.; Aguilar-Toalá, J.E. Plant-Based Fermented Beverages: Nutritional Composition, Sensory Properties, and Health Benefits. Foods 2024, 13, 844. [Google Scholar] [CrossRef] [PubMed]
- Horlacher, N.; Oey, I.; Agyei, D. Learning from Tradition: Health-Promoting Potential of Traditional Lactic Acid Fermentation to Drive Innovation in Fermented Plant-Based Dairy Alternatives. Fermentation 2023, 9, 452. [Google Scholar] [CrossRef]
- Liu, H.; Xu, X.; Cui, H.; Xu, J.; Yuan, Z.; Liu, J.; Li, C.; Li, J.; Zhu, D. Plant-Based Fermented Beverages and Key Emerging Processing Technologies. Food Rev. Int. 2023, 39, 5844–5863. [Google Scholar] [CrossRef]
- Dymchenko, A.; Geršl, M.; Gregor, T. Trends in Bread Waste Utilisation. Trends Food Sci. Technol. 2023, 132, 93–102. [Google Scholar] [CrossRef]
- Mihajlovski, K.; Rajilić-Stojanović, M.; Dimitrijević-Branković, S. Enzymatic Hydrolysis of Waste Bread by Newly Isolated Hymenobacter sp. CKS3: Statistical Optimization and Bioethanol Production. Renew. Energy 2020, 152, 627–633. [Google Scholar] [CrossRef]
- Denev, P.; Číž, M.; Kratchanova, M.; Blazheva, D. Black Chokeberry (Aronia melanocarpa) Polyphenols Reveal Different Antioxidant, Antimicrobial and Neutrophil-Modulating Activities. Food Chem. 2019, 284, 108–117. [Google Scholar] [CrossRef]
- Sidor, A.; Gramza-Michałowska, A. Black Chokeberry Aronia melanocarpa L.—A Qualitative Composition, Phenolic Profile and Antioxidant Potential. Molecules 2019, 24, 3710. [Google Scholar] [CrossRef]
- Tolić, M.-T.; Jurčević, I.L.; Krbavčić, I.P.; Marković, K.; Vahčić, N. Phenolic Content, Antioxidant Capacity and Quality of Chokeberry (Aronia melanocarpa) Products. Food Technol. Biotechnol. 2015, 53, 171–179. [Google Scholar] [CrossRef] [PubMed]
- Juś, K.; Ścigaj, M.; Gwiazdowska, D.; Marchwińska, K.; Studenna, W. Innovative Fermented Beverages Based on Bread Waste—Fermentation Parameters and Antibacterial Properties. Appl. Sci. 2024, 14, 5036. [Google Scholar] [CrossRef]
- Sauget, M.; Valot, B.; Bertrand, X.; Hocquet, D. Can MALDI-TOF Mass Spectrometry Reasonably Type Bacteria? Trends Microbiol. 2017, 25, 447–455. [Google Scholar] [CrossRef] [PubMed]
- Imade, E.E.; Omonigho, S.E.; Babalola, O.O.; Enagbonma, B.J.; Igiehon, O.N.; Ogofure, A.G. Dataset of 16S Ribosomal DNA Sequence-Based Identification of Bacteriocinogenic Lactic Acid Bacteria Isolated from Fermented Food Samples. Data Brief 2024, 52, 110021. [Google Scholar] [CrossRef]
- Older, C.E.; Richardson, B.M.; Wood, M.; Waldbieser, G.C.; Ware, C.; Griffin, M.J.; Ott, B.D. Evaluating Nanopore Sequencing for Microbial Community Characterization in Catfish Pond Water. J. World Aquac. Soc. 2024, 55, 289–301. [Google Scholar] [CrossRef]
- EFSA Panel on Additives and Products or Substances used in Animal Feed (FEEDAP). Guidance on the Assessment of Bacterial Susceptibility to Antimicrobials of Human and Veterinary Importance. EFS2 2012, 10, 2740. [Google Scholar] [CrossRef]
- Marchwińska, K.; Gwiazdowska, D. Isolation and Probiotic Potential of Lactic Acid Bacteria from Swine Feces for Feed Additive Composition. Arch. Microbiol. 2022, 204, 61. [Google Scholar] [CrossRef]
- Taheri, H.; Tabandeh, F.; Moravej, H.; Zaghari, M.; Shivazad, M.; Shariati, P. Potential Probiotic of Lactobacillus johnsonii LT171 for Chicken Nutrition. Afr. J. Biotechnol. 2009, 8, 5833–5837. [Google Scholar] [CrossRef]
- Prasath, K.G.; Tharani, H.; Kumar, M.S.; Pandian, S.K. Palmitic Acid Inhibits the Virulence Factors of Candida tropicalis: Biofilms, Cell Surface Hydrophobicity, Ergosterol Biosynthesis, and Enzymatic Activity. Front. Microbiol. 2020, 11, 864. [Google Scholar] [CrossRef]
- Włodarska, K.; Pawlak-Lemańska, K.; Górecki, T.; Sikorska, E. Classification of Commercial Apple Juices Based on Multivariate Analysis of Their Chemical Profiles. Int. J. Food Prop. 2017, 20, 1773–1785. [Google Scholar] [CrossRef]
- Gliszczyńska-Świgło, A. Antioxidant Activity of Water Soluble Vitamins in the TEAC (Trolox Equivalent Antioxidant Capacity) and the FRAP (Ferric Reducing Antioxidant Power) Assays. Food Chem. 2006, 96, 131–136. [Google Scholar] [CrossRef]
- FAO/WHO Working Group Report on Drafting Guidelines for the Evaluation of Probiotics in Food. 2002. Available online: https://isappscience.org/wp-content/uploads/2019/04/probiotic_guidelines.pdf (accessed on 9 September 2025).
- Felsenstein, J. Confidence Limits on Phylogenies: An Approach Using the Bootstrap. Evolution 1985, 39, 783–791. [Google Scholar] [CrossRef] [PubMed]
- Saitou, N.; Imanishi, T. Relative Efficiencies of the Fitch-Margoliash, Maximum-Parsimony, Maximum-Likelihood, Minimum-Evolution, and Neighbor-Joining Methods of Phylogenetic Tree Construction in Obtaining the Correct Tree. Mol. Biol. Evol. 1989, 6, 514. [Google Scholar] [CrossRef]
- Tamura, K.; Nei, M.; Kumar, S. Prospects for Inferring Very Large Phylogenies by Using the Neighbor-Joining Method. Proc. Natl. Acad. Sci. USA 2004, 101, 11030–11035. [Google Scholar] [CrossRef]
- Kumar, S.; Stecher, G.; Li, M.; Knyaz, C.; Tamura, K. MEGA X: Molecular Evolutionary Genetics Analysis across Computing Platforms. Mol. Biol. Evol. 2018, 35, 1547–1549. [Google Scholar] [CrossRef]
- EFSA Panel on Additives and Products or Substances used in Animal Feed (FEEDAP); Rychen, G.; Aquilina, G.; Azimonti, G.; Bampidis, V.; de Lourdes Bastos, M.; Bories, G.; Chesson, A.; Cocconcelli, P.S.; Flachowsky, G.; et al. Guidance on the Characterisation of Microorganisms Used as Feed Additives or as Production Organisms. EFS2 2018, 16, e05206. [Google Scholar] [CrossRef]
- Jabeen, S.; Hasan, A.; Rizwan, M.; Javed, H.; Raza, M.A.; Ahmad, S.; Hussain, A. Determining Acid-Bile Optimization and Correlation between Optical Density and the Colony Forming Units of Lactobacilli Species: Optimizing Acid-Bile Tolerance of Lactobacilli. FBT 2024, 4, 58–63. [Google Scholar] [CrossRef]
- Gbassi, G.K.; Vandamme, T.; Yolou, F.S.; Marchioni, E. In Vitro Effects of pH, Bile Salts and Enzymes on the Release and Viability of Encapsulated Lactobacillus plantarum Strains in a Gastrointestinal Tract Model. Int. Dairy J. 2011, 21, 97–102. [Google Scholar] [CrossRef]
- Farid, W.; Masud, T.; Sohail, A.; Ahmad, N.; Naqvi, S.M.S.; Khan, S.; Ali, A.; Khalifa, S.A.; Hussain, A.; Ali, S.; et al. Gastrointestinal Transit Tolerance, Cell Surface Hydrophobicity, and Functional Attributes of Lactobacillus acidophilus Strains Isolated from Indigenous Dahi. Food Sci. Nutr. 2021, 9, 5092–5102. [Google Scholar] [CrossRef]
- Tyfa, A.; Kunicka-Styczyńska, A.; Zabielska, J. Evaluation of Hydrophobicity and Quantitative Analysis of Biofilm Formation by Alicyclobacillus sp. Acta Biochim. Pol. 2015, 62, 785–790. [Google Scholar] [CrossRef]
- Kim, S.; Ishizawa, H.; Inoue, D.; Toyama, T.; Yu, J.; Mori, K.; Ike, M.; Lee, T. Microalgal Transformation of Food Processing Byproducts into Functional Food Ingredients. Bioresour. Technol. 2022, 344 Pt B, 126324. [Google Scholar] [CrossRef]
- Engelberth, A.S. Evaluating Economic Potential of Food Waste Valorization: Onward to a Diverse Feedstock Biorefinery. Curr. Opin. Green. Sustain. Chem. 2020, 26, 100385. [Google Scholar] [CrossRef]
- Pathan, A.S.; Ahire, M.R.; Diwane, S.A.; Jain, P.G.; Pandagale, P.M.; Ahire, E.D. Functional Foods in Prevention of Diabetes Mellitus. In Applications of Functional Foods in Disease Prevention; Apple Academic Press: Waretown, NJ, USA, 2024; pp. 139–164. [Google Scholar] [CrossRef]
- The Vegan Society. Definition of Veganism; The Vegan Society: Birmingham, UK, 2019; Available online: https://www.vegansociety.com/go-vegan/definition-veganism (accessed on 9 September 2025).
- Sentient Media. Increase in Veganism: Why Is Veganism on the Rise in 2021? Sentient Media: San Francisco, CA, USA, 2024; Available online: https://sentientmedia.org/increase-in-veganism (accessed on 9 September 2025).
- Maarsman, P. A Quantitative Study to the Underlying Motives for Food Choices: And How Do These Motives Contribute to Healthy Food Choices Among Dutch Young Adults? Master’s Thesis, University of Twente, Enschede, The Netherlands, 2016. Available online: https://www.researchgate.net/publication/378213169_Underlying_Motivations_for_Food_Choices_and_Their_Influence_on_Healthy_Eating_among_Millennials (accessed on 19 September 2024).
- Food Revolution Network. Why the Global Rise in Vegan and Plant-Based Eating Isn’t A Fad (600% Increase in U.S. Vegans + Other Astounding Stats). 2022. Available online: https://foodrevolution.org/blog/vegan-statistics-global/ (accessed on 9 September 2025).
- Sigüenza-Andrés, T.; Mateo, J.; Rodríguez-Nogales, J.M.; Gómez, M.; Caro, I. Characterization of a Fermented Beverage from Discarded Bread Flour Using Two Commercial Probiotics Starters. Foods 2024, 13, 951. [Google Scholar] [CrossRef] [PubMed]
- Nguyen, T.-L.; Toh, M.; Lu, Y.; Ku, S.; Liu, S.-Q. Biovalorization of Market Surplus Bread for Development of Probiotic-Fermented Potential Functional Beverages. Foods 2022, 11, 250. [Google Scholar] [CrossRef] [PubMed]
- Barakat, N.; Bouajila, J.; Beaufort, S.; Rizk, Z.; Taillandier, P.; El Rayess, Y. Development of a New Kombucha from Grape Pomace: The Impact of Fermentation Conditions on Composition and Biological Activities. Beverages 2024, 10, 29. [Google Scholar] [CrossRef]
- Wu, Y.; Chen, R.; Liu, M.; Fang, Y.; Wu, J.; Chen, J.; Yang, X.; Fang, Z.; Fang, X.; Dong, S. The Effects of Lactobacillus Fermentation on the Quality Changes and Flavor Characteristics of Aronia melanocarpa Juice Using Physicochemical Analysis and Electronic Nose Techniques. Food Innov. Adv. 2025, 4, 99–107. [Google Scholar] [CrossRef]
- Zamfir, M.; Angelescu, I.-R.; Voaides, C.; Cornea, C.-P.; Boiu-Sicuia, O.; Grosu-Tudor, S.-S. Non-Dairy Fermented Beverages Produced with Functional Lactic Acid Bacteria. Microorganisms 2022, 10, 2314. [Google Scholar] [CrossRef]
- Grand View Research. Probiotics Market Size & Share|Industry Research Report, 2019–2025. Available online: https://www.grandviewresearch.com/industry-analysis/probiotics-market (accessed on 8 September 2025).
- Wang, J.; Wei, B.; Xu, J.; Jiang, H.; Xu, Y.; Wang, C. Influence of Lactic Acid Fermentation on the Phenolic Profile, Antioxidant Activities, and Volatile Compounds of Black Chokeberry (Aronia melanocarpa) Juice. J. Food Sci. 2024, 89, 834–850. [Google Scholar] [CrossRef]
- Szutowska, J.; Gwiazdowska, D.; Rybicka, I.; Pawlak-Lemańska, K.; Biegańska-Marecik, R.; Gliszczyńska-Świgło, A. Controlled Fermentation of Curly Kale Juice with the Use of Autochthonous Starter Cultures. Food Res. Int. 2021, 149, 110674. [Google Scholar] [CrossRef]
- Harbaum, B.; Hubbermann, E.M.; Zhu, Z.; Schwarz, K. Free and Bound Phenolic Compounds in Leaves of Pak Choi (Brassica campestris L. ssp. chinensis var. communis) and Chinese Leaf Mustard (Brassica juncea Coss). Food Chem. 2008, 110, 838–846. [Google Scholar] [CrossRef]
- Markkinen, N.; Laaksonen, O.; Nahku, R.; Kuldjärv, R.; Yang, B. Impact of Lactic Acid Fermentation on Acids, Sugars, and Phenolic Compounds in Black Chokeberry and Sea Buckthorn Juices. Food Chem. 2019, 286, 204–215. [Google Scholar] [CrossRef]
- Wei, M.; Wang, S.; Gu, P.; Ouyang, X.; Liu, S.; Li, Y.; Zhang, B.; Zhu, B. Comparison of Physicochemical Indexes, Amino Acids, Phenolic Compounds and Volatile Compounds in Bog Bilberry Juice Fermented by Lactobacillus plantarum under Different PH Conditions. J. Food Sci. Technol. 2018, 55, 2240–2250. [Google Scholar] [CrossRef]
- Mousavi, Z.E.; Mousavi, S.M.; Razavi, S.H.; Hadinejad, M.; Emam-Djomeh, Z.; Mirzapour, M. Effect of Fermentation of Pomegranate Juice by Lactobacillus plantarum and Lactobacillus acidophiluson the Antioxidant Activity and Metabolism of Sugars, Organic Acids and Phenolic Compounds. Food Biotechnol. 2013, 27, 1–13. [Google Scholar] [CrossRef]
- Lu, C.; Zhang, J.; Zhao, X.; Zi, Y.; Xiao, X. Biotransformation of Phenolic Acids in Foods: Pathways, Key Enzymes, and Technological Applications. Foods 2025, 14, 2187. [Google Scholar] [CrossRef]
- Ricci, A.; Cirlini, M.; Maoloni, A.; Del Rio, D.; Calani, L.; Bernini, V.; Galaverna, G.; Neviani, E.; Lazzi, C. Use of Dairy and Plant-Derived Lactobacilli as Starters for Cherry Juice Fermentation. Nutrients 2019, 11, 213. [Google Scholar] [CrossRef]
- Re, R.; Pellegrini, N.; Proteggente, A.; Pannala, A.; Yang, M.; Rice-Evans, C. Antioxidant Activity Applying an Improved ABTS Radical Cation Decolorization Assay. Free Radic. Biol. Med. 1999, 26, 1231–1237. [Google Scholar] [CrossRef]
- Arts, M.J.T.J.; Sebastiaan Dallinga, J.; Voss, H.-P.; Haenen, G.R.M.M.; Bast, A. A New Approach to Assess the Total Antioxidant Capacity Using the TEAC Assay. Food Chem. 2004, 88, 567–570. [Google Scholar] [CrossRef]
- EFSA Panel on Biological Hazards (BIOHAZ); Koutsoumanis, K.; Allende, A.; Álvarez-Ordóñez, A.; Bolton, D.; Bover-Cid, S.; Chemaly, M.; de Cesare, A.; Hilbert, F.; Lindqvist, R.; et al. Update of the list of qualified presumption of safety (QPS) recommended microorganisms intentionally added to food or feed as notified to EFSA. EFSA J. 2023, 21, e07747. [Google Scholar] [CrossRef]
- Anisimova, E.; Gorokhova, I.; Karimullina, G.; Yarullina, D. Alarming Antibiotic Resistance of Lactobacilli Isolated from Probiotic Preparations and Dietary Supplements. Antibiotics 2022, 11, 1557. [Google Scholar] [CrossRef] [PubMed]
- Gueimonde, M.; Sánchez, B.; Gde Los Reyes-Gavilán, C.; Margolles, A. Antibiotic Resistance in Probiotic Bacteria. Front. Microbiol. 2013, 4, 202. [Google Scholar] [CrossRef]
- Sharma, P.; Tomar, S.K.; Sangwan, V.; Goswami, P.; Singh, R. Antibiotic Resistance of Lactobacillus sp. Isolated from Commercial Probiotic Preparations. J. Food Saf. 2015, 36, 38–51. [Google Scholar] [CrossRef]
- Campedelli, I.; Mathur, H.; Salvetti, E.; Clarke, S.; Rea, M.C.; Torriani, S.; Ross, R.P.; Hill, C.; O’Toole, P.W. Genus-Wide Assessment of Antibiotic Resistance in Lactobacillus spp. Appl. Environ. Microbiol. 2019, 85, e01738-18. [Google Scholar] [CrossRef]
- Thumu, S.C.R.; Halami, P.M. Acquired Resistance to Macrolide–Lincosamide–Streptogramin Antibiotics in Lactic Acid Bacteria of Food Origin. Indian J. Microbiol. 2012, 52, 530–537. [Google Scholar] [CrossRef] [PubMed][Green Version]
- Casado Muñoz Mdel, C.; Benomar, N.; Lerma, L.L.; Gálvez, A.; Abriouel, H. Antibiotic Resistance of Lactobacillus pentosus and Leuconostoc pseudomesenteroides Isolated from Naturally-Fermented Aloreña Table Olives throughout Fermentation Process. Int. J. Food Microbiol. 2014, 172, 110–118. [Google Scholar] [CrossRef]
- Feld, L.; Schjørring, S.; Hammer, K.; Licht, T.R.; Danielsen, M.; Krogfelt, K.A.; Wilcks, A. Selective Pressure Affects Transfer and Establishment of a Lactobacillus plantarum Resistance Plasmid in the Gastrointestinal Environment. J. Antimicrob. Chemother. 2008, 61, 845–852. [Google Scholar] [CrossRef]
- Nawaz, M.; Wang, J.; Zhou, A.; Ma, C.; Wu, X.; Moore, J.E.; Cherie Millar, B.; Xu, J. Characterization and Transfer of Antibiotic Resistance in Lactic Acid Bacteria from Fermented Food Products. Curr. Microbiol. 2011, 62, 1081–1089. [Google Scholar] [CrossRef]
- Anisimova, E.; Yarullina, D. Characterization of Erythromycin and Tetracycline Resistance in Lactobacillus fermentum Strains. Int. J. Microbiol. 2018, 2018, 1–9. [Google Scholar] [CrossRef]
- Anisimova, E.A.; Yarullina, D.R. Antibiotic Resistance of Lactobacillus Strains. Curr. Microbiol. 2019, 76, 1407–1416. [Google Scholar] [CrossRef]
- de Simone, C. The Unregulated Probiotic Market. Clin. Gastroenterol. Hepatol. 2019, 17, 809–817. [Google Scholar] [CrossRef]




| Microorganism | Medium | Incubation Temperature |
|---|---|---|
| Gram-Positive Bacteria | ||
| Bacillus subtilis DSM 4451 Enterococcus faecalis ATCC 19433 Listeria monocytogenes ATCC 19111 Micrococcus luteus ATCC 4698 Staphylococcus aureus ATCC 33868 | PCA BHI BHI TSA PCA | 37 °C 37 °C 37 °C 30 °C 37 °C |
| Gram-Negative Bacteria | ||
| Escherichia coli ATCC 25922 Pseudomonas paraeruginosa ATCC 9027 Salmonella Enteritidis ATCC 13076 Serratia marcescens PCM 549 | TSA PCA BHI TSA | 37 °C 37 °C 37 °C 30 °C |
| Yeasts | ||
| Rhodotorula mucilaginosa DKK 040 | YPD | 30 °C |
| Strain | Identification by MALDI-TOF MS Method | Indicator Value Identification | Genetic Identification | Percentage of Identity [%] | Number of Identical Matches |
|---|---|---|---|---|---|
| INV001 | Lacticaseibacillus paracasei | 2.42 | Lacticaseibacillus paracasei strain 6561 | 98.02% | 1461/1463 |
| A7 | Lactiplantibacillus plantarum | 2.03 | Lactiplantibacillus plantarum strain A7 | 100% | 1474/1474 |
| INV014 | Loigolactobacillus coryniformis | 2.04 | Loigolactobacillus coryniformis strain DSM 20001 | 98.20% | 1422/1463 |
| P7 | Lentilactobacillus buchneri | 1.59 | Lentilactobacillus buchneri strain P7 | 100% | 1416/1416 |
| INV002 | Lacticaseibacillus rhamnosus | 2.15 | Lacticaseibacillus rhamnosus strain 6358 | 100% | 1463/1465 |
| Strain | MIC [µg/mL] | |||||
|---|---|---|---|---|---|---|
| Ampicillin | Kanamycin | Streptomycin | Erythromycin | Tetracycline | Chloramphenicol | |
| L. paracasei INV001 | 1 (4) | 32 (64) | 128 (64) | <0.0625 (1) | 0.5 (4) | 1 (4) |
| L. plantarum A7 | 2 (2) | 32 (64) | 128 (n.r.) | 0.25 (1) | 4 (32) | 2 (8) |
| L. coryniformis INV014 | 2 (4) | 8 (64) | 64 (64) | 0.5 (1) | 2 (8) | 4 (4) |
| L. buchneri P7 | 1 (2) | 16 (64) | 64 (64) | 0.25 (1) | 2 (128) | 4 (4) |
| L. rhamnosus INV002 | 1 (4) | 32 (64) | 64 (32) | 0.125 (1) | 1 (8) | 4 (4) |
| Low pH Tolerance [%] | Bile Salts Tolerance [%] | Hydrophobicity [%] | ||||
|---|---|---|---|---|---|---|
| Strain | pH 2.0 | pH 3.0 | 0.25% Bile Salts | 0.5% Bile Salts | 1% Bile Salts | |
| L. paracasei INV001 | 87 | 87 | 53 | 41 | 74 | 98.6 |
| L. plantarum A7 | 62 | 71 | 56 | 42 | 74 | 98.6 |
| L. coryniformis INV014 | 72 | 80 | 23 | 30 | 54 | 83.6 |
| L. buchneri P7 | 87 | 78 | 44 | 50 | 62 | 97.5 |
| L. rhamnosus INV002 | 81 | 85 | 38 | 36 | 69 | 98.3 |
| Strain in The Beverage | Fermentation Time | |||||||
|---|---|---|---|---|---|---|---|---|
| 0 h | 24 h | 0 h | 24 h | 0 h | 24 h | 0 h | 24 h | |
| LAB Count (log CFU/mL) | pH Value | TPC (mg GAE/L) | Antioxidant Activity (µM Trolox/mL) | |||||
| L. paracasei INV001 | 6.274 bc ± 0.098 | 8.785 e ± 0.255 | 3.31 C ± 0.04 | 2.54 A ± 0.01 | 369.24 G ± 3.68 | 350.93 F ± 3.22 | 0.446 h ± 0.069 | 0.383 g ± 0.021 |
| L. plantarum A7 | 6.942 d ± 0.159 | 8.826 e ± 0.386 | 3.39 CD ± 0.07 | 2.75 B ± 0.04 | 345.40 F ± 5.01 | 317.30 E ± 3.54 | 0.414 gh ± 0.018 | 0.370 fg ± 0.015 |
| L. coryniformis INV014 | 5.047 a ± 0.108 | 5.878 b ± 0.116 | 3.45 D ± 0.03 | 2.72 B ± 0.02 | 462.47 I ± 9.05 | 507.17 J ± 16.54 | 0.448 h ± 0.024 | 0.537 i ± 0.024 |
| L. buchneri P7 | 6.431 bcd ± 0.090 | 8.653 e ± 0.126 | 3.38 CD ± 0.07 | 2.60 A ± 0.05 | 424.52 H ± 16.60 | 423.24 H ± 9.57 | 0.463 h ± 0.027 | 0.378 g ± 0.039 |
| L. rhamnosus INV002 | 6.714 cd ± 0.076 | 9.066 e ± 0.263 | 3.36 CD ± 0.02 | 2.58 A ± 0.01 | 301.55 E ± 7.00 | 356.46 FG ± 8.63 | 0.315 f ± 0.003 | 0.368 fg ± 0.012 |
Disclaimer/Publisher’s Note: The statements, opinions and data contained in all publications are solely those of the individual author(s) and contributor(s) and not of MDPI and/or the editor(s). MDPI and/or the editor(s) disclaim responsibility for any injury to people or property resulting from any ideas, methods, instructions or products referred to in the content. |
© 2025 by the authors. Licensee MDPI, Basel, Switzerland. This article is an open access article distributed under the terms and conditions of the Creative Commons Attribution (CC BY) license (https://creativecommons.org/licenses/by/4.0/).
Share and Cite
Gwiazdowska, D.; Studenna, W.; Juś, K.; Gluzińska, P.; Olejniczak, A.; Marchwińska, K.; Adamczak, M. Upcycling Wheat-Rye Bread and Chokeberry Waste into Sustainable Fermented Beverages with Potential Probiotic Properties. Sustainability 2025, 17, 8502. https://doi.org/10.3390/su17188502
Gwiazdowska D, Studenna W, Juś K, Gluzińska P, Olejniczak A, Marchwińska K, Adamczak M. Upcycling Wheat-Rye Bread and Chokeberry Waste into Sustainable Fermented Beverages with Potential Probiotic Properties. Sustainability. 2025; 17(18):8502. https://doi.org/10.3390/su17188502
Chicago/Turabian StyleGwiazdowska, Daniela, Wiktoria Studenna, Krzysztof Juś, Paulina Gluzińska, Aleksandra Olejniczak, Katarzyna Marchwińska, and Mateusz Adamczak. 2025. "Upcycling Wheat-Rye Bread and Chokeberry Waste into Sustainable Fermented Beverages with Potential Probiotic Properties" Sustainability 17, no. 18: 8502. https://doi.org/10.3390/su17188502
APA StyleGwiazdowska, D., Studenna, W., Juś, K., Gluzińska, P., Olejniczak, A., Marchwińska, K., & Adamczak, M. (2025). Upcycling Wheat-Rye Bread and Chokeberry Waste into Sustainable Fermented Beverages with Potential Probiotic Properties. Sustainability, 17(18), 8502. https://doi.org/10.3390/su17188502

