Research on the Driving Factors and Prediction Model of Urban Underground Space Demand in China
Abstract
1. Introduction
2. Literature Review
3. Methodology
3.1. Potential Driving Factors
3.2. Data Acquisition Sources and Methods
3.3. Flowchart of This Work and Analysis Method Adopted
4. Results
4.1. Descriptive Statistics
4.2. Correlation Analysis
4.3. Path Analysis
4.4. Determination Coefficient Analysis
4.5. Regression Analysis
- Univariable optimal model
- Multiple linear regression
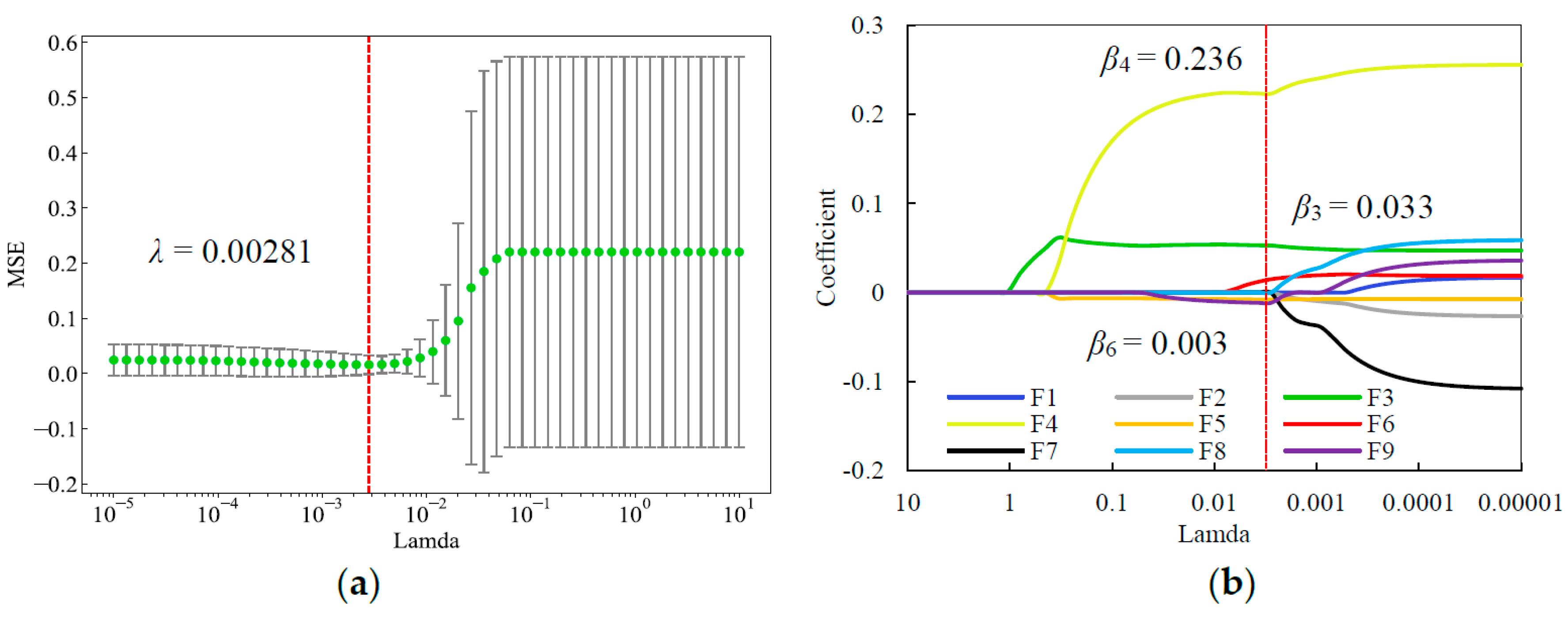
- LASSO regression
- (1)
- Randomly shuffle the sample data;
- (2)
- Divide the randomly shuffled sample data into 10 segments;
- (3)
- Select any nine segments of data to train the model and use the remaining one segment of data to validate the model;
- (4)
- Repeat step (3) and determine the lambda value with the smallest mean-squared error (MSE).
5. Discussion and Limitation
5.1. Influence of F3 and F4 on Y in Each City
5.2. Limitation
6. Conclusions
Author Contributions
Funding
Institutional Review Board Statement
Informed Consent Statement
Data Availability Statement
Conflicts of Interest
Appendix A
| City | Year | Data Sources | City | Year | Data Sources |
|---|---|---|---|---|---|
| Beijing | 2006 | [29] | Xuzhou | 2010–2020 | [30] |
| 2008, 2010, 2012 | [25] | Guangzhou | 2010 | [25] | |
| 2015 | [18] | Shenyang | 2012 | [22,25] | |
| Shanghai | 2002–2005, 2012, 2014–2019 | [31] | Ningbo | 2015 | [25] |
| 2006 | [29,31] | Zhengzhou | 2015 | [18] | |
| 2007–2011 | [25,31] | Nanchang | 2011 | [18] | |
| 2013 | [25] | Wuxi | 2005 | [29] | |
| Nanjing | 2008, 2009 | [30] | Qingdao | 2004 | [29] |
| 2010–2016 | [25] | Wenzhou | 2012 | [32] | |
| 2017–2020 | [24,25] | Fuzhou | 2014 | [25] | |
| Hangzhou | 2010 | [33,34] | Chengdu | 2010 | [25] |
| 2011 | [34] | Taizhou | 2014 | Taizhou Municipal People’s Government (https://www.zjtz.gov.cn (accessed on 4 February 2024)) | |
| 2012–2018 | [25,34] | - | - | - | |
| 2019–2020 | [24,25] | - | - | - |
References
- China Urban Development Report Editorial Board. China Urban Development Report 2010; China City Press: Beijing, China, 2011. (In Chinese) [Google Scholar]
- Qiao, Y.K.; Peng, F.L.; Sabri, S.; Rajabifard, A. Socio-environmental costs of underground space use for urban sustainability. Sustain. Cities Soc. 2019, 51, 101757. [Google Scholar] [CrossRef]
- Xi, Y.; Li, X.; Zhu, H.; Zhang, W.; Zhao, S.; Xu, W. Three-dimensional high-precision assessment of mountainous urban underground space resources: A case study in Chongqing, China. Tunn. Undergr. Space Technol. 2022, 123, 104439. [Google Scholar] [CrossRef]
- Xu, Z.; Zhou, S.; Zhang, C.; Yang, M.; Jiang, M. A Bayesian network model for suitability evaluation of underground space development in urban areas: The case of Changsha, China. J. Clean. Prod. 2023, 418, 138135. [Google Scholar] [CrossRef]
- Chen, Z.; Wang, Y. The Urban Underground Space Planning; Southeast University Press: Nanjing, China, 2005. (In Chinese) [Google Scholar]
- Xia, H.; Lin, C.; Liu, X.; Liu, Z. Urban underground space capacity demand forecasting based on sustainable concept: A review. Energy Build. 2022, 255, 111656. [Google Scholar] [CrossRef]
- Lin, Q.; Zou, B.; Deng, Y. Evaluation of the development potential of urban underground space using set pair analysis and the comprehensive weight method. Sustainability 2023, 15, 6255. [Google Scholar] [CrossRef]
- Zhao, J.W.; Peng, F.L.; Wang, T.Q.; Zhang, X.Y.; Jiang, B.N. Advances in master planning of urban underground space (UUS) in China. Tunn. Undergr. Space Technol. 2016, 55, 290–307. [Google Scholar] [CrossRef]
- Yuan, H.; He, Y.; Wu, Y. A comparative study on urban underground space planning system between China and Japan. Sustain. Cities Soc. 2019, 48, 101541. [Google Scholar] [CrossRef]
- Frisk, E.L.; Volchko, Y.; Sandstrom, O.T.; Soderqvist, T.; Ericsson, L.O.; Mossmark, F.; Lindhe, A.; Blom, G.; Lång, L.O.; Carlsson, C.; et al. The geosystem services concept—What is it and can it support subsurface planning? Ecosyst. Serv. 2022, 58, 101493. [Google Scholar] [CrossRef]
- Qiao, Y.K.; Peng, F.L.; Luan, Y.P.; Wu, X.L. Rethinking underground land value and pricing: A sustainability perspective. Tunn. Undergr. Space Technol. 2022, 127, 104573. [Google Scholar] [CrossRef]
- Qiao, Y.K.; Peng, F.L.; Wu, X.L.; Luan, Y.P. Visualization and spatial analysis of socio-environmental externalities of urban underground space use: Part 2 negative externalities. Tunn. Undergr. Space Technol. 2022, 121, 104326. [Google Scholar] [CrossRef]
- Zhao, P.; Li, X.; Zhang, W.; Xiong, Z.; Xu, W.; Dai, J.; Deng, L. System dynamics: A new approach for the evaluation of urban underground resource integrated development. Tunn. Undergr. Space Technol. 2022, 119, 104213. [Google Scholar] [CrossRef]
- He, L.; Song, Y.; Dai, S.; Durbak, K. Quantitative research on the capacity of urban underground space—The case of Shanghai, China. Tunn. Undergr. Space Technol. 2012, 32, 168–179. [Google Scholar] [CrossRef]
- Bobylev, N. Mainstreaming sustainable development into a city’s master plan: A case of urban underground space use. Land Use Pol. 2009, 26, 1128–1137. [Google Scholar] [CrossRef]
- Wang, X.; Zhen, F.; Huang, X.; Zhang, M.; Liu, Z. Factors influencing the development potential of urban underground space: Structural equation model approach. Tunn. Undergr. Space Technol. 2013, 38, 235–243. [Google Scholar] [CrossRef]
- Bobylev, N. Underground space in the Alexanderplatz Area, Berlin: Research into the quantification of urban underground space use. Tunn. Undergr. Space Technol. 2010, 25, 495–507. [Google Scholar] [CrossRef]
- Chen, Z.; Chen, J.; Liu, H.; Zhang, Z. Present status and development trends of underground space in Chinese cities: Evaluation and analysis. Tunn. Undergr. Space Technol. 2018, 71, 253–270. [Google Scholar] [CrossRef]
- Chen, L.; Zhu, X. The Theory and Practice of Urban Underground Space Planning; Tongji University Press: Shanghai, China, 1997. (In Chinese) [Google Scholar]
- Li, X.; Xu, H.; Li, C.; Sun, L.; Wang, R. Study on the demand and driving factors of urban underground space use. Tunn. Undergr. Space Technol. 2016, 55, 52–58. [Google Scholar] [CrossRef]
- Liu, J. An Empirical and Methodological Study on Demand Forecasting for Urban Underground Space. Master’s Degree, Tsinghua University, Beijing, China, 2009. (In Chinese). [Google Scholar]
- Gu, Q. A Comparative Study on Demand Forecasting of Underground Space in Different Cities. Master’s Degree, Nanjing University, Nanjing, China, 2019. (In Chinese). [Google Scholar]
- Lin, X.; Du, Z. Research on the forecast of urban underground space demand. E3S Web Conf. 2021, 251, 02094. [Google Scholar] [CrossRef]
- Cui, J. Demand Analysis of Urban Underground Space Resources Development and Utilization Based on Grey Neural Network–Taking Nanjing and Hangzhou as Examples. Master’s Degree, Nanjing University of Science & Technology, Nanjing, China, 2022. (In Chinese). [Google Scholar]
- Xu, S.; Xu, S.; Cui, J. Development and utilization demand prediction of urban underground space resources. J. Nanjing Univ. Sci. Technol. 2023, 36, 26–36. (In Chinese) [Google Scholar]
- Ge, R.; Li, X.; Yuan, F.; Jowitt, S.M.; Dou, F.; Xiong, Y.; Li, X. Demand evaluation of urban underground space through geospatial big data. J. Urban Plan. Dev. 2024, 150, 04023057. [Google Scholar] [CrossRef]
- Cui, J.; Allan, A.; Lin, D. Analysis of motivations of developing underground pedestrian systems–decisive effect of weather conditions. In Proceedings of the 11th International WALK21 Conference & 23rd International Workshop of the International Co-Operation on Theories and Concepts in Traffic Safety, Hague, The Netherland, 16–19 November 2010. [Google Scholar]
- Tibshirani, R. Regression shrinkage and selection via the lasso. J. R. Stat. Soc. B 1996, 58, 267–288. [Google Scholar] [CrossRef]
- Qian, Q. Current status evaluation and prospects of urban underground space development and utilization in China. Life Disaster 2006, S1, 1–5. (In Chinese) [Google Scholar]
- Jiangsu Underground Space Society. Report on the Development of Underground Space in Jiangsu Province 2022; Jiangsu Phoenix Science Press: Nanjing, China, 2023. (In Chinese) [Google Scholar]
- Xu, G.; Wang, B.; He, Y.; Qian, H. Study on accelerating the development and utilization of underground space resources in Shanghai. Sci. Dev. 2023, 174, 87–94. (In Chinese) [Google Scholar]
- He, L.; Zhang, L.; Pan, N. Research on underground space planning, Wenzhou. Planners 2014, 30, 227–231. (In Chinese) [Google Scholar]
- Sun, L.; Li, X.; Zhou, D.; Wang, R.; Liu, C. Study on the correlation between underground space development and socio-economic factors. Chin. J. Undergr. Space Eng. 2018, 14, 859–868+880. (In Chinese) [Google Scholar]
- Xue, Y. Current situation of urban underground space data resources sharing and suggestions: Take Hangzhou as an example. Value Eng. 2020, 39, 258–261. (In Chinese) [Google Scholar]







| Indicator | Method | References |
|---|---|---|
| Land price Land use type Flow area ratio Rail transit passenger flow Accessibility of rail transit | Regression model | [21] |
| Population density Annual GDP per capita Real estate price | Regression model | [14] |
| Land use type Ground building FAR2 | Comparative analysis | [20] |
| Population density GDP per capita Spatial location vehicle possessive quantity per 100-person GDP per km2 Land price | Regression model | [22] |
| GDP per capita Population density Real estate price | Regression model | [23] |
| GDP per capita Car ownership per 100 people Average price of land sold Tertiary industry’s regional GDP | Regression model Grey neural network model | [24,25] |
| Accessibility Traffic congestion Land use type Location condition Building density House price level Population density Night light intensity | Geodetector model | [26] |
| Factor | Symbol | Units | Units Symbol |
|---|---|---|---|
| Population size | F1 | Person | person |
| Population density | F2 | Person per square kilometers | person/km2 |
| GDP per capita | F3 | Yuan | Yuan |
| GDP per km2 | F4 | Yuan per square kilometers | Yuan/km2 |
| Vehicle possessive quantity per 100 persons | F5 | Vehicle | - |
| Land price | F6 | Yuan per square meter | Yuan/m2 |
| Monthly mean temperature | F7 | Centigrade | °C |
| Monthly mean maximum temperature | F8 | Centigrade | °C |
| Monthly mean minimum temperature | F9 | Centigrade | °C |
| Factors | Max | Min | Mean | SD | CV (%) |
|---|---|---|---|---|---|
| F1 | 2.48 | 0.51 | 1.31 | 0.64 | 48.81 |
| F2 | 3.91 | 0.52 | 1.60 | 1.19 | 74.13 |
| F3 | 15.86 | 0.60 | 8.50 | 3.56 | 41.93 |
| F4 | 5.99 | 0.20 | 1.41 | 1.37 | 96.76 |
| F5 | 30.75 | 4.20 | 17.59 | 7.07 | 40.19 |
| F6 | 3.37 | 0.20 | 1.03 | 0.83 | 80.02 |
| F7 | 22.53 | 7.43 | 16.69 | 2.02 | 12.07 |
| F8 | 26.64 | 13.18 | 21.06 | 1.71 | 8.13 |
| F9 | 19.63 | 1.92 | 13.09 | 2.53 | 19.33 |
| Y | 1.88 | 0.02 | 0.47 | 0.44 | 91.87 |
| Factors | Correlation Coefficient | Direct Path Coefficient | Indirect Path Coefficient | |||
|---|---|---|---|---|---|---|
| F3 | F4 | F7 | Total | |||
| F3 | 0.695 | 0.320 ** | – | 0.158 | 0.074 | 0.232 |
| F4 | 0.931 | 0.787 ** | 0.390 | – | 0.175 | 0.564 |
| F7 | 0.186 | 0.063 * | 0.015 | 0.014 | – | 0.029 |
| Factors | Coefficient of Determination | Total | Surplus Factor | ||
|---|---|---|---|---|---|
| F3 | F4 | F7 | |||
| F3 | 0.482 | 0.939 | 0.483 | 0.943 | 0.333 |
| F4 | – | 0.867 | 0.867 | ||
| F7 | – | – | 0.035 | ||
| Factors | Optimal Model | Model Summary | Parameter Evaluation | |||
|---|---|---|---|---|---|---|
| R2 | F-Stat | P | Constant | b1 | ||
| F3 | Exponential model | 0.58 | 92.496 | 0 | 0.044 | 0.227 |
| F4 | Linear model | 0.867 | 435.657 | 0 | 0.055 | 0.297 |
| Model | Multiple Correlation Coefficient | R2 | Adjusted R2 | Standard Error | Predictive Variables |
|---|---|---|---|---|---|
| 1 | 0.931 | 0.867 | 0.865 | 0.16 | constant, F4 |
| 2 | 0.939 | 0.939 | 0.937 | 0.109 | constant, F4, F3 |
| City | F3 and Y | F4 and Y | ||||
|---|---|---|---|---|---|---|
| R2 | Constant | b1 | R2 | Constant | b1 | |
| Shanghai | 0.995 | −0.3977 | 0.1056 | 0.9959 | −0.1853 | 0.3437 |
| Beijing | 0.9248 | −0.0141 | 0.0476 | 0.9303 | 0.0818 | 0.2915 |
| Nanjing | 0.9437 | −0.4344 | 0.0939 | 0.9455 | −0.3106 | 0.6069 |
| Hangzhou | 0.8767 | −0.2241 | 0.0513 | 0.9943 | −0.0868 | 0.6806 |
| Xuzhou | 0.9195 | −0.1657 | 0.0494 | 0.9316 | −0.1455 | 0.5951 |
Disclaimer/Publisher’s Note: The statements, opinions and data contained in all publications are solely those of the individual author(s) and contributor(s) and not of MDPI and/or the editor(s). MDPI and/or the editor(s) disclaim responsibility for any injury to people or property resulting from any ideas, methods, instructions or products referred to in the content. |
© 2024 by the authors. Licensee MDPI, Basel, Switzerland. This article is an open access article distributed under the terms and conditions of the Creative Commons Attribution (CC BY) license (https://creativecommons.org/licenses/by/4.0/).
Share and Cite
Deng, Y.; Chen, J.; Zou, B.; Chen, Q.; Ma, J.; Shen, C. Research on the Driving Factors and Prediction Model of Urban Underground Space Demand in China. Sustainability 2024, 16, 3700. https://doi.org/10.3390/su16093700
Deng Y, Chen J, Zou B, Chen Q, Ma J, Shen C. Research on the Driving Factors and Prediction Model of Urban Underground Space Demand in China. Sustainability. 2024; 16(9):3700. https://doi.org/10.3390/su16093700
Chicago/Turabian StyleDeng, Yansheng, Jun Chen, Baoping Zou, Qizhi Chen, Jingyuan Ma, and Chenjie Shen. 2024. "Research on the Driving Factors and Prediction Model of Urban Underground Space Demand in China" Sustainability 16, no. 9: 3700. https://doi.org/10.3390/su16093700
APA StyleDeng, Y., Chen, J., Zou, B., Chen, Q., Ma, J., & Shen, C. (2024). Research on the Driving Factors and Prediction Model of Urban Underground Space Demand in China. Sustainability, 16(9), 3700. https://doi.org/10.3390/su16093700

