Drivers of Spontaneous Plant Communities in Urban Parks: A Case from Nanjing, China
Abstract
1. Introduction
2. Methods
2.1. Study Area
2.2. Data Collection
2.2.1. Sample Plot and Quadrat Setting
2.2.2. Classification and Definition of Park Features
2.2.3. Identification and Arrangement of Plant Species
2.3. Statistical Analysis
2.3.1. Alpha Diversity
- Importance values
- Diversity index: Richness and evenness
- Patrick richness index,
- 2.
- Shannon–Wiener index (Magurran, 2004),
- 3.
- Pielou’s (1975) evenness index,
- 4.
- Simpson’s diversity index,
2.3.2. Cluster Analysis and Ordination Analysis of Spontaneous Plant Community
3. Results
3.1. Species Composition and Diversity of Spontaneous Plants in Nanjing Urban Parks
3.2. Composition of Herbaceous Spontaneous Plant Communities
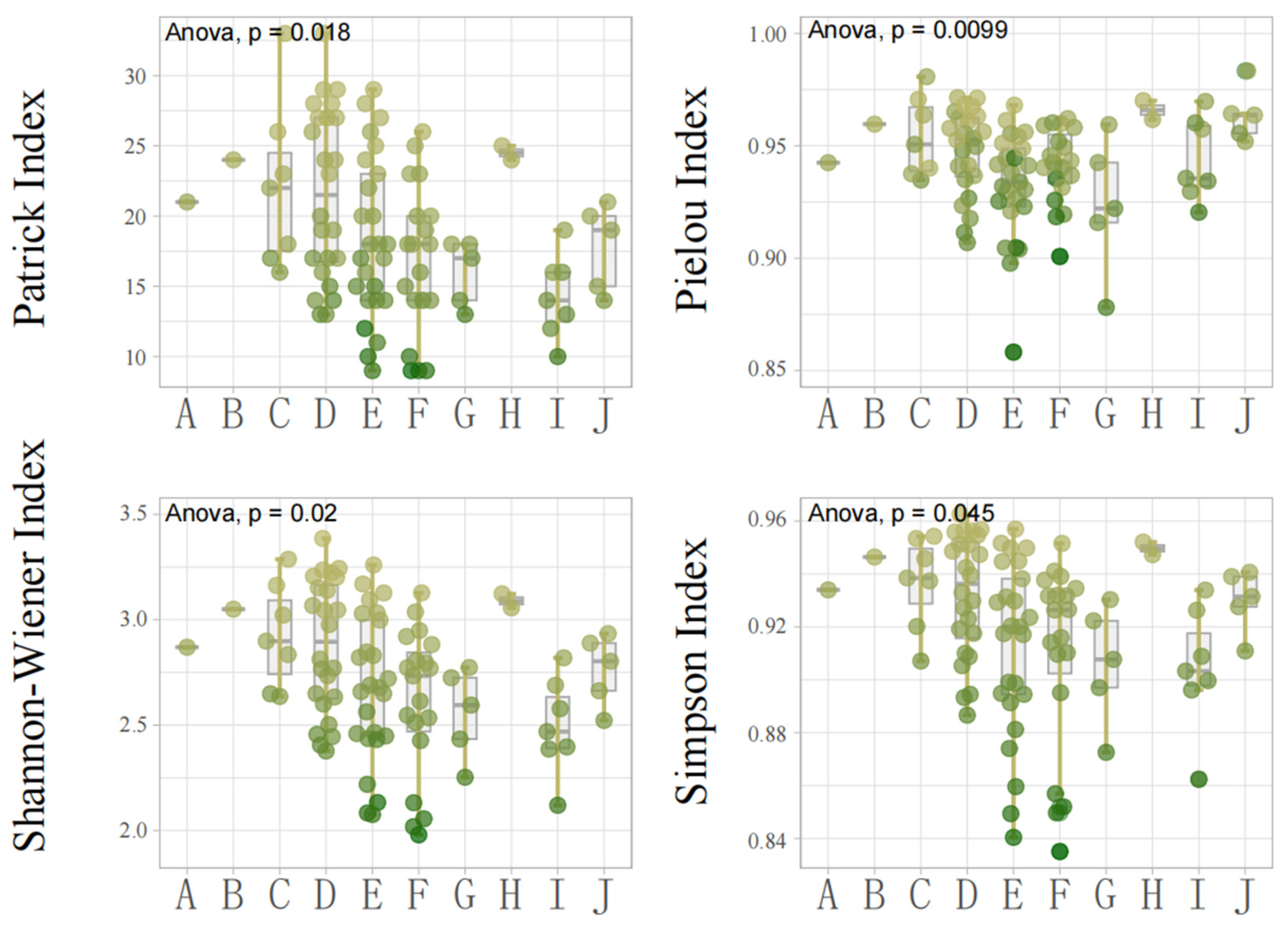
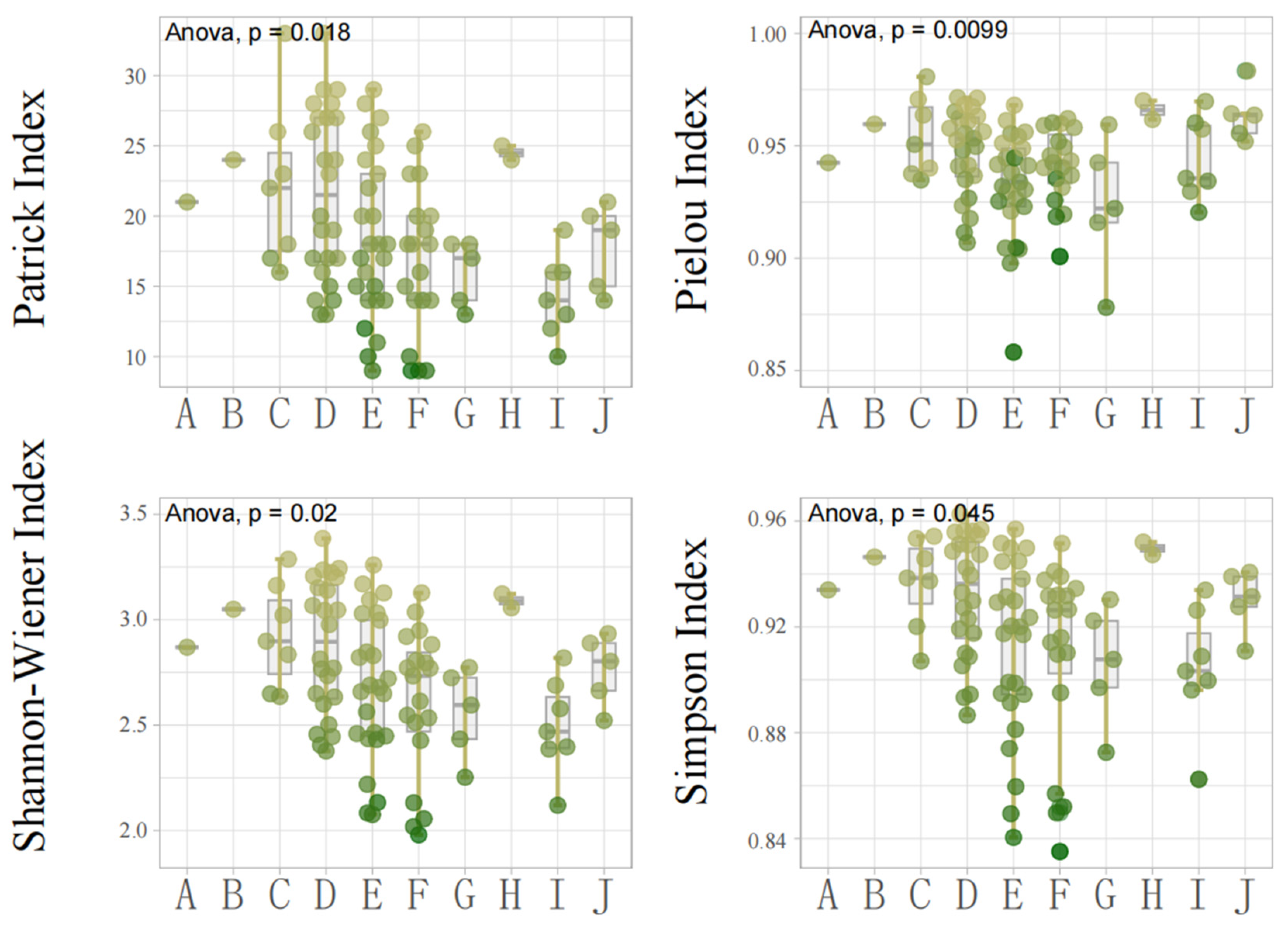
3.3. Alpha Diversity Indices of Different Spontaneous Community Types
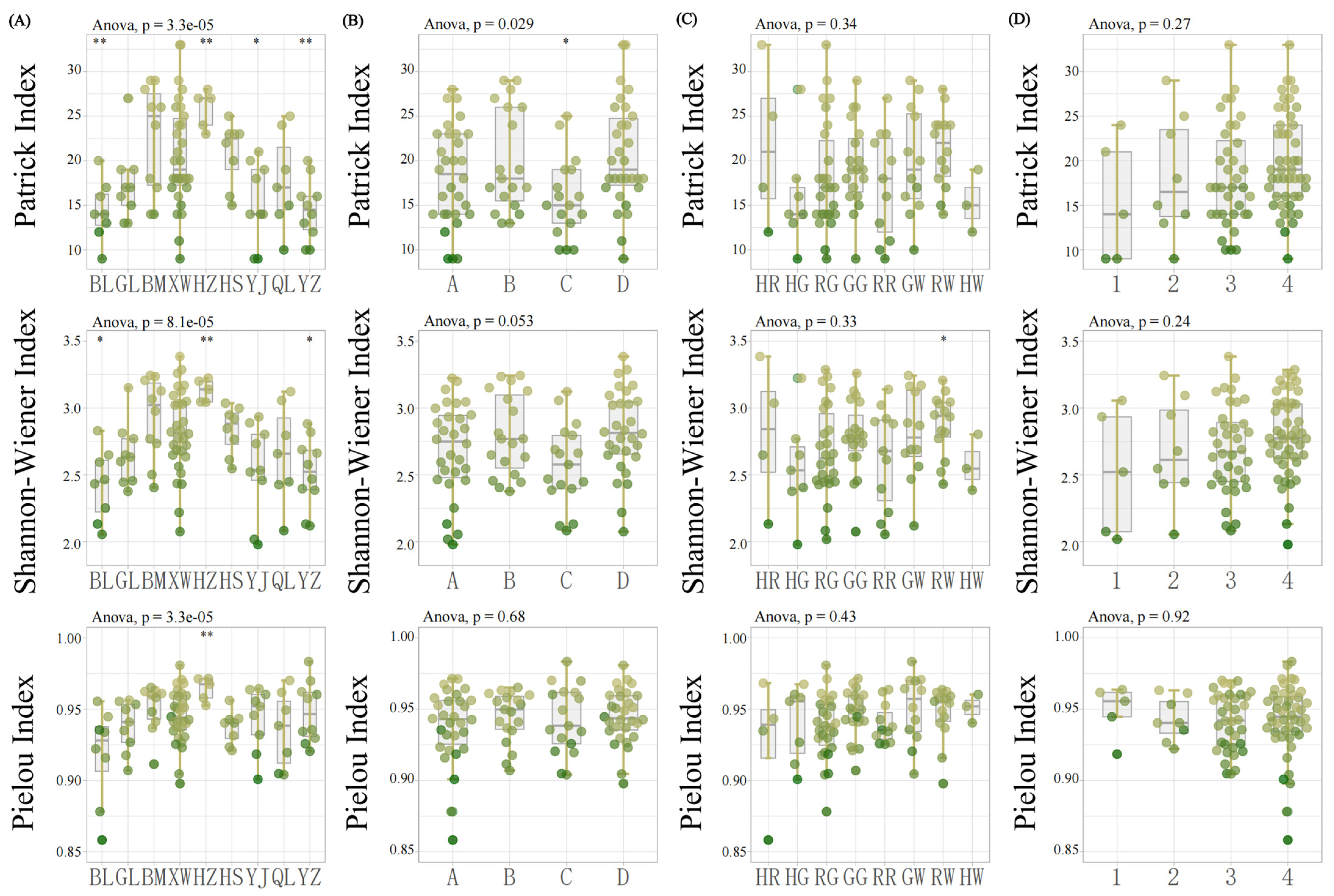
3.4. Park Features Influencing Spontaneous Communities
4. Discussion
4.1. Urban Parks Have a Rich Variety of Spontaneous Plants
4.2. Moderate Park Management Encourages Spontaneous Plant Diversity
4.3. Reducing Plant Invasion Risk by Intervening in the Composition of Herbaceous Spontaneous Plant Communities
4.4. Using Spontaneous Plant Communities to Promote Biophilic Cities
5. Conclusions
Author Contributions
Funding
Data Availability Statement
Acknowledgments
Conflicts of Interest
References
- Nazombe, K.; Nambazo, O. Monitoring and assessment of urban green space loss and fragmentation using remote sensing data in the four cities of Malawi from 1986 to 2021. Sci. Afr. 2023, 20, e01639. [Google Scholar] [CrossRef]
- Chen, M.; Tan, Y.; Xu, X.; Lin, Y. Identifying ecological degradation and restoration zone based on ecosystem quality: A case study of Yangtze River Delta. Appl. Geogr. 2024, 162, 103149. [Google Scholar] [CrossRef]
- Anguelovski, I.; Connolly, J.J.T.; Cole, H.; Garcia-Lamarca, M.; Triguero-Mas, M.; Baró, F.; Martin, N.; Conesa, D.; Shokry, G.; del Pulgar, C.P.; et al. Green gentrification in European and North American cities. Nat. Commun. 2022, 13, 3816. [Google Scholar] [CrossRef] [PubMed]
- Danford, R.S.; Strohbach, M.W.; Warren, P.S.; Ryan, R.L. Active Greening or Rewilding the city: How does the intention behind small pockets of urban green affect use? Urban For. Urban Green. 2018, 29, 377–383. [Google Scholar] [CrossRef]
- Lee, S.; Kim, Y. A framework of biophilic urbanism for improving climate change adaptability in urban environments. Urban For. Urban Green. 2021, 61, 127104. [Google Scholar] [CrossRef]
- Thomson, G.; Newman, P. Green Infrastructure and Biophilic Urbanism as Tools for Integrating Resource Efficient and Ecological Cities. Urban Plan. 2021, 6, 75–88. [Google Scholar] [CrossRef]
- Delgado-Capel, M.J.; Egea-Cariñanos, P.; Cariñanos, P. Assessing the Relationship between Land Surface Temperature and Composition Elements of Urban Green Spaces during Heat Waves Episodes in Mediterranean Cities. Forests 2024, 15, 463. [Google Scholar] [CrossRef]
- Martin, A.; Fischer, A.; McMorran, R. Who decides? The governance of rewilding in Scotland ‘between the cracks’: Community participation, public engagement, and partnerships. J. Rural Stud. 2023, 98, 80–91. [Google Scholar] [CrossRef]
- Hwang, Y.H.; Yue, J.Z.E.; Ling, S.K.; Tan, H.H.V. It’s ok to be wilder: Preference for natural growth in urban green spaces in a tropical city. Urban For. Urban Green. 2019, 38, 165–176. [Google Scholar] [CrossRef]
- Panlasigui, S.; Spotswood, E.; Beller, E.; Grossinger, R. Biophilia beyond the Building: Applying the Tools of Urban Biodiversity Planning to Create Biophilic Cities. Sustainability 2021, 13, 2450. [Google Scholar] [CrossRef]
- el-Baghdadi, O.; Desha, C. Conceptualising a biophilic services model for urban areas. Urban For. Urban Green. 2017, 27, 399–408. [Google Scholar] [CrossRef]
- Nordh, H.; Alalouch, C.; Hartig, T. Assessing restorative components of small urban parks using conjoint methodology. Urban For. Urban Green. 2011, 10, 95–103. [Google Scholar] [CrossRef]
- Kowarik, I. Urban biodiversity, ecosystems and the city. Insights from 50 years of the Berlin School of urban ecology. Landsc. Urban Plan. 2023, 240, 104877. [Google Scholar] [CrossRef]
- Ha, J.; Kim, H.J.; With, K.A. Urban green space alone is not enough: A landscape analysis linking the spatial distribution of urban green space to mental health in the city of Chicago. Landsc. Urban Plan. 2022, 218, 104309. [Google Scholar] [CrossRef]
- Cameron, R.W.F.; Brindley, P.; Mears, M.; McEwan, K.; Ferguson, F.; Sheffield, D.; Jorgensen, A.; Riley, J.; Goodrick, J.; Ballard, L.; et al. Where the wild things are! Do urban green spaces with greater avian biodiversity promote more positive emotions in humans? Urban Ecosyst. 2020, 23, 301–317. [Google Scholar] [CrossRef]
- Grinde, B.; Patil, G.G. Biophilia: Does Visual Contact with Nature Impact on Health and Well-Being? Int. J. Environ. Res. Public Health 2009, 6, 2332–2343. [Google Scholar] [CrossRef] [PubMed]
- Bruns, D. About colonisations. Landsc. Archit. 2019, 26, 8–19. [Google Scholar]
- Sikorska, D.; Ciężkowski, W.; Babańczyk, P.; Chormański, J.; Sikorski, P. Intended wilderness as a Nature-based Solution: Status, identification and management of urban spontaneous vegetation in cities. Urban For. Urban Green. 2021, 62, 127155. [Google Scholar] [CrossRef]
- Gentili, R.; Montagnani, C.; Gilardelli, F.; Guarino, M.F.; Citterio, S. Let native species take their course: Ambrosia artemisiifolia replacement during natural or “artificial” succession. Acta Oecol. 2017, 82, 32–40. [Google Scholar] [CrossRef]
- Gunnarsson, B.; Hedblom, M. Biophilia revisited: Nature versus nurture. Trends Ecol. Evol. 2023, 38, 792–794. [Google Scholar] [CrossRef]
- Jiang, Q.; Wang, Z.; Yu, K.; Dou, Y.; Fu, H.; Liang, X. The influence of urbanization on local perception of the effect of traditional landscapes on human wellbeing: A case study of a pondscape in Chongqing, China. Ecosyst. Serv. 2023, 60, 101521. [Google Scholar] [CrossRef]
- Gong, C.; Yang, R.; Li, S. The role of urban green space in promoting health and well-being is related to nature connectedness and biodiversity: Evidence from a two-factor mixed-design experiment. Landsc. Urban Plan. 2024, 245, 105020. [Google Scholar] [CrossRef]
- Dallimer, M.; Irvine, K.N.; Skinner, A.M.J.; Davies, Z.G.; Rouquette, J.R.; Maltby, L.L.; Warren, P.H.; Armsworth, P.R.; Gaston, K.J. Biodiversity and the feel-good factor: Understanding associations between self-reported human well-being and species richness. BioScience 2012, 62, 47–55. [Google Scholar] [CrossRef]
- Li, X.; Dong, L. Species Composition and Community Types of Spontaneous Plants in Various Parks of Beijing. Landsc. Archit. 2020, 27, 42–49. [Google Scholar]
- Zhang, M.; Li, K.; Xing, X.; Fan, S.; Xu, Y.; Hao, P.; Dong, L. Responses of spontaneous plant diversity to urbanization in Wenyu River-North canal ecological corridor, Beijing. Acta Ecol. Sin. 2022, 42, 2582–2592. [Google Scholar]
- Boanca, P.; Dumitras, A.; Valentin, S.; Clapa, D.; Mazăre, G. Ecological and aesthetic role of spontaneous flora in urban sustainable landscapes development. J. Plant Dev. 2011, 18, 169–177. [Google Scholar]
- Gao, Z.; Song, K.; Pan, Y.; Malkinson, D.; Zhang, X.; Jia, B.; Xia, T.; Guo, X.; Liang, H.; Huang, S.; et al. Drivers of spontaneous plant richness patterns in urban green space within a biodiversity hotspot. Urban For. Urban Green. 2021, 61, 127098. [Google Scholar] [CrossRef]
- Phillips, D.; Lindquist, M. Just weeds? Comparing assessed and perceived biodiversity of urban spontaneous vegetation in informal greenspaces in the context of two American legacy cities. Urban For. Urban Green. 2021, 62, 127151. [Google Scholar] [CrossRef]
- Hitchmough, J.; Dunnett, N. Introduction to naturalistic planting in urban landscapes. In The Dynamic Landscape; Taylor & Francis: Abingdon, UK, 2004; pp. 1–22. [Google Scholar]
- Deparis, M.; Legay, N.; Isselin-Nondedeu, F.; Bonthoux, S. How managers and city dwellers relate to spontaneous vegetation in cities: Towards an integrative approach. Urban For. Urban Green. 2023, 82, 127876. [Google Scholar] [CrossRef]
- Yu, D.; Lü, N.; Fu, B. Indicator systems and methods for evaluating biodiversity and ecosystem services. Acta Ecol. Sin. 2017, 37, 349–357. [Google Scholar] [CrossRef]
- Cervelli, E.W.; Lundholm, J.T.; Du, X. Spontaneous urban vegetation and habitat heterogeneity in Xi’an, China. Landsc. Urban Plan. 2013, 120, 25–33. [Google Scholar] [CrossRef]
- Qian, S.; Qin, D.; Wu, X.; Hu, S.; Hu, L.; Lin, D.; Zhao, L.; Shang, K.; Song, K.; Yang, Y. Urban growth and topographical factors shape patterns of spontaneous plant community diversity in a mountainous city in southwest China. Urban For. Urban Green. 2020, 55, 126814. [Google Scholar] [CrossRef]
- Williams, N.S.G.; Hahs, A.K.; Vesk, P.A. Urbanisation, plant traits and the composition of urban floras. Perspect. Plant Ecol. 2015, 17, 78–86. [Google Scholar] [CrossRef]
- Hüse, B.; Szabó, S.; Deák, B.; Tóthmérész, B. Mapping an ecological network of green habitat patches and their role in maintaining urban biodiversity in and around Debrecen city (Eastern Hungary). Land Use Policy 2016, 57, 574–581. [Google Scholar] [CrossRef]
- Yao, X.; Li, H.; Jin, Y.; Shi, Y.; Bao, Z. Study on the diversity and community composition of spontaneous vegetation in herb layer in Hangzhou Xixi National Wetland Park. Chin. Landsc. Archit. 2021, 37, 123–128. [Google Scholar]
- Jin, Y.; Lou, J.; Yao, X.; Shi, Y.; Bao, Z. Species composition and diversity characteristics of spontaneous vegetation in different habitats in the riparian zone of urban channelized rivers—A case study of the Beijing-Hangzhou Grand Canal in the main section of Hangzhou. Chin. Landsc. Archit. 2022, 38, 110–115. [Google Scholar]
- Frey, D.; Moretti, M. A comprehensive dataset on cultivated and spontaneously growing vascular plants in urban gardens. Data Brief 2019, 25, 103982. [Google Scholar] [CrossRef]
- Omar, M.; Al Sayed, N.; Barré, K.; Halwani, J.; Machon, N. Drivers of the distribution of spontaneous plant communities and species within urban tree bases. Urban For. Urban Green. 2018, 35, 174–191. [Google Scholar] [CrossRef]
- Miao, X.; Pan, Y.; Chen, H.; Zhang, M.-J.; Hu, W.; Li, Y.; Wu, R.; Wang, P.; Fang, S.; Niu, K.; et al. Understanding spontaneous biodiversity in informal urban green spaces: A local-landscape filtering framework with a test on wall plants. Urban For. Urban Green. 2023, 86, 127996. [Google Scholar] [CrossRef]
- Wang, M.; Wang, H.-B. Distribution pattern of spontaneous species and influencing factors in three landuse types of Shanghai. J. Northwest For. Univ. 2021, 36, 266–273. [Google Scholar]
- Liu, H.; Cui, Y.; Wang, L.; Zhang, D.; Liu, X.; Zhang, G. Evaluation on plant diversity in urbanization area of Beijing City. J. Beijing For. Univ. 2022, 44, 48–55. [Google Scholar]
- Huang, J.; Zang, R. Status and perspectives of plant diversity conservation in China. Terr. Ecosyst. Conserv. 2021, 1, 66–74. [Google Scholar]
- Rao, X.; Yu, M.; He, T.; Lou, L.; Bao, Z. Study on landscape renewal strategy of scenic forest based on the principle of community ecology: A case study of Xianhu Botanical Garden in Shenzhen. Chin. Landsc. Archit. 2024, 40, 113–118. [Google Scholar]
- Cheng, X.-L.; Padullés Cubino, J.; Balfour, K.; Zhu, Z.-X.; Wang, H.-F. Drivers of spontaneous and cultivated species diversity in the tropical city of Zhanjiang, China. Urban For. Urban Green. 2022, 67, 127428. [Google Scholar] [CrossRef]
- Yang, Y.; Qiu, K.; Li, J.; Xie, Y.; Liu, W.; Huang, Y.; Wang, S.; Bao, P. Relationship between altitudinal distribution characteristics of typical plantcommunity diversity and soil factors on the eastern slope of the Helan Mountains. Acta Ecol. Sin. 2023, 43, 4995–5004. [Google Scholar]
- Jiang, Z.; Qin, Y.; Liu, J.; Wen, Z.; Zheng, H.; Ouyang, Z. Effects of altitude and stand density on understory plant diversity in tropical rainforests. Chin. J. Ecol. 2023, 42, 1049–1055. [Google Scholar]
- Wei, G.; Bao, Y.; Wang, Z.; Chen, X.; Yu, Z.; Ge, H. Study on patch effect of plant diversity in urban remnant mountains of multimountain city. Acta Ecol. Sin. 2022, 42, 10011–10028. [Google Scholar]
- Hu, Y. Role of botanical gardens in enhancing urban plant diversity: A case study of Shanghai Chenshan Botanical Garden. Landsc. Archit. 2023, 30, 40–45. [Google Scholar]
- Wang, Y.; Wang, Y.; Duan, W.; Li, P.; Yu, P.; Zhen, L.; Li, Z.; Shang, H. Effects of canopy density on understory plant diversity in Robinia pseudoacacia plantations on the Loess Plateau of China. Chin. J. Appl. Ecol. 2023, 34, 305–314. [Google Scholar]
- Yuan, Z.; Zhang, L.; Liao, L.; Wang, J.; Lei, S.; Liu, G.; Fang, N.; Zhang, C. Relationship between grassland plant diversity and community stability and its driving factors on the Loess Plateau. Acta Ecol. Sin. 2023, 43, 60–69. [Google Scholar]
- Xuan, J.; Li, Z.; Zou, C.; Qin, Z.; Wu, Y.; Huang, L. Multi-scale Effects of Central Bar Landscape Class and Pattern on Plant Diversity in Minjiang River: The Case of Minjiang River Basin (Fuzhou Section) Planning. Ecol. Environ. Sci. 2022, 31, 2320–2330. [Google Scholar]
- Jiang, W.; Yang, N.; Xiao, H. Comparison of plant diversity and community assembly between drawdown zone of ThreeGorges Reservoir and its southwest reservoir area. J. Lake Sci. 2023, 35, 564–579. [Google Scholar]
- Hu, L.; Qin, D.; Lu, H.; Li, W.; Shang, K.; Lin, D.; Zhao, L.; Yang, Y.; Qian, S. Urban growth drives trait composition of urban spontaneous plant communities in a mountainous city in China. J. Environ. Manag. 2021, 293, 112869. [Google Scholar] [CrossRef]
- Li, H.; Ding, Y.; Cai, H.; Xu, Z.; Dong, L. Quantitative Classification and Ordination of Wild Herbaceous Flower Communities in Zijin Mountain, Nanjing. Chin. Wild Plant Resour. 2019, 38, 14–21+26. [Google Scholar]
- Li, Y.; Ding, Y.; Zhang, C.; Zhang, Q. Classification and ordination of herbaceous flower communities in riparian zone of the Outer Qinhuai River, Nanjing. Chin. J. Ecol. 2023, 42, 1065–1073. [Google Scholar]
- Liu, Q.; Ding, Y.-F.; Song, S.-S.; Xu, W.-J.; Yang, W. Quantitative classification and ordination analysis of spontaneous vegetation communities in herb layer along the green belt of Nanjing Ming City Wall. Acta Prataculturae Sin. 2024, 33, 1–15. [Google Scholar]
- Chang, C.-R.; Chen, M.-C.; Su, M.-H. Natural versus human drivers of plant diversity in urban parks and the anthropogenic species-area hypotheses. Landsc. Urban Plan. 2021, 208, 104023. [Google Scholar] [CrossRef]
- Zhang, M.; Li, Q.; Li, Z. Seed Dispersal modes and landscape application strategies of autogenesis herbs in the parks of Nanjing City. Chin. Landsc. Archit. 2020, 36, 119–123. [Google Scholar]
- Nanjing Local Chronicles Compilation Committee. Physical Geography: Nanjing Annals Series; Nanjing Press: Nanjing, China, 1992; pp. 1–5. [Google Scholar]
- Wang, Q. Introduction to Nanjing Green Space System Planning (2013–2020). Jiangsu Urban Plan. 2015, 9, 31–34. [Google Scholar]
- Xu, X.L. Multi-Period Land-Use and Cover Change Remote Sensing Monitoring Dataset; Resource and Environmental Science Data Registration and Publishing System: Beijing, China, 2023. [Google Scholar] [CrossRef]
- Du, E.; Xia, N.; Tang, Y.; Guo, Z.; Guo, Y.; Wang, Y.; de Vries, W. Anthropogenic and climatic shaping of soil nitrogen properties across urban-rural-natural forests in the Beijing metropolitan region. Geoderma 2022, 406, 115524. [Google Scholar] [CrossRef]
- Matzek, V. Superior performance and nutrient-use efficiency of invasive plants over non-invasive congeners in a resource-limited environment. Biol. Invasions 2011, 13, 3005–3014. [Google Scholar] [CrossRef]
- Yuan, X.Q.; Guo, Z.L.; Wang, S.C.; Zhao, L.Q.; Yuan, M.X.; Gao, Y.H.; Huang, L.; Liu, C.E.; Duan, C.Q. Drivers and mechanisms of spontaneous plant community succession in abandoned PbZn mining areas in Yunnan, China. Sci. Total Environ. 2023, 904, 166871. [Google Scholar] [CrossRef]
- Ignatieva, M.; Meurk, C.; Newell, C. Urban biotopes: The typical and unique habitats of city environments and their natural analogues. In Urban Biodiversity and Ecology as a Basis for Holistic Planning and Design: Proceedings of a Workshop Held at Lincoln University, 28–29 October 2000; pp. 46–53; Stewart, G.H., Ignatieva, M.E., Eds.; Wickliffe Press: Christchurch, New Zealand, 2000. [Google Scholar]
- Li, X.-P.; Fan, S.-X.; Guan, J.-H.; Zhao, F.; Dong, L. Diversity and influencing factors on spontaneous plant distribution in Beijing Olympic Forest Park. Landsc. Urban Plan. 2019, 181, 157–168. [Google Scholar] [CrossRef]
- Li, X.; Li, X.; Zhang, M.; Luo, Q.; Li, Y.; Dong, L. Urban park attributes as predictors for the diversity and composition of spontaneous plants—A case in Beijing, China. Urban For. Urban Green. 2024, 91, 128185. [Google Scholar] [CrossRef]
- Liu, Q. Flora of Jiangsu; Phoenix Science Press Ltd.: Nanjing, China, 2015. [Google Scholar]
- Compilation Committee of the Flora of China. Flora of China; Science Press: Beijing, China, 2004; Available online: https://www.iplant.cn/foc (accessed on 9 July 2023).
- Maechler, M.; Rousseeuw, P.; Struyf, A.; Hubert, M.; Hornik, K. Cluster: Cluster Analysis Basics and Extensions, R package version 2.1.4; 2022.
- R Core Team. R: A Language and Environment for Statistical Computing; R Foundation for Statistical Computing: Vienna, Austria, 2022; Available online: https://www.R-project.org/ (accessed on 15 July 2023).
- Oksanen, J.; Simpson, G.; Blanchet, F.; Kindt, R.; Legendre, P.; Minchin, P.; O’Hara, R.; Solymos, P.; Stevens, M.; Szoecs, E.; et al. vegan: Community Ecology Package. R Package Version 2.6-4. Available online: https://CRAN.R-project.org/package=vegan (accessed on 15 July 2023).
- Wickham, H. ggplot2: Elegant Graphics for Data Analysis; Springer: New York, NY, USA, 2016. [Google Scholar]
- Li, D.; Li, W.; Dong, R.; Hu, Y. Diversity and Distribution Characteristics of Spontaneous Plants in Urban Industrial Wasteland in Harbin. Landsc. Archit. 2024, 31, 112–120. [Google Scholar] [CrossRef]
- Chase, J.M.; McGill, B.J.; Thompson, P.L.; Antão, L.H.; Bates, A.E.; Blowes, S.A.; Dornelas, M.; Gonzalez, A.; Magurran, A.E.; Supp, S.R.; et al. Species richness change across spatial scales. Oikos 2019, 128, 1079–1091. [Google Scholar] [CrossRef]
- Herrera, A.M.; Riera, R.; Rodríguez, R.A. Alpha species diversity measured by Shannon’s H-index: Some misunderstandings and underexplored traits, and its key role in exploring the trophodynamic stability of dynamic multiscapes. Ecol. Indic 2023, 156, 111118. [Google Scholar] [CrossRef]
- Southon, G.E.; Jorgensen, A.; Dunnett, N.; Hoyle, H.; Evans, K.L. Perceived species-richness in urban green spaces: Cues, accuracy and well-being impacts. Landsc. Urban Plan. 2018, 172, 1–10. [Google Scholar] [CrossRef]
- Li, X.P. Diversity and Public Perception of Spontaneous Plants in Public Parks in Urban Environment; Beijing Forestry University: Beijing, China, 2022; pp. 70–94. [Google Scholar]
- Shao, D.; Wu, D. Fractal evolution characteristics of urban park green space layout (1979–2017): A case study of Nanjing. Landsc. Archit. 2021, 28, 113–120. [Google Scholar]
- Li, X.-P.; Fan, S.-X.; Kühn, N.; Dong, L.; Hao, P.-Y. Residents’ ecological and aesthetical perceptions toward spontaneous vegetation in urban parks in China. Urban For. Urban Green. 2019, 44, 126397. [Google Scholar] [CrossRef]
- Toffolo, C.; Gentili, R.; Banfi, E.; Montagnani, C.; Caronni, S.; Citterio, S.; Galasso, G. Urban plant assemblages by land use type in Milan: Floristic, ecological and functional diversities and refugium role of railway areas. Urban For. Urban Green. 2021, 62, 127175. [Google Scholar] [CrossRef]
- Giladi, I.; Ziv, Y. The efficacy of species-area relationship to indicate fragmentation effects varies with grain size and with heterogeneity. Ecol. Indic 2020, 110, 105904. [Google Scholar] [CrossRef]







| Park | Abbreviation | Construction Time | Area Size (km2) | Park Type | Number of Sample Plots | Number of Quadrats |
|---|---|---|---|---|---|---|
| Bailuzhou Park | BL | 1929 | 0.12 | A | 8 | 40 |
| Gulin Park | GL | 1984 | 0.27 | B | 9 | 45 |
| Baima Park | BM | 2000 | 0.33 | B | 10 | 50 |
| Xuanwu Lake | XW | 1928 | 4.68 | D | 30 | 150 |
| Yanziji Riverside Park | YJ | 2019 | 0.13 | A | 9 | 45 |
| River Chief Theme Park | HZ | 2020 | 0.05 | A | 5 | 25 |
| Huashenhu Park | HS | 2019 | 0.11 | A | 8 | 40 |
| Qilin Technol. Ecol. of Central Park | QL | 2021 | 0.39 | C | 9 | 35 |
| Fishmouth Wetland Park | YZ | 2014 | 0.64 | C | 10 | 50 |
| Scale | Park Feature | Description | Range |
|---|---|---|---|
| Park level | construction time | number of years from completion of the park to 2023 (y) | 1–100 |
| park area | park type, which describes the size of the area | A/B/C/D | |
| park location | variable describing the park’s relative distance from the city center | 0–1 | |
| distance from the park to mountain | distance to the nearest mountain in the center of the park (km) | 0.00–6.00 | |
| distance from the park to water | distance to the nearest river in the center of the park (km) | 0.00–1.00 | |
| Habitat level | types of plant spatial structure | complexity of plant spatial structure | 1–4 |
| habitats | habitat condition of sample point in the park | HR/HG/RG/GG/RR/GW/RW/HW | |
| slope | sample point slope grade | 1–3 | |
| human disturbance | impact of tourists on habitats | 1–5 | |
| management frequency | frequency of thinning of spontaneous plants in the herbaceous layer | 1–4 | |
| sunshine condition | lighting conditions in the habitat under the influence of buildings | 1–3 | |
| tree canopy closure | estimating the canopy cover of the tree layer | 0–10 |
| Group | Sample Plot |
|---|---|
| A | XW-5 |
| B | XW-13 |
| C | XW-1, XW-3, XW-10, XW-15, XW-24, XW-25, XW-26 |
| D | GL-1, GL-2, GL-3, GL-4, GL-5, GL-6, GL-7, GL-8, GL-9, XW-18, BM-1, BM-2, BM-3, BM-4, BM-6, BM-7, BM-8, BM-9, HS-7, HZ-1, HZ-2, HZ-3, HZ-4, HZ-5 |
| E | XW-2, XW-4, XW-7, XW-9, XW-12, XW-14, XW-16, XW-17, XW-19, XW-21, XW-22, XW-23, XW-28, XW-29, XW-30, QL-1, QL-2, QL-4, YJ-9, HS-1, HS-5, BL-1, BL-2, BL-3, BL-4 |
| F | XW-8, XW-11, XW-27, BM-5, BM-10, QL-5, QL-6, YJ-3, YJ-4, YJ-5, YJ-7, YZ-1, YZ-10, HS-2, HS-3, HS-4, HS-6, HS-8, BL-5 |
| G | XW-6, XW-20, BL-6, BL-7, BL-8 |
| H | QL-3, QL-7 |
| I | YZ-2, YZ-4, YZ-5, YZ-6, YZ-7, YZ-8, YZ-9 |
| J | YJ-1, YJ-2, YJ-6, YJ-8, YZ-3 |
| Group | Occurrence Number | Community Type |
|---|---|---|
| A | 1 | Sedum sarmentosum + Iris ensata var. hortensis + Iris pseudacorus |
| B | 1 | Trachelospermum jasminoides + Nephrolepis cordifolia |
| C | 7 | Reineckea carnea + Orychophragmus violaceus |
| D | 24 | Stellaria media + Poa annua + Galium spurium + Veronica persica |
| E | 25 | Ophiopogon japonicus + Oxalis corniculata + Poa annua |
| F | 19 | Cynodon dactylon + Lolium perenne + Oxalis corniculata + Poa annua |
| G | 5 | Broussonetia papyrifera—Achyranthes bidentata + Duchesnea indica + Causonis japonica |
| H | 2 | Echinochloa crusgalli var. zelayensis + Polypogon fugax + Bidens pilosa |
| I | 7 | Phragmites australis + Miscanthus sacchariflorus + Artemisia lavandulifolia + Aster indicus |
| J | 5 | Vicia cracca + Geranium carolinianum + Elymus shandongensis |
| Community Types | Patrick Index | Shannon–Wiener Index | Pielou Index | Simpson Index |
|---|---|---|---|---|
| A | 21.00 ± 0.00 | 2.87 ± 0.00 | 0.94 ± 0.00 | 0.93 ± 0.00 |
| B | 24.00 ± 0.00 | 3.05 ± 0.00 | 0.96 ± 0.00 | 0.95 ± 0.00 |
| C | 22.14 ± 5.54 | 2.93 ± 0.23 | 0.95 ± 0.02 | 0.94 ± 0.02 |
| D | 21.63 ± 5.98 | 2.88 ± 0.31 | 0.95 ± 0.02 | 0.93 ± 0.02 |
| E | 18.48 ± 5.64 | 2.68 ± 0.34 | 0.93 ± 0.02 | 0.91 ± 0.03 |
| F | 16.84 ± 5.20 | 2.61 ± 0.34 | 0.94 ± 0.02 | 0.91 ± 0.03 |
| G | 16.00 ± 2.10 | 2.56 ± 0.19 | 0.92 ± 0.03 | 0.91 ± 0.02 |
| H | 24.50 ± 0.50 | 3.09 ± 0.03 | 0.97 ± 0.00 | 0.95 ± 0.00 |
| I | 14.29 ± 2.76 | 2.49 ± 0.21 | 0.94 ± 0.02 | 0.90 ± 0.02 |
| J | 17.80 ± 2.79 | 2.76 ± 0.15 | 0.96 ± 0.01 | 0.93 ± 0.01 |
| On a Park Level | On a Habitat Level | ||||||||
|---|---|---|---|---|---|---|---|---|---|
| Park Features | Canonical Correspondence Analysis | Park Features | Canonical Correspondence Analysis | ||||||
| CCA1 | CCA2 | CCA3 | CCA4 | CCA1 | CCA2 | CCA3 | CCA4 | ||
| Time | −0.22 | 0.89 | 0.21 | −0.34 | ST | 0.33 | −0.06 | −0.14 | −0.72 |
| Size | 0.58 | 0.71 | 0.38 | 0.01 | Habitat | −0.14 | 0.06 | −0.07 | 0.55 |
| Location | 0.16 | −0.51 | −0.41 | 0.74 | Slope | −0.10 | −0.28 | 0.87 | −0.02 |
| DW | −0.24 | −0.45 | 0.70 | −0.21 | HD | 0.00 | 0.21 | −0.53 | 0.16 |
| DM | 0.02 | 0.20 | 0.52 | 0.57 | MF | −0.62 | 0.01 | 0.36 | −0.30 |
| SC | −0.45 | −0.63 | −0.15 | 0.47 | |||||
| Canopy closure | 0.42 | 0.06 | −0.19 | −0.56 | |||||
| Eigenvalue | 0.54 | 0.29 | 0.15 | 0.14 | Eigenvalue | 0.21 | 0.14 | 0.12 | 0.10 |
| Proportion Explained | 0.44 | 0.24 | 0.13 | 0.11 | Proportion Explained | 0.26 | 0.18 | 0.15 | 0.12 |
| Cumulative Proportion | 0.44 | 0.68 | 0.81 | 0.92 | Cumulative Proportion | 0.26 | 0.44 | 0.59 | 0.71 |
Disclaimer/Publisher’s Note: The statements, opinions and data contained in all publications are solely those of the individual author(s) and contributor(s) and not of MDPI and/or the editor(s). MDPI and/or the editor(s) disclaim responsibility for any injury to people or property resulting from any ideas, methods, instructions or products referred to in the content. |
© 2024 by the authors. Licensee MDPI, Basel, Switzerland. This article is an open access article distributed under the terms and conditions of the Creative Commons Attribution (CC BY) license (https://creativecommons.org/licenses/by/4.0/).
Share and Cite
Xu, W.; Dai, W.; Ding, Y.; Song, S.; Liu, Q.; Yang, W. Drivers of Spontaneous Plant Communities in Urban Parks: A Case from Nanjing, China. Sustainability 2024, 16, 3841. https://doi.org/10.3390/su16093841
Xu W, Dai W, Ding Y, Song S, Liu Q, Yang W. Drivers of Spontaneous Plant Communities in Urban Parks: A Case from Nanjing, China. Sustainability. 2024; 16(9):3841. https://doi.org/10.3390/su16093841
Chicago/Turabian StyleXu, Wenjie, Wenjing Dai, Yanfen Ding, Shanshan Song, Qian Liu, and Wei Yang. 2024. "Drivers of Spontaneous Plant Communities in Urban Parks: A Case from Nanjing, China" Sustainability 16, no. 9: 3841. https://doi.org/10.3390/su16093841
APA StyleXu, W., Dai, W., Ding, Y., Song, S., Liu, Q., & Yang, W. (2024). Drivers of Spontaneous Plant Communities in Urban Parks: A Case from Nanjing, China. Sustainability, 16(9), 3841. https://doi.org/10.3390/su16093841
