Electrospun 3D Curly Electret Nanofiber Air Filters for Particulate Pollutants
Abstract
1. Introduction
2. Materials and Methods
2.1. Materials
2.2. Electrospinning Process
2.3. Characterization
3. Results and Discussion
3.1. FESEM Analysis
3.2. EDS Analysis of 3D Curly Fiber Membranes
3.3. FTIR Analysis Nanofiber Membranes
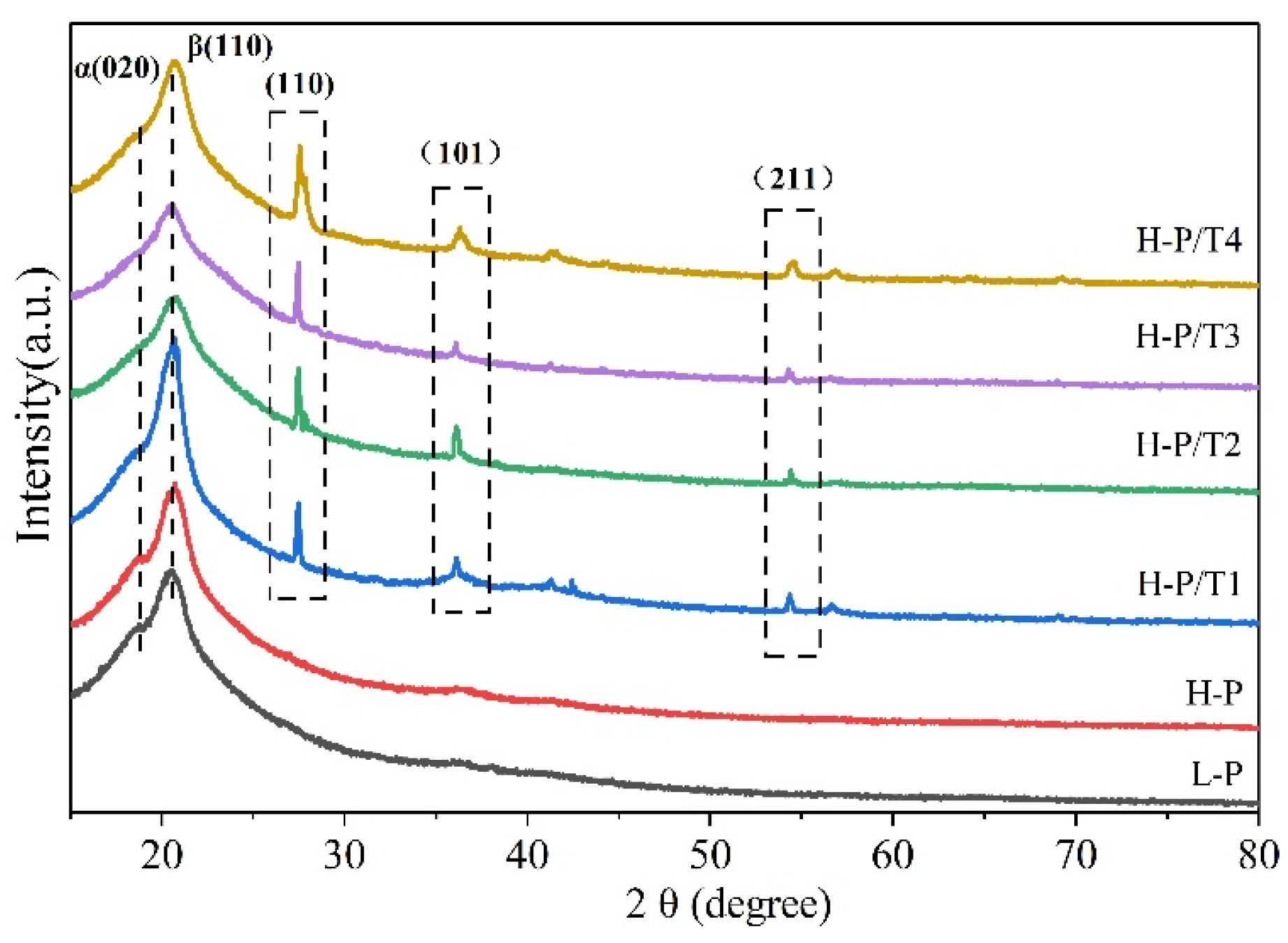
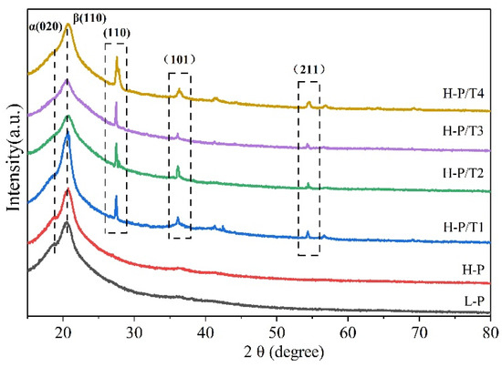
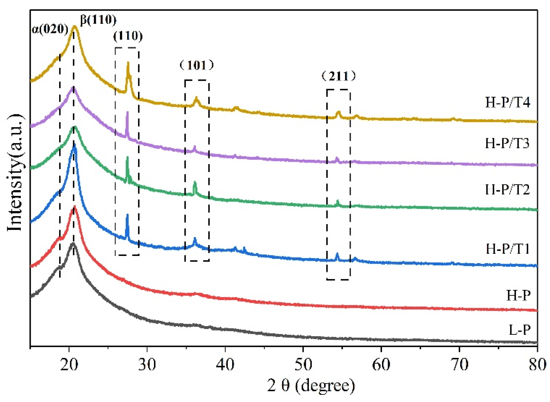
3.4. XRD Analysis Nanofiber Membranes
3.5. Nanofiber Membrane Surface Electret Effect
3.6. Porosity of Nanofiber Membranes
3.7. Filtration Performance of Nanofiber Membranes
4. Conclusions
Author Contributions
Funding
Institutional Review Board Statement
Informed Consent Statement
Data Availability Statement
Conflicts of Interest
References
- Heal, M.R.; Kumar, P.; Harrison, R.M. Particles, Air Quality, Policy and Health. Chem. Soc. Rev. 2012, 41, 6606–6630. [Google Scholar] [CrossRef] [PubMed]
- Feng, T.; Sun, Y.; Shi, Y.; Ma, J.; Feng, C.; Chen, Z. Air Pollution Control Policies and Impacts: A Review. Renew. Sustain. Energy Rev. 2024, 191, 114071. [Google Scholar] [CrossRef]
- Ebenstein, A.; Fan, M.; Greenstone, M.; He, G.; Yin, P.; Zhou, M. Growth, Pollution, and Life Expectancy: China from 1991–2012. Am. Econ. Rev. 2015, 105, 226–231. [Google Scholar] [CrossRef]
- Pope, C.A., 3rd; Ezzati, M.; Dockery, D.W. Fine-Particulate Air Pollution and Life Expectancy in the United States. N. Engl. J. Med. 2009, 360, 376–386. [Google Scholar] [CrossRef] [PubMed]
- Zhang, Y.; Wang, X.; Liu, N.; Wang, S.; Wang, X.; Cao, M. Intervention Effect of New Tuberculosis Control Model on Tuberculosis Incidence in Xinjiang. Infect. Drug Resist. 2023, 16, 7485–7496. [Google Scholar] [CrossRef] [PubMed]
- Afshari, A.; Ekberg, L.; Forejt, L.; Mo, J.; Rahimi, S.; Siegel, J.; Chen, W.; Wargocki, P.; Zurami, S.; Zhang, J. Electrostatic Precipitators as an Indoor Air Cleaner—A Literature Review. Sustainability 2020, 12, 8774. [Google Scholar] [CrossRef]
- Fisk, W.J.; Faulkner, D.; Palonen, J.; Seppanen, O. Performance and Costs of Particle Air Filtration Technologies. Indoor Air 2002, 12, 223–234. [Google Scholar] [CrossRef] [PubMed]
- Bhardwaj, N.; Kundu, S.C. Electrospinning: A Fascinating Fiber Fabrication Technique. Biotechnol. Adv. 2010, 28, 325–347. [Google Scholar] [CrossRef] [PubMed]
- Luraghi, A.; Peri, F.; Moroni, L. Electrospinning for Drug Delivery Applications: A Review. J. Control. Release 2021, 334, 463–484. [Google Scholar] [CrossRef]
- Shao, Z.; Chen, H.; Wang, Q.; Kang, G.; Wang, X.; Li, W.; Liu, Y.; Zheng, G. High–Performance Multifunctional Electrospun Fibrous Air Filter for Personal Protection: A Review. Sep. Purif. Technol. 2022, 302, 122175. [Google Scholar] [CrossRef]
- Zhu, F.; Zheng, Y.-M.; Zhang, B.-G.; Dai, Y.-R. A Critical Review on the Electrospun Nanofibrous Membranes for the Adsorption of Heavy Metals in Water Treatment. J. Hazard. Mater. 2021, 401, 123608. [Google Scholar] [CrossRef] [PubMed]
- Sun, B.; Long, Y.; Zhang, H.; Li, M.; Duvail, J.; Jiang, X.; Yin, H. Advances in Three-Dimensional Nanofibrous Macrostructures via Electrospinning. Prog. Polym. Sci. 2014, 39, 862–890. [Google Scholar] [CrossRef]
- Blakeney, B.A.; Tambralli, A.; Anderson, J.M.; Andukuri, A.; Lim, D.-J.; Dean, D.R.; Jun, H.-W. Cell Infiltration and Growth in a Low Density, Uncompressed Three-Dimensional Electrospun Nanofibrous Scaffold. Biomaterials 2011, 32, 1583–1590. [Google Scholar] [CrossRef] [PubMed]
- Jeong, S.I.; Burns, N.A.; Bonino, C.A.; Kwon, I.K.; Khan, S.A.; Alsberg, E. Improved Cell Infiltration of Highly Porous 3D Nanofibrous Scaffolds Formed by Combined Fiber–Fiber Charge Repulsions and Ultra-Sonication. J. Mater. Chem. B 2014, 2, 8116–8122. [Google Scholar] [CrossRef] [PubMed]
- Lee, S.; Joshi, M.K.; Tiwari, A.P.; Maharjan, B.; Kim, K.S.; Yun, Y.-H.; Park, C.H.; Kim, C.S. Lactic Acid Assisted Fabrication of Bioactive Three-Dimensional PLLA/β-TCP Fibrous Scaffold for Biomedical Application. Chem. Eng. J. 2018, 347, 771–781. [Google Scholar] [CrossRef]
- Li, Y.; Cao, L.; Yin, X.; Si, Y.; Yu, J.; Ding, B. Ultrafine, Self-Crimp, and Electret Nano-Wool for Low-Resistance and High-Efficiency Protective Filter Media against PM0. 3. J. Colloid. Interface Sci. 2020, 578, 565–573. [Google Scholar] [CrossRef] [PubMed]
- Hwang, T.I.; Maharjan, B.; Tiwari, A.P.; Lee, S.; Joshi, M.K.; Park, C.H.; Kim, C.S. Facile Fabrication of Spongy Nanofibrous Scaffold for Tissue Engineering Applications. Mater. Lett. 2018, 219, 119–122. [Google Scholar] [CrossRef]
- Vaquette, C.; Cooper-White, J.J. Increasing Electrospun Scaffold Pore Size with Tailored Collectors for Improved Cell Penetration. Acta Biomater. 2011, 7, 2544–2557. [Google Scholar] [CrossRef] [PubMed]
- Diebold, U. The Surface Science of Titanium Dioxide. Surf. Sci. Rep. 2003, 48, 53–229. [Google Scholar] [CrossRef]
- Zhang, M.; Wang, Y.; Zhang, Y.; Song, J.; Si, Y.; Yan, J.; Ma, C.; Liu, Y.-T.; Yu, J.; Ding, B. Conductive and Elastic TiO2 Nanofibrous Aerogels: A New Concept toward Self-Supported Electrocatalysts with Superior Activity and Durability. Angew. Chem. Int. Ed. 2020, 59, 23252–23260. [Google Scholar] [CrossRef]
- Rudakova, A.V.; Emeline, A.V.; Romanychev, A.I.; Bahnemann, D.W. Photoinduced Hydrophilic Behavior of TiO2 Thin Film on Si Substrate. J. Alloys. Compd. 2021, 872, 159746. [Google Scholar] [CrossRef]
- Kundu, S.; Roy, S.K.; Banerji, P. GaAs Metal–Oxide–Semiconductor Device with Titanium Dioxide as Dielectric Layer: Effect of Oxide Thickness on the Device Performance. J. Phys. D Appl. Phys. 2011, 44, 155104. [Google Scholar] [CrossRef]
- Orlianges, J.-C.; Crunteanu, A.; Pothier, A.; Merle-Mejean, T.; Blondy, P.; Champeaux, C. Titanium Dioxide Thin Films Deposited by Pulsed Laser Deposition and Integration in Radio Frequency Devices: Study of Structure, Optical and Dielectric Properties. Appl. Surf. Sci. 2012, 263, 111–114. [Google Scholar] [CrossRef]
- Batool, S.; Imran, Z.; Rafiq, M.; Hasan, M.; Willander, M. Investigation of Dielectric Relaxation Behavior of Electrospun Titanium Dioxide Nanofibers Using Temperature Dependent Impedance Spectroscopy. Ceram. Int. 2013, 39, 1775–1783. [Google Scholar] [CrossRef]
- Cho, D.; Naydich, A.; Frey, M.W.; Joo, Y.L. Further Improvement of Air Filtration Efficiency of Cellulose Filters Coated with Nanofibers via Inclusion of Electrostatically Active Nanoparticles. Polymer 2013, 54, 2364–2372. [Google Scholar] [CrossRef]
- Bonino, C.A.; Efimenko, K.; Jeong, S.I.; Krebs, M.D.; Alsberg, E.; Khan, S.A. Three-Dimensional Electrospun Alginate Nanofiber Mats via Tailored Charge Repulsions. Small 2012, 8, 1928–1936. [Google Scholar] [CrossRef] [PubMed]
- Liang, T.; Parhizkar, M.; Edirisinghe, M.; Mahalingam, S. Effect of Humidity on the Generation and Control of the Morphology of Honeycomb-like Polymeric Structures by Electrospinning. Eur. Polym. J. 2014, 61, 72–82. [Google Scholar] [CrossRef]
- Megelski, S.; Stephens, J.S.; Chase, D.B.; Rabolt, J.F. Micro-and Nanostructured Surface Morphology on Electrospun Polymer Fibers. Macromolecules 2002, 35, 8456–8466. [Google Scholar] [CrossRef]
- Rajendran, S.; Mahendran, O.; Kannan, R. Lithium Ion Conduction in Plasticized PMMA–PVdF Polymer Blend Electrolytes. Mater. Chem. Phys. 2002, 74, 52–57. [Google Scholar] [CrossRef]
- Gayatri, R.; Fizal, A.N.S.; Yuliwati, E.; Hossain, M.S.; Jaafar, J.; Zulkifli, M.; Taweepreda, W.; Ahmad Yahaya, A.N. Preparation and Characterization of PVDF–TiO2 Mixed-Matrix Membrane with PVP and PEG as Pore-Forming Agents for BSA Rejection. Nanomaterials 2023, 13, 1023. [Google Scholar] [CrossRef]
- Boccaccio, T.; Bottino, A.; Capannelli, G.; Piaggio, P. Characterization of PVDF Membranes by Vibrational Spectroscopy. J. Membr. Sci. 2002, 210, 315–329. [Google Scholar] [CrossRef]
- Ishihara, K.; Tsuji, T.; Sakai, Y.; Nakabayashi, N. Synthesis of Graft Copolymers Having Phospholipid Polar Group by Macromonomer Method and Their Properties in Water. J. Polym. Sci. Part A Polym. Chem. 1994, 32, 859–867. [Google Scholar] [CrossRef]
- Gu, M.; Zhang, J.; Wang, X.; Ma, W. Crystallization Behavior of PVDF in PVDF-DMP System via Thermally Induced Phase Separation. J. Appl. Polym. Sci. 2006, 102, 3714–3719. [Google Scholar] [CrossRef]
- Zhang, X.; Wang, Z.; Chen, M.; Liu, M.; Wu, Z. Polyvinylidene Fluoride Membrane Blended with Quaternary Ammonium Compound for Enhancing Anti-Biofouling Properties: Effects of Dosage. J. Membr. Sci. 2016, 520, 66–75. [Google Scholar] [CrossRef]
- Hong, H.; Song, S.A.; Kim, S.S. Phase Transformation of Poly (Vinylidene Fluoride)/TiO2 Nanocomposite Film Prepared by Microwave-Assisted Solvent Evaporation: An Experimental and Molecular Dynamics Study. Compos. Sci. Technol. 2020, 199, 108375. [Google Scholar] [CrossRef]
- Li, Y.; Yin, X.; Si, Y.; Yu, J.; Ding, B. All-Polymer Hybrid Electret Fibers for High-Efficiency and Low-Resistance Filter Media. Chem. Eng. J. 2020, 398, 125626. [Google Scholar] [CrossRef] [PubMed]
- Shcherbachenko, L.; Borisov, V.; Maksimova, N.; Baryshnikov, E.; Karnakov, V.; Marchuk, S.; Ezhova, Y.V.; Ruzhnikov, L. Electret Effect and Electrotransport in Disperse Organic and Inorganic Systems. Tech. Phys. 2009, 54, 1372–1379. [Google Scholar] [CrossRef]
- Ko, W.-C.; Tseng, C.-K.; Wu, W.-J.; Lee, C.-K. Charge Storage and Mechanical Properties of Porous PTFE and Composite PTFE/COC Electrets. e-Polymers 2010, 10, 032. [Google Scholar] [CrossRef]
- Handa, A.; Baptista, R.M.F.; Santos, D.; Silva, B.; Rodrigues, A.R.O.; Oliveira, J.; Almeida, B.; de Matos Gomes, E.; Belsley, M. Electrospun Microstructured Biopolymer Fibers Containing the Self-Assembled Boc–Phe–Ile Dipeptide: Dielectric and Energy Harvesting Properties. Sustainability 2023, 15, 16040. [Google Scholar] [CrossRef]
- Hung, C.-H.; Leung, W.W.-F. Filtration of Nano-Aerosol Using Nanofiber Filter under Low Peclet Number and Transitional Flow Regime. Sep. Purif. Technol. 2011, 79, 34–42. [Google Scholar] [CrossRef]
- Li, P.; Wang, C.; Zhang, Y.; Wei, F. Air Filtration in the Free Molecular Flow Regime: A Review of High-Efficiency Particulate Air Filters Based on Carbon Nanotubes. Small 2014, 10, 4543–4561. [Google Scholar] [CrossRef] [PubMed]









| Membrane | PVDF (wt%) | TiO2 NPs (wt%) | DMF:THF (wt%) | Relative Humidity (RH%) |
|---|---|---|---|---|
| L-P | 13 | 0 | 1:1 | 40 |
| H-P | 13 | 0 | 1:1 | 95 |
| H-P/T1 | 13 | 0.25 | 1:1 | 95 |
| H-P/T2 | 13 | 0.5 | 1:1 | 95 |
| H-P/T3 | 13 | 0.75 | 1:1 | 95 |
| H-P/T4 | 13 | 1.0 | 1:1 | 95 |
| Element | C | O | F | Ti |
| wt% | 42.6 | 1.87 | 54.61 | 0.92 |
Disclaimer/Publisher’s Note: The statements, opinions and data contained in all publications are solely those of the individual author(s) and contributor(s) and not of MDPI and/or the editor(s). MDPI and/or the editor(s) disclaim responsibility for any injury to people or property resulting from any ideas, methods, instructions or products referred to in the content. |
© 2024 by the authors. Licensee MDPI, Basel, Switzerland. This article is an open access article distributed under the terms and conditions of the Creative Commons Attribution (CC BY) license (https://creativecommons.org/licenses/by/4.0/).
Share and Cite
Zhao, W.; Tulugan, K.; Zhang, X.; Li, X.; Tian, P. Electrospun 3D Curly Electret Nanofiber Air Filters for Particulate Pollutants. Sustainability 2024, 16, 2808. https://doi.org/10.3390/su16072808
Zhao W, Tulugan K, Zhang X, Li X, Tian P. Electrospun 3D Curly Electret Nanofiber Air Filters for Particulate Pollutants. Sustainability. 2024; 16(7):2808. https://doi.org/10.3390/su16072808
Chicago/Turabian StyleZhao, Wei, Kelimu Tulugan, Xin Zhang, Xiang Li, and Peng Tian. 2024. "Electrospun 3D Curly Electret Nanofiber Air Filters for Particulate Pollutants" Sustainability 16, no. 7: 2808. https://doi.org/10.3390/su16072808
APA StyleZhao, W., Tulugan, K., Zhang, X., Li, X., & Tian, P. (2024). Electrospun 3D Curly Electret Nanofiber Air Filters for Particulate Pollutants. Sustainability, 16(7), 2808. https://doi.org/10.3390/su16072808

