A Novel Approach to Detecting the Salinization of the Yellow River Delta Using a Kernel Normalized Difference Vegetation Index and a Feature Space Model
Abstract
1. Introduction
2. Materials and Methods
2.1. Study Area
2.2. Data Source and Preprocessing
2.3. Selection of Typical Surface Parameters
2.4. Standardization of Indicators
2.5. Construction of Feature Space
2.6. Establishment of Salinization Monitoring Index Model
Construction of Monitoring Model Based on Point–Point Patterns (KNDVI-SI Feature Space Considered as an Example)
3. Results
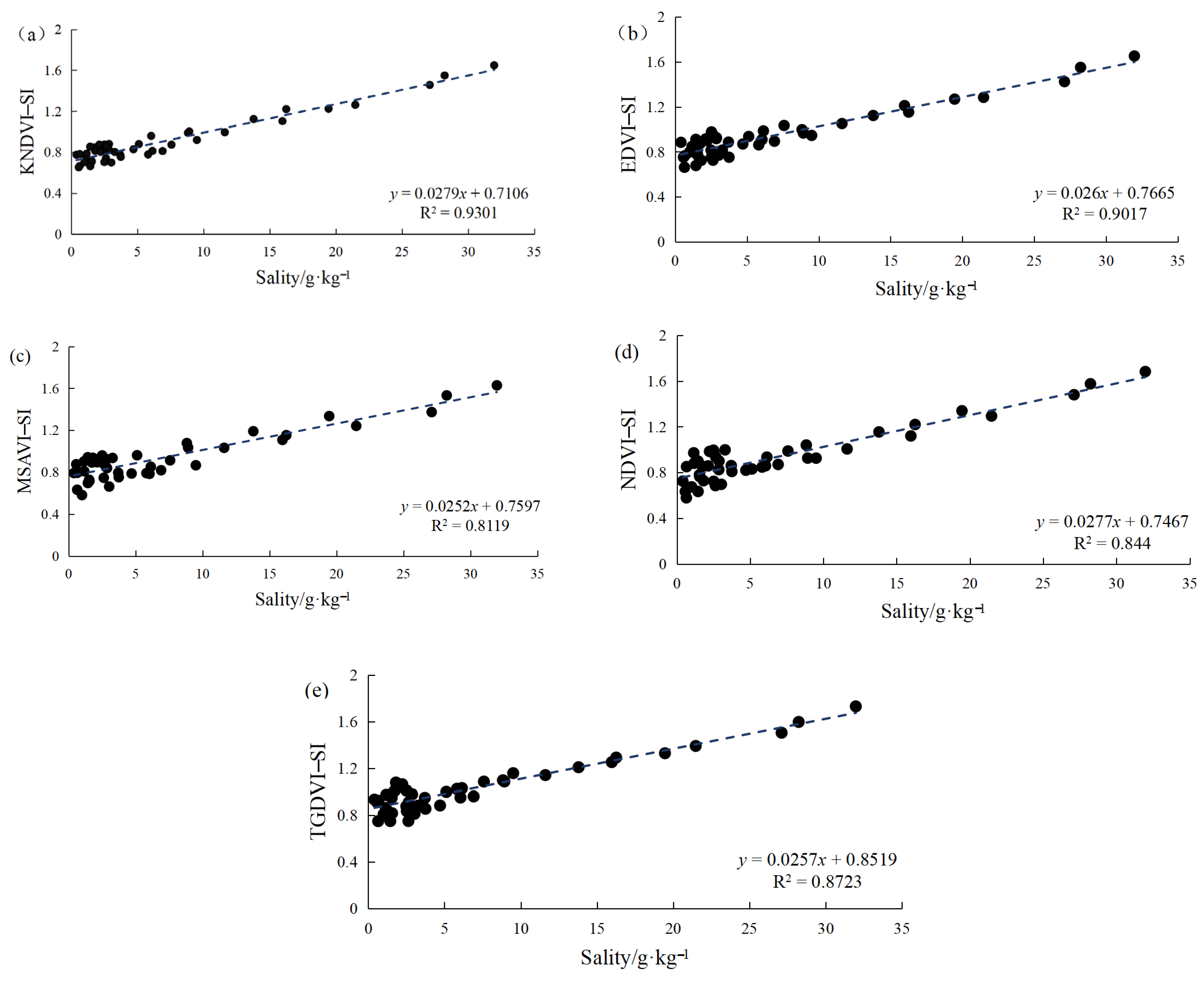
3.1. Optimal Salinization Monitoring Model
3.2. Accuracy Verification and Comparative Analysis
3.3. Spatial Evolution Characteristics of Soil Salinization in the Yellow River Delta
4. Discussion
4.1. Advantages of the Model
4.2. Causes of Spatio-Temporal Evolutions in the Yellow River Delta’s Salinization
5. Conclusions
- (1)
- The inversion effect of the NDVI-SI point-to-point feature space monitoring model was the best, at R2 = 0.93. The EDVI-SI monitoring model was superior at R2 = 0.90. The kernel normalized difference vegetation index could avoid the influence of the geographical environment, seasonal variation, and the saturation effect, thereby reflecting the soil salinization status of the Yellow River Delta better and providing a new approach to salinization monitoring;
- (2)
- Soil salinization was more severe in the northern and eastern coastal areas than in the inland areas of the Yellow River Delta;
- (3)
- From 2000 to 2020, the Yellow River Delta’s soil salinization levels showed an exacerbating and then improving trend.
Author Contributions
Funding
Institutional Review Board Statement
Informed Consent Statement
Data Availability Statement
Conflicts of Interest
References
- Zuo, Q.; Wu, X.; Shi, J.C.; Wang, J.Q.; Liu, Z.H.; Zhu, A.N.; Yin, D.Q.; Feng, Q.L.; Ji, W.J.; Kang, S.Z. Constraints and Coordinated Allocation Strategies of Water and Land Resources for Sustainable Use of Coastal Saline-Alkali Land in the Yellow River Delta. Strateg. Study CAE 2023, 25, 169–179. [Google Scholar] [CrossRef]
- Yan, J.N.; Wang, L.Z.; He, H.X.; Liang, D.; Song, W.J.; Han, W. Large area land cover changes monitoring with time-series remote sensing images using transferable deep models. IEEE Trans. Geosci. Remote Sens. 2022, 60, 4409917. [Google Scholar] [CrossRef]
- Guan, B.; Yu, J.B.; Wu, M.D.; Liu, X.L.; Wang, X.H.; Yang, J.S.; Zhou, D.; Zhang, X.L. Clonal integration promotes the growth of Phragmites australis populations in saline wetlands of the Yellow River Delta. Front. Plant. Sci. 2023, 14, 1162923. [Google Scholar] [CrossRef] [PubMed]
- Yu, C.X.; Wang, G.M.; Zhang, H.B.; Chen, H.P.; Ma, Q. Biochar and Nitrification Inhibitor (Dicyandiamide) Combination Had a Double-Win Effect on Saline-Alkali Soil Improvement and Soybean Production in the Yellow River Delta, China. Agronomy 2022, 12, 3154. [Google Scholar] [CrossRef]
- Hong, M.M.; Wang, J.L.; Han, B.M. Spatial and Temporal Pattern Changes and Driving Forces: Analysis of Salinization in the Yellow River Delta from 2015 to 2020. J. Resour. Ecol. 2022, 13, 786–796. [Google Scholar]
- Guan, B.; Xie, B.H.; Yang, S.S.; Hou, A.X.; Chen, M.; Han, G.X. Effects of five years’ nitrogen deposition on soil properties and plant growth in a salinized reed wetland of the Yellow River Delta. Ecol. Eng. 2019, 136, 160–166. [Google Scholar] [CrossRef]
- Wang, F.; Ding, J.L.; Wu, M.C. Remote sensing model of soil salinization based on NDVI-SI feature space. Trans. Chin. Soc. Agric. Eng. 2010, 26, 168–173+8. [Google Scholar]
- Zhang, T.Y.; Wang, L.; Zeng, P.L.; Wang, T.; Geng, Y.H.; Wang, H. Soil Salinization in the Irrigated Area of the Manas River Basin Based on MSAVI-SI Feature Space. Arid Zone Res. 2016, 33, 499–505. [Google Scholar]
- Liu, Y.N.; Bai, X.; Hou, J.Y. Remote sensing inversion of soil salinity based on feature space. J. Anhui Agric. Sci. 2014, 42, 110–111+136. [Google Scholar]
- Wang, J.J.; Wang, H.F.; Zhang, A.B.; Fu, K.; Gao, Y.P. Drought Monitoring in Beijing-Tianjin-Hebei Region Based on TVDI of Multiple Vegetation Indexes. Geomat. Spat. Inf. Technol. 2023, 46, 21–25. [Google Scholar]
- Wang, F.; Ding, J.L.; Wei, Y.; Zhou, Q.Q.; Yang, X.D.; Wang, Q.F. Sensitivity analysis of soil salinity variation by using Landsat series images: Applications in different oases in Xinjiang, China. Acta Ecol. Sin. 2017, 37, 5007–5022. [Google Scholar]
- Zhang, N.; Wei, J.B.; Liu, J.Q.; Zhang, X.Y.; Wang, Y.X. Vegetation information extraction of Artemisia brachyloba Franch based on Landsat-OLI images. Ecol. Sci. 2022, 41, 151–163. [Google Scholar]
- Ren, D.Z.; Ren, Y.H.; Lu, J.; Pan, G. Estimating the Changes of Vegetation Coverage by Remote Sensing Date in Lulang River Valley of the Sejila Mountain. J. Northwest For. Univ. 2012, 27, 184–189. [Google Scholar]
- Liu, X.; Su, X.L.; Liu, Y.H.; Liang, X.X. Vulnerability assessment of ecological drought in Northwest China. Water Resour. Prot. 2023, 39, 65–73. [Google Scholar]
- Dai, Q.Y.; Xu, Y.; Zhao, C.; Lu, Y.G.; Huang, W.T. Dynamic variation of vegetation EVI and its driving mechanism in the Sichuan Basin. China Environ. Sci. 2023, 43, 4292–4304. [Google Scholar]
- Zhu, Z.L.; Wang, J.; Pan, Y.H.; Shi, H.C.; Li, X.J. Remote Sensing Yield Estimation of Corn in Lishu County of Jilin Province Based on Multi-temporal Landsat8 Data. Technol. Innov. Appl. 2023, 13, 22–25+31. [Google Scholar]
- Yuan, H.; Ji, C.C.; Yang, X.M.; Chen, M.L.; Pan, J.P.; Cao, Y.M. Construction of Sparse Non-Photosynthetic Vegetation Index Combining Sentinel-2 Data and Spectral Features. J. Geo-Inf. Sci. 2023, 25, 1894–1907. [Google Scholar]
- Kong, D.X.; Miao, C.Y.; Zheng, H.Y.; Gou, J.J. Dynamic evolution characteristics of the Yellow River Delta in response to estuary diversion and a water–sediment regulation scheme. J. Hydrol. 2023, 627 Pt B, 130447. [Google Scholar] [CrossRef]
- Zhao, Y.; Yu, J.Y.; Hu, Q.L.; Zhao, H.L.; Suo, L.Z.; Wang, Y.; Wu, N. Interactive Processes and Modifications of Root-Soil-Water in Saline Agricultural Development of the Yellow River Delta. J. Ludong Univ. 2023, 39, 97–106+145. [Google Scholar]
- Amina, B.; Nouar, B.; Fatma, D.A. Multi-temporal Landsat imagery and MSAVI index for monitoring rangeland degradation in arid ecosystem, case study of Biskra (southeast Algeria). Environ. Monit. Assess. 2023, 195, 656. [Google Scholar]
- Seiichiro, O.; Takeshi, O.; Nozomu, S.; Narumasa, T. Large, concealed islands in the urban sea: Scattered surrounding green space enhances the quality of grassland habitats in urban parks, Tokyo. Urban. Ecosyst. 2022, 26, 641–649. [Google Scholar]
- Yan, J.N.; He, H.X.; Wang, L.Z.; Zhanh, H.; Liang, D.; Zhang, J.Q. Inter-comparison of four models for detecting forest fire disturbance from MOD13A2 time series. Remote Sens. 2022, 14, 1446. [Google Scholar] [CrossRef]
- Yao, C.X.; Yuan, H.M.; Meng, X.J. Natural factors for deterioration of coastal wetland in the Yellow River Delta. Mar. Geol. Quat. Geol. 2011, 31, 43–50. [Google Scholar] [CrossRef]
- Gustau, C.V.; Manuel, C.T.; Álvaro, M.M.; Sophia, W.; Grégory, D.; Alessandro, C.; Miguel, D.M.; Jordi, M.M.; Javier, G.H.F.; Guanter, L.; et al. A unified vegetation index for quantifying the terrestrial biosphere. Sci. Adv. 2021, 7, eabc7447. [Google Scholar]
- Wu, G.L.; Gao, J.; Ou, W.Y.; Wan, J.Z.; Li, X.L. Effects of the hummock-depression microhabitat on plant communities of alpine marshy meadows in the yellow river source zone, China. J. Plant. Ecol. 2022, 15, 111–128. [Google Scholar] [CrossRef]
- Bian, L.L.; Wang, J.L.; Liu, J.; Han, B.M. Spatiotemporal Changes of Soil Salinization in the Yellow River Delta of China from 2015 to 2019. Sustainability 2021, 13, 822. [Google Scholar] [CrossRef]
- Liu, J.K.; Bernard, A.E.; Zhang, G.F.; Wang, Y.; Wu, Y.N.; Zhang, M.X.; Zhang, Z.M. Hydrological connectivity: One of the driving factors of plant communities in the Yellow River Delta. Ecol. Model 2020, 112, 106150. [Google Scholar] [CrossRef]
- Li, Y.S.; Chang, C.Y.; Wang, Z.R.; Zhao, G.X. Upscaling remote sensing inversion and dynamic monitoring of soil salinization in the Yellow River Delta, China. Ecol. Indic. 2023, 148, 110087. [Google Scholar] [CrossRef]
- Guo, B.; Liu, Y.F.; Fan, J.F.; Lu, M.; Zang, W.Q.; Liu, C.; Wang, B.Y.; Huang, X.Z.; Lai, J.B.; Wu, H.W. The salinization process and its response to the combined processes of climate change–human activity in the Yellow River Delta between 1984 and 2022. CATENA 2023, 231, 107301. [Google Scholar] [CrossRef]
- Liu, J.; Chen, X.; Chen, W.F.; Zhang, Y.; Wang, A.L.; Zheng, Y.F. Ecosystem Service Value Evaluation of Saline—Alkali Land Development in the Yellow River Delta—The Example of the Huanghe Island. Water 2023, 15, 477. [Google Scholar] [CrossRef]
- Feng, X.J.; Tian, J.; Wang, Y.X.; Wu, J.J.; Liu, J.; Ya, Q.; Li, Z.S. Spatio-Temporal Variation and Climatic Driving Factors of Vegetation Coverage in the Yellow River Basin from 2001 to 2020 Based on kNDVI. Forests 2023, 14, 620. [Google Scholar] [CrossRef]
- Jenks, G.F. The Data Model Concept in Statistical Mapping. Int. Yearb. Cartogr. 1967, 7, 186–190. [Google Scholar]
- Zhang, Z.M.; Fan, Y.G.; Jiao, Z.J.; Guan, Q.C. Impact of soil salinization on the eco-environment quality of coastal wetlands: A case study of Yellow River Delta. Remote Sens. Nat. Resour. 2023, 35, 226–235. [Google Scholar]







| Characteristic Parameters | Computing Formula |
|---|---|
| KNDVI | |
| TGDVI | |
| EDVI | |
| NDVI | |
| MSAVI | |
| SI |
| Salinization Grade | KNDVI-SI |
|---|---|
| Non-salinization | 0 < KNDVI-SI ≤ 0.8 |
| Slight salinization | 0.8 < KNDVI-SI ≤ 1.0 |
| Moderate salinization | 1.0 < KNDVI-SI ≤ 1.2 |
| Severe salinization | 1.2 < KNDVI-SI ≤ 1.4 |
| Extreme salinization | 1.4 < KNDVI-SI ≤ 2.0 |
| Model Types | Feature Space | Formula | RMSE |
|---|---|---|---|
| Point-to-point model | KNDVI-SI | 0.218 | |
| NDVI-SI | 0.341 | ||
| MSAVI-SI | 0.674 | ||
| EDVI-SI | 0.589 | ||
| TGDVI-SI | 0.416 |
| Salinization Grade | Area in 2000/km2 | Area in 2010/km2 | Area in 2020/km2 |
|---|---|---|---|
| Non-salinization | 279.2079 | 74.1492 | 400.653 |
| Slight salinization | 353.4246 | 168.0984 | 209.7594 |
| Moderate salinization | 738.9684 | 1076.2983 | 418.6854 |
| Severe salinization | 2159.8614 | 2869.956 | 1963.3563 |
| Extreme salinization | 1074.861 | 417.8214 | 1613.8692 |
Disclaimer/Publisher’s Note: The statements, opinions and data contained in all publications are solely those of the individual author(s) and contributor(s) and not of MDPI and/or the editor(s). MDPI and/or the editor(s) disclaim responsibility for any injury to people or property resulting from any ideas, methods, instructions or products referred to in the content. |
© 2024 by the authors. Licensee MDPI, Basel, Switzerland. This article is an open access article distributed under the terms and conditions of the Creative Commons Attribution (CC BY) license (https://creativecommons.org/licenses/by/4.0/).
Share and Cite
Xu, M.; Guo, B.; Zhang, R. A Novel Approach to Detecting the Salinization of the Yellow River Delta Using a Kernel Normalized Difference Vegetation Index and a Feature Space Model. Sustainability 2024, 16, 2560. https://doi.org/10.3390/su16062560
Xu M, Guo B, Zhang R. A Novel Approach to Detecting the Salinization of the Yellow River Delta Using a Kernel Normalized Difference Vegetation Index and a Feature Space Model. Sustainability. 2024; 16(6):2560. https://doi.org/10.3390/su16062560
Chicago/Turabian StyleXu, Mei, Bing Guo, and Rui Zhang. 2024. "A Novel Approach to Detecting the Salinization of the Yellow River Delta Using a Kernel Normalized Difference Vegetation Index and a Feature Space Model" Sustainability 16, no. 6: 2560. https://doi.org/10.3390/su16062560
APA StyleXu, M., Guo, B., & Zhang, R. (2024). A Novel Approach to Detecting the Salinization of the Yellow River Delta Using a Kernel Normalized Difference Vegetation Index and a Feature Space Model. Sustainability, 16(6), 2560. https://doi.org/10.3390/su16062560
