Perceived Price Fairness as a Mediator in Customer Green Consumption: Insights from the New Energy Vehicle Industry and Sustainable Practices
Abstract
1. Introduction
2. Literature Review
2.1. Utility Transaction Theory
2.2. Research Status of New Energy Vehicles
2.3. Green Consumption
2.4. Perceived Price Fairness
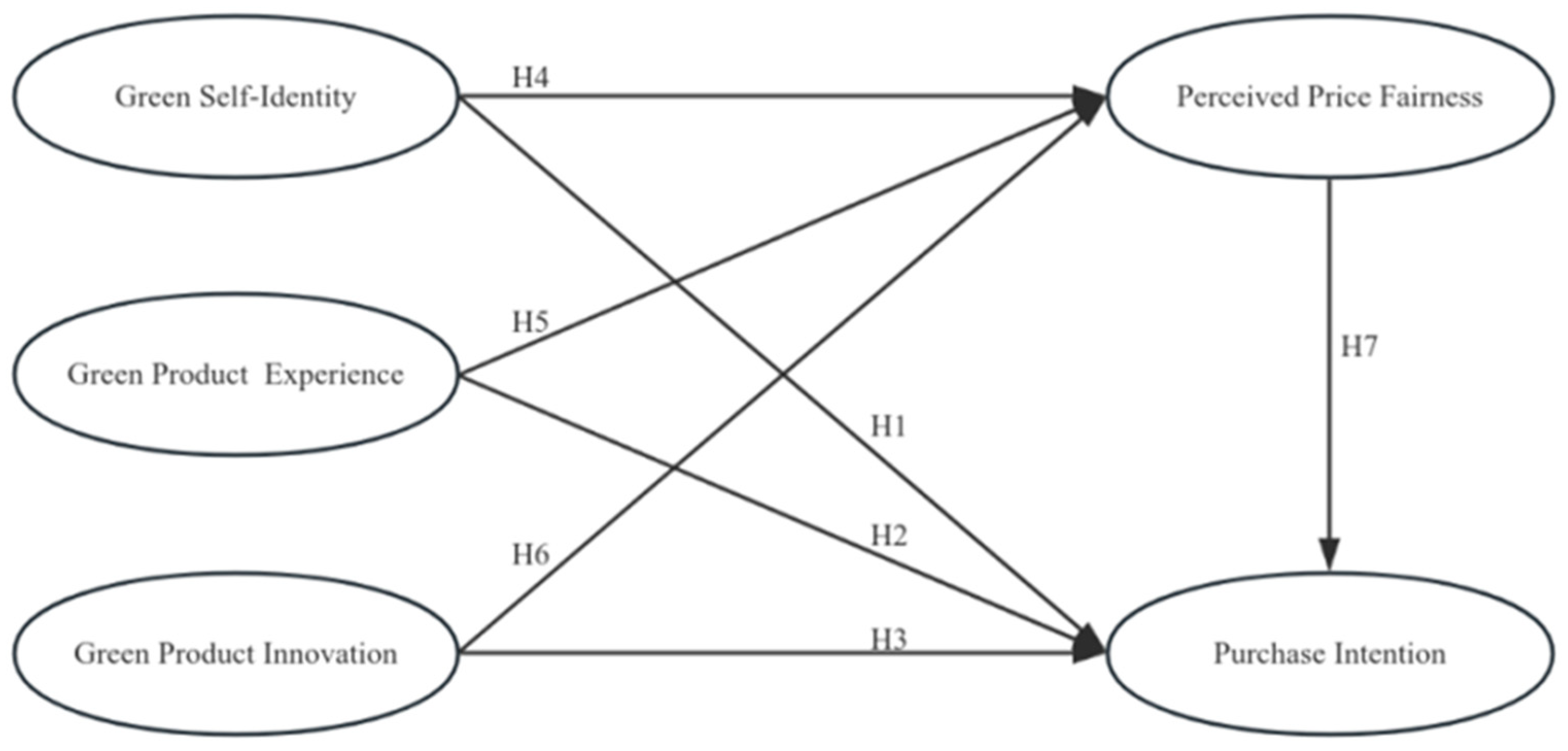
3. Hypotheses and Research Model
4. Methodology
4.1. Measurement
4.2. Data Collection and Sample
5. Data Analysis and Results
5.1. Data Analysis Strategy
5.2. Reliability Testing
5.3. Regression Analysis
5.3.1. Direct Regression Analysis
5.3.2. Mediation Effect Analysis
6. Discussion and Conclusions
6.1. Discussion
6.1.1. Theoretical Implications
6.1.2. Practical Implications
6.2. Conclusions and Limitations
6.2.1. Conclusions
6.2.2. Limitations
Author Contributions
Funding
Institutional Review Board Statement
Informed Consent Statement
Data Availability Statement
Conflicts of Interest
Appendix A. Rotated Component Matrix
| Component | |||||
|---|---|---|---|---|---|
| 1 | 2 | 3 | 4 | 5 | |
| GSI1 | 0.775 | 0.242 | 0.201 | 0.201 | 0.212 |
| GSI2 | 0.662 | 0.089 | 0.087 | 0.151 | 0.244 |
| GSI3 | 0.801 | 0.164 | 0.107 | 0.270 | 0.140 |
| GSI4 | 0.746 | 0.242 | 0.189 | 0.260 | 0.152 |
| GSI5 | 0.638 | 0.193 | 0.285 | −0.043 | 0.037 |
| GSI6 | 0.564 | 0.280 | 0.301 | 0.298 | 0.289 |
| GSI7 | 0.526 | 0.251 | 0.312 | 0.366 | 0.262 |
| GPE1 | 0.197 | 0.184 | 0.809 | 0.217 | 0.154 |
| GPE2 | 0.234 | 0.197 | 0.711 | 0.375 | 0.154 |
| GPE3 | 0.225 | 0.161 | 0.757 | 0.246 | 0.229 |
| GPE4 | 0.234 | 0.257 | 0.742 | 0.125 | 0.205 |
| GPI1 | 0.245 | 0.236 | 0.248 | 0.199 | 0.787 |
| GPI2 | 0.255 | 0.212 | 0.199 | 0.162 | 0.828 |
| GPI3 | 0.220 | 0.265 | 0.199 | 0.176 | 0.823 |
| PPF1 | 0.233 | 0.794 | 0.221 | 0.217 | 0.196 |
| PPF2 | 0.230 | 0.801 | 0.190 | 0.252 | 0.250 |
| PPF3 | 0.282 | 0.779 | 0.237 | 0.242 | 0.214 |
| PPF4 | 0.243 | 0.795 | 0.192 | 0.254 | 0.193 |
| PI1 | 0.214 | 0.238 | 0.238 | 0.828 | 0.154 |
| PI2 | 0.275 | 0.274 | 0.260 | 0.805 | 0.192 |
| PI3 | 0.241 | 0.290 | 0.262 | 0.811 | 0.178 |
| PI4 | 0.239 | 0.346 | 0.304 | 0.472 | 0.228 |
References
- Cheng, Q.; Xiong, Y. Low-Carbon Sustainable Development Driven by New Energy Vehicle Pilot Projects in China: Effects, Mechanisms, and Spatial Spillovers. Sustain. Dev. 2024, 32, 979–1000. [Google Scholar] [CrossRef]
- Qin, Q.; Li, X.; Li, L.; Zhen, W.; Wei, Y.-M. Air Emissions Perspective on Energy Efficiency: An Empirical Analysis of China’s Coastal Areas. Appl. Energy 2017, 185, 604–614. [Google Scholar] [CrossRef]
- Oliver, H.H.; Gallagher, K.S.; Tian, D.; Zhang, J. China’s Fuel Economy Standards for Passenger Vehicles: Rationale, Policy Process, and Impacts. Energy Policy 2009, 37, 4720–4729. [Google Scholar] [CrossRef]
- He, L.-Y.; Qiu, L.-Y. Transport Demand, Harmful Emissions, Environment and Health Co-Benefits in China. Energy Policy 2016, 97, 267–275. [Google Scholar] [CrossRef]
- Xu, B.; Lin, B. Assessing the development of China’s new energy industry. Energy Econ. 2018, 70, 116–131. [Google Scholar] [CrossRef]
- Yang, S.; He, L.-Y. Fuel Demand, Road Transport Pollution Emissions and Residents’ Health Losses in the Transitional China. Transp. Res. D Transp. Environ. 2016, 42, 45–59. [Google Scholar] [CrossRef]
- Fan, J.-L.; Wang, J.-X.; Li, F.; Yu, H.; Zhang, X. Energy Demand and Greenhouse Gas Emissions of Urban Passenger Transport in the Internet Era: A Case Study of Beijing. J. Clean. Prod. 2017, 165, 177–189. [Google Scholar] [CrossRef]
- Global EV Market Share. Available online: https://www.statista.com/statistics/1371599/global-ev-market-share/ (accessed on 12 December 2024).
- Wang, L.; Fu, Z.-L.; Guo, W.; Liang, R.-Y.; Shao, H.-Y. What Influences Sales Market of New Energy Vehicles in China? Empirical Study Based on Survey of Consumers’ Purchase Reasons. Energy Policy 2020, 142, 111484. [Google Scholar] [CrossRef]
- A Brief Analysis of the Production and Sales Situation of the Automobile Industry in September 2024. Available online: http://www.caam.org.cn/chn/4/cate_32/con_5236558.html (accessed on 18 December 2024).
- Global EV Outlook 2024—Analysis. Available online: https://www.iea.org/reports/global-ev-outlook-2024 (accessed on 18 December 2024).
- Thøgersen, J.; Jørgensen, A.; Sandager, S. Consumer Decision Making Regarding a “Green” Everyday Product. Psychol. Mark. 2012, 29, 187–197. [Google Scholar] [CrossRef]
- Dekhili, S.; Achabou, M.A. Price Fairness in the Case of Green Products: Enterprises’ Policies and Consumers’ Perceptions. Bus. Strategy Environ. 2013, 22, 547–560. [Google Scholar] [CrossRef]
- Yan, L.; Keh, H.T.; Chen, J. Assimilating and Differentiating: The Curvilinear Effect of Social Class on Green Consumption. J. Consum. Res. 2021, 47, 914–936. [Google Scholar] [CrossRef]
- Kucher, A.; Hełdak, M.; Kucher, L.; Raszka, B. Factors Forming the Consumers’ Willingness to Pay a Price Premium for Ecological Goods in Ukraine. Int. J. Environ. Res. Public. Health 2019, 16, 859. [Google Scholar] [CrossRef] [PubMed]
- De Lanauze, G.S.; Siadou-Martin, B. Hausses de Prix Dissimulées: Réactions Du Consommateur et Enjeux Pour La Marque. Décis. Mark. 2009, 4, 47–62. [Google Scholar] [CrossRef]
- Kumar, P.; Ghodeswar, B.M. Factors affecting consumers’ green product purchase decisions. Mark. Intell. Plan. 2015, 33, 330–347. [Google Scholar] [CrossRef]
- Garg, R.; Rahman, Z.; Qureshi, M.N. Measuring Customer Experience in Banks: Scale Development and Validation. J. Model. Manag. 2014, 9, 87–117. [Google Scholar] [CrossRef]
- He, X.; Hu, Y. The Decision-Making Processes for Consumer Electric Vehicle Adoption Based on a Goal-Directed Behavior Model. World Electr. Veh. J. 2024, 15, 386. [Google Scholar] [CrossRef]
- Zhao, H.; Bai, R.; Liu, R.; Wang, H. Exploring Purchase Intentions of New Energy Vehicles: Do “Mianzi” and Green Peer Influence Matter? Front. Psychol. 2022, 13, 951132. [Google Scholar] [CrossRef]
- Dutta, B.; Hwang, H.-G. Consumers Purchase Intentions of Green Electric Vehicles: The Influence of Consumers Technological and Environmental Considerations. Sustainability 2021, 13, 12025. [Google Scholar] [CrossRef]
- Bian, X.; Panyagometh, A. The Influence of Perceived ESG and Policy Incentives on Consumers’ Intention to Purchase New Energy Vehicles: Empirical Evidence from China. Innov. Mark. 2023, 19, 187–198. [Google Scholar] [CrossRef]
- Zhang, X.; Wang, K.; Hao, Y.; Fan, J.-L.; Wei, Y.-M. The Impact of Government Policy on Preference for NEVs: The Evidence from China. Energy Policy 2013, 61, 382–393. [Google Scholar] [CrossRef]
- Sun, H.; Jing, P.; Wang, B.; Cai, Y.; Ye, J.; Wang, B. The Effect of Record-High Gasoline Prices on the Consumers’ New Energy Vehicle Purchase Intention: Evidence from the Uniform Experimental Design. Energy Policy 2023, 175, 113500. [Google Scholar] [CrossRef]
- Deng, J.; Nam, E.-Y. Effects of Chinese Firms’ Innovation on New Energy Vehicles Purchases. Sustainability 2022, 14, 12426. [Google Scholar] [CrossRef]
- Jiang, Q.; Wei, W.; Guan, X.; Yang, D. What Increases Consumers’ Purchase Intention of Battery Electric Vehicles from Chinese Electric Vehicle Start-Ups? Taking NIO as an Example. World Electr. Veh. J. 2021, 12, 71. [Google Scholar] [CrossRef]
- Yang, C.; Tu, J.-C.; Jiang, Q. The Influential Factors of Consumers’ Sustainable Consumption: A Case on Electric Vehicles in China. Sustainability 2020, 12, 3496. [Google Scholar] [CrossRef]
- Barbarossa, C.; Pastore, A. Why Environmentally Conscious Consumers Do Not Purchase Green Products: A Cognitive Mapping Approach. Qual. Mark. Res. Int. J. 2015, 18, 188–209. [Google Scholar] [CrossRef]
- Hartmann, P.; Apaolaza-Ibáñez, V. Consumer Attitude and Purchase Intention toward Green Energy Brands: The Roles of Psychological Benefits and Environmental Concern. J. Bus. Res. 2012, 65, 1254–1263. [Google Scholar] [CrossRef]
- Zameer, H.; Yasmeen, H. Green Innovation and Environmental Awareness Driven Green Purchase Intentions. Mark. Intell. Plan. 2022, 40, 624–638. [Google Scholar] [CrossRef]
- Chen, L.; Liu, X.; Jing, P. Do Unprecedented Gasoline Prices Affect the Consumer Switching to New Energy Vehicles? An Integrated Social Cognitive Theory Model. Sustainability 2023, 15, 8030. [Google Scholar] [CrossRef]
- Wang, Y.; Tian, Y. The Impact of New Energy Vehicle Product Attributes on Consumer Purchase Intention in the Backdrop of Sustainable Development Goals. Sustainability 2023, 15, 1989. [Google Scholar] [CrossRef]
- Campbell, M.C. “Says Who?!” How the Source of Price Information and Affect Influence Perceived Price (Un)Fairness. J. Mark. Res. 2007, 44, 261–271. [Google Scholar] [CrossRef]
- Thaler, R. Mental Accounting and Consumer Choice. Mark. Sci. 1985, 4, 199–214. [Google Scholar] [CrossRef]
- Koller, M.; Floh, A.; Zauner, A. Further Insights into Perceived Value and Consumer Loyalty: A “Green” Perspective. Psychol. Mark. 2011, 28, 1154–1176. [Google Scholar] [CrossRef]
- Hur, W.; Kim, Y.; Park, K. Assessing the Effects of Perceived Value and Satisfaction on Customer Loyalty: A ‘Green’ Perspective. Corp. Soc. Responsib. Environ. Manag. 2013, 20, 146–156. [Google Scholar] [CrossRef]
- Papista, E.; Krystallis, A. Investigating the Types of Value and Cost of Green Brands: Proposition of a Conceptual Framework. J. Bus. Ethics 2013, 115, 75–92. [Google Scholar] [CrossRef]
- Audrain-Pontevia, A.-F.; N’Goala, G.; Poncin, I. A Good Deal Online: The Impacts of Acquisition and Transaction Value on E-Satisfaction and E-Loyalty. J. Retail. Consum. Serv. 2013, 20, 445–452. [Google Scholar] [CrossRef]
- Mazumdar, T.; Raj, S.P.; Sinha, I. Reference Price Research: Review and Propositions. J. Mark. 2005, 69, 84–102. [Google Scholar] [CrossRef]
- Silintowe, Y.B.R.; Sukresna, I.M. Understanding Green Self-Identity: Does It Affect Green Buying Behavior? Social Identity Theory Perspective. Sci. Pap. Univ. Pardubice D Fac. Econ. Adm. 2023, 31, 1624. [Google Scholar] [CrossRef]
- Urbany, J.E.; Bearden, W.O.; Kaicker, A.; Borrero, M.S. Transaction Utility Effects When Quality Is Uncertain. J. Acad. Mark. Sci. 1997, 25, 45–55. [Google Scholar] [CrossRef]
- Çeti, B.; Hassan, A.T. Bibliometric Profile of Studies Related with Equity Theory. J. Tour. 2019, 5, 17–29. [Google Scholar] [CrossRef]
- Sohaib, M.; Wang, Y.; Iqbal, K.; Han, H. Nature-Based Solutions, Mental Health, Well-Being, Price Fairness, Attitude, Loyalty, and Evangelism for Green Brands in the Hotel Context. Int. J. Hosp. Manag. 2022, 101, 103126. [Google Scholar] [CrossRef]
- Grewal, D.; Monroe, K.B.; Krishnan, R. The Effects of Price-Comparison Advertising on Buyers’ Perceptions of Acquisition Value, Transaction Value, and Behavioral Intentions. J. Mark. 1998, 62, 46–59. [Google Scholar] [CrossRef]
- Kempton, W.; Letendre, S.E. Electric Vehicles as a New Power Source for Electric Utilities. Transp. Res. D Transp. Environ. 1997, 2, 157–175. [Google Scholar] [CrossRef]
- Zhang, H.; Huang, J.; Hu, R.; Zhou, D.; Khan, H.U.R.; Ma, C. Echelon utilization of waste power batteries in new energy vehicles: Review of Chinese policies. Energy 2020, 206, 118178. [Google Scholar] [CrossRef]
- Moura Bernardes, A.; Espinosa, D.C.R.; Tenório, J.A.S. Collection and Recycling of Portable Batteries: A Worldwide Overview Compared to the Brazilian Situation. J. Power Sources 2003, 124, 586–592. [Google Scholar] [CrossRef]
- Asari, M.; Sakai, S. Li-Ion Battery Recycling and Cobalt Flow Analysis in Japan. Resour. Conserv. Recycl. 2013, 81, 52–59. [Google Scholar] [CrossRef]
- Lai, X.; Zhang, S.; Mao, N.; Liu, J.; Chen, Q. Kansei engineering for new energy vehicle exterior design: An internet big data mining approach. Comput. Ind. Eng. 2022, 165, 107913. [Google Scholar] [CrossRef]
- Sheng, M.S.; Sreenivasan, A.V.; Sharp, B.; Du, B. Well-to-Wheel Analysis of Greenhouse Gas Emissions and Energy Consumption for Electric Vehicles: A Comparative Study in Oceania. Energy Policy 2021, 158, 112552. [Google Scholar] [CrossRef]
- Su, C.-W.; Yuan, X.; Tao, R.; Umar, M. Can New Energy Vehicles Help to Achieve Carbon Neutrality Targets? J. Environ. Manag. 2021, 297, 113348. [Google Scholar] [CrossRef] [PubMed]
- Zhou, N.; Wu, Q.; Hu, X. Research on the Policy Evolution of China’s New Energy Vehicles Industry. Sustainability 2020, 12, 3629. [Google Scholar] [CrossRef]
- Chen, Y.; Chang, C. Enhance Green Purchase Intentions: The Roles of Green Perceived Value, Green Perceived Risk, and Green Trust. Manag. Decis. 2012, 50, 502–520. [Google Scholar] [CrossRef]
- Chen, J.; Liu, Q. The Green Consumption Behavior Process Mechanism of New Energy Vehicles Driven by Big Data—From a Metacognitive Perspective. Sustainability 2023, 15, 8391. [Google Scholar] [CrossRef]
- Xing, Y.; Li, M.; Liao, Y. Trust, Price Sensitivity and Consumers’ Organic Food Purchasing Behaviour in China. Food Sci. Technol. 2022, 42, e42422. [Google Scholar] [CrossRef]
- Wang, J.; Pham, T.L.; Dang, V.T. Environmental Consciousness and Organic Food Purchase Intention: A Moderated Mediation Model of Perceived Food Quality and Price Sensitivity. Int. J. Environ. Res. Public Health 2020, 17, 850. [Google Scholar] [CrossRef] [PubMed]
- Ghali-Zinoubi, Z.; Toukabri, M. The Antecedents of the Consumer Purchase Intention: Sensitivity to Price and Involvement in Organic Product: Moderating Role of Product Regional Identity. Trends Food Sci. Technol. 2019, 90, 175–179. [Google Scholar] [CrossRef]
- Sepehrian, A.H.; Mirzazadeh, Z.S.; Aghaei Shahri, M.S. Effect of Price Transparency on the Perception of Fair Price and Satisfaction with the Purchase of Sports Products. J. Revenue Pricing Manag. 2023, 22, 327–337. [Google Scholar] [CrossRef]
- Karipidis, P.; Sartzetakis, E. Firm’s Decisions Based on Consumers’ Choices in Ecocertified Food Markets. Econ. Res. Int. 2013, 2013, 1–10. [Google Scholar] [CrossRef]
- Iyer, P.; Davari, A.; Paswan, A. Green Products: Altruism, Economics, Price Fairness and Purchase Intention. Soc. Bus. 2016, 6, 39–64. [Google Scholar] [CrossRef]
- Wang, R. Sustainable Consumption from the Consumer’s Perspective: A Study on the Purchase Intention of Green Food in China. Master’s Thesis, University of Bedfordshire, Luton, UK, September 2009. [Google Scholar]
- Sana, S.S. Price Competition between Green and Non Green Products under Corporate Social Responsible Firm. J. Retail. Consum. Serv. 2020, 55, 102118. [Google Scholar] [CrossRef]
- Nguyen, T.T.H.; Yang, Z.; Nguyen, N.; Johnson, L.W.; Cao, T.K. Greenwash and Green Purchase Intention: The Mediating Role of Green Skepticism. Sustainability 2019, 11, 2653. [Google Scholar] [CrossRef]
- Malc, D.; Mumel, D.; Pisnik, A. Exploring Price Fairness Perceptions and Their Influence on Consumer Behavior. J. Bus. Res. 2016, 69, 3693–3697. [Google Scholar] [CrossRef]
- Daskalopoulou, I.; Petrou, A. Consumers’ Expenditures and Perceived Price Fairness. Int. J. Soc. Econ. 2006, 33, 766–780. [Google Scholar] [CrossRef]
- Andrés-Martínez, M.-E.; Gómez-Borja, M.-Á.; Mondéjar-Jiménez, J.-A. A Model to Evaluate the Effects of Price Fairness Perception in Online Hotel Booking. Electron. Commer. Res. 2014, 14, 171–187. [Google Scholar] [CrossRef]
- Reavey, B.; Suri, R. Determining Fairness: A Cognitive Process of Price Fairness Situations. In Proceedings of the 2010 Academy of Marketing Science (AMS) Annual Conference; Deeter-Schmelz, D.R., Ed.; Springer International Publishing: Cham, Switzerland, 2015; p. 177. [Google Scholar]
- Xia, L.; Monroe, K.B. Is a Good Deal Always Fair? Examining the Concepts of Transaction Value and Price Fairness. J. Econ. Psychol. 2010, 31, 884–894. [Google Scholar] [CrossRef]
- Yang, L.; Zheng, Y.; Fan, J.; Dong, S. Online Pricing Strategy with Considering Consumers’ Fairness Concerns. Asia-Pac. J. Oper. Res. 2022, 39, 2140032. [Google Scholar] [CrossRef]
- Huangfu, G.; Zhu, L. Chinese Consumers’ Perception of Price Fairness to State-Owned and Non-State-Owned Enterprises. In Proceedings of the 2010 7th International Conference on Service Systems and Service Management, Tokyo, Japan, 28–30 June 2010; pp. 1–4. [Google Scholar]
- Ahmed, S.; Al Asheq, A.; Ahmed, E.; Chowdhury, U.Y.; Sufi, T.; Mostofa, M.G. The Intricate Relationships of Consumers’ Loyalty and Their Perceptions of Service Quality, Price and Satisfaction in Restaurant Service. TQM J. 2023, 35, 519–539. [Google Scholar] [CrossRef]
- Victor, V.; Nathan, R.J.; Farkas, M.F. Consumer Response towards Personalised Pricing Strategies in Online Marketing. Int. J. Technol. Mark. 2021, 15, 223. [Google Scholar] [CrossRef]
- Confente, I.; Scarpi, D.; Russo, I. Marketing a New Generation of Bio-Plastics Products for a Circular Economy: The Role of Green Self-Identity, Self-Congruity, and Perceived Value. J. Bus. Res. 2020, 112, 431–439. [Google Scholar] [CrossRef]
- Van Der Werff, E.; Steg, L.; Keizer, K. It Is a Moral Issue: The Relationship between Environmental Self-Identity, Obligation-Based Intrinsic Motivation and pro-Environmental Behaviour. Glob. Environ. Chang. 2013, 23, 1258–1265. [Google Scholar] [CrossRef]
- Patel, J.D.; Trivedi, R.H.; Yagnik, A. Self-Identity and Internal Environmental Locus of Control: Comparing Their Influences on Green Purchase Intentions in High-Context versus Low-Context Cultures. J. Retail. Consum. Serv. 2020, 53, 102003. [Google Scholar] [CrossRef]
- Whitmarsh, L.; O’Neill, S. Green Identity, Green Living? The Role of pro-Environmental Self-Identity in Determining Consistency across Diverse pro-Environmental Behaviours. J. Environ. Psychol. 2010, 30, 305–314. [Google Scholar] [CrossRef]
- Sharma, N.; Saha, R.; Sreedharan, V.R.; Paul, J. Relating the Role of Green Self-Concepts and Identity on Green Purchasing Behaviour: An Empirical Analysis. Bus. Strategy Environ. 2020, 29, 3203–3219. [Google Scholar] [CrossRef]
- Wang, J.; Wu, L. The Impact of Emotions on the Intention of Sustainable Consumption Choices: Evidence from a Big City in an Emerging Country. J. Clean. Prod. 2016, 126, 325–336. [Google Scholar] [CrossRef]
- Kumar, B. Theory of Planned Behaviour Approach to Understand the Purchasing Behaviour for Environmentally Sustainable Products; IIMA Working Papers: Ahmedabad, India, 2012. [Google Scholar]
- Curvelo, I.C.G.; Watanabe, E.A.D.M.; Alfinito, S. Purchase Intention of Organic Food under the Influence of Attributes, Consumer Trust and Perceived Value. Revista Gestão 2019, 26, 198–211. [Google Scholar] [CrossRef]
- Laroche, M.; Bergeron, J.; Barbaro-Forleo, G. Targeting Consumers Who Are Willing to Pay More for Environmentally Friendly Products. J. Consum. Mark. 2001, 18, 503–520. [Google Scholar] [CrossRef]
- Khare, A. Consumers’ Susceptibility to Interpersonal Influence as a Determining Factor of Ecologically Conscious Behaviour. Mark. Intell. Plan. 2014, 32, 2–20. [Google Scholar] [CrossRef]
- Hutchinson, J.W.; Eisenstein, E.M. Consumer Learning and Expertise. In Handbook of Consumer Psychology; Routledge: New York, NY, USA, 2008; ISBN 978-1-315-64836-1. [Google Scholar]
- Gogoll, J.; Müller, J.F. Autonomous Cars: In Favor of a Mandatory Ethics Setting. Sci. Eng. Ethics 2017, 23, 681–700. [Google Scholar] [CrossRef] [PubMed]
- Soylu, K.; Dumville, J.C. Design for Environment: The Greening of Product and Supply Chain. Marit. Econ. Logist. 2011, 13, 29–43. [Google Scholar] [CrossRef]
- Chiou, T.-Y.; Chan, H.K.; Lettice, F.; Chung, S.H. The Influence of Greening the Suppliers and Green Innovation on Environmental Performance and Competitive Advantage in Taiwan. Transp. Res. E Logist. Transp. Rev. 2011, 47, 822–836. [Google Scholar] [CrossRef]
- Wong, V.; Turner, W.; Stoneman, P. Marketing Strategies and Market Prospects for Environmentally-Friendly Consumer Products. Brit. J. Manag. 1996, 7, 263–281. [Google Scholar] [CrossRef]
- Horn, D.; Salvendy, G. Consumer-Based Assessment of Product Creativity: A Review and Reappraisal. Hum. Factor. Ergon. Man. 2006, 16, 155–175. [Google Scholar] [CrossRef]
- Hubert, M.; Florack, A.; Gattringer, R.; Eberhardt, T.; Enkel, E.; Kenning, P. Flag up!—Flagship Products as Important Drivers of Perceived Brand Innovativeness. J. Bus. Res. 2017, 71, 154–163. [Google Scholar] [CrossRef]
- Ogiemwonyi, O. Determinants of Green Behavior (Revisited): A Comparative Study. Resour. Conserv. Recycl. Adv. 2024, 22, 200214. [Google Scholar] [CrossRef]
- Zhuang, W.; Cumiskey, K.J.; Xiao, Q.; Alford, B.L. The Impact of Perceived Value on Behavior Intention: An Empirical Study. J. Glob. Bus. Manag. 2010, 6, 1. [Google Scholar]
- Khare, A.; Pandey, S. Role of Green Self-Identity and Peer Influence in Fostering Trust towards Organic Food Retailers. Int. J. Retail Distrib. Manag. 2017, 45, 969–990. [Google Scholar] [CrossRef]
- Kahneman, D.; Knetsch, J.L.; Thaler, R.H. CHAPTER EIGHT. Fairness as a Constraint on Profit Seeking: Entitlements in the Market. In Advances in Behavioral Economics; Princeton University Press: Princeton, NJ, USA, 2011; pp. 252–270. ISBN 978-1-4008-2911-8. [Google Scholar]
- Maxwell, S.; Estelami, H. The Behavioral Aspects of Pricing. J. Prod. Brand Manag. 2010, 19, 7. [Google Scholar] [CrossRef]
- Zhao, H.; Gao, Q.; Wu, Y.; Wang, Y.; Zhu, X. What Affects Green Consumer Behavior in China? A Case Study from Qingdao. J. Cleaner Prod. 2014, 63, 143–151. [Google Scholar] [CrossRef]
- Paladino, A. Investigating the Drivers of Innovation and New Product Success: A Comparison of Strategic Orientations. J. Prod. Innovat. Manag. 2007, 24, 534–553. [Google Scholar] [CrossRef]
- Worsfold, K.; Fisher, R.; McPhail, R.; Francis, M.; Thomas, A. Satisfaction, Value and Intention to Return in Hotels. Int. J. Contemp. Hosp. Manag. 2016, 28, 2570–2588. [Google Scholar] [CrossRef]
- Zameer, H.; Tara, A.; Kausar, U.; Mohsin, A. Impact of Service Quality, Corporate Image and Customer Satisfaction towards Customers’ Perceived Value in the Banking Sector in Pakistan. Int. J. Bank Mark. 2015, 33, 442–456. [Google Scholar] [CrossRef]
- He, H.; Liu, D.; Lu, X.; Xu, J. ECO Driving Control for Intelligent Electric Vehicle with Real-Time Energy. Electronics 2021, 10, 2613. [Google Scholar] [CrossRef]
- Murali, P.K.; Kaboli, M.; Dahiya, R. Intelligent In-Vehicle Interaction Technologies. Adv. Intell. Syst. 2022, 4, 2100122. [Google Scholar] [CrossRef]
- Zepf, S.; Hernandez, J.; Schmitt, A.; Minker, W.; Picard, R.W. Driver Emotion Recognition for Intelligent Vehicles: A Survey. ACM Comput. Surv. 2021, 53, 1–30. [Google Scholar] [CrossRef]
- Afum, E.; Zhang, R.; Agyabeng-Mensah, Y.; Sun, Z. Sustainability Excellence: The Interactions of Lean Production, Internal Green Practices and Green Product Innovation. Int. J. Lean Six Sigma 2021, 12, 1089–1114. [Google Scholar] [CrossRef]
- Alanazi, F. Electric Vehicles: Benefits, Challenges, and Potential Solutions for Widespread Adaptation. Appl. Sci. 2023, 13, 6016. [Google Scholar] [CrossRef]
- Chiang, C.-F.; Jang, S.S. The Effects of Perceived Price and Brand Image on Value and Purchase Intention: Leisure Travelers’ Attitudes Toward Online Hotel Booking. J. Hosp. Leis. Mark. 2007, 15, 49–69. [Google Scholar] [CrossRef]
- El Haddad, R.; Hallak, R.; Assaker, G. Price Fairness Perceptions and Hotel Customers’ Behavioral Intentions. J. Vacat. Mark. 2015, 21, 262–276. [Google Scholar] [CrossRef]
- Lee, S.; Illia, A.; Lawson-Body, A. Perceived Price Fairness of Dynamic Pricing. Ind. Manag. Data Syst. 2011, 111, 531–550. [Google Scholar] [CrossRef]
- Chung, J.Y. The Antecedents and Consequences of Price Fairness in Tourism. Ph.D. Thesis, Texas A&M University, College Station, TX, USA, December 2012. [Google Scholar]
- Bougie, R.; Pieters, R.; Zeelenberg, M. Angry Customers Don’t Come Back, They Get Back: The Experience and Behavioral Implications of Anger and Dissatisfaction in Services. J. Acad. Mark. Sci. 2003, 31, 377–393. [Google Scholar] [CrossRef]
- Wu, H.; Leung, S.-O. Can Likert Scales Be Treated as Interval Scales?—A Simulation Study. J. Soc. Serv. Res. 2017, 43, 527–532. [Google Scholar] [CrossRef]
- Kusmaryono, I.; Wijayanti, D.; Maharani, H.R. Number of Response Options, Reliability, Validity, and Potential Bias in the Use of the Likert Scale Education and Social Science Research: A Literature Review. Int. J. Educ. Methodol. 2022, 8, 625–637. [Google Scholar] [CrossRef]
- DiStefano, C.; Shi, D.; Morgan, G.B. Collapsing Categories Is Often More Advantageous than Modeling Sparse Data: Investigations in the CFA Framework. Struct. Equ. Model. Multidiscip. J. 2021, 28, 237–249. [Google Scholar] [CrossRef]
- Barbarossa, C.; De Pelsmacker, P.; Moons, I. Personal Values, Green Self-Identity and Electric Car Adoption. Ecol. Econ. 2017, 140, 190–200. [Google Scholar] [CrossRef]
- Andersén, J. A Relational Natural-Resource-Based View on Product Innovation: The Influence of Green Product Innovation and Green Suppliers on Differentiation Advantage in Small Manufacturing Firms. Technovation 2021, 104, 102254. [Google Scholar] [CrossRef]
- Zhu, Q.; Sarkis, J.; Lai, K. Confirmation of a Measurement Model for Green Supply Chain Management Practices Implementation. Int. J. Prod. Econ. 2008, 111, 261–273. [Google Scholar] [CrossRef]
- Leinsle, P.; Totzek, D.; Schumann, J.H. How Price Fairness and Fit Affect Customer Tariff Evaluations. J. Serv. Manag. 2018, 29, 735–764. [Google Scholar] [CrossRef]
- Dodds, W.B.; Monroe, K.B.; Grewal, D. Effects of Price, Brand, and Store Information on Buyers’ Product Evaluations. J. Mark. Res. 1991, 28, 307–319. [Google Scholar] [CrossRef]
- Yadav, R.; Pathak, G.S. Young Consumers’ Intention towards Buying Green Products in a Developing Nation: Extending the Theory of Planned Behavior. J. Clean. Prod. 2016, 135, 732–739. [Google Scholar] [CrossRef]
- Oliver, P. Sociology: A Complete Introduction: Teach Yourself; John Murray Press: Hachette, UK, 2015; ISBN 978-1-4736-1167-2. [Google Scholar]
- Thomas, F.B. The Role of Purposive Sampling Technique as a Tool for Informal Choices in a Social Sciences in Research Methods. Just Agric. 2022, 2, 1–8. [Google Scholar]
- Hair, J.F.; Risher, J.J.; Sarstedt, M.; Ringle, C.M. When to Use and How to Report the Results of PLS-SEM. Eur. Bus. Rev. 2019, 31, 2–24. [Google Scholar] [CrossRef]
- Kaiser, H.F. The varimax criterion for analytic rotation in factor analysis. Psychometrika 1958, 23, 187–200. [Google Scholar]
- Costello, A.B.; Osborne, J. Best practices in exploratory factor analysis: Four recommendations for getting the most from your analysis. Pract. Assess. Res. Eval. 2005, 10, 7. [Google Scholar]
- Wang, H.; Liu, Q.; Tu, Y. Interpretation of partial least-squares regression models with VARIMAX rotation. Comput. Stat. Data Anal. 2005, 48, 207–219. [Google Scholar]
- Han, R.; Zhang, A.R. Rungang Han and Anru R. Zhangs contribution to the Discussion of ‘Vintage factor analysis with varimax performs statistical inference’ by Rohe & Zeng. J. R. Stat. Soc. Ser. B Stat. Methodol. 2023, 85, 1069–1070. [Google Scholar]
- Napitupulu, D.; Abdel Kadar, J.; Kartika Jati, R. (PDF) Validity Testing of Technology Acceptance Model Based on Factor Analysis Approach. Indones. J. Electr. Eng. Comput. Sci. 2017, 5, 697. [Google Scholar] [CrossRef]
- Abu-Bader, S.; Jones, T.V. Statistical Mediation Analysis Using the Sobel Test and Hayes SPSS Process Macro. Int. J. Quant. Qual. Res. Methods 2021, 9, 42–61. [Google Scholar]
- Xia, X. Research on a Mediation Model of the Impact of Parental Involvement on Children’s Cognitive and Language Skills Based on Process Macro in SPSS. In Proceedings of the 2023 8th International Conference on Multimedia Systems and Signal Processing, Shenzhen, China, 26–28 May 2023; Association for Computing Machinery: New York, NY, USA, 2023; pp. 14–18. [Google Scholar]
- Geminiani, E.; Ceulemans, E.; De Roover, K. Testing for Factor Loading Differences in Mixture Simultaneous Factor Analysis: A Monte Carlo Simulation-Based Perspective. Struct. Equ. Model. Multidiscip. J. 2021, 28, 391–409. [Google Scholar] [CrossRef]
- Zizler, P.; Ittyipe, S. On Nonnegative Loading Matrices: Two-Factor Case. Appl. Math. E-Notes 2023, 23, 477–483. [Google Scholar]
- Beauducel, A.; Spohn, F. Retained-Components Factor Transformation: Factor Loadings and Factor Score Predictors in the Column Space of Retained Components. J. Mod. Appl. Stat. Methods 2014, 13, 106–130. [Google Scholar] [CrossRef]
- Dong, X.; Liu, S.; Li, H.; Yang, Z.; Liang, S.; Deng, N. Love of Nature as a Mediator between Connectedness to Nature and Sustainable Consumption Behavior. J. Clean. Prod. 2020, 242, 118451. [Google Scholar] [CrossRef]
- Lambert, E. Sustainable Fashion Consumption: Theory of Planned Behavior and the Influence of Self-Identity, Perceived Consumer Effectiveness and Fashion Consciousness. Master’s Thesis, Lappeenranta University of Technology, Lappeenranta, Finland, 2019. [Google Scholar]
- Ciasullo, M.; Maione, G.; Torre, C.; Troisi, O. What about Sustainability? An Empirical Analysis of Consumers’ Purchasing Behavior in Fashion Context. Sustainability 2017, 9, 1617. [Google Scholar] [CrossRef]
- Singh, N.; Gupta, K.; Kapur, B. Greenwashed Word of Mouth (GWWOM): A Vibrant Influence on Customer Green Behaviour. J. Glob. Responsib. 2022, 13, 472–487. [Google Scholar] [CrossRef]
- Karimi Takalo, S.; Sayyadi Tooranloo, H.; Shahabaldini Parizi, Z. Green Innovation: A Systematic Literature Review. J. Clean. Prod. 2021, 279, 122474. [Google Scholar] [CrossRef]
- Torres-Moraga, E.; Vidal-Buitano, A. The Role of Motivations in the Construction of Patronage Intention of Innovative Green Products. Acad. Rev. Latinoam. Adm. 2022, 35, 183–203. [Google Scholar] [CrossRef]

| Personal Characteristics Variables | Delineation | Quantities | Percentage |
|---|---|---|---|
| Sex | male | 159 | 52.1% |
| female | 146 | 47.9% | |
| Age | Under 18 | 0 | 0% |
| Between 19 and 28 | 93 | 30.5% | |
| Between 29 and 38 | 139 | 45.6% | |
| Between 39 and 48 | 39 | 12.8% | |
| Between 49 and 58 | 27 | 8.9% | |
| Over 59 | 7 | 2.3% | |
| Qualifications | Junior high school and below | 10 | 3.3% |
| High school or junior college | 27 | 8.9% | |
| Three-year college | 76 | 24.9% | |
| Undergraduate | 149 | 48.9% | |
| Master’s degree or above | 43 | 14.1% | |
| Monthly Income | Under CNY 5000 | 79 | 25.9% |
| Between CNY 5001 and CNY 10,000 | 114 | 37.4% | |
| Between CNY 10,001 and CNY 15,000 | 57 | 18.7% | |
| Between CNY 15,001 and CNY 20,000 | 28 | 9.33% | |
| Over CNY 20,000 | 26 | 8.5% | |
| Occupation | General laborers or service workers | 79 | 25.9% |
| Staff of organizations, institutions, and state-owned enterprises | 67 | 22% | |
| Workers in the fields of education, research, or health | 34 | 11.1% | |
| Owners or employees of private enterprises | 70 | 23.0% | |
| Owners or employees of self-employed enterprises | 55 | 18.0% |
| Variables | Items | Factor Loading | Cronbach’s Alpha | KMO | AVE | CR |
|---|---|---|---|---|---|---|
| GSI | GSI1 | 0.775 | 0.875 | 0.742 | 0.600 | 0.818 |
| GSI3 | 0.801 | |||||
| GSI4 | 0.746 | |||||
| GPE | GPE1 | 0.809 | 0.865 | 0.834 | 0.571 | 0.842 |
| GPE2 | 0.711 | |||||
| GPE3 | 0.757 | |||||
| GPE4 | 0.742 | |||||
| GPI | GRI1 | 0.787 | 0.802 | 0.760 | 0.661 | 0.854 |
| GRI2 | 0.828 | |||||
| GRI3 | 0.823 | |||||
| PPF | PPF1 | 0.794 | 0.841 | 0.854 | 0.628 | 0.871 |
| PPF2 | 0.801 | |||||
| PPF3 | 0.779 | |||||
| PPF4 | 0.795 | |||||
| PI | PI1 | 0.828 | 0.891 | 0.770 | 0.664 | 0.856 |
| PI2 | 0.805 | |||||
| PI3 | 0.811 |
| GSI | GPE | GPI | PPF | PI | |
|---|---|---|---|---|---|
| GSI | 0.775 | ||||
| GPE | 0.558 ** | 0.756 | |||
| GPI | 0.542 ** | 0.564 ** | 0.813 | ||
| PPF | 0.592 ** | 0.593 ** | 0.599 ** | 0.792 | |
| PI | 0.585 ** | 0.634 ** | 0.532 ** | 0.640 ** | 0.815 |
| Dependent Variables | PPF | PI | ||||
|---|---|---|---|---|---|---|
| Independent Variables | Coefficient | f2 | R2 | Coefficient | f2 | R2 |
| GSI | 0.315 *** | 0.098 | 0.710 | 0.368 ** | 0.048 | 0.734 |
| GPE | 0.287 *** | 0.087 | 0.477 *** | 0.110 | ||
| GPI | 0.301 *** | 0.105 | 0.193 ** | 0.070 | ||
| PPF | / | / | / | 0.747 *** | 0.095 | |
Disclaimer/Publisher’s Note: The statements, opinions and data contained in all publications are solely those of the individual author(s) and contributor(s) and not of MDPI and/or the editor(s). MDPI and/or the editor(s) disclaim responsibility for any injury to people or property resulting from any ideas, methods, instructions or products referred to in the content. |
© 2024 by the authors. Licensee MDPI, Basel, Switzerland. This article is an open access article distributed under the terms and conditions of the Creative Commons Attribution (CC BY) license (https://creativecommons.org/licenses/by/4.0/).
Share and Cite
Xu, Z.; Song, Z.; Fong, K.-Y. Perceived Price Fairness as a Mediator in Customer Green Consumption: Insights from the New Energy Vehicle Industry and Sustainable Practices. Sustainability 2025, 17, 166. https://doi.org/10.3390/su17010166
Xu Z, Song Z, Fong K-Y. Perceived Price Fairness as a Mediator in Customer Green Consumption: Insights from the New Energy Vehicle Industry and Sustainable Practices. Sustainability. 2025; 17(1):166. https://doi.org/10.3390/su17010166
Chicago/Turabian StyleXu, Ziyu, Zhiwen Song, and Kwong-Yee Fong. 2025. "Perceived Price Fairness as a Mediator in Customer Green Consumption: Insights from the New Energy Vehicle Industry and Sustainable Practices" Sustainability 17, no. 1: 166. https://doi.org/10.3390/su17010166
APA StyleXu, Z., Song, Z., & Fong, K.-Y. (2025). Perceived Price Fairness as a Mediator in Customer Green Consumption: Insights from the New Energy Vehicle Industry and Sustainable Practices. Sustainability, 17(1), 166. https://doi.org/10.3390/su17010166

