Optimizing Timber Supply Chains: Exploring the Potential of Digital Collaboration
Abstract
1. Introduction
1.1. Research Background
1.2. Limitations of Current Approaches
1.3. Theoretical Framework
1.4. Research Design
2. Model Construction and Analysis
2.1. Game Subject Network Model
2.2. Basic Assumptions and Construction of the Model
2.2.1. Basic Assumptions
2.2.2. Basic Game Structure
2.2.3. Basic Revenue Structure
2.2.4. Cost Structure for Production Enterprises
2.2.5. Cost Structure for Retail Enterprises
2.2.6. Service Provider Structure
2.3. Analysis of Equilibrium Points of a Gaming System
2.3.1. Replicating Dynamic Equations
− C11 − L11) + (1 − y)(1 − z)(EM + ΔEM − C11 − L11).
2.3.2. Equilibrium Point Stability Analysis
yz(αΔEM − ΔEM − p1)].
xz(αΔER − ΔER − p2)].
2.3.3. Stability Analysis and Evolutionary Scenarios
3. Simulation Analysis
3.1. Stability Design and Parameter Settings
3.2. Understanding Parameter Sensitivity Under Bounded Rationality
3.3. Stability Point Simulation Analysis
3.4. Parameter Sensitivity Simulation Analysis
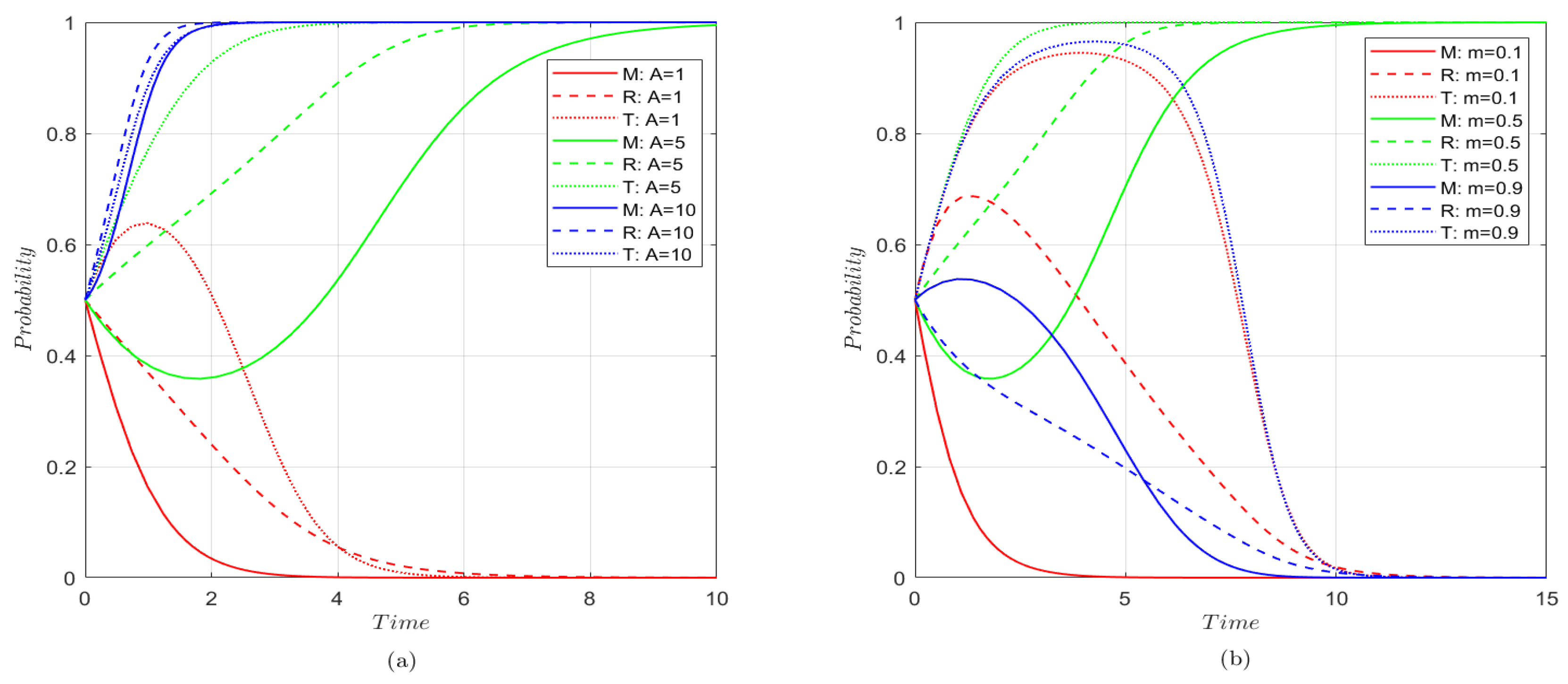
3.4.1. Initial Strategy Selection Probability
3.4.2. Gross Synergy Gains and Allocation Factors
3.4.3. Digital Intelligence New Strategy Cost Inputs
3.4.4. Degree of Supply Chain Information Sharing
3.4.5. Value-Added Reliability Gain Factor
3.4.6. Profit from Hitchhiking
4. Discussion
4.1. Implications
4.2. Limitations
4.3. Future Directions
5. Conclusions
Author Contributions
Funding
Institutional Review Board Statement
Informed Consent Statement
Data Availability Statement
Acknowledgments
Conflicts of Interest
References
- Eriksson, L.O.; Gustavsson, L.; Hänninen, R.; Kallio, M.; Lyhykäinen, H.; Pingoud, K.; Pohjola, J.; Sathre, R.; Solberg, B.; Svanaes, J.; et al. Climate change mitigation through increased wood use in the European construction sector—Towards an integrated modelling framework. Eur. J. For. Res. 2012, 131, 131–144. [Google Scholar] [CrossRef]
- Etoh, H.; Sasaki, N.; Chay, S.; Ninomiya, H. Carbon emission reduction potentials through thinned wood in Japan. iForest-Biogeosciences For. 2011, 4, 107–112. [Google Scholar] [CrossRef]
- Sasaki, N.; Chheng, K.; Ty, S. Managing production forests for timber production and carbon emission reductions under the REDD+ scheme. Environ. Sci. Policy 2012, 23, 35–44. [Google Scholar] [CrossRef]
- Packalen, T.; Kärkkäinen, L.; Toppinen, A. The future operating environment of the Finnish sawmill industry in an era of climate change mitigation policies. For. Policy Econ. 2017, 82, 30–40. [Google Scholar] [CrossRef]
- Dalalah, D.; Khan, S.A.; Al-Ashram, Y.; Albeetar, S.; Abou Ali, Y.; Alkhouli, E. An integrated framework for the assessment of environmental sustainability in wood supply chains. Environ. Technol. Innov. 2022, 133, 102429. [Google Scholar] [CrossRef]
- Auer, V.; Rauch, P. Wood Supply Chain Risks and Risk Mitigation Strategies: A Systematic Review Focusing on the Northern Hemisphere. Biomass Bioenergy 2021, 148, 106001. [Google Scholar] [CrossRef]
- Valverde, P.F.; Quesada, H.; Bond, B. A Lean Logistics Framework: A Case Study in the Wood Fiber Supply Chain. Wood Fiber Sci. 2020, 52, 117–127. [Google Scholar] [CrossRef]
- Kogler, C.; Schimpfhuber, S.; Eichberger, C.; Rauch, P. Benchmarking Procurement Cost Saving Strategies for Wood Supply Chains. Forests 2021, 12, 1086. [Google Scholar] [CrossRef]
- Andersen, K.; Andersson, H.; Christiansen, M.; Gronhaug, R.; Sjamsutdinov, A. Designing a maritime supply chain for distribution of wood pellets: A case study from southern Norway. Flex. Serv. Manuf. J. 2017, 29, 572–600. [Google Scholar] [CrossRef]
- Shan, H.; Li, Y.; Shi, J. Influence of Supply Chain Collaborative Innovation on Sustainable Development of Supply Chain: A Study on Chinese Enterprises. Sustainability 2020, 12, 2978. [Google Scholar] [CrossRef]
- Shafique, M.N.; Khurshid, M.M.; Rahman, H.; Khanna, A.; Gupta, D.; Rodrigues, J.J.P.C. The Role of Wearable Technologies in Supply Chain Collaboration: A Case of Pharmaceutical Industry. IEEE Access 2019, 7, 49014–49026. [Google Scholar] [CrossRef]
- Schniederjans, D.G.; Curado, C.; Khalajhedayati, M. Supply chain digitisation trends: An integration of knowledge management. Int. J. Prod. Econ. 2020, 220, 107439. [Google Scholar] [CrossRef]
- Hoogstra-Klein, M.A.; Meijboom, K. A qualitative exploration of the wood product supply chain—Investigating the possibilities and desirability of an increased demand orientation. For. Policy Econ. 2021, 133, 102606. [Google Scholar] [CrossRef]
- Farjana, S.H.; Ashraf, M. Developing the conceptual framework for the key performance indicators for sustainable wood waste supply chain. Environ. Dev. Sustain. 2023. [Google Scholar] [CrossRef]
- Concu, G. Feasibility of a Local Production Chain for Structural Timber in Sardinia, Italy. Sustainability 2023, 15, 14815. [Google Scholar] [CrossRef]
- Sun, M.; Peng, H.; Wang, S. Cost-Sharing Mechanisms for A Wood Forest Product Supply Chain under Carbon Cap-and-Trade. Sustainability 2018, 10, 4345. [Google Scholar] [CrossRef]
- Vitale, I.; Dondo, R.G.; González, M.; Cóccola, M.E. Modelling and optimization of material flows in the wood pellet supply chain. Appl. Energy 2022, 313, 118776. [Google Scholar] [CrossRef]
- Abusaq, Z.; Habib, M.S.; Shehzad, A.; Kanan, M.; Assaf, R. A flexible robust possibilistic programming approach toward wood pellets supply chain network design. Mathematics 2022, 10, 3657. [Google Scholar] [CrossRef]
- Hayek, M.; Mahringer, G.; Segner, R.; Landschützer, C.; Sihn, W. Development of a Physical Internet container for an optimized wood supply chain. Transp. Res. Procedia 2023, 72, 1950–1957. [Google Scholar] [CrossRef]
- Wamba, S.F.; Queiroz, M.M. Industry 4.0 and the supply chain digitalisation: A blockchain diffusion perspective. Prod. Plan. Control 2020, 33, 193–210. [Google Scholar] [CrossRef]
- Malisic, B.; Misic, N.; Krco, S.; Martinovic, A.; Tinaj, S.; Popovic, T. Blockchain Adoption in the Wine Supply Chain: A Systematic Literature Review. Sustainability 2023, 15, 14408. [Google Scholar] [CrossRef]
- Ben-Daya, M.; Hassini, E.; Bahroun, Z. Internet of things and supply chain management: A literature review. Int. J. Prod. Res. 2017, 57, 4719–4742. [Google Scholar] [CrossRef]
- Liu, H.; Chen, J.; Gu, W.; Zhuang, W.; Gao, M.; Chan, C.C.; Zhang, X. Coordinated Planning Model for Multi-Regional Ammonia Industries Leveraging Hydrogen Supply Chain and Power Grid Integration: A Case Study of Shandong. Appl. Energy 2024, 377, 124456. [Google Scholar] [CrossRef]
- Aben, T.A.E.; van der Valk, W.; Roehrich, J.K. Managing information asymmetry in public–private relationships undergoing a digital transformation: The role of contractual and relational governance. Int. J. Oper. Prod. Manag. 2021, 41, 1145–1191. [Google Scholar] [CrossRef]
- Liu, M.; Zhai, L.Y.; Gan, H.C. An evolutionary analysis of supply chain collaborative information sharing based on prospect theory. PLoS ONE 2024, 19, 0298355. [Google Scholar] [CrossRef] [PubMed]
- Salas-Navarro, K.; Maiguel-Mejía, H.; Acevedo-Chedid, J. Inventory Management Methodology to determine the levels of integration and collaboration in supply chain. Ingeniare. Rev. Chil. Ing. 2017, 25, 326–337. [Google Scholar] [CrossRef]
- Aarikka-Stenroos, L.; Chiaroni, D.; Kaipainen, J.; Urbinati, A. Companies’ Circular Business Models Enabled by Supply Chain Collaborations: An Empirical-Based Framework, Synthesis, and Research Agenda. Ind. Mark. Manag. 2022, 105, 322–339. [Google Scholar] [CrossRef]
- Forsberg, E.M.; Berntsen, I.C.; Brekke, A.; Haugen, A.G.; Stensgård, A.E.; Strom-Andersen, N.; Vold, E.; Szulecka, J. Norwegian supply chain collaboration when it is urgent to reduce food waste: The relation between efforts for good outcomes and engaging in RRI process dimensions. J. Respon. Innov. 2024, 11, 2376781. [Google Scholar] [CrossRef]
- Tubis, A.A.; Grzybowska, K.; Król, B. Supply chain in the digital age: A Scientometric–Thematic literature review. Sustainability 2023, 15, 11391. [Google Scholar] [CrossRef]
- Friedman, D. On economic applications of evolutionary game theory. J. Evolut. Econ. 1998, 8, 15–43. [Google Scholar] [CrossRef]
- Ritzberger, K.; Jørgen, W. Evolutionary selection in normal-form games. Econometrica 1995, 63, 1371–1399. [Google Scholar] [CrossRef]
- Selten, R. A note on evolutionarily stable strategies in asymmetric animal conflicts. J. Theor. Biol. 1980, 84, 93–101. [Google Scholar] [CrossRef]
- Guo, B.; Li, Y.X. A study of steady-state strategies for collaborative quality improvement in new retail service supply chains considering emotional factors. PLoS ONE 2023, 18, e0294175. [Google Scholar] [CrossRef]
- Vazifeh, Z.; Mafakheri, F.; An, C.; Bensebaa, F. A game theoretic approach to contract-based enviro-economic coordination of wood pellet supply chains for bioenergy production. Sustain. Energy Res. 2023, 10, 17. [Google Scholar] [CrossRef] [PubMed]
- Gupta, H.; Kumar, S.; Kusi-Sarpong, S.; Jabbour, C.J.C.; Agyemang, M. Enablers to supply chain performance on the basis of digitization technologies. Ind. Manag. Data Syst. 2020, 121, 1915–1938. [Google Scholar] [CrossRef]
- Smith, M.C. The general problem of the stability of motion: Translated and Edited by A. T. Fuller. Taylor and Francis, 1992. Automatica 1995, 31, 353–354. [Google Scholar] [CrossRef]








| Definitions | Symbols |
|---|---|
| Initial probability | x,y,z |
| Collaborative benefit coefficient | A |
| Benefit distribution coefficient | m |
| Information sharing degree | α |
| Reliability value-added coefficient | β |
| Production cost parameters | C1,C11 |
| Production investment parameters | L1,L11 |
| Distribution cost parameters | C2,C22 |
| Distribution investment parameters | L2,L22 |
| Base incremental gains | ΔEM,ΔER |
| Free-riding benefits | p1,p2 |
| Service provider costs | C3,L3 |
| Service fees | ΔET1,ΔET2 |
| Base value-added gain | Q |
| Strategic Combination | Wood Production and Processing Enterprises | Retail Enterprises for Distribution of Finished Goods | Third-Party Service Providers |
|---|---|---|---|
| (1,1,1) | EM + Am + αΔEM − ΔET1 − C1 − L1 | ER + A(1 − m) + αΔER − ΔET2 − C2 − L2 | ET + ΔET1 + ΔET2 + βQ − C3 − L3 |
| (0,1,1) | EM + p1 | ER + αΔER − ΔET2 − C2 − L2 | ET + ΔET2 + βQ − C3 − L3 |
| (1,0,1) | EM + αΔEM − ΔET1 − C1 − L1 | ER + p2 | ET + ΔET1 + βQ − C3 − L3 |
| (1,1,0) | EM + Am + αΔEM − C11 − L11 | ER + A(1 − m) + αΔER − C22 − L22 | ET |
| (0,0,1) | EM + p1 | ER + p2 | ET − C3 − L3 |
| (0,1,0) | EM + p1 | ER + ΔER − C22 − L22 | ET |
| (1,0,0) | EM + ΔEM − C11 − L11 | ER + p2 | ET |
| (0,0,0) | EM | ER | ET |
| Equalization Point | Eigenvalue λ1, Eigenvalue λ2, Eigenvalue λ3 | Positive and Negative | Stability |
|---|---|---|---|
| E1(0,0,0) | −(C11 + L11 − ΔEM), −(C22 + L22 − ΔER), −C3 − L3. | U,U,- | Condition (1) holds when it is ESS. |
| E2(1,0,0) | C11 + L11 − ΔEM, −(C22 + L22 + p2 − αΔER − A(1 − m)), ΔET1 + βQ − C3 − L3. | U,U,+ | Unstable |
| E3(0,1,0) | −(C11 + L11 + p1 − αΔEM − Am), C22 + L22 − ΔER, ΔET2 + βQ − C3 − L3. | U,U,+ | Unstable |
| E4(0,0,1) | −(C1 + L1 + ΔET1 + p1 − αΔEM), −(C2 + L2 + ΔET2 + p2 − αΔER), −(−C3 − L3). | U,U,+ | Unstable |
| E5(1,1,0) | C11 + L11 + p1 − αΔEM − Am, C22 + L22 + p2 − αΔER − A(1 − m), ΔET1 + ΔET2 + βQ − C3 − L3. | U,U,+ | Unstable |
| E6(1,0,1) | C1 + L1 + ΔET1 + p1 −αΔEM, −(C2 + L2 + ΔET2 + p2 − αΔER − A(1 − m)), −(ΔET1 + βQ − C3 − L3). | U,U,- | Condition (2) holds when it is ESS. |
| E7(0,1,1) | −(C1 + L1 + ΔET1 + p1 − αΔEM − Am), C2 + L2 + ΔET2 + p2 −αΔER, −(ΔET2 + βQ − C3 − L3). | U,U,- | Condition (3) holds when it is ESS. |
| E8(1,1,1) | C1 + L1 + ΔET1 + p1 − αΔEM − Am, C2 + L2 + ΔET2 + p2 − αΔER − A(1 − m), −(ΔET1 + ΔET2 + βQ − C3 − L3). | U,U,- | Condition (4) holds when it is ESS. |
Disclaimer/Publisher’s Note: The statements, opinions and data contained in all publications are solely those of the individual author(s) and contributor(s) and not of MDPI and/or the editor(s). MDPI and/or the editor(s) disclaim responsibility for any injury to people or property resulting from any ideas, methods, instructions or products referred to in the content. |
© 2024 by the authors. Licensee MDPI, Basel, Switzerland. This article is an open access article distributed under the terms and conditions of the Creative Commons Attribution (CC BY) license (https://creativecommons.org/licenses/by/4.0/).
Share and Cite
Ma, C.; Gao, X.; Zhang, L.; Kang, W. Optimizing Timber Supply Chains: Exploring the Potential of Digital Collaboration. Sustainability 2025, 17, 15. https://doi.org/10.3390/su17010015
Ma C, Gao X, Zhang L, Kang W. Optimizing Timber Supply Chains: Exploring the Potential of Digital Collaboration. Sustainability. 2025; 17(1):15. https://doi.org/10.3390/su17010015
Chicago/Turabian StyleMa, Chenglin, Xurui Gao, Lin Zhang, and Wenchao Kang. 2025. "Optimizing Timber Supply Chains: Exploring the Potential of Digital Collaboration" Sustainability 17, no. 1: 15. https://doi.org/10.3390/su17010015
APA StyleMa, C., Gao, X., Zhang, L., & Kang, W. (2025). Optimizing Timber Supply Chains: Exploring the Potential of Digital Collaboration. Sustainability, 17(1), 15. https://doi.org/10.3390/su17010015

