Uncovering the Spatiotemporal Patterns of Regional and Local Driver Sources in a Freeway Network
Abstract
1. Introduction
2. Data
2.1. Geographic Information Data of the Freeway Network
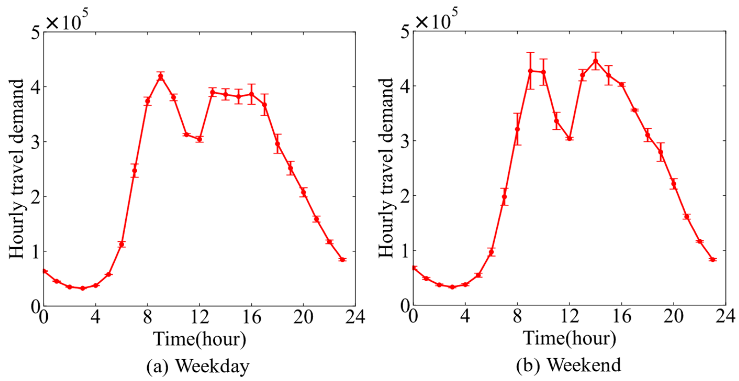
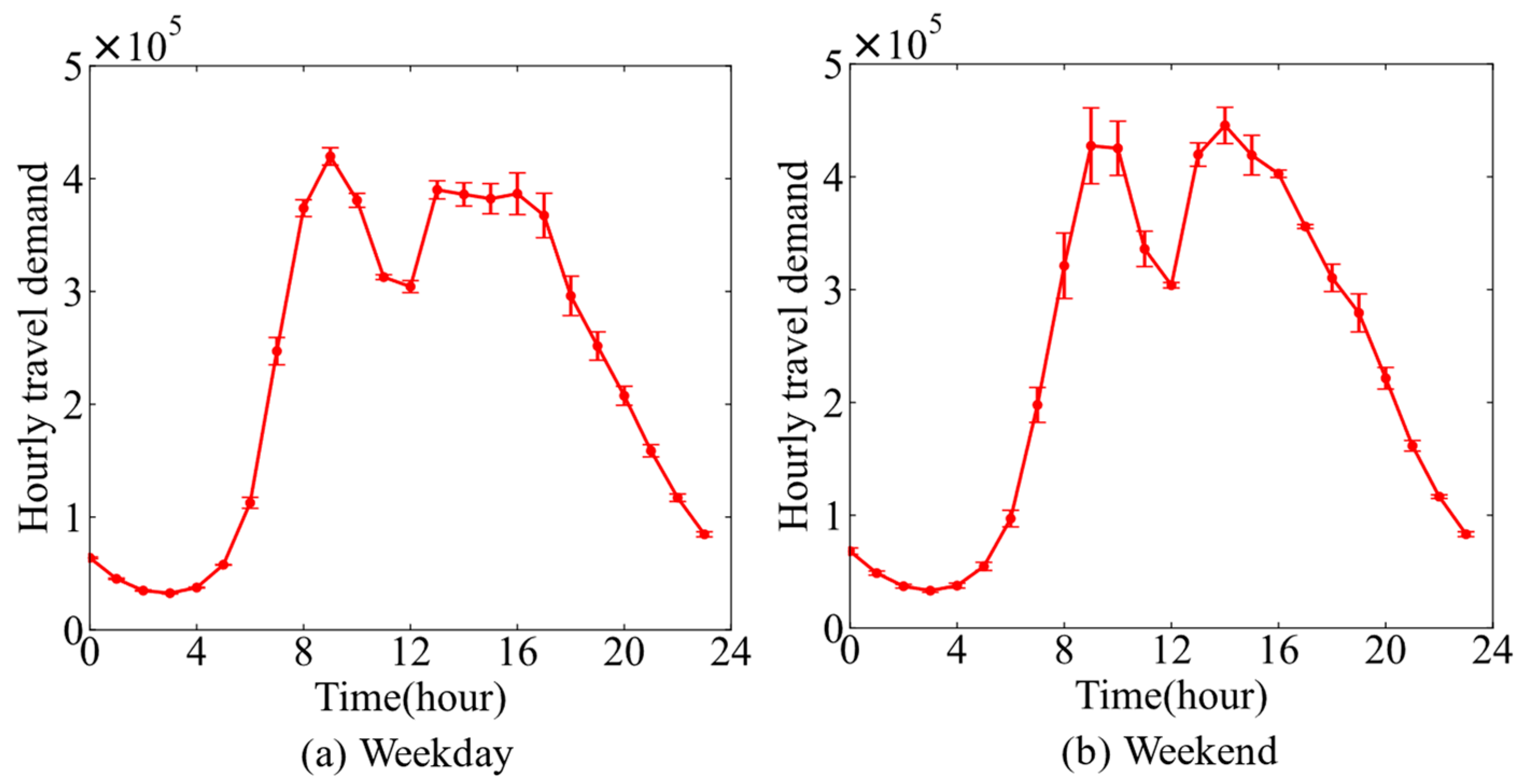
2.2. Freeway Travel Demand Data
3. Methodology
3.1. Inferring the Vehicle Path and Estimating the Traffic Flow
3.2. Identifying the Congestion Driver Sources of the Hunan Freeway Network
3.3. Identifying the Major Driver Sources of Local Freeway Sections
4. Spatiotemporal Patterns of Congestion Driver Sources
4.1. Spatiotemporal Patterns of Extra Travel Times
4.2. Spatiotemporal Patterns of Congestion Driver Sources
5. Major Driver Sources of Local Freeway Sections
5.1. Major Driver Sources of a Freeway Section with a Traffic Accident
5.2. Major Driver Sources of a Freeway Section under Maintenance Work
6. Discussion
7. Conclusions
Author Contributions
Funding
Institutional Review Board Statement
Informed Consent Statement
Data Availability Statement
Acknowledgments
Conflicts of Interest
References
- Ignatov, A. European highway networks, transportation costs, and regional income. Reg. Sci. Urban Econ. 2024, 104, 103969. [Google Scholar] [CrossRef]
- Saha, P.; Sarkar, A.K.; Pal, M. Evaluation of speed–flow characteristics on two-lane highways with mixed traffic. Transport 2017, 32, 331–339. [Google Scholar] [CrossRef]
- Cao, S.; Xu, H.; Xu, Y.; Wang, X.; Zheng, Y.; Li, Y. Assessment of the integrated benefits of highway infrastructure and analysis of the spatiotemporal variation: Evidence from 29 provinces in China. Socio-Econ. Plan. Sci. 2023, 90, 101740. [Google Scholar] [CrossRef]
- Ministry of Transport of the People’s Republic of China. Statistical Communiqué of the People’s Republic of China on the 2012 Highway and Waterway Transport Industry Development. 2013. Available online: https://www.mot.gov.cn/fenxigongbao/hangyegongbao/201510/t20151013_1894759.html (accessed on 28 February 2024).
- Ministry of Transport of the People’s Republic of China. Statistical Communiqué of the People’s Republic of China on the 2022 Transport Industry Development. 2023. Available online: https://xxgk.mot.gov.cn/2020/jigou/zhghs/202306/t20230615_3847023.html (accessed on 28 February 2024).
- Outwater, M.; Tierney, K.; Bradley, M.; Sall, E.; Kuppam, A.; Modugula, V. California statewide model for high-speed rail. J. Choice Model. 2010, 3, 58–83. [Google Scholar] [CrossRef]
- Department of Transportation of Huan Province. Statistical Communiqué of the Hunan Province on the 2017 Highway and Waterway Transport Industry Development. 2018. Available online: https://jtt.hunan.gov.cn/xxgk/zwgg/201804/t20180402_4983863.html (accessed on 28 February 2024).
- Department of Transportation of Huan Province. Statistical Communiqué of the Hunan Province on the 2022 Highway and Waterway Transport Industry Development. 2023. Available online: https://jtt.hunan.gov.cn/jtt/xxgk/jttj/202307/t20230725_29410204.html (accessed on 28 February 2024).
- Yuan, M.; Mai, J.; Liu, X.; Shen, H.; Wang, J. Current Implementation and Development Countermeasures of Green Energy in China’s Highway Transportation. Sustainability 2023, 15, 3024. [Google Scholar] [CrossRef]
- Jing, T.; Liu, D.; Bao, Y.; Wang, H.; Yan, M.; Zu, F. Spatiotemporal Distributions and Vulnerability Assessment of Highway Blockage under Low-Visibility Weather in Eastern China Based on the FAHP and CRITIC Methods. Atmosphere 2023, 14, 756. [Google Scholar] [CrossRef]
- Retallack, A.E.; Ostendorf, B. Relationship between traffic volume and accident frequency at intersections. Int. J. Environ. Res. Public Health 2020, 17, 1393. [Google Scholar] [CrossRef]
- Zhang, L.; Levinson, D. Optimal freeway ramp control without origin–destination information. Transp. Res. Part B Methodol. 2004, 38, 869–887. [Google Scholar] [CrossRef]
- Grumert, E.; Ma, X.; Tapani, A. Analysis of a cooperative variable speed limit system using microscopic traffic simulation. Transp. Res. Part C Emerg. Technol. 2015, 52, 173–186. [Google Scholar] [CrossRef]
- Vreeswijk, J.D.; Landman, R.L.; van Berkum, E.C.; Hegyi, A.; Hoogendoorn, S.P.; van Arem, B. Improving the road network performance with dynamic route guidance by considering the indifference band of road users. IET Intell. Transp. Syst. 2015, 9, 897–906. [Google Scholar] [CrossRef]
- Jun, J. Understanding the variability of speed distributions under mixed traffic conditions caused by holiday traffic. Transp. Res. Part C Emerg. Technol. 2010, 18, 599–610. [Google Scholar] [CrossRef]
- Chen, Y.; Chen, C.; Wu, Q.; Ma, J.; Zhang, G.; Milton, J. Spatial-temporal traffic congestion identification and correlation extraction using floating car data. J. Intell. Transp. Syst. 2021, 25, 263–280. [Google Scholar] [CrossRef]
- Yang, Y.; Li, M.; Yu, J.; He, F. Expressway bottleneck pattern identification using traffic big data—The case of ring roads in Beijing, China. J. Intell. Transp. Syst. 2020, 24, 54–67. [Google Scholar] [CrossRef]
- Sarvi, M.; Kuwahara, M.; Ceder, A. Observing freeway ramp merging phenomena in congested traffic. J. Adv. Transp. 2010, 41, 145–170. [Google Scholar] [CrossRef]
- Fernando, R. The impact of Planned Special Events (PSEs) on urban traffic congestion. EAI Endorsed Trans. Scalable Inf. Syst. 2019, 6, e4. [Google Scholar] [CrossRef]
- Pei, Y.; Cai, X.; Li, J.; Song, K.; Liu, R. Method for identifying the traffic congestion situation of the main road in cold-climate cities based on the clustering analysis algorithm. Sustainability 2021, 13, 9741–9771. [Google Scholar] [CrossRef]
- Ren, J.; Chen, Y.; Xin, L.; Shi, J.; Li, B.; Liu, Y. Detecting and positioning of traffic incidents via video-based analysis of traffic states in a road segment. IET Intell. Transp. Syst. 2016, 10, 428–437. [Google Scholar] [CrossRef]
- Ghosh, L.E.; Abdelmohsen, A.; El-Rayes, K.A.; Ouyang, Y. Temporary traffic control strategy optimization for urban freeways. Transp. Res. Rec. 2018, 2672, 68–78. [Google Scholar] [CrossRef]
- Zhang, T.; Guo, G. Graph attention LSTM: A spatiotemporal approach for traffic flow forecasting. IEEE Intell. Transp. Syst. Mag. 2020, 14, 190–196. [Google Scholar] [CrossRef]
- Guo, G.; Yuan, W.; Liu, J.; Lv, Y.; Liu, W. Traffic forecasting via dilated temporal convolution with peak-sensitive loss. IEEE Intell. Transp. Syst. Mag. 2021, 15, 48–57. [Google Scholar] [CrossRef]
- Guo, G.; Zhang, T. A residual spatio-temporal architecture for travel demand forecasting. Transp. Res. Part C Emerg. Technol. 2020, 115, 102639. [Google Scholar] [CrossRef]
- Wang, P.; Hunter, T.; Bayen, A.M.; Schechtner, K.; González, M.C. Understanding road usage patterns in urban areas. Sci. Rep. 2012, 2, 1001. [Google Scholar] [CrossRef]
- Li, M.; Yang, H.; Guo, B.; Dai, J.; Wang, P. Driver Source-Based Traffic Control Approach for Mitigating Congestion in Freeway Bottlenecks. J. Adv. Transp. 2022, 2022, 3536979. [Google Scholar] [CrossRef]
- Li, S.; Yang, H.; Li, M.; Dai, J.; Wang, P. A Highway On-Ramp Control Approach Integrating Percolation Bottleneck Analysis and Vehicle Source Identification. Sustainability 2023, 15, 12608. [Google Scholar] [CrossRef]
- Wang, C.; Xu, Z.; Du, R.; Li, H.; Wang, P. A vehicle routing model based on large-scale radio frequency identification data. J. Intell. Transp. Syst. 2020, 24, 142–155. [Google Scholar] [CrossRef]
- Zhang, J.; Yan, X.; An, M.; Sun, L. The impact of Beijing subway’s new fare policy on riders’ attitude, travel pattern and demand. Sustainability 2017, 9, 689. [Google Scholar] [CrossRef]
- He, Z. Spatial-temporal fractal of urban agglomeration travel demand. Phys. A Stat. Mech. Its Appl. 2020, 549, 124503. [Google Scholar] [CrossRef]
- Sun, C.; Jing, H.; Chen, T.; Li, M.; Zhang, P. Incremental equilibrium assignment and applications to traffic network model. IET Intell. Transp. Syst. 2023, 17, 794–803. [Google Scholar] [CrossRef]
- Xu, M.H.; Liu, Y.Q.; Huang, Q.L.; Zhang, Y.X.; Luan, G.F. An improved Dijkstra’s shortest path algorithm for sparse network. Appl. Math. Comput. 2007, 185, 247–254. [Google Scholar] [CrossRef]
- Wang, S.; Huang, W.; Lu, Z. Deduction of link performance function and its regression analysis. J. Highw. Transp. Res. Dev. 2006, 23, 107–110. [Google Scholar]
- Zhao, Y.; Lu, J.; Zhang, W.; Sun, X. Improvement effect analysis of congestion pricing using Logit model. J. Public Transp. 2017, 49, 80–85. [Google Scholar]
- Ruan, Y.; Chen, J.; Fan, Z.; Wang, T.; Mu, J.; Huo, R.; Huang, W.; Liu, W.; Li, Y.; Sun, Y. Application of K-PSO Clustering Algorithm and Game Theory in Rock Mass Quality Evaluation of Maji Hydropower Station. Appl. Sci. 2023, 13, 8467. [Google Scholar] [CrossRef]
- Rezaei, M.; Noori, H.; Razlighi, M.M.; Nickray, M. Refocus+: Multi-layers real-time intelligent route guidance system with congestion detection and avoidance. IEEE Trans. Intell. Transp. Syst. 2019, 22, 50–63. [Google Scholar] [CrossRef]
- Jindahra, P.; Choocharukul, K. Short-run route diversion: An empirical investigation into variable message sign design and policy experiments. IEEE Trans. Intell. Transp. Syst. 2012, 14, 388–397. [Google Scholar] [CrossRef]
- Haule, H.J.; Alluri, P.; Sando, T. Mobility impacts of ramp metering operations on freeways. J. Transp. Eng. Part A Syst. 2022, 148, 04021109. [Google Scholar] [CrossRef]
- Liu, Z.; Jiang, C.; Wang, J.; Yu, H. The node importance in actual complex networks based on a multi-attribute ranking method. Knowl.-Based Syst. 2015, 84, 56–66. [Google Scholar] [CrossRef]
- Zhao, S.; Zhao, P.; Cui, Y. A network centrality measure framework for analyzing urban traffic flow: A case study of Wuhan, China. Phys. A Stat. Mech. Appl. 2017, 478, 143–157. [Google Scholar] [CrossRef]















| Road Classification | Designed Speed/(km·h−1) | Basic Capacity/[pcu·(h·ln)−1] |
|---|---|---|
| Freeway | 120 | 2200 |
| 100 | 2100 | |
| 80 | 2000 |
| Monday | Tuesday | Wednesday | Thursday | Friday | Saturday | Sunday | |
|---|---|---|---|---|---|---|---|
| Pearson | 0.944 | 0.953 | 0.947 | 0.953 | 0.950 | 0.951 | 0.906 |
| Spearman | 0.977 | 0.976 | 0.988 | 0.992 | 0.971 | 0.988 | 0.947 |
| Monday | Tuesday | Wednesday | Thursday | Friday | Saturday | Sunday | |
|---|---|---|---|---|---|---|---|
| Pearson | 0.175 | 0.356 | 0.208 | 0.232 | 0.339 | 0.365 | 0.570 |
| Spearman | 0.262 | 0.302 | 0.148 | 0.331 | 0.433 | 0.305 | 0.601 |
Disclaimer/Publisher’s Note: The statements, opinions and data contained in all publications are solely those of the individual author(s) and contributor(s) and not of MDPI and/or the editor(s). MDPI and/or the editor(s) disclaim responsibility for any injury to people or property resulting from any ideas, methods, instructions or products referred to in the content. |
© 2024 by the authors. Licensee MDPI, Basel, Switzerland. This article is an open access article distributed under the terms and conditions of the Creative Commons Attribution (CC BY) license (https://creativecommons.org/licenses/by/4.0/).
Share and Cite
Wang, P.; Wang, B.; Ke, R.; Yang, H.; Li, S.; Dai, J. Uncovering the Spatiotemporal Patterns of Regional and Local Driver Sources in a Freeway Network. Sustainability 2024, 16, 3344. https://doi.org/10.3390/su16083344
Wang P, Wang B, Ke R, Yang H, Li S, Dai J. Uncovering the Spatiotemporal Patterns of Regional and Local Driver Sources in a Freeway Network. Sustainability. 2024; 16(8):3344. https://doi.org/10.3390/su16083344
Chicago/Turabian StyleWang, Pu, Bin Wang, Rihong Ke, Hu Yang, Shengnan Li, and Jianjun Dai. 2024. "Uncovering the Spatiotemporal Patterns of Regional and Local Driver Sources in a Freeway Network" Sustainability 16, no. 8: 3344. https://doi.org/10.3390/su16083344
APA StyleWang, P., Wang, B., Ke, R., Yang, H., Li, S., & Dai, J. (2024). Uncovering the Spatiotemporal Patterns of Regional and Local Driver Sources in a Freeway Network. Sustainability, 16(8), 3344. https://doi.org/10.3390/su16083344

