Design, Economic, and Environmental Accounting Assessment of a Solar-Powered Cold Room for Fish Storage in Traditional Markets
Abstract
1. Introduction
- A comprehensive investigation to highlight the dynamic behavior of the cold room, using TRNSYS 16 software, which effectively generates hourly cooling load profiles, adapted to the prevalent weather conditions.
- Design and simulation of the PV arrays via SAM 2017.9.5 software, which offers a precise quantification of the electricity generation capability to power cold rooms. Energy performance involving pertinent annual metrics such as self-sufficiency and self-consumption is also conducted.
- An incisive assessment of the project’s economic viability, hinging on an extensive life cycle assessment encompassing significant metrics including the Levelized Cost of Cooling and the discounted payback period, which collectively portray the system’s long-term financial feasibility.
- Determining the environmental impact by calculating the total CO2 emissions avoided and the consequent total environmental penalty cost savings, offering insight into the system’s contribution towards sustainability.
2. Methods
2.1. Fish Storage Unit
2.2. TRNSYS Model
2.3. PV Array Sizing
2.4. Performances Indexes
2.4.1. PV Self-Sufficiency Rate
2.4.2. PV Self-Consumption
2.4.3. Levelized Cost of Cooling
2.4.4. Discounted Payback Period
2.4.5. Total Equivalent Warming Potential
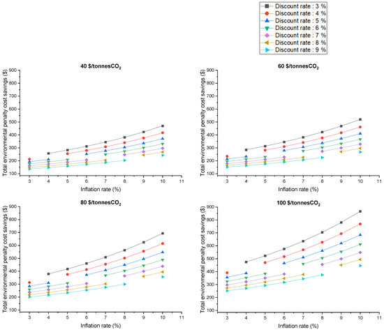
2.4.6. Total Environmental Penalty Cost Savings
2.5. Study Assumptions
3. Results and Discussion
3.1. Cold Room Cooling Load
3.2. Model Verification
3.3. Energy Output of the PV Panels
3.4. Project Profitability
3.5. Environmental Metrics
4. Conclusions
- The cold room’s peak hourly cooling load is 2053.61 W, with a yearly cumulative cooling demand of 8230.17 kWh/year.
- The designed solar PV array consisted of 3 strings of 4 modules and had a nameplate capacity of 1.8 kWp. Results from hourly simulations indicated that the proposed PV system has self-sufficiency and self-consumption equal to 85.6% and 86.19%, respectively.
- The Levelized Cost of Cooling and the discounted payback period are equal to 0.131 $/kWhCold and 3.511 years, respectively.
- Regarding environmental metrics, when using the PV array to generate electricity for the cooling system instead of fully powering it using the electric grid, 437.56 tons of CO2 emissions can be avoided.
- When considering a 40 $/ton CO2 carbon dioxide penalty, at least $100.59 can be saved, and up to $866.66 when considering a 100 $/ton CO2 penalty.
Author Contributions
Funding
Institutional Review Board Statement
Informed Consent Statement
Data Availability Statement
Acknowledgments
Conflicts of Interest
Nomenclature
| Penalty cost for carbon emissions ($/kgCO2) | |
| Cold room cost ($) | |
| Electricity delivered from the grid cost ($/kWh) | |
| Ice specific heat (J/Kgice.°C) | |
| Water specific heat (J/Kgice.°C) | |
| Cost of the PV system ($) | |
| Cost of the refrigeration unit ($) | |
| PV modules degradation (%) | |
| Yearly electricity consumed from the electric grid (kWh) | |
| Yearly ice machine electricity consumption (kWh) | |
| Electricity load (kWh) | |
| Yearly value of electricity generated by the PV array (kWh) | |
| Yearly value of electricity consumed by the load from the PV (kWh) | |
| GWP for electricity production (kgCO2/kWh) | |
| GWP values for refrigerant leakage (kgCO2/kg) | |
| PV electricity generation carbon footprint (kgCO2/kWh) | |
| Inflation rate (%) | |
| Latent heat for water solidification (J/kg) | |
| Leakage rate (% per year) | |
| Daily ice consumption () | |
| Maintenance costs ($) | |
| Project duration (years) | |
| Number of days when the market operates | |
| Fish sellers’ number | |
| Operation cost ($) | |
| Electricity consumed by the load from the electric grid for a time segment (kW) | |
| Electricity demanded by the system for a time segment (kW) | |
| Electricity generated by the PV array for a time segment in (kW) | |
| Electricity consumed by the load from the PV array for a time segment (kW) | |
| Yearly cooling load determined by TRNSYS (kWh/year) | |
| Electricity needed to produce a specific mass of ice () | |
| Thermal energy needed to produce a specific mass of ice () | |
| Discount rate (%) | |
| Initial water temperature (°C) | |
| Ice final set temperature (°C) | |
| Water freezing temperature (°C) |
Abbreviations
| DPP | Discounted payback period (years) |
| GHG | Greenhouse gases |
| GWP | Global warming potential |
| HFC | Hydrofluorocarbon fluid |
| LCOC | Levelized Cost of Cooling ($/kWhcold) |
| RH | Relative humidity (%) |
| SC | PV array self-consumption rate (%) |
| SS | PV array self-sufficiency rate (%) |
| Total equivalent warming potential of the ice machine (tons CO2) | |
| Total equivalent warming potential of the PV array (tons CO2) |
References
- Coulomb, D.; Dupont, J.-L.; Morlet, V. The Impact of the Refrigeration Sector on Climate Change—35. Informatory Note on Refrigeration Technologies. 1 November 2017. Available online: https://inis.iaea.org/search/search.aspx?orig_q=RN:51010282 (accessed on 9 May 2023).
- Coulomb, D. Refrigeration and cold chain serving the global food industry and creating a better future: Two key IIR challenges for improved health and environment. Trends Food Sci. Technol. 2008, 19, 413–417. [Google Scholar] [CrossRef]
- Xue, M.; Kojima, N.; Zhou, L.; Machimura, T.; Tokai, A. Dynamic analysis of global warming impact of the household refrigerator sector in Japan from 1952 to 2030. J. Clean. Prod. 2017, 145, 172–179. [Google Scholar] [CrossRef]
- A Cool World Defining the Energy Conundrum of Cooling for All. Available online: www.brookings.edu/wp-content/uploads/2017/02/global_20170228_global-middle-class.pdf (accessed on 13 May 2023).
- IEA. Cooling Emissions and Policy Synthesis Report; IEA: Paris, France, 2020. [Google Scholar]
- ASHRAE Terminology—Terminology. Presentation. Available online: https://terminology.ashrae.org/ (accessed on 13 May 2023).
- Salin, V. 2018 GCCA Global Cold Storage Capacity Report i Acknowledgements. 2018. Available online: http://AFCERC.tamu.edu (accessed on 13 May 2023).
- Dong, Y.; Miller, S.A. Assessing the lifecycle greenhouse gas (GHG) emissions of perishable food products delivered by the cold chain in China. J. Clean. Prod. 2021, 303, 126982. [Google Scholar] [CrossRef]
- Alan, F.; Tim, B.; Judith, E. Carbon emissions from refrigeration used in the UK food industry. Int. J. Refrig. 2023, 150, 297–303. [Google Scholar] [CrossRef]
- Sarr, J.; Dupont, J.L.; Guilpart, J. The Carbon Footprint of the Cold Chain, 7th Informatory Note on Refrigeration and Food. 2021. Available online: https://iifiir.org/fr/fridoc/l-empreinte-carbone-de-la-chaine-du-froid-7-lt-sup-gt-e-lt-sup-gt-note-143457 (accessed on 7 February 2024). [CrossRef]
- FAO. The State of Food Security and Nutrition in the World 2022; FAO: Rome, Italy, 2022. [Google Scholar] [CrossRef]
- Evans, J.; Foster, A.; Huet, J.-M.; Reinholdt, L.; Fikiin, K.; Zilio, C.; Houska, M.; Landfeld, A.; Bond, C.; Scheurs, M.; et al. Specific energy consumption values for various refrigerated food cold stores. Energy Build. 2014, 74, 141–151. [Google Scholar] [CrossRef]
- Delele, M.A.; Ngcobo, M.E.K.; Getahun, S.T.; Chen, L.; Mellmann, J.; Opara, U.L. Studying airflow and heat transfer characteristics of a horticultural produce packaging system using a 3-D CFD model. Part I: Model development and validation. Postharvest Biol. Technol. 2013, 86, 536–545. [Google Scholar] [CrossRef]
- Laguerre, O.; Duret, S.; Hoang, H.M.; Guillier, L.; Flick, D. Simplified heat transfer modeling in a cold room filled with food products. J. Food Eng. 2015, 149, 78–86. [Google Scholar] [CrossRef]
- O’Sullivan, J.; Ferrua, M.; Love, R.; Verboven, P.; Nicolaï, B.; East, A. Airflow measurement techniques for the improvement of forced-air cooling, refrigeration and drying operations. J. Food Eng. 2014, 143, 90–101. [Google Scholar] [CrossRef]
- Ho, S.H.; Rosario, L.; Rahman, M.M. Numerical simulation of temperature and velocity in a refrigerated warehouse. Int. J. Refrig. 2010, 33, 1015–1025. [Google Scholar] [CrossRef]
- Wang, G.-B.; Zhang, X.-R. Enhanced airflow by additional axial fans for produce cooling in a cold room: A numerical study on the trade-off between cooling performance and irreversibility. Int. J. Refrig. 2021, 130, 452–465. [Google Scholar] [CrossRef]
- Paull, R. Effect of temperature and relative humidity on fresh commodity quality. Postharvest Biol. Technol. 1999, 15, 263–277. [Google Scholar] [CrossRef]
- Tirawat, D.; Flick, D.; Mérendet, V.; Derens, E.; Laguerre, O. Combination of fogging and refrigeration for white asparagus preservation on vegetable stalls. Postharvest Biol. Technol. 2017, 124, 8–17. [Google Scholar] [CrossRef]
- Brown, T.; Corry, J.E.L.; James, S.J. Humidification of chilled fruit and vegetables on retail display using an ultrasonic fogging system with water/air ozonation. Int. J. Refrig. 2004, 27, 862–868. [Google Scholar] [CrossRef]
- Huang, X.; Li, F.; Li, Y.; Meng, X.; Yang, X.; Sundén, B. Optimization of melting performance of a heat storage tank under rotation conditions: Based on taguchi design and response surface method. Energy 2023, 271, 127100. [Google Scholar] [CrossRef]
- Allouhi, A.; Kousksou, T.; Jamil, A.; El Rhafiki, T.; Mourad, Y.; Zeraouli, Y. Economic and environmental assessment of solar air-conditioning systems in Morocco. Renew. Sustain. Energy Rev. 2015, 50, 770–781. [Google Scholar] [CrossRef]
- Alrwashdeh, S.S.; Ammari, H. Life cycle cost analysis of two different refrigeration systems powered by solar energy. Case Stud. Therm. Eng. 2019, 16, 100559. [Google Scholar] [CrossRef]
- Dai, B.; Yang, H.; Liu, S.; Liu, C.; Wu, T.; Li, J.; Zhao, J.; Nian, V. Hybrid solar energy and waste heat driving absorption subcooling supermarket CO2 refrigeration system: Energetic, carbon emission and economic evaluation in China. Solar Energy 2022, 247, 123–145. [Google Scholar] [CrossRef]
- Gao, P.; Hu, H.; Jin, S.; Wang, S.; Chen, Y.; Wu, W.; Yang, Q.; Zhu, F.; Wang, L. Solar-driven compression-assisted desorption chemisorption refrigeration/cold energy storage system. Energy Convers. Manag. 2022, 258, 115474. [Google Scholar] [CrossRef]
- Sur, A.; Sah, R.P.; Pandya, S. Milk storage system for remote areas using solar thermal energy and adsorption cooling. Mater. Today Proc. 2020, 28, 1764–1770. [Google Scholar] [CrossRef]
- Allouhi, A.; Kousksou, T.; Jamil, A.; Agrouaz, Y.; Bouhal, T.; Saidur, R.; Benbassou, A. Performance evaluation of solar adsorption cooling systems for vaccine preservation in Sub-Saharan Africa. Appl. Energy 2016, 170, 232–241. [Google Scholar] [CrossRef]
- Xu, Y.; Li, Z.; Chen, H.; Lv, S. Assessment and optimization of solar absorption-subcooled compression hybrid cooling system for cold storage. Appl. Therm. Eng. 2020, 180, 115886. [Google Scholar] [CrossRef]
- Liu, H.; Deng, S.; Habib, S.; Shen, B. Emission reduction constrained optimal strategy for refrigeration field: A case study of Ningbo in China. J. Clean. Prod. 2022, 379, 134667. [Google Scholar] [CrossRef]
- Luerssen, C.; Gandhi, O.; Reindl, T.; Sekhar, C.; Cheong, D. Life cycle cost analysis (LCCA) of PV-powered cooling systems with thermal energy and battery storage for off-grid applications. Appl. Energy 2020, 273, 115145. [Google Scholar] [CrossRef]
- Ikram, H.; Javed, A.; Mehmood, M.; Shah, M.; Ali, M.; Waqas, A. Techno-economic evaluation of a solar PV integrated refrigeration system for a cold storage facility. Sustain. Energy Technol. Assess. 2021, 44, 101063. [Google Scholar] [CrossRef]
- Du, W.; Li, M.; Wang, Y.; Ma, X.; Hu, C.; Zhang, Y.; Zhang, Z. Dynamic energy efficiency characteristics analysis of a distributed solar photovoltaic direct-drive solar cold storage. Build. Environ. 2021, 206, 108324. [Google Scholar] [CrossRef]
- Rami, Y.; Allouhi, A. A comprehensive multi-criteria assessment of solar-driven refrigeration systems for fish preservation in Africa based on energy, economic, environmental and social dimensions. Energy Convers. Manag. 2024, 306, 118183. [Google Scholar] [CrossRef]
- Allouhi, A.; Kousksou, T.; Jamil, A.; Bruel, P.; Mourad, Y.; Zeraouli, Y. Solar driven cooling systems: An updated review. Renew. Sustain. Energy Rev. 2015, 44, 159–181. [Google Scholar] [CrossRef]
- Amaral, C.; Vicente, R.; Eisenblätter, J.; Marques, P.A.A.P. Thermal characterization of polyurethane foams with phase change material. Ciên. Tecnol. Mater. 2017, 29, 1–7. [Google Scholar] [CrossRef]
- Ahmadi, Y.; Kim, K.-H.; Kim, S.; Tabatabaei, M. Recent advances in polyurethanes as efficient media for thermal energy storage. Energy Storage Mater. 2020, 30, 74–86. [Google Scholar] [CrossRef]
- Alsuhaibani, A.M.; Refat, M.S.; Qaisrani, S.A.; Jamil, F.; Abbas, Z.; Zehra, A.; Baluch, K.; Kim, J.-G.; Mubeen, M. Green buildings model: Impact of rigid polyurethane foam on indoor environment and sustainable development in energy sector. Heliyon 2023, 9, e14451. [Google Scholar] [CrossRef]
- Welcome | TRNSYS: Transient System Simulation Tool. Available online: https://www.trnsys.com/ (accessed on 13 May 2023).
- Intro—Meteonorm (en). Available online: https://meteonorm.com/en/ (accessed on 14 May 2023).
- American Society of Heating, Refrigerating and Air-Conditioning Engineers. ASHRAE Handbook: Refrigeration; ASHRAE: Peachtree Corners, GA, USA, 2006; Available online: https://books.google.co.ma/books?id=touHPwAACAAJ (accessed on 7 February 2024).
- Home—System Advisor Model—SAM. Available online: https://sam.nrel.gov/ (accessed on 14 May 2023).
- Luthander, R.; Widén, J.; Nilsson, D.; Palm, J. Photovoltaic self-consumption in buildings: A review. Appl. Energy 2015, 142, 80–94. [Google Scholar] [CrossRef]
- Kalogirou, S.A. Solar Economic Analysis. In Solar Energy Engineering; Elsevier: Amsterdam, The Netherlands, 2014; pp. 701–734. [Google Scholar] [CrossRef]
- Beck, T.; Kondziella, H.; Huard, G.; Bruckner, T. Assessing the influence of the temporal resolution of electrical load and PV generation profiles on self-consumption and sizing of PV-battery systems. Appl. Energy 2016, 173, 331–342. [Google Scholar] [CrossRef]
- Zhan, S.; Dong, B.; Chong, A. Improving energy flexibility and PV self-consumption for a tropical net zero energy office building. Energy Build. 2023, 278, 112606. [Google Scholar] [CrossRef]
- Filimonova, I.V.; Kozhevin, V.D.; Provornaya, I.V.; Komarova, A.V.; Nemov, V.Y. Green energy through the LCOE indicator. Energy Rep. 2022, 8, 887–893. [Google Scholar] [CrossRef]
- Chaiyat, N.; Chaongew, S.; Ondokmai, P.; Makarkard, P. Levelized energy and exergy costings per life cycle assessment of a combined cooling, heating, power and tourism system of the San Kamphaeng hot spring, Thailand. Renew. Energy 2020, 146, 828–842. [Google Scholar] [CrossRef]
- Maghsoudi, P.; Sadeghi, S. A novel economic analysis and multi-objective optimization of a 200-kW recuperated micro gas turbine considering cycle thermal efficiency and discounted payback period. Appl. Therm. Eng. 2020, 166, 114644. [Google Scholar] [CrossRef]
- Allouhi, A. Techno-economic and environmental accounting analyses of an innovative power-to-heat concept based on solar PV systems and a geothermal heat pump. Renew. Energy 2022, 191, 649–661. [Google Scholar] [CrossRef]
- Gao, E.; Zhang, Z.; Deng, Q.; Jing, H.; Wang, X.; Zhang, X. Techno-economic and environmental analysis of low-GWP alternative refrigerants in cold storage unit under year-round working conditions. Int. J. Refrig. 2022, 134, 197–206. [Google Scholar] [CrossRef]
- Chiller Monoblock Refrigeration—Straddle Unit—16.4 m3. Available online: https://ukcoldroomspares.co.uk/refrigeration/chiller-monoblock-refrigeration-straddle-unit/ (accessed on 11 May 2023).
- Solar Price Index & Solar Module Price Development. Available online: https://www.pvxchange.com/Price-Index (accessed on 9 May 2023).
- Allouhi, A. Solar PV integration in commercial buildings for self-consumption based on life-cycle economic/environmental multi-objective optimization. J. Clean. Prod. 2020, 270, 122375. [Google Scholar] [CrossRef]
- Choukai, O.; El Mokhi, C.; Hamed, A.; Errouhi, A.A. Feasibility study of a self-consumption photovoltaic installation with and without battery storage, optimization of night lighting and introduction to the application of the DALI protocol at the University of Ibn Tofail (ENSA/ENCG), Kenitra—Morocco. Energy Harvest. Syst. 2022, 9, 165–177. [Google Scholar] [CrossRef]
- Grant, F.; Sheline, C.; Sokol, J.; Amrose, S.; Brownell, E.; Nangia, V.; Winter, A.G. Creating a Solar-Powered Drip Irrigation Optimal Performance model (SDrOP) to lower the cost of drip irrigation systems for smallholder farmers. Appl. Energy 2022, 323, 119563. [Google Scholar] [CrossRef]
- Verma, J.K.; Dondapati, R.S. Techno-economic Sizing Analysis of Solar PV System for Domestic Refrigerators. Energy Procedia 2017, 109, 286–292. [Google Scholar] [CrossRef]
- Morocco Electricity Prices, September 2022 | GlobalPetrolPrices.com. Available online: https://www.globalpetrolprices.com/Morocco/electricity_prices/ (accessed on 9 May 2023).
- Morocco Interest Rate—2023 Data—1995–2022 Historical—2024 Forecast—Calendar. Available online: https://tradingeconomics.com/morocco/interest-rate (accessed on 11 May 2023).
- BANK AL-MAGHRIB—Inflation et Inflation Sous-Jacente—Mars 2023. Available online: https://www.bkam.ma/Actualites/2023/Inflation-et-inflation-sous-jacente-mars-2023 (accessed on 11 May 2023).
- Anthropogenic and Natural Radiative Forcing. In Climate Change 2013—The Physical Science Basis; Cambridge University Press: Cambridge, UK, 2014; pp. 659–740. [CrossRef]
- Islam, M.A.; Srinivasan, K.; Thu, K.; Saha, B.B. Assessment of total equivalent warming impact (TEWI) of supermarket refrigeration systems. Int. J. Hydrogen Energy 2017, 42, 26973–26983. [Google Scholar] [CrossRef]
- Heath, G.; Sandor, D. Life Cycle Greenhouse Gas Emissions from Solar Photovoltaics (Fact Sheet); NREL (National Renewable Energy Laboratory): Jefferson County, CO, USA, 2012.
- Cold Room Price Calculator. Available online: https://www.bluecoldref.com/company/cold-room-price (accessed on 9 May 2023).
- Modular Coldrooms—Paneltech.eu. Available online: https://paneltech.eu/coldrooms (accessed on 9 May 2023).
- Cold Rooms for Sale Cold Room Price Frozen Lobster with Condensing Unit CE Approved—China Cold Room and Cold Room for Sale. Available online: https://coldroomcn.en.made-in-china.com/product/KSsJolvcSVUC/China-Cold-Rooms-for-Sale-Cold-Room-Price-Frozen-Lobster-with-Condensing-Unit-CE-Approved.html (accessed on 9 May 2023).
- High Density Polyurethane Foam Sandwich Panels Price | Lazada. Available online: https://www.lazada.com.my/products/high-density-polyurethane-foam-sandwich-panels-price-i1311832093.html (accessed on 9 May 2023).
- Cold Room for Sale—Cold Room—Freezer Room for Sale. Available online: https://mortuaryfridge.co.za/product/cold-room-for-sale/ (accessed on 9 May 2023).
- CoolPack—IPU. Available online: https://www.ipu.dk/products/coolpack/ (accessed on 12 May 2023).
- Zhao, Z.Y.; Chen, Y.L.; Thomson, J.D. Levelized cost of energy modeling for concentrated solar power projects: A China study. Energy 2017, 120, 117–127. [Google Scholar] [CrossRef]
- Walraven, D.; Laenen, B.; D’haeseleer, W. Minimizing the levelized cost of electricity production from low-temperature geothermal heat sources with ORCs: Water or air cooled? Appl. Energy 2015, 142, 144–153. [Google Scholar] [CrossRef]
- Setiawan, E.A.; Thalib, H.; Maarif, S. Techno-Economic Analysis of Solar Photovoltaic System for Fishery Cold Storage Based on Ownership Models and Regulatory Boundaries in Indonesia. Processes 2021, 9, 1973. [Google Scholar] [CrossRef]
- Alrobaian, A.A. Impact of optimal sizing and integration of thermal energy storage in solar assisted energy systems. Renew Energy 2023, 211, 761–771. [Google Scholar] [CrossRef]
- Liang, Y.; Zhu, Y.; Sun, Z.; Ye, K.; Wu, J.; Lu, J. Feasibility assessment of a CO2 based power, cooling, and heating system driven by exhaust gas from ocean-going fishing vessel. J. Clean. Prod. 2023, 406, 137058. [Google Scholar] [CrossRef]
- Wang, K.; Herrando, M.; Pantaleo, A.M.; Markides, C.N. Technoeconomic assessments of hybrid photovoltaic-thermal vs. conventional solar-energy systems: Case studies in heat and power provision to sports centres. Appl. Energy 2019, 254, 113657. [Google Scholar] [CrossRef]














| Material | Thickness (mm) | Conductivity (W/m K) | Density (kg/m3) |
|---|---|---|---|
| Steel | 10 | 15 | 7800 |
| Polyurethane | 78 | 0.0305 | 40 |
| Steel | 10 | 15 | 7800 |
| Aluminium | 2 | 200 | 2700 |
| Parameter | Value |
|---|---|
| Set temperature [40] | 1.6 °C |
| Set relative humidity [40] | 90% |
| Project duration | 20 years |
| Cold room refrigeration coefficient of performance | 2.7 |
| Cold room cost | $8270 |
| Refrigeration unit [51] | $2580 |
| PV module cost [52] | 0.33 $/Wp |
| Inverter cost [53] | 0.43 $/Wp |
| Battery cost [54,55] | 327.6 $/kWh |
| PV panels’ annual degradation rate [56] | 0.05% |
| Annual operation and maintenance costs [31] | 1% of the initial investment |
| Cost for Moroccan electricity consumption from the grid [57] | 0.106 $/kWh |
| Discount rate [58] | 3% |
| Inflation rate [59] | 8.2% |
| Ice inlet temperature | 20 °C |
| Ice final temperature | −10 °C |
| Ice machine coefficient of performance | 2 |
| Daily ice consumption () | |
| GWP for R134a [60] | 1300 kgCO2/kg |
| Annual R134a refrigeration leakage [61] | 10% |
| Initial refrigerant charging amount per cooling load [61] | 2 kg/kW |
| Carbon footprint for PV [62] | 40 gCO2/kWh |
| Carbon footprint for electric grid [62] | 627.4 gCO2/kWh |
| PV Array Specifications | Inverter Specifications | ||
|---|---|---|---|
| PV module maximum power Pmp (Wdc) | 149.988 | Maximum AC power (Wac) | 1490 |
| PV module max power voltage Vmp (Vdc) | 34.8 | Maximum DC power (Wdc) | 1552.7 |
| PV module max power current Imp (Adc) | 4.3 | max DC voltage (Vdc) | 400 |
| Nominal efficiency | 11.7361% | ||
| Battery specifications | |||
| Desired bank capacity (kWh) | 5 | ||
| Temperature (°C) | TRNSYS Peak Cooling Load (W) | COOLPACK (W) | Relative Error (%) |
|---|---|---|---|
| 1.0 | 2662.92 | 2522 | 5.29% |
| 1.5 | 2627.38 | 2491 | 5.19% |
| 2.0 | 2620.28 | 2434 | 5.16% |
| 2.5 | 2591.85 | 2403 | 6.09% |
| 3.0 | 2556.31 | 2372 | 6.00% |
| Total Equivalent Warming Potential | |
|---|---|
| Direct emissions (tons CO2) | 10.400 |
| Indirect emissions (tons CO2) of the reference system | 463.767 |
| Indirect emissions (tons CO2) using renewable energy system | 26.204 |
Disclaimer/Publisher’s Note: The statements, opinions and data contained in all publications are solely those of the individual author(s) and contributor(s) and not of MDPI and/or the editor(s). MDPI and/or the editor(s) disclaim responsibility for any injury to people or property resulting from any ideas, methods, instructions or products referred to in the content. |
© 2024 by the authors. Licensee MDPI, Basel, Switzerland. This article is an open access article distributed under the terms and conditions of the Creative Commons Attribution (CC BY) license (https://creativecommons.org/licenses/by/4.0/).
Share and Cite
Rami, Y.; Allouhi, A. Design, Economic, and Environmental Accounting Assessment of a Solar-Powered Cold Room for Fish Storage in Traditional Markets. Sustainability 2024, 16, 3080. https://doi.org/10.3390/su16073080
Rami Y, Allouhi A. Design, Economic, and Environmental Accounting Assessment of a Solar-Powered Cold Room for Fish Storage in Traditional Markets. Sustainability. 2024; 16(7):3080. https://doi.org/10.3390/su16073080
Chicago/Turabian StyleRami, Yassine, and Amine Allouhi. 2024. "Design, Economic, and Environmental Accounting Assessment of a Solar-Powered Cold Room for Fish Storage in Traditional Markets" Sustainability 16, no. 7: 3080. https://doi.org/10.3390/su16073080
APA StyleRami, Y., & Allouhi, A. (2024). Design, Economic, and Environmental Accounting Assessment of a Solar-Powered Cold Room for Fish Storage in Traditional Markets. Sustainability, 16(7), 3080. https://doi.org/10.3390/su16073080

