Advanced Linguistic Complex T-Spherical Fuzzy Dombi-Weighted Power-Partitioned Heronian Mean Operator and Its Application for Emergency Information Quality Assessment
Abstract
1. Introduction
- We combine the advantages of CT-SFS and LTS for characterizing uncertain information, and propose LCT-SFS, which is a novel fuzzy set that can characterize more comprehensive uncertain information, is more suitable for dealing with fuzzy multi-attribute assessment problems, and can provide a brand-new fuzzy environment for the future research of multi-attribute assessment methods.
- We propose the ALCT-SFDWPPHM and ALCT-SFDWPPGHM operators, which can deal with the problem of aggregation of attributes of different dimensions and the correlation problem that exists between attributes of the same dimension but also eliminate the influence of singularities on the assessment results. At the same time, we avoid the situation where the aggregation results are consistent or indistinguishable. It provides greater flexibility and superiority in the aggregation process, which enhances and optimizes the uncertain information aggregation method.
- We combine the ALCT-SFDWPPHM operator and the WASPAS method to construct a new multi-attribute assessment method, which has the advantages of being able to improve the reliability and validity of the multi-attribute assessment results and can be widely used in the practice of fuzzy multi-attribute assessment of multi-structures, multi-dimensions, and multi-objectives, and can represent the continuous improvement of the existing multi-attribute assessment methods.
- We constructed a hierarchical model of emergency information quality assessment indices from the user’s cognition and emotional experience perspective and applied the proposed multi-attribute assessment methodology to the quality assessment of emergency information, which can provide a reliable basis for further improving the quality of emergency information and thus better assist emergency management.
2. Preliminaries
2.1. CT-SFS
2.2. LTS
- 1.
- If m > n, then > ;
- 2.
- If m + n = , then negation () = ;
- 3.
- If ≥ , then max () = ;
- 4.
- If ≤ , then min () = .
2.3. Dombi t-Norm and t-Conorm
2.4. HM Operator
2.5. PHM Operator
2.6. PA Operator
- 1.
- ;
- 2.
- ;
- 3.
- If , then .
3. Linguistic Complex T-Spherical Fuzzy Aggregation Operators
3.1. LCT-SFS
- 1.
- If > , then > ;
- 2.
- If < , then < ;
- 3.
- If , then:
- (1)
- If > , then > ;
- (2)
- If < , then < ;
- (3)
- If , then .
3.2. Dombi Operations for Linguistic Complex T-Spherical Fuzzy Set
3.3. Advanced Linguistic Complex T-Spherical Fuzzy Dombi-Weighted Power-Partitioned Heronian Mean Operator
- 1.
- ;
- 2.
- ;
- 3.
- If , then .
3.4. Advanced Linguistic Complex T-Spherical Fuzzy Dombi-Weighted Power-Partitioned Geometric Heronian Mean Operator
- (1)
- (2)
- (3)
4. The Index System of the Quality Assessment of Emergency Information
5. Multi-Attribute Assessment Method Based on the ALCT-SFDWPPHM Operator Combined with the Entropy Measure and the WASPAS Method
6. Numerical Example
6.1. Assessment Ranking
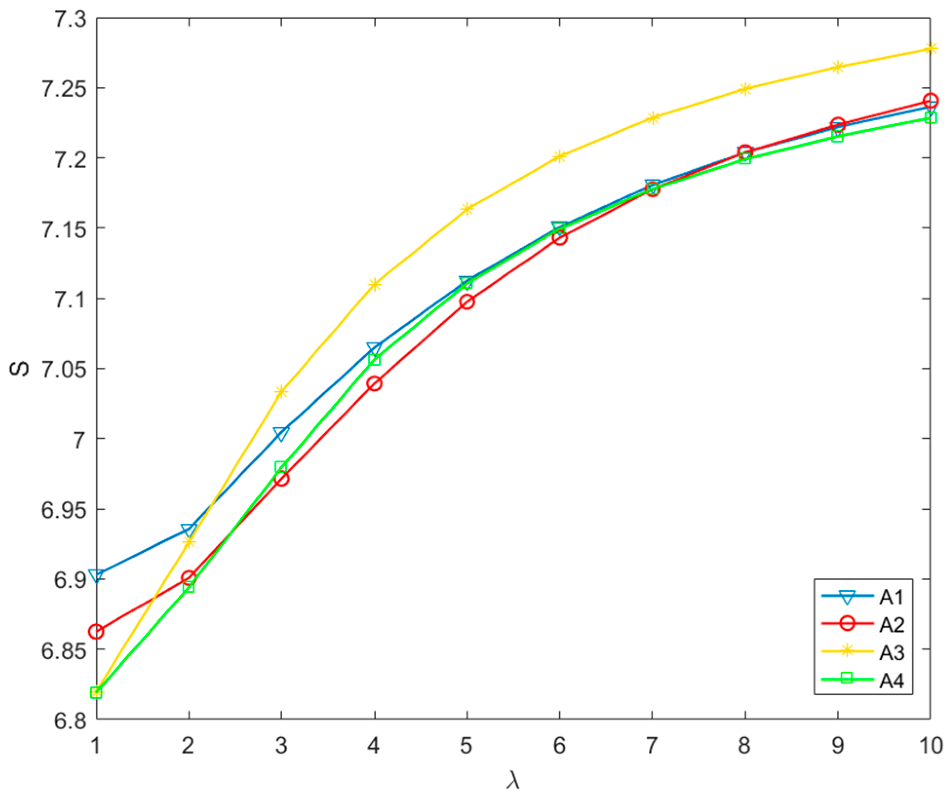
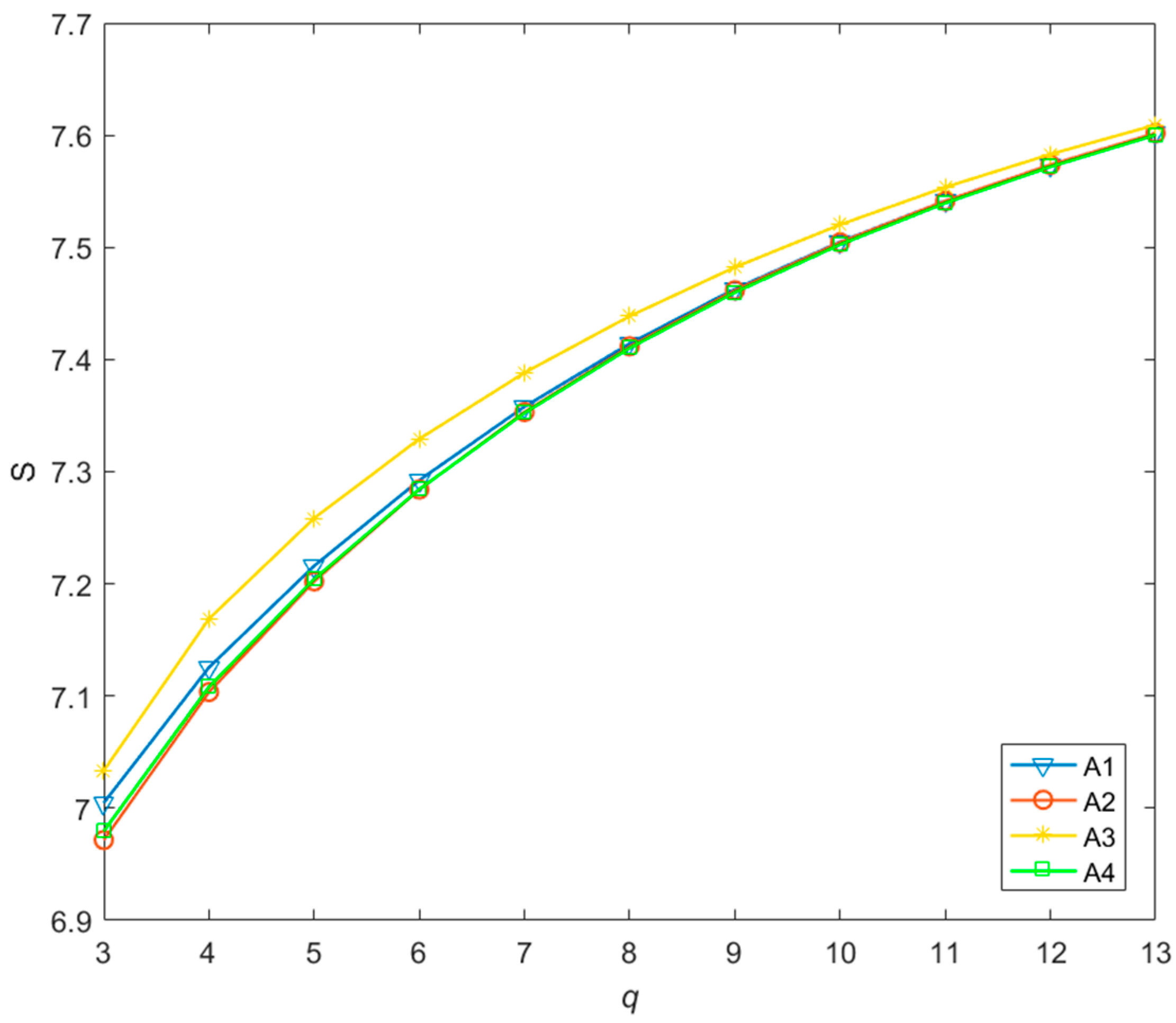
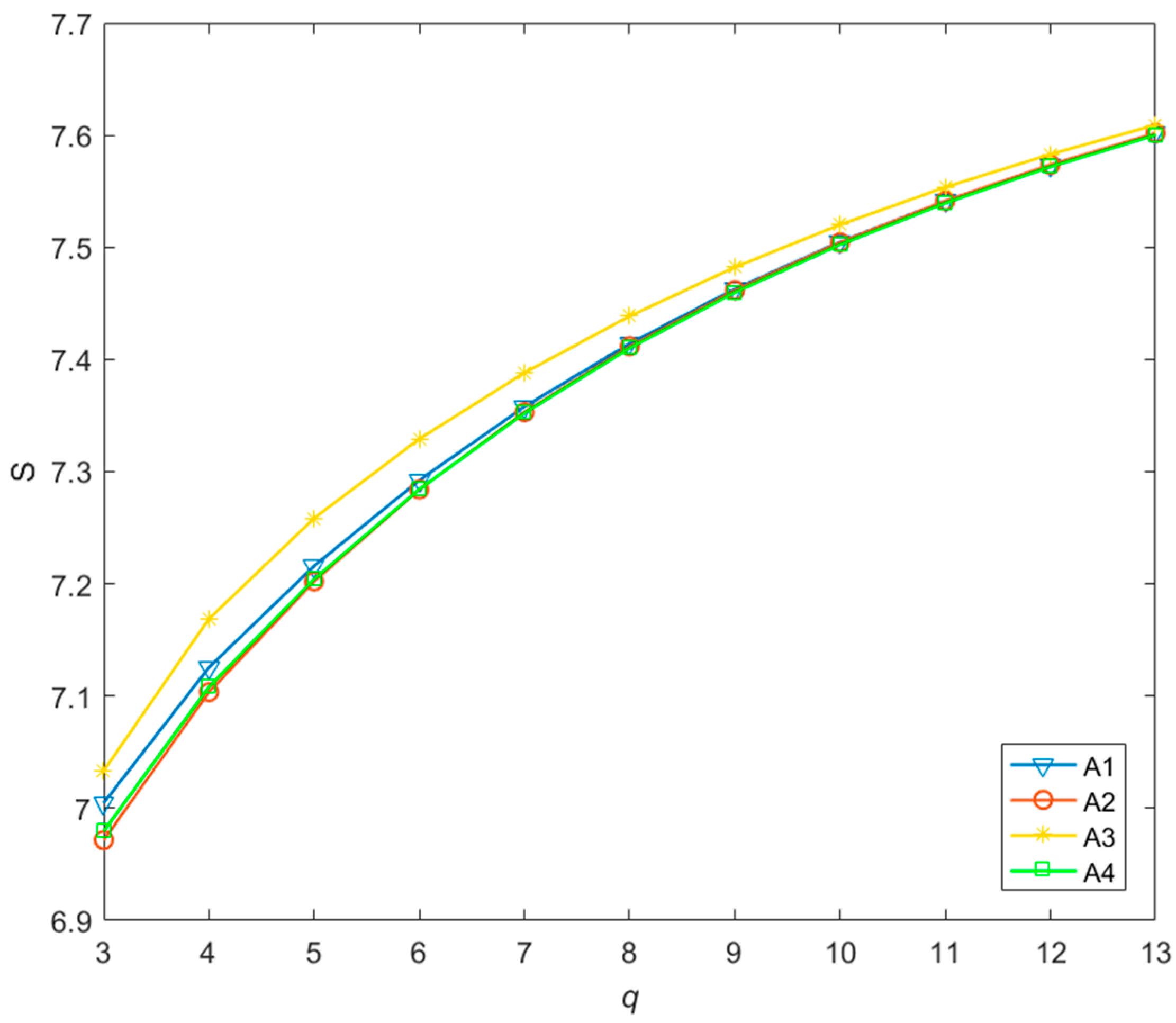
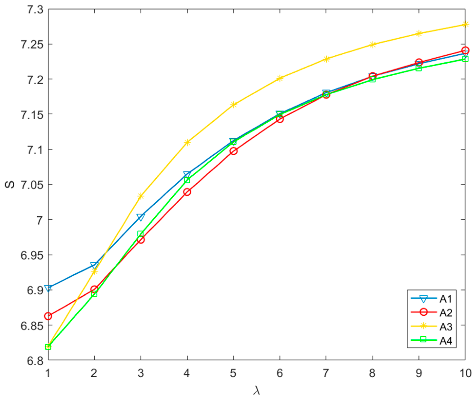
6.2. Sensitivity Analysis
- (1)
- When the parameters , take different values, the scores of each database will change accordingly. The score values and ranking of the four databases for emergency management information quality assessment are summarized in Table 10 (assuming 3, 3).
- (2)
- (3)
6.3. Qualitative Comparison
6.4. Quantitative Comparison
- (1)
- Comparing with the complex T-spherical fuzzy weighted averaging (CT-SFWA) operator, the ranking result of the proposed operator is , while the sorting result of the CT-SFWA [65] operator is . The best database obtained by utilizing the ALCT-SFDWPPHM operator is , while the worst database is by using the CT-SFWA operator. The reason is that the ALCT-SFDWPPHM operator aggregates the HM operator, which takes into account the correlation between attributes, and also aggregates the PA operator, which can reduce the negative impact of singular values. However, the CT-SFWA operator can only perform simple weighted aggregation and does not have the many superior properties of the ALCT-SFDWPPHM operator. Therefore, it can be concluded that the ALCT-SFDWPPHM operator proposed in this paper is more reliable than the CT-SFWA operator in terms of information assessment.
- (2)
- Comparing with the complex T-spherical fuzzy weighted geometric (CT-SFWG) operator, the ranking result of the proposed operator is , while the ranking result of the CT-SFWG [65] operator is . Although the optimal database obtained by both the ALCT-SFDWPPHM and CT-SFWG operators is , the second, third, and fourth sorting results are different. Because the ALCT-SFDWPPHM operator aggregates the Dombi operations, which has more flexibility in information aggregation, and also aggregates the PHM operator that can fully consider the correlation of attributes in the same partition and the uncorrelation of attributes in the different partitions. However, the CT-SFWG operator can only accomplish the simple weighted aggregation process, without the unique function of the ALC-SFDWPPHM operator. As a result, the conclusion can be drawn that the ALCT-SFDWPPHM operator has greater applicability and effectiveness than the CT-SFWG operator in evaluating information.
- (3)
- Comparison with the complex T-spherical fuzzy Aczel-Alsina weighted geometric (CT-SFAAWG) operator, the ordering result of the proposed operator is , while the ordering result of the CT-SFAAWG [66] operator is . The optimal database is obtained by using the ALCT-SFDWPPHM operator, but the optimal database is obtained by using the CT-SFAAWG operator. The rationale behind this is that the ALCT-SFDWPPHM operator has the superior properties of the PA operator and PHM operator in information aggregation, which can eliminate the negative influence of extreme values on the assessment results and take into account the correlation between attributes. The CT-SFAAWG operator does not have any of the above characteristics. Therefore, it draws a conclusion that the ALCT-SFDWPPHM operator proposed in this paper has wider application than the CT-SFAAWG operator.
- (4)
- Compared with the complex T-spherical Dombi fuzzy weighted arithmetic averaging (CT-SDFWAA) operator and the complex T-spherical Dombi fuzzy weighted geometric averaging (CT-SDFWGA) operator, the sorting result of the proposed operator is , whereas the ordering of both the CT-SDFWAA [67] operator and the CT-SDFWGA [67] operator is . The best database obtained by using the ALCT-SFDWPPHM operator, CT-SDFWAA operator and CT-SDFWGA operator is , and the worst database is , with only slight changes in the ranking results. The reason for this is that the ALCT-SFDWPPHM operator not only has great flexibility in information aggregation, but also can fully take into account the correlation between attributes, while the CT-SDFWAA operator and the CT-SDFWGA operator only have greater flexibility in the aggregation process, without paying attention to the correlation between attributes. Therefore, it can be concluded that the ALCT-SFDWPPHM operator is superior and more applicable than the CT-SDFWAA operator and CT-SDFWGA operator.
- (5)
- Compared with the complex T-spherical fuzzy Hamacher weighted averaging (CT-SFHWA) operator and complex T-spherical fuzzy Hamacher weighted geometric (CT-SFHWG) operator, the sorting result of the proposed operator is , but the ranking result of both the CT-SFHWA [68] and CT-SFHWG [68] operator is . The optimal database obtained by utilizing the ALCT-SFDWPPHM operator is , whereas the worst database given by using the CT-SFHWA and CT-SFHWG operator is . It shows that rankings in order have changed greatly. The primary explanation for this phenomenon is attributed to the fact that the ALCT-SFDWPPHM operator aggregates the HM operator that fully considers attribute correlations, and the PA operator that mitigates the negative effect of singular values on final assessment results during information aggregation, but the CT-SFHWA operator and the CT-SFHWG operator do not have these characteristics during the aggregation process. Therefore, the proposed ALCT-SFDWPPHM operator demonstrates that it is more scientific than the CT-SFHWA operator and CT-SFHWG operator in terms of assessment results.
- (6)
- Compared with complex T-spherical fuzzy partitioned power weighted averaging (CT-SFPPWA) operator and complex T-spherical fuzzy partitioned power weighted geometric (CT-SFPPWG) operator, the ranking result of the proposed operator is , whereas the ranking result of both the CT-SFPPWA and CT-SFPPWG operator is , respectively. The optimal database obtained through the utilization of the ALCT-SFDWPPHM operator is , whereas the least favorable database is . Conversely, employing both the CT-SFPPWA and CT-SFPPWG operator yields an optimal database of , with being deemed as the worst performing database. Consequently, there has been a significant alteration in the ranking situation. The reason is that the ALCT-SFDWPPHM operator not only reduces the influence of extreme values on the final assessment results, but also has great flexibility in information aggregation. The CT-SFPPWA and CT-SFPPWG operator do not have the flexibility property of the Dombi operations during the aggregation process. Therefore, it can be seen that the ALCT-SFDWPPHM operator proposed in this paper is more effective than the CT-SFPPWA operator and CT-SFPPWG operator in information assessment.
- (7)
- Compared with linguistic complex T-spherical fuzzy Dombi weighted partitioned Heronian mean (LCT-SFDWPHM) operator and linguistic complex T-spherical fuzzy Dombi weighted partitioned geometric Heronian mean (LCT-SFDWPGHM) operator, the ranking in order of the proposed operator is , while the sorting result of both the LCT-SFDWPHM operator and LCT-SFDWPGHM operator is . The optimal database obtained through using the ALCT-SFDWPPHM operator is , while the worst database obtained using the LCT-SFDWPHM and LCT-SFDWPGHM operator is both . A huge change can be seen in the sorting results, because the ALCT-SFDWPPHM operator combines the PHM operator and PA operator, enabling consideration of attribute correlations during information aggregation and minimizing the impact of singular values on final assessment results. However, both the LCT-SFDWPHA operator and LCT-SFDWPGHM operator only consider attribute correlations during the aggregation process without accounting for negative effects caused by singular values. Therefore, it can be inferred that the proposed ALCT-SFDWPPHM operator exhibits a broader scope of application in information assessment compared to both the LCT-SFDWPHM operator and LCT-SFDWPGHM operator.
- (8)
- Compared with the linguistic complex T-spherical fuzzy TOPSIS method, the sorting result of the proposed operator is , while the sorting result using the TOPSIS method is . The optimal database obtained by using the ALCT-SFDWPPHM is and the worst database is , but the optimal database is and the worst database is using the TOPSIS method. The sorting situation appears to be significantly different. The reason for this is that the ALCT-SFDWPPHM operator not only has great flexibility in information aggregation, but also can take into account the correlations between the attributes of the inter-subdivision area and can reduce the influence of the singular values on the final assessment results. However, the TOPSIS method does not have the functional properties of the Dombi operations, PA, PHM and advanced operators during the aggregation process. Therefore, it can be concluded that the proposed ALCT-SFDWPPHM operator is more applicable and superior to the TOPSIS method in terms of information assessment.
6.5. Discussion
7. Conclusions
Author Contributions
Funding
Institutional Review Board Statement
Informed Consent Statement
Data Availability Statement
Conflicts of Interest
Nomenclature
| List of Symbols | |||
| A complex T-spherical fuzzy set | The membership degree of a complex T-spherical fuzzy number | ||
| The abstinence degree of a complex T-spherical fuzzy number | The non-membership degree of a complex T-spherical fuzzy number | ||
| The hesitant degree of a complex T-spherical fuzzy number | A complex T-spherical fuzzy number | ||
| A linguistic term set | The Dombi t-norm | ||
| The Dombi t-conorm | The support of for | ||
| The sum of | A linguistic complex T-spherical fuzzy number | ||
| The linguistic membership degree of a linguistic complex T-spherical fuzzy set | The language abstinence degree of a linguistic complex T-spherical fuzzy set | ||
| The linguistic non-membership degree of a linguistic complex T-spherical fuzzy set | The refusal degree of a linguistic complex T-spherical fuzzy set | ||
| The score function of linguistic complex T-spherical fuzzy number | The accuracy function of linguistic complex T-spherical fuzzy number | ||
| The Hamming distance between and | The maximum value of a linguistic complex T-spherical fuzzy number | ||
| The minimum value of a linguistic complex T-spherical fuzzy number | |||
References
- Li, Z.; She, J.; Guo, Z.; Du, J.; Zhou, Y. An Evaluation of Factors Influencing the Community Emergency Management under Compounding Risks Perspective. Int. J. Disaster Risk Reduct. 2024, 100, 104179. [Google Scholar] [CrossRef]
- Wang, Y.; Wang, T.; Ye, X.; Zhu, J.; Lee, J. Using Social Media for Emergency Response and Urban Sustainability: A Case Study of the 2012 Beijing Rainstorm. Sustainability 2015, 8, 25. [Google Scholar] [CrossRef]
- Onorati, T.; Díaz, P.; Carrion, B. From Social Networks to Emergency Operation Centers: A Semantic Visualization Approach. Futur. Gener. Comp. Syst. 2019, 95, 829–840. [Google Scholar] [CrossRef]
- Lamb, S.; Walton, D.; Mora, K.; Thomas, J. Effect of Authoritative Information and Message Characteristics on Evacuation and Shadow Evacuation in a Simulated Flood Event. Nat. Hazards Rev. 2012, 13, 272–282. [Google Scholar] [CrossRef]
- Seppänen, H.; Virrantaus, K. Shared Situational Awareness and Information Quality in Disaster Management. Saf. Sci. 2015, 77, 112–122. [Google Scholar] [CrossRef]
- Aggarwal, A. Data Quality Evaluation Framework to Assess the Dimensions of 3V’s of Big Data. Int. J. Emerg. Technol. Adv. Eng. 2017, 7, 503–506. [Google Scholar]
- Kaufhold, M.-A.; Rupp, N.; Reuter, C.; Habdank, M. Mitigating Information Overload in Social Media during Conflicts and Crises: Design and Evaluation of a Cross-Platform Alerting System. Behav. Inf. Technol. 2020, 39, 319–342. [Google Scholar] [CrossRef]
- Liu, C.; Tian, Q.; Zhu, X. Social Media Emergency Information Assessment of Major Emergencies: A Case Study of Additional Emotional Characteristics. Libr. Hi Tech 2023, 41, 939–968. [Google Scholar] [CrossRef]
- Liu, Y.; Li, L.; Tu, Y.; Mei, Y. Fuzzy TOPSIS-EW Method with Multi-Granularity Linguistic Assessment Information for Emergency Logistics Performance Evaluation. Symmetry 2020, 12, 1331. [Google Scholar] [CrossRef]
- Zhang, J.; Hegde, G.; Shang, J.; Qi, X. Evaluating Emergency Response Solutions for Sustainable Community Development by Using Fuzzy Multi-Criteria Group Decision Making Approaches: IVDHF-TOPSIS and IVDHF-VIKOR. Sustainability 2016, 8, 291. [Google Scholar] [CrossRef]
- Ludwig, T.; Reuter, C.; Pipek, V. Social Haystack: Dynamic Quality Assessment of Citizen-Generated Content during Emergencies. ACM Trans. Comput.-Hum. Interact. 2015, 22, 1–27. [Google Scholar]
- Yu, G.-F. A Multi-Objective Decision Method for the Network Security Situation Grade Assessment under Multi-Source Information. Inf. Fusion 2024, 102, 102066. [Google Scholar] [CrossRef]
- Zadeh, L.A. Fuzzy sets. Inf. Control 1965, 8, 338–353. [Google Scholar] [CrossRef]
- Atanassov, K.T. Intuitionistic fuzzy sets. Fuzzy Sets Syst. 1986, 20, 87–96. [Google Scholar] [CrossRef]
- Yager, R.R. Pythagorean Membership Grades in Multicriteria Decision Making. IEEE Trans. Fuzzy Syst. 2014, 22, 958–965. [Google Scholar] [CrossRef]
- Yager, R.R. Generalized Orthopair Fuzzy Sets. IEEE Trans. Fuzzy Syst. 2017, 25, 1222–1230. [Google Scholar] [CrossRef]
- Cuong, B.C.; Kreinovich, V. Picture fuzzy sets. J. Comput. Sci. Cybernet. 2014, 30, 409–420. [Google Scholar]
- Mahmood, T.; Ullah, K.; Khan, Q.; Jan, N. An Approach toward Decision-Making and Medical Diagnosis Problems Using the Concept of Spherical Fuzzy Sets. Neural Comput. Appl. 2019, 31, 7041–7053. [Google Scholar] [CrossRef]
- Ramot, D.; Milo, R.; Friedman, M.; Kandel, A. Complex fuzzy sets. IEEE Trans. Fuzzy Syst. 2002, 10, 171–186. [Google Scholar] [CrossRef]
- Razzaque, A.; Razaq, A.; Khalid, A.; Masmali, I.; Shuaib, U.; Alhamzi, G. Selecting an optimal approach to reduce drivers of climate change in a complex intuitionistic fuzzy environment. Sustainability 2023, 15, 12300. [Google Scholar] [CrossRef]
- Ullah, K.; Mahmood, T.; Ali, Z.; Jan, N. On Some Distance Measures of Complex Pythagorean Fuzzy Sets and Their Applications in Pattern Recognition. Complex Intell. Syst. 2020, 6, 15–27. [Google Scholar] [CrossRef]
- Du, Y.; Du, X.; Li, Y.; Cui, J.; Hou, F. Complex Q-Rung Orthopair Fuzzy Frank Aggregation Operators and Their Application to Multi-Attribute Decision Making. Soft Comput. 2022, 26, 11973–12008. [Google Scholar] [CrossRef] [PubMed]
- Akram, M.; Bashir, A.; Garg, H. Decision-Making Model under Complex Picture Fuzzy Hamacher Aggregation Operators. Comput. Appl. Math. 2020, 39, 226. [Google Scholar] [CrossRef]
- Akram, M.; Kahraman, C.; Zahid, K. Group Decision-Making Based on Complex Spherical Fuzzy VIKOR Approach. Knowl.-Based Syst. 2021, 216, 106793. [Google Scholar]
- Nasir, A.; Jan, N.; Yang, M.-S.; Khan, S.U. Complex T-Spherical Fuzzy Relations with Their Applications in Economic Relationships and International Trades. IEEE Access 2021, 9, 66115–66131. [Google Scholar] [CrossRef]
- Herrera, F.; Herrera-Viedma, E. A Model of Consensus in Group Decision Making under Linguistic Assessments. Fuzzy Sets Syst. 1996, 78, 73–87. [Google Scholar] [CrossRef]
- Zadeh, L.A. The Concept of a Linguistic Variable and Its Application to Approximate Reasoning—I. Inf. Sci. 1975, 8, 199–249. [Google Scholar] [CrossRef]
- Chen, Z.; Liu, P.; Pei, Z. An Approach to Multiple Attribute Group Decision Making Based on Linguistic Intuitionistic Fuzzy Numbers. Int. J. Comput. Intell. Syst. 2015, 8, 747. [Google Scholar] [CrossRef]
- Qiyas, M.; Abdullah, S.; Ashraf, S.; Aslam, M. Utilizing Linguistic Picture Fuzzy Aggregation Operators for Multiple-Attribute Decision-Making Problems. Int. J. Fuzzy Syst. 2020, 22, 310–320. [Google Scholar] [CrossRef]
- Jin, H.; Ashraf, S.; Abdullah, S.; Qiyas, M.; Bano, M.; Zeng, S. Linguistic Spherical Fuzzy Aggregation Operators and Their Applications in Multi-Attribute Decision Making Problems. Mathematics 2019, 7, 413. [Google Scholar] [CrossRef]
- Liu, P.; Zhu, B.; Wang, P.; Shen, M. An Approach Based on Linguistic Spherical Fuzzy Sets for Public Evaluation of Shared Bicycles in China. Eng. Appl. Artif. Intell. 2020, 87, 103295. [Google Scholar] [CrossRef]
- Bonferroni, C. Sulle medie multiple di potenze. Boll. Dell’unione Mat. Ital. 1950, 5, 267–270. [Google Scholar]
- Liu, H.Z.; Pei, D.W. HOWA Operator and Its Application to Multi-attribute Decision Making. J. Zhejiang Sci-Tech Univ. 2012, 25, 138–142. [Google Scholar]
- Yu, D.; Wu, Y. Interval-valued Intuitionistic Fuzzy Heronian Mean Operators and Their Application in Multi-criteria Decision Making. Afr. J. Bus Manag. 2012, 6, 4158. [Google Scholar] [CrossRef]
- Dombi, J. A General Class of Fuzzy Operators, the DeMorgan Class of Fuzzy Operators and Fuzziness Measures Induced by Fuzzy Operators. Fuzzy Sets Syst. 1982, 8, 149–163. [Google Scholar] [CrossRef]
- Zhang, H.; Zhang, R.; Huang, H.; Wang, J. Some Picture Fuzzy Dombi Heronian Mean Operators with Their Application to Multi-Attribute Decision-Making. Symmetry 2018, 10, 593. [Google Scholar] [CrossRef]
- Wu, L.; Wei, G.; Wu, J.; Wei, C. Some Interval-Valued Intuitionistic Fuzzy Dombi Heronian Mean Operators and Their Application for Evaluating the Ecological Value of Forest Ecological Tourism Demonstration Areas. Int. J. Environ. Res. Public Health 2020, 17, 829. [Google Scholar] [CrossRef] [PubMed]
- Ayub, S.; Abdullah, S.; Ghani, F.; Qiyas, M.; Yaqub Khan, M. Cubic Fuzzy Heronian Mean Dombi Aggregation Operators and Their Application on Multi-Attribute Decision-Making Problem. Soft Comput. 2021, 25, 4175–4189. [Google Scholar] [CrossRef]
- Qiyas, M.; Abdullah, S.; Khan, S. A Novel Approach of Linguistic Picture Fuzzy Dombi Heronian Mean Operators and Their Application to Emergency Program Selection. J. Exp. Theor. Artif. Intell. 2023, 35, 445–472. [Google Scholar] [CrossRef]
- Liu, P.; Khan, Q.; Mahmood, T.; Smarandache, F.; Li, Y. Multiple Attribute Group Decision Making Based on 2-Tuple Linguistic Neutrosophic Dombi Power Heronian Mean Operators. IEEE Access 2019, 7, 100205–100230. [Google Scholar] [CrossRef]
- Zhang, H.; Wei, G.; Chen, X. Spherical Fuzzy Dombi Power Heronian Mean Aggregation Operators for Multiple Attribute Group Decision-Making. Comput. Appl. Math. 2022, 41, 98. [Google Scholar] [CrossRef]
- Zhong, Y.; Gao, H.; Guo, X.; Qin, Y.; Huang, M.; Luo, X. Dombi Power Partitioned Heronian Mean Operators of Q-Rung Orthopair Fuzzy Numbers for Multiple Attribute Group Decision Making. PLoS ONE 2019, 14, e0222007. [Google Scholar] [CrossRef] [PubMed]
- Zavadskas, E.K.; Turskis, Z.; Antucheviciene, J.; Zakarevicius, A. Optimization of Weighted Aggregated Sum Product Assessment. Elektron. Irelektrotech. 2012, 122, 3–6. [Google Scholar] [CrossRef]
- Zolfani, S.H.; Görçün, Ö.F.; Küçükönder, H. Evaluation of the Special Warehouse Handling Equipment (Turret Trucks) Using Integrated FUCOM and WASPAS Techniques Based on Intuitionistic Fuzzy Dombi Aggregation Operators. Arab. J. Sci. Eng. 2023, 48, 15561–15595. [Google Scholar] [CrossRef]
- Wei, D.M.; Rong, Y.; Garg, H.; Liu, J. An Extended WASPAS Approach for Teaching Quality Evaluation Based on Pythagorean Fuzzy Reducible Weighted Maclaurin Symmetric Mean. J. Intell. Fuzzy Syst. 2022, 42, 3121–3152. [Google Scholar] [CrossRef]
- Xiao, L.; Huang, G.; Pedrycz, W.; Pamucar, D.; Martínez, L.; Zhang, G. A Q-Rung Orthopair Fuzzy Decision-Making Model with New Score Function and Best-Worst Method for Manufacturer Selection. Inf. Sci. 2022, 608, 153–177. [Google Scholar] [CrossRef]
- Senapati, T.; Chen, G. Picture Fuzzy WASPAS Technique and Its Application in Multi-Criteria Decision-Making. Soft Comput. 2022, 26, 4413–4421. [Google Scholar] [CrossRef]
- Akram, M.; Ali, U.; Santos-García, G.; Niaz, Z. 2-Tuple Linguistic Fermatean Fuzzy MAGDM Based on the WASPAS Method for Selection of Solid Waste Disposal Location. Math. Biosci. Eng. 2022, 20, 3811–3837. [Google Scholar] [CrossRef] [PubMed]
- Liu, P.; Liu, J.; Merigó, J.M. Partitioned Heronian Means Based on Linguistic Intuitionistic Fuzzy Numbers for Dealing with Multi-Attribute Group Decision Making. Appl. Soft. Comput. 2018, 62, 395–422. [Google Scholar] [CrossRef]
- Yager, R.R. The Power Average Operator for Information Fusion. In Proceedings of the 13th International Conference on Information Processing and Management of Uncertainty in Knowledge-Based Systems, Dortmund, Germany, 28 June–2 July 2010. [Google Scholar]
- Gao, C.Y.; Wang, S.Y.; Zhong, C.R. Research on User Experience Evaluation System of Information Platform Based on Web Environment. In Proceedings of the 2nd International Conference on Measurement, Information and Control, Harbin, China, 16–18 August 2013. [Google Scholar]
- Keselman, A.; Arnott Smith, C.; Murcko, A.C.; Kaufman, D.R. Evaluating the Quality of Health Information in a Changing Digital Ecosystem. J. Med. Internet Res. 2019, 21, e11129. [Google Scholar] [CrossRef] [PubMed]
- Farzandipour, M.; Karami, M.; Arbabi, M.; Abbasi Moghadam, S. Quality of Patient Information in Emergency Department. Int. J. Health Care Qual. Assur. 2019, 32, 108–119. [Google Scholar] [CrossRef]
- Daneshkohan, A.; Alimoradi, M.; Ahmadi, M.; Alipour, J. Data quality and data use in primary health care: A case study from Iran. Inf. Med. Unlocked. 2022, 28, e100855. [Google Scholar] [CrossRef]
- Laylavi, F.; Rajabifard, A.; Kalantari, M. Event Relatedness Assessment of Twitter Messages for Emergency Response. Inf. Process. Manag. 2017, 53, 266–280. [Google Scholar] [CrossRef]
- Nagle, T.; Redman, T.; Sammon, D. Assessing Data Quality: A Managerial Call to Action. Bus. Horiz. 2020, 63, 325–337. [Google Scholar] [CrossRef]
- Denniss, E.; Lindberg, R.; McNaughton, S.A. Development of Principles for Health-Related Information on Social Media: Delphi Study. J. Med. Internet Res. 2022, 24, e37337. [Google Scholar] [CrossRef] [PubMed]
- Kulkarni, A.; Wong, M.; Belsare, T.; Shah, R.; Yu Yu, D.; Coskun, B.; Holschuh, C.; Kakar, V.; Modrek, S.; Smirnova, A. Quantifying the Quality of Web-Based Health Information on Student Health Center Websites Using a Software Tool: Design and Development Study. JMIR Form. Res. 2022, 6, e32360. [Google Scholar] [CrossRef]
- Chiba, Y.; Oguttu, M.A.; Nakayama, T. Quantitative and Qualitative Verification of Data Quality in the Childbirth Registers of Two Rural District Hospitals in Western Kenya. Midwifery 2012, 28, 329–339. [Google Scholar] [CrossRef]
- Tao, D.; LeRouge, C.; Smith, K.J.; De Leo, G. Defining Information Quality Into Health Websites: A Conceptual Framework of Health Website Information Quality for Educated Young Adults. JMIR Hum. Factors 2017, 4, e25. [Google Scholar] [CrossRef]
- Jain, S.; Meyer, V. Evaluation and Refinement of Emergency Situation ontology. Int. J. Inf. Educ. Technol. 2018, 8, 713–719. [Google Scholar] [CrossRef]
- Skyttberg, N.; Vicente, J.; Chen, R.; Blomqvist, H.; Koch, S. How to Improve Vital Sign Data Quality for Use in Clinical Decision Support Systems? A Qualitative Study in Nine Swedish Emergency Departments. BMC Med. Inform. Decis. 2016, 16, 61. [Google Scholar] [CrossRef]
- Mashoufi, M.; Ayatollahi, H.; Khorasani-Zavareh, D. Data Quality Assessment in Emergency Medical Services: What Are the Stakeholders’ Perspectives? Perspect. Health Inf. Manag. 2019, 16, 1c. [Google Scholar]
- Botega, L.C.; De Souza, J.O.; Jorge, F.R.; Coneglian, C.S.; De Campos, M.R.; De Almeida Neris, V.P.; De Araújo, R.B. Methodology for Data and Information Quality Assessment in the Context of Emergency Situational Awareness. Univers. Access Inf. Soc. 2017, 16, 889–902. [Google Scholar] [CrossRef]
- Ali, Z.; Mahmood, T.; Yang, M.S. Complex T-spherical Fuzzy Aggregation Operators with Application to Multi-attribute Decision Making. Symmetry 2020, 12, 1311. [Google Scholar] [CrossRef]
- Ali, J.; Naeem, M. Multi-Criteria Decision-Making Method Based on Complex t-Spherical Fuzzy Aczel–Alsina Aggregation Operators and Their Application. Symmetry 2022, 15, 85. [Google Scholar] [CrossRef]
- Karaaslan, F.; Dawood, M.A.D. Complex T-Spherical Fuzzy Dombi Aggregation Operators and Their Applications in Multiple-Criteria Decision-Making. Complex Intell. Syst. 2021, 7, 2711–2734. [Google Scholar] [CrossRef] [PubMed]
- Ullah, K.; Kousar, Z.; Pamucar, D.; Jovanov, G.; Vranješ, Ð.; Hussain, A.; Ali, Z. Application of Hamacher Aggregation Operators in the Selection of the Cite for Pilot Health Project Based on Complex T-Spherical Fuzzy Information. Math. Probl. Eng. 2022, 2022, 3605641. [Google Scholar] [CrossRef]
- Ma, J.; Ruan, D.; Xu, Y.; Zhang, G. A Fuzzy-Set Approach to Treat Determinacy and Consistency of Linguistic Terms in Multi-Criteria Decision Making. Int. J. Approx. Reason. 2007, 44, 165–181. [Google Scholar] [CrossRef]
- Fan, J.; Han, D.; Wu, M. T-Spherical Fuzzy COPRAS Method for Multi-Criteria Decision-Making Problem. J. Intell. Fuzzy Syst. 2022, 43, 2789–2801. [Google Scholar] [CrossRef]
- Qiyas, M.; Naeem, M.; Abdullah, S.; Khan, N. Decision Support System Based on Complex T-Spherical Fuzzy Power Aggregation Operators. AIMS Math. 2022, 7, 16171–16207. [Google Scholar] [CrossRef]
- Jana, C.; Senapati, T.; Pal, M. Pythagorean Fuzzy Dombi Aggregation Operators and Its Applications in Multiple Attribute Decision-making. Int. J. Intell. Syst. 2019, 34, 2019–2038. [Google Scholar] [CrossRef]
- Wei, G.; Lu, M. Pythagorean Fuzzy Power Aggregation Operators in Multiple Attribute Decision Making. Int. J. Intell. Syst. 2018, 33, 169–186. [Google Scholar] [CrossRef]
- Liu, P.; Li, Y. Some Partitioned Heronian Mean Aggregation Operators Based on Intuitionistic Linguistic Information and Their Application to Decision-Making. J. Intell. Fuzzy Syst. 2020, 38, 4001–4029. [Google Scholar] [CrossRef]
- Garg, A.; Maiti, J.; Kumar, A. Granulized Z-OWA Aggregation Operator and Its Application in Fuzzy Risk Assessment. Int. J. Intell. Syst. 2022, 37, 1479–1508. [Google Scholar] [CrossRef]
- Kreuzer, T.M.; Damm, B.; Terhorst, B. Quantitative Assessment of Information Quality in Textual Sources for Landslide Inventories. Landslides 2022, 19, 505–513. [Google Scholar] [CrossRef]
- Wong, D.J.; Jones, E.; Rubin, G.J. Mobile Text Alerts Are an Effective Way of Communicating Emergency Information to Adolescents: Results from Focus Groups with 12- to 18-year-olds. J. Cont. Crisis Manag. 2018, 26, 183–192. [Google Scholar] [CrossRef]
- Agrawal, S.; Irwin, C.; Dhillon-Smith, R.K. An Evaluation of the Quality of Online Information on Emergency Contraception. Eur. J. Contracept. Reprod. Health Care 2021, 26, 343–348. [Google Scholar] [CrossRef]
- El-Bably, M.K.; Abo-Tabl, E.A. A Topological Reduction for Predicting of a Lung Cancer Disease Based on Generalized Rough Sets. J. Intell. Fuzzy Syst. 2021, 41, 3045–3060. [Google Scholar] [CrossRef]
- El-Bably, M.K.; Abu-Gdairi, R.; El-Gayar, M.A. Medical Diagnosis for the Problem of Chikungunya Disease Using Soft Rough Sets. AIMS Math. 2023, 8, 9082–9105. [Google Scholar] [CrossRef]
- El-Bably, M.K.; Ali, M.I.; Abo-Tabl, E.-S.A. New Topological Approaches to Generalized Soft Rough Approximations with Medical Applications. J. Math. 2021, 2021, 2559495. [Google Scholar] [CrossRef]
- El-Bably, M.K.; El-Sayed, M. Three Methods to Generalize Pawlak Approximations via Simply Open Concepts with Economic Applications. Soft Comput. 2022, 26, 4685–4700. [Google Scholar] [CrossRef]


| Name | Dimension | Index |
|---|---|---|
| The index system of the quality assessment of emergency information | Information source dimension () | Source reliability () |
| Availability () | ||
| Security () | ||
| Information content dimension () | Accuracy () | |
| Integrity () | ||
| Rationalization () | ||
| Objectivity () | ||
| Information expression dimension ( | Comprehensibility () | |
| Simplicity () | ||
| Standardization () | ||
| Innovativeness () | ||
| Information utility dimension () | Timeliness () | |
| Applicability () | ||
| Interactivity () | ||
| Usefulness () | ||
| Consistency () |
| Dimension | Weight | Attribute | Entropy Weight |
|---|---|---|---|
| 0.1869 | 0.0668 | ||
| 0.0615 | |||
| 0.0586 | |||
| 0.2358 | 0.0641 | ||
| 0.0573 | |||
| 0.0597 | |||
| 0.0547 | |||
| 0.2449 | 0.0435 | ||
| 0.0725 | |||
| 0.0715 | |||
| 0.0574 | |||
| 0.3324 | 0.0656 | ||
| 0.0610 | |||
| 0.0623 | |||
| 0.0779 | |||
| 0.0656 |
| Database | |
|---|---|
| Database | |
|---|---|
| Database | |
|---|---|
| Score Values of Four Databases | Ranking | |
|---|---|---|
| Score Values of Four Databases | Ranking | |
|---|---|---|
| Score Values of Four Databases | Ranking | |
|---|---|---|
| Method | Whether the Parameter Vector Enhances the Flexibility of the Method | Whether It Considers the Interrelationships between Attributes | Whether It Takes into Account the Partitioning of the Input Parameters | Whether to Reduce the Negative Effect |
|---|---|---|---|---|
| CT-SFWA [65] | No | No | No | No |
| CT-SFWG [65] | No | No | No | No |
| CT-SFAAWA [66] | Yes | No | No | No |
| CT-SFAAWG [66] | Yes | No | No | No |
| CT-SDFWAA [67] | Yes | No | No | No |
| CT-SDFWGA [67] | Yes | No | No | No |
| CT-SFHWA [68] | Yes | No | No | No |
| CT-SFHWG [68] | Yes | No | No | No |
| CT-SFPPWA | No | No | Yes | Yes |
| CT-SFPPWG | No | No | Yes | Yes |
| LCT-SFDWPHM | Yes | Yes | Yes | No |
| LCT-SFDWPGHM | Yes | Yes | Yes | No |
| TOPSIS method | No | No | No | No |
| ALCT-SFDWPPHM | Yes | Yes | Yes | Yes |
Disclaimer/Publisher’s Note: The statements, opinions and data contained in all publications are solely those of the individual author(s) and contributor(s) and not of MDPI and/or the editor(s). MDPI and/or the editor(s) disclaim responsibility for any injury to people or property resulting from any ideas, methods, instructions or products referred to in the content. |
© 2024 by the authors. Licensee MDPI, Basel, Switzerland. This article is an open access article distributed under the terms and conditions of the Creative Commons Attribution (CC BY) license (https://creativecommons.org/licenses/by/4.0/).
Share and Cite
Zang, Y.; Zhao, J.; Jiang, W.; Zhao, T. Advanced Linguistic Complex T-Spherical Fuzzy Dombi-Weighted Power-Partitioned Heronian Mean Operator and Its Application for Emergency Information Quality Assessment. Sustainability 2024, 16, 3069. https://doi.org/10.3390/su16073069
Zang Y, Zhao J, Jiang W, Zhao T. Advanced Linguistic Complex T-Spherical Fuzzy Dombi-Weighted Power-Partitioned Heronian Mean Operator and Its Application for Emergency Information Quality Assessment. Sustainability. 2024; 16(7):3069. https://doi.org/10.3390/su16073069
Chicago/Turabian StyleZang, Yuqi, Jiamei Zhao, Wenchao Jiang, and Tong Zhao. 2024. "Advanced Linguistic Complex T-Spherical Fuzzy Dombi-Weighted Power-Partitioned Heronian Mean Operator and Its Application for Emergency Information Quality Assessment" Sustainability 16, no. 7: 3069. https://doi.org/10.3390/su16073069
APA StyleZang, Y., Zhao, J., Jiang, W., & Zhao, T. (2024). Advanced Linguistic Complex T-Spherical Fuzzy Dombi-Weighted Power-Partitioned Heronian Mean Operator and Its Application for Emergency Information Quality Assessment. Sustainability, 16(7), 3069. https://doi.org/10.3390/su16073069

