Abstract
The share of renewable energy resources in modern electrical power networks is increasing in order to meet environmental and technical targets. Consequently, energy researchers and power providers have been focusing on optimizing the integration of renewable energy into existing power grids. One of the most significant growing applications of renewable energy resources is residential photovoltaic (PV) systems; therefore, this paper discusses a new methodology to enhance the utilization of small-scale and medium-scale PV systems. For this purpose, this study proposes a user-friendly interface to help novice users optimally design their own PV projects with the highest possible utilization of the installed panels. Unlike the commercially available design tools, the proposed interface in this paper provides a higher degree-of-freedom computational process, as well as the option of improving the generated power quality, while maintaining the simplicity of the required tools and inputs. The proposed methodology mainly relies on a deep mathematical analysis considering different generation and consumption aspects, such as the load profile, time of usage, ambient temperature, PV system specifications and location. Furthermore, the mechanism of integrating a small portion of Energy Storage Systems (ESSs), to improve the quality of the extracted power, is also discussed in this study. The user interface provides the ability to estimate optimal ESS usage versus the estimated price when energy is urgently required. The case study was conducted in Riyadh, Saudi Arabia, and the results showed an essential improvement in the efficiency, solar fraction and power quality of the studied PV project, which can be extended to other home and distributed generation (DG) scales.
1. Introduction
Currently, the electrical power demand is increasing all over the world, and as mentioned in the International Energy Agency (IEA) annual report, the global growth rate of energy consumption could reach 3.3% by the end of 2024 [1]. In addition, the renewable energy resources are being integrated into conventional power to increase the production of green energy [2,3]. Consequently, the energy providers and power plants designers have set new standards and requirements to accommodate the continuous increase in power generators deployments as well as to meet the global environmental agreements and green energy future targets [3,4,5]. Emerging the distributed generations (DGs) is one of the significant methodologies to accommodate different energy resources especially in modern and smart grids [6,7]. Therefore, integrating renewable energy resources through the DGs and activating untapped natural power resources will take the power grids to a higher level in terms of technical specifications and green energy trading. Figure 1 shows the emerging mechanism of different DGs scales into traditional power networks.
Figure 1.
Emerging of distributed generation in different power networks in a modern power plant.
One of the most important approaches to integrating renewable energy into existed power networks is the deployment of PV-based distributed generations (PV-DGs) for residential and small-scale private businesses applications [8,9]. Employing PV systems for residential use, at a small scale and medium scale, is discussed by several studies with different points of view. Specifically, the small- and medium-scale grid-tie PV systems have attracted more attention in electricity generation sectors in the last decade due to the technical advancement in the energy conversion technologies and the new environmental requirements [10]. Moreover, the PV-DGs play pivotal roles in the power grid reliability and efficiency enhancement [11,12]. For example, the studies in [13,14,15] showed the increasing rate of small-scale PV applications in existing and modern power networks, such as micro-grids and smart power systems. In addition, the planned green energy targets, set by environmental organizations and energy planners, can be accelerated by the widespread deployment of PV-DGs [2]. Consequently, recent studies have focused more on the technologies and approaches to optimally design and integrate PV systems into the power grids.
The orientation of PV panels is one of the most significant key factors in improving the quality of PV output power. Most of the conducted studies used the connected load profiles or solar radiation models to obtain the optimal PV panels orientation. For instance, the study in [16] proposed a new computational method to obtain the optimal orientation of solar panels in New York City based on the historical energy consumption throughout the year. The study concluded that the optimal panel orientation, to match the grid load, is a 25 degree tilt angle and 60 degree azimuth angle. In the same context, the studies conducted in [17,18,19] discussed the different solar radiation models in order to capture the maximum possible solar energy by PV panels. The selection of mathematical solar radiation models is normally based on the simplicity and accuracy, where the model accuracy can be measured by the fit test errors such as mean bias error (MBE) and root mean square error (RMSE) [20]. A special orientation can be applied to allocate the PV output power in order to match the grid-connected loads. This method is used to improve the coverage rate of the PV output power when compared to the connected loads, which is called the “solar fraction”. The PV solar fraction, or solar-saving fraction, can be exactly defined as the ratio of the user’s energy from solar to the total user’s consumption, and it is also explained and addressed in [21,22]. Based on the study conducted in [22], improving the solar fraction would enhance the economic feasibility of the PV systems, where the maximum PV power is generated at the time of peak load. The work conducted in this paper focuses on the solar-saving fraction and the utilization of the solar-produced power.
In addition to improving the PV output power, several power quality issues and grid standards are also addressed in the recent research and development paths. There are power quality concerns about the health of the grid voltage, current, frequency and power factor; therefore, it is important to measure the quality of the installed renewable energy-based DGs [23]. The study in [24] illustrated the different power quality aspects, while the studies conducted in [25,26] discussed the influences of low power quality on the performance and efficiency of grid-connected PV-DGs. Most of the reviewed studies recommended enhancing the PV power quality before connecting to the power grid, especially when interlinking with weak distribution feeders. Moreover, mitigating power fluctuation helps limit the utilization of shunt power filters and attached shunt capacitors [27].
In order to address the aforementioned issues, the studies in [28,29] showed how the optimal PV orientation can ease the daily fluctuation in solar radiation to suppress the voltage flickers. The studies proved that the voltage variations can be mitigated by 25–30%. In the same context, the study in [30] utilized a battery energy storage system (BESS) to smooth out the PV generated power, while improving quality through power shifting, using a BESS, was discussed in [31,32]. These studies utilized a bulky BESS to compensate for and absorb the shortages and surpluses in the generated power. Hence, these solutions add more initial and operation costs. The main hurdle that challenges the utilization of a BESS for PV applications is the lifespan, considering the limits of the battery’s state of charge (SOC). A 24 h load-forecasting methodology was used in [33] to optimize the integration of a BESS for grid-tie hybrid PV systems. However, the study showed that the mismatch in load forecasting leads to shortages in the scheduled PV power.
Distribution static synchronous compensators (DSTATCOMs) are increasingly deployed for renewable energy-based DGs in order to comply with the IEEE 519-2014 power quality standers [34]. The researchers in [35,36] presented the effect of using the D-STATCOM at the DC link of a BESS with a voltage source converter (VSC) to enhance the total harmonic distortion (THD) of the AC-side voltage and current. The results showed an improvement in the THD, where the grid current distortion can be suppressed to 5%, which follows the (IEEE standard 519-2014). For the same purpose, the authors in [37] proposed a modular static distribution controller (MSDC), which was installed at the PV system point of interconnection (POI). The proposed versatile device consists of a BESS and buck/boost bi-directional Current-Fed quasi Z-source Inverter (CF-qZSI), and it was designed to overcome several power quality issues, such as the voltage fluctuation, frequency deviation, current harmonics and power factor correction. The main operation mechanism of the device relies on conditioning the decoupled active and reactive powers to achieve its functions. The results proved that the proposed system is feasible and able to achieved the designed objectives. However, the conducted analysis does not illustrate the optimal sizing process of the BESS to achieve the desired functions within practical considerations nor does not involve the impact of the PV panels orientation on the proposed system functionality and BESS size.
The Unified Power Quality Conditioner (UPQC) was utilized in [36,38] for power quality improvement purposes. In this study, a BESS is used to power the UPQC that is controlled by an artificial neural network system in order to mitigate the THD of a grid-connected PV current. The results showed a significant improvement, where the THD was kept within the acceptable limits of IEEE-519 standard under different case scenarios.
Consequently, this work proposes new treatments to overcome the power quality and solar fraction issues, in order to enhance the utilization of residential and medium-scale PV systems. These treatments include the optimal design and orientation of intended or ongoing PV projects. The solar fraction factor is used as a feasible indicator for this process.
Furthermore, this study examines the degree to which integrating energy storage systems (ESSs) with small ratings increases the efficiency and quality of the generated power of the targeted PV projects. Mitigating the power fluctuations also contributes to reducing the negative impact of PV output power on the grid-connected equipment [39]. The size and functionality of the attached ESS is dependent on the ultimate quality of the output power and the total cost. The ESS in this study is utilized only to enhance the PV output power quality, unlike previous work, where a bulky ESS is used to store and extract a huge amount of real power. It is worth mentioning that one of the designed objectives of this study is to help the small-scale residential PV businesses follow the grid codes and technical PV-DG standards stated by the IEEE for voltage and current quality for grid-connected DGs (IEEE 519-2014) [34].
In order to accomplish the intended objectives with a simple and practical approach, this study also proposes an assessment tool to help the end-users obtain the optimal design considerations for their own PV projects. This study mainly focuses on optimizing PV systems to cover the largest connected load possible with enhanced economic feasibility and power quality. There are six key objectives of this paper:
- Modeling and estimating the solar radiation and received energy for a certain location and specifications of the specified surface.
- Estimating the PV systems’ output power based on the system considerations and design.
- Optimizing the design (orientation, size, ESS and energy managing) of PV systems based on the evaluated solar energy, PV local specifications, power quality, connected loads and total costs.
- Investigating the feasibility of integrating ESS for the studied PV systems.
- Validating the proposed methodology using collected field data.
- Evaluating the impact of the proposed method on the PV power quality, load matching and the solar fraction factor, considering the supplied loads.
The remainder of this paper is structured as follows. The solar irradiation model and the process for determining the PV output power for various PV system constructions are introduced in Section 2. Section 3 discusses the conducted methodology to enhance the solar fraction of the PV system with respect to the supplied loads, whereas Section 4 covers the proposed approach to integrate a specific rating of ESS for improved power quality purposes. In Section 5, the outcome results for the solar irradiation estimation, results validation and feasibility of the proposed methods are illustrated. Section 6 introduces the suggested friendly user interface for optimal PV system design. Section 7 draws the final conclusions and discusses the important deliverables for this investigation.
2. Estimation of Solar Radiation Energy and PV Output Power
In order to obtain the optimal specifications and operating mechanism for a PV system, the designer must be aware of the received solar energy throughout the year at the point of interest. Therefore, the Mainal solar radiation model is used in this study to estimate the received solar energy under any possible construction of PV systems. The utilized model was carefully selected based on the accuracy and number of the required input parameters [40]. The next subsections discuss the main computational process for the solar radiation model and the estimation of the extracted PV output power when the energy loss and uncovered area parameters are considered.
2.1. Modeling of the Solar Radiation Energy
There are two main components of the sunlight radiation: the direct radiation, where the sunlight reaches the surface without scattering, and the scattered radiation. Moreover, there is an additional secondary sun radiation called “albedo” radiation that can be defined as the radiation reflected from the ground. The global sun radiation represents all of the solar radiation components, whereas the solar irradiance represents the power density of the sunlight in W/m2.
The amount of sunlight absorbed or scattered depends on the length of the path through the atmosphere. This distance traveled is usually compared to a vertical path that ends at sea level and is represented by the air mass = 1 (AM1). As a result, the air mass at a higher altitude will be smaller than unity for a sun that is directly overhead, and it will usually be bigger than unity for nonvertical sun angles. The used Meinel model relies on the concept of the air mass (AM) to estimate the solar irradiance received by a flat surface on the earth (I0), and it can be expressed as follows:
where the factor (1367) is called the solar constant, which is the average amount of solar radiation above the earth’s atmosphere, and 0.7 is the amount of radiation that reaches the surface. The power 0.678 is included to consider the effects of the solar irradiance scattering or being absorbed by the earth’s atmosphere. The air mass (AM) is the air mass which affects the sunlight absorption and scattering as it goes through the earth’s atmosphere. Generally speaking, the air mass that allows sunlight to flow through is proportional to the secant of the altitude angle (α), which is the angle measured between the horizontal axis and the sunlight direct beams, as clearly shown in Figure 2.
Figure 2.
Solar radiation angles with respect to a flat surface on the earth and a tilted PV panel.
From the sun angular movement during the day, the altitude angle can be obtained by considering the longitude (φL) and latitude (ϕn) of the point of interest, the hour angle (ω), the day number throughout the year (n), and the polar axis of the earth. The earth polar axis and number of the day can be combined together to formulate the declination angle (δ) that is expressed as:
where 23.45° is the angle of the earth’s polar axis with respect to the sun, and 360 is the total number of days throughout the year. The declination angle with regard to the earth’s equator and solar radiation is shown in Figure 3.
Figure 3.
Zenith angle (θZ) and declination angle (δ) for the solar radiation.
The other parameters discussed above can be expressed as follows:
where Tp is the noon time when the sun is at the highest point in the sky for a certain day and longitude. The link between solar noon and clock noon is easily found if the longitude is known. Given that there are 24 h in a day and that the earth spins 360 degrees throughout that time, the earth revolves at a speed of 15 degrees per hour. Additionally, it is useful that at solar noon, longitude zero coincides to clock noon. Consequently, solar noon happens in multiples of 15° east or west longitude at clock noon. Moreover, reaching solar noon at intermediate longitudes is an easy interpolation task, as it takes the earth 60 min to rotate 15°. Therefore, the noon time can be found by:
where φLP is the longitude where the solar noon happens within the local time zone. To obtain the right noon time from Equation (4), the substitution should be positive for east longitudes and negative for west ones. The zenith angle ( and noon-time zenith angle ( are also needed in order to determine the shift angle between the sun position and a vertical beam on the earth at the point of interest; these angles can be found by:
When the PV panels are not positioned horizontally on the ground, the solar irradiance in Equation (1) must be modified. The tilt angle (the angle between the PV panel and a horizontal axis) and the azimuth angle (the angle between the south axis and the direct stretch of the panel front side) can be included to the elementary solar irradiance (I0) through the geometric factor (Rb) [40]. To put it another way, the geometric factor only appears when the PV panels are not horizontally installed. Based on the above-mentioned reference, the geometric factor and total solar irradiance can be written as:
where θ is the incidence angle, which is the angle between the sun’s rays and the normal vector to the tilted surface. β and γ are the tilt and azimuth angles, respectively. The hour angle (ω) has a value of 90 to −90 degrees, with a positive value in the morning, a negative value in the afternoon, and a zero value at solar noon.
2.2. Solar PV Production
It is commonly known that PV panels are not able to capture all of the solar energy and turn it into electricity, since power loss and solar cell efficiency are major factors in lowering the final output power [41]. Furthermore, two other critical variables in the process of determining the ultimate PV output power are the ambient temperature and the ground cover ratio (GCR), which is the ratio of the area of the solar farm that is covered by PV panels to its total area [40]. Therefore, considering the above-mentioned factors, the final output power of PV systems may be stated as follows:
where PPV(t) is the time-variant output electrical power at the terminal of the photovoltaic system in watts. A is the area of the photovoltaic panels surface in (m2), whereas ηC is the PV panel efficiency. The value of the PV panel efficiency can range between 15% and 25%, depending on the quality and the type of the photovoltaic panels. The energy loss from shade, the electrical loss from cable resistance, and the loss in the energy conversion and voltage transformation devices are all included in the factor (PR), which is also known as the performance ratio. Performance ratios often have values between 0.7 and 0.9, depending on the system architecture and surrounding temperature.
The ambient temperature affects the panel efficiency based on the data given by the manufacturer. Form the datasheets of most of the commercially available PV panels, there is a rule that says “the PV maximum output power (Pmax) decreases by −0.45% with each 1 degree Celsius that exceeds the standard test condition (STC) temperature (which equals 25 degrees Celsius)”. In addition, the lifespan of PV panels reduced by half for every 10 degrees Celsius by which it exceeds the STC temperature [42]. The impact of the ambient temperature on the PV panel efficiency can be expressed as shown below:
where ηref is the reference module efficiency measured at the STC condition, and βref is the temperature coefficient. Tref is the reference temperature, or STC temperature, which is normally 25 degree Celsius, whereas To is the highest operating temperature when the panel efficiency drops to zero. TC(t) is the temperature of the photovoltaic cell at the given time, and Ta is the ambient temperature of the air surrounding the photovoltaic module. From the above equation, it can be clearly seen that the efficiency of the photovoltaic cell decreases when the temperature increases in a linear way. When the monotype of photovoltaic panels is used, the temperature coefficient βref will be 0.004, which corresponds to a 0.4% decrease in the efficiency for every one degree increase in the temperature.
A logical process flow is considered to validate the nominated solar irradiation model in this work. Figure 4 shows the conducted validation approach. The process starts with providing the required input data to obtain the corresponding solar irradiance, such as the number of days, the location of the PV project, noon time and the orientation of the PV panels. A comparative calculation is adapted to test the accuracy of the estimated irradiance. This process could be completed by comparing the output results from the above discussed estimation tool to actual solar irradiance data collected from a measurement solar station placed on the earth.
Figure 4.
Cascading flowchart for estimating the solar irradiation and the PV output power.
Once the estimated solar irradiance is validated, the estimated solar energy is then converted to PV power in (kW), considering the specifications of the targeted installed PV system. Also, the estimated PV output power is examined by comparing it with actual readings from the PV system. The entire estimation process is considered as a validated approach when the comparative calculation has a 5% allowable mismatch.
Consequently, the completed methodology proposed in this work can be summarized as follows. After nominating the suitable solar irradiance model, based on simplicity and fit accuracy, an accurate forecasting tool to estimate the PV produced power for a certain PV system is developed. The methodology of creating the model relies on the knowledge of PV system data (size and capacity), location of interest (latitude and altitude), date and time, and azimuth and tilt angles, whereas the process of obtaining the output power includes the PV panel efficiency, ratio of reflected light, ambient temperature, shading, covered area and power loss. In addition, the estimating tool provides an additional feature which suggests an optimized panel orientation for maximized PV production or for maximized PV-DG solar fraction, as explained in Section 3.
In order to improve the PV produced power, for PV-DG applications, the proposed user interface in this work has the ability to suggest an optimal ESS-based power conditioning system (ESS-PCS) to enhance the quality and reliability of the PV-DG output power, as explained in Section 4.
3. Enhancement of PV Output Power and Solar Fraction
As mentioned previously, one of the main objectives of this study is to help the end-users optimize their installed/intended PV systems. To achieve that, different methods are used, such as analyzing the collected actual data or utilizing the estimation models [20,43]. However, in order to help the designer obtain the suitable design of PV projects, with the absence of inherited actual data, this study proposes a new approach to provide the optimal orientation of the PV panels to either maximize the captured solar energy or to shift the maximum possible captured energy to the time when the connected load is at its peak. These two options are totally dependent on the end-user’s preference.
At the beginning of the estimated and optimal designing process, the targeted end-users have the option of selecting amongst three different case scenarios:
- Analyzing an existing PV system with known specifications and panels orientation;
- Obtaining the optimal panels orientation to generate the maximum possible power;
- Obtaining the optimal panels orientation to maximize the resultant solar fraction.
Selecting amongst the available above-mentioned options relies on the ultimate objective of the estimation tool. For instance, option 1 is selected if the PV system is fixed and the user wants only to estimate the system’s daily output power. Option 2 is suitable if the PV system has one or two-axis orientation freedom and the maximum output power is targeted whenever the peak generations occurs. Option 3 is favorable when the user wants to utilize most of the PV-generated power to the connected load. The flowchart in Figure 5 shows the computational process for the option 2 and option 3 case scenarios.
Figure 5.
Computational loop process for option 2 and option 3 case scenarios.
4. Integrating an ESS for Enhanced Power Quality
The integration of energy storage systems for DG applications, for backup generation and improved power quality purposes, was discussed by many researchers [44,45,46]. It is concluded from the reviewed studies that integrating bulky ESSs to the PV generation units, for backup power, has undeniable drawbacks. These drawbacks include the initial and operation costs of the utilized storage equipment and the interfaces of the power inverters, increased storage system wastes, and the complexity of the overall system control. Nevertheless, instead of eliminating the entire ESS from PV-DG systems, this study proposes an assessment tool to estimate the optimal size of an attached battery energy storage system (BESS) for enhance PV power quality. This optimizing method takes into account the limits of the user budget and the required standards and codes of the connected grid. Consequently, this process has two degree-of-freedom parameters: the additional costs to the original PV system and the level of power quality improvement.
The main key factor to enhance the PV-DG power quality is the reducing of disturbances in the generated power from the solar PV systems. Hence, the optimal design of the BESS can contribute to mitigating the PV power fluctuations while maintaining the overall system price within the desirable limits. The process of obtaining the optimal size of the BESS is illustrated in Figure 6.
Figure 6.
Approach for calculating the optimal size of BESS based on the budget and grid codes.
5. Results and Discussion
5.1. Estimation of Solar Irradiation on a Flat Surface
The Meinel model was utilized to calculate the solar irradiance with the help of MATLAB R2022b computational software. As discussed earlier in this study, the solar irradiance can be estimated for any desired time frame at the location of interest. This study is conducted for Riyadh, Saudi Arabia, throughout the year 2022. Table 1 shows the coordinates and time zone of Riyadh.
Table 1.
Location coordinates and time zone of Riyadh, Saudi Arabia.
Figure 7 show the hourly estimated solar irradiance (I0), total received energy (EE0), maximum daily power (Max0), sunrise time (SRt) and sunset time (SSt) for four different days. The number of days in Figure 7 was carefully selected to show the estimated solar irradiation for different seasons throughout the year.
Figure 7.
Estimated solar irradiance, total received energy and maximum radiation power on a flat surface in Riyadh, Saudi Arabia: (a) day 1; (b) day 90; (c) day 180 and (d) day 270.
Table 2 compares the four estimated solar irradiances in terms of the total received energy, the maximum irradiances during the day and the time interval for the daytime. It is observed from Table 2 that the solar irradiation is at its highest level during the summer season where the sun becomes perpendicular to the horizontal PV panel.
Table 2.
Solar irradiance energy, maximum power and daytime duration (flat surface case).
5.2. Estimation of Solar Irradiation on a Tilted Surface
The solar irradiance with tilted PV panels was also estimated using Equation (6), as shown in Figure 8. The figure also shows the best tilt (BTi) and azimuth (BAz) angles, that yield the highest received power during the day, and the maximum daily power for a tilted panel (Maxx). Table 3 shows the same comparison as in Table 2 but with tilted PV panels.
Figure 8.
Optimal panels orientation and estimated solar irradiance and total received energy on a tilted surface in Riyadh, Saudi Arabia: (a) day 1; (b) day 90; (c) day 180 and (d) day 270.
Table 3.
Solar irradiance energy, maximum power and daytime duration (tilted surface case).
It is concluded from the results that the maximum captured solar energy by the PV panels can be achieved via the optimal orientation of the panels. It is important to mention that the total daily energy might be lower than the energy for flat panels; however, most of the utilized solar energy is normally captured during the peak of the power curve.
Moreover, it can be clearly seen that the best azimuth angle is always 0 degrees (toward south) for the Riyadh region. The tilt angle varies depending on the season of the year, reaching 48 degrees in the winter and almost 0 degrees in the middle of the summer season. The summary of the optimized tilt angle throughout the year is illustrated in Figure 9, whereas the monthly average of the tilt angle is listed in Table 4.
Figure 9.
Monthly and annually average optimal tilt angle.
Table 4.
Monthly average optimal tilt angle.
The results show that the optimal tilt angle during the months of December and January is around 48 degrees, and this makes sense, since the sun position during the winter season is at its lowest point in the sky, whereas a higher tilt angle is needed to capture the heights of possible solar irradiation. On the other hand, during the summer months, the sun is at its highest point in the sky, which means a low tilt angle is desirable. The results also indicate that the average optimal tilt angle is 24.37 degrees, which is close to the latitude of the location of interest as concluded by several studies.
5.3. Obtaining the PV-DG Output Power
From the previous section, the average optimal tilt angle during the entire year was found to be 24.77 degrees; therefore, this section used the obtained optimal angles for PV output power estimation. From Equation (7), the output electrical power of the photovoltaic system can be obtained, as shown in Figure 10.
Figure 10.
Calculated solar irradiance and solar output power with 24.77 degrees tilt angle and 0 azimuth angle: (a) day 1; (b) day 90; (c) day 180 and (d) day 270.
According to the figure presented above, the photovoltaic system’s overall electrical power production is between 16% and 18% of the solar irradiation that was computed. The effectiveness of photovoltaic panels is directly impacted by the surrounding temperature, as shown in Section 2. The efficiency deterioration brought on by elevated temperatures was factored into the final estimate for the generation of PV electricity in an effort to achieve accuracy. The resulting PV panel efficiencies throughout the year were calculated using the manufacturer’s efficiency characteristics and the daily ambient temperature forecast in [47]. Figure 11 displays the daily efficiency for the full year together with the computed temperature-dependent efficiency.
Figure 11.
Temperature-dependent efficiency (a) throughout the daytime and (b) at 12:00 PM only.
According to the data, Riyadh’s summertime poses the greatest threat to efficiency with a 7% reduction in power output when compared to the reference solar panel. When the solar power output is adjusted for the newly acquired efficiency, the results shown in Figure 12 and Table 5 are obtained.
Figure 12.
Estimated PV output power with reference efficiency (ηref) (blue line) and temperature-dependent efficiency (ηTD) (red line): (a) day 1 and (b) day 270.
Table 5.
The difference in estimated PV output power with reference efficiency and temperature-dependent efficiency.
5.4. Validation of the Created Estimation Tool
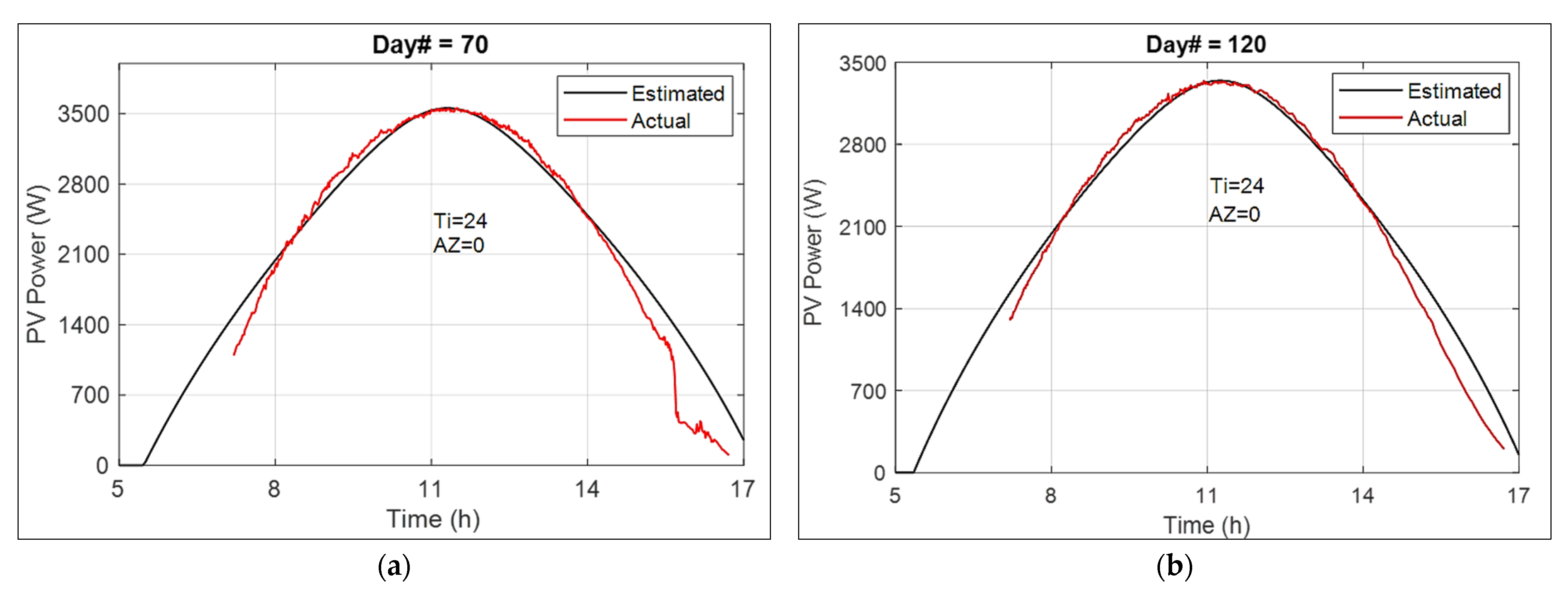
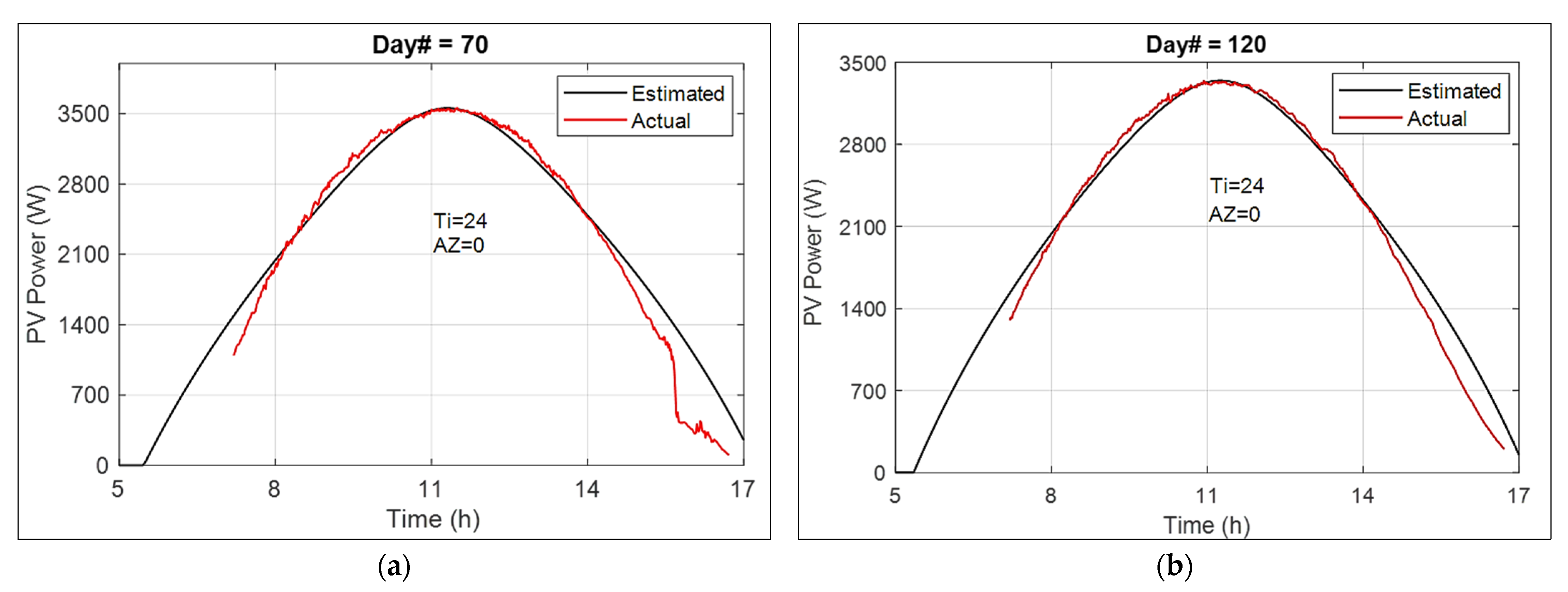
A real PV system’s data were used to ensure the correctness of the model used to estimate the PV generated power. The following validation procedure was used. First, real power data for a PV project that is currently under way were gathered. The second step involved obtaining the PV system’s specifications, which included the predicted power loss, ambient temperature, covered area, GCR factor, reference efficiency, and orientation of the panels. Third, the estimated PV output power was computed and calibrated, and fourth, the correctness of the model was evaluated using a fit test error, which is the root mean square error (RMSE). The laboratory-scale PV system used in this study is shown in Figure 13.
Figure 13.
Laboratory-scale (~10 kW) PV system used for validation analysis.
Only the PV panels inside the red box are used, which are equivalent to the 4 kW PV system. The system specifications and orientation are listed in Table 6, whereas Figure 14 shows the actual and estimated data for the utilized 4 kW PV system.
Table 6.
Change in maximum value for output power.
Figure 14.
The estimated and actual data for the utilized 4 kW PV system on a sunny day: (a) during day 70 and (b) during day 120.
It is important to note that the validation procedure only considered days with perfect sunshine on which the RMSE could be computed. Figure 15 illustrates the pattern of the actual PV output power during a cloudy day; however, this example is not suitable for testing the accuracy of the estimating model.
Figure 15.
The estimated and actual data for the utilized 4 kW PV system and cloudy day.
To check the accuracy of the utilized model, the root mean square error (RMSE) and normalized RMSE can be expressed as shown in Equation (9), and the test results are listed in Table 7. The accuracy test is conducted only on the results shown in Figure 14, where the comparison analysis is reasonable.
Table 7.
Root mean square error and normalized root mean square error for the results in Figure 14.
5.5. PV Panels Orientation for Enhanced Solar Fraction
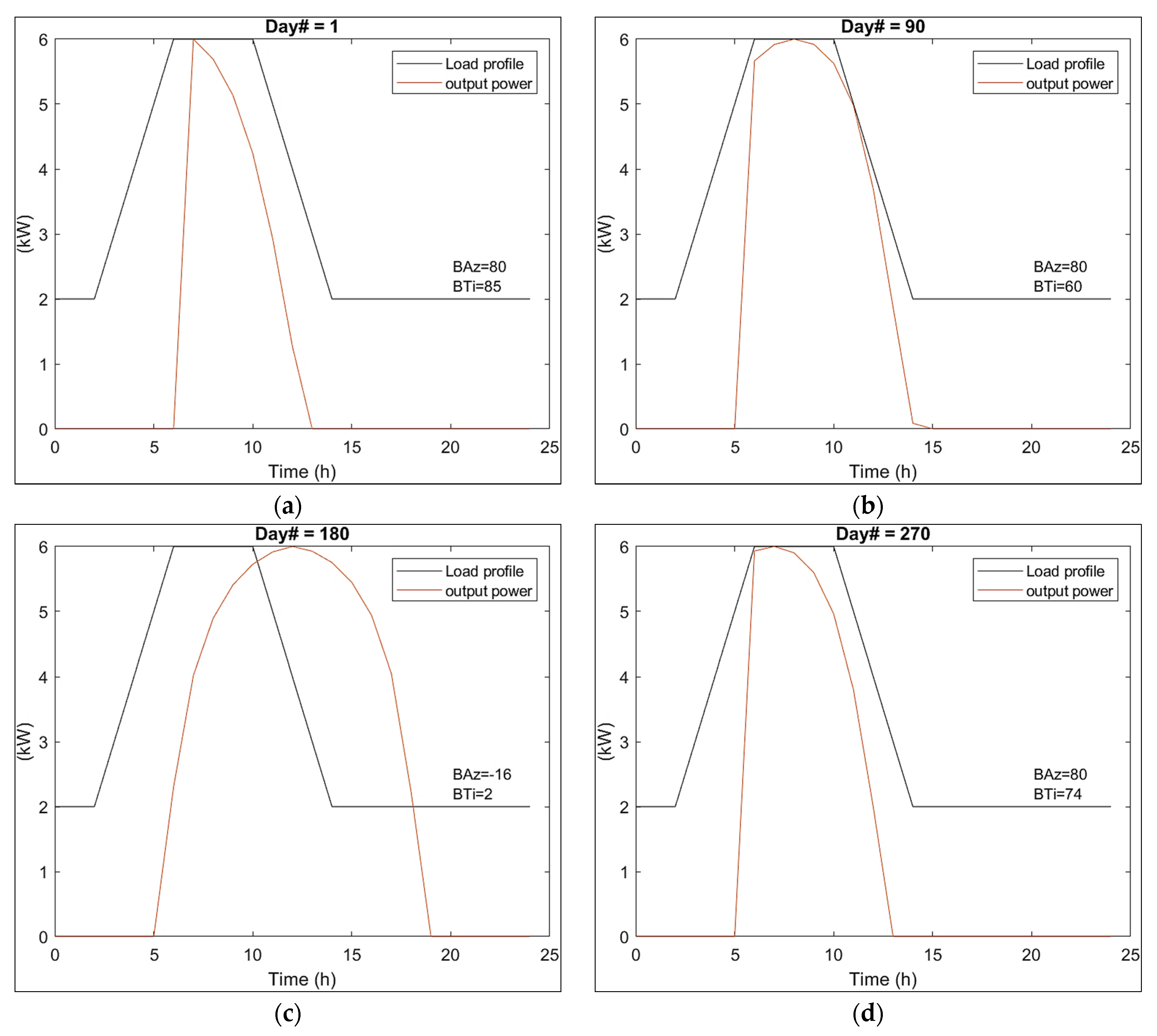
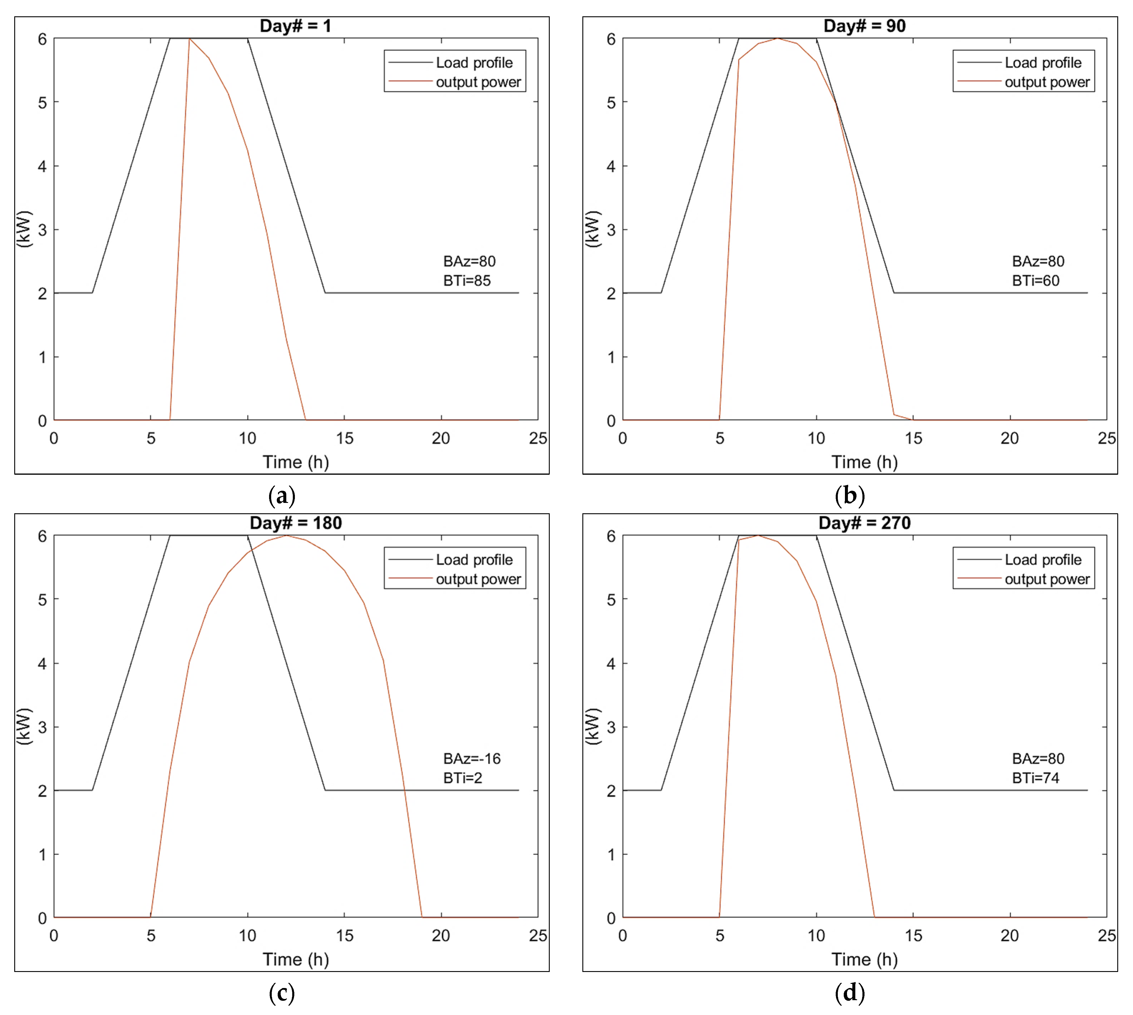
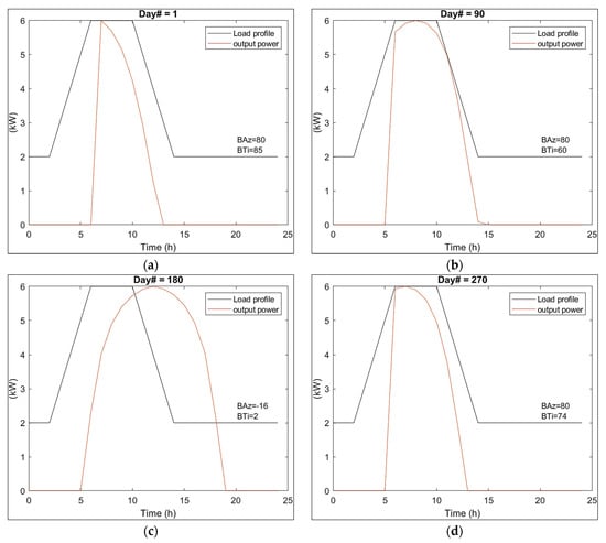
The model presented in Figure 5 is used in the assessment tool to follow the behavior of the connected load profile provided by the end-user. For this purpose, the solar fraction is calculated for the expected load profile with the help of the solar irradiance estimation tool. The outcome of this process is the daily optimal tilt and azimuth angles for maximum allowable solar fraction in order to maximize the utilization of the solar systems. Figure 16 shows some examples for how the model works. The corresponding tilt angle and azimuth angle for each case, to achieve the desired objectives, are shown on each individual figure.
Figure 16.
Estimated PV output power with enhanced solar fraction for morning loads: (a) day 1; (b) day 90; (c) day 180 and (d) day 270.
All sample cases shown in Figure 16 tend to be daytime-type loads. Hence, in order to test the proposed model for different load conditions, the nighttime-type loads are also processed, as shown in Figure 17. It is clearly seen that the azimuth angle moved from the east direction to the west, whereas the tilt angle has changed based on the day and load shifting. The corresponding tilt angle and azimuth angle for each case, to achieve the desired objectives, are shown on each individual figure.
Figure 17.
Estimated PV output power with enhanced solar fraction for afternoon loads: (a) day 1; (b) day 90; (c) day 180 and (d) day 270.
As seen by the findings above, the solar irradiance is monitoring and changing in response to the load profiles, allowing customers to get the most out of their private photovoltaic systems. It is important to mention that this solution is not always practical to the residential users, as the PV panels are constantly rotated on a daily basis. Therefore, in order to construct a tool that can be customized for different users, it is preferable to make a monthly or seasonal change by employing a set seasonal load profile, using it as input data in the estimating tool and changing the time interval from daily to a monthly or seasonal time basis.
5.6. Utilization of BESS for Enhanced PV Power Quality
Energy storage systems were used to lessen the power fluctuations that are always present when utilizing the solar PV systems. In doing so, we were able to improve the power quality and stability, reduce power disturbances in the output power of the solar PV systems, and improve the power stability of the connected grid. The annual average power production was computed using the method shown in Figure 6 and used as a reference methodology to estimate the size of the BESS system. To investigate the proposed approach, an embedded power disturbance was included to average the PV output power, as shown in Figure 18. The computational assessment tool is responsible for obtaining the optimal BESS size based on three main constrains, which are the capacity of the analyzed PV system, the codes and standards of the connected power grid and the limitation of the end-user’s budget. This process starts with evaluating the amount of differences, which is represented by the RMSE, to estimate the required BESS power rating. Figure 19 shows the step of obtaining the power difference needed for sizing the BESS.
Figure 18.
(a) Estimation of the averaged output power; and (b) the simulated PV output power with disturbances.
Figure 19.
Difference between the averaged PV output power and the simulated PV output power with disturbances.
In order to validate the proposed methodology, a simulated real-life distribution in the PV solar system output power, due to clouds, shading, etc., has been made using the MATLAB real-time simulation tool. Furthermore, as demonstrated by the data in Figure 20, a smoother power output from the system can be achieved by utilizing 20% of the BESS capacity when utilizing a control system based on the prior model.
Figure 20.
Simulated PV output power with disturbances with (a) 20% BESS; (b) 40% BESS; (c) 70% BESS; and (d) 100% BESS.
In addition, Figure 20 and Figure 21 show the different options of BESS sizing to smooth out the ultimate PV-generated power. As discussed before, the BESS sizing process is subjected to the grid-connected codes and the user cost limitations. For example, if it is decided to integrate a BESS system due to high PV power penetration, and the assigned budget is not sufficient, then the total capacity of the PV system must be reduced, and the reserved cost is moved to cover the BESS costs. This dynamic computational process uses the capacity of the PV system as a changeable design margin to exploit the available budget to enhance the power quality at the PCC for better PV-DG integration.
Figure 21.
Estimated PV power with disturbances with different capacities of the utilized BESS.
A higher BESS leads to a higher output power, according to the evaluation tool’s model’s output result. Additionally, it can provide an ideal power output with no power fluctuations when it is operating at 100% of its capacity but with higher costs, making the suggested solution economically infeasible.
To make things simple and useful for the end-user, the study’s entire computing operations were presented via an orderly user interface, as illustrated in Section 6. The evaluation tool functions as a user interface by displaying the impact of any BESS size connected to the solar PV system with the required power quality. The BESS size required for 1 MW solar systems can range from 300 kWh for 20% to 1500 kWh for 100%, depending on the necessary grid-side requirements and the permitted overall cost.
6. Sample of the Created User Interface
Lastly, Figure 22 presents a basic prototype of the performance evaluation user interface, illustrating how the user may utilize the tool to construct a photovoltaic system. Note that this is only a prototype and does not encompass all possible uses for the tool. It worth mentioning that the final outcomes from the assessment tool are totally dependent on the user targets and desired objectives. The load profile data are needed only in case of improving the solar fraction of the installed PV system.
Figure 22.
Prototype of the proposed PV assessment tool interface: (a) solar irradiance parameters and (b) the outcome results.
7. Conclusions
The increased detachment of fossil fuel-based power generators has led to a significant expansion in the use of renewable energy sources for supplying electricity. Furthermore, an acceptable power quality and high system stability are essential for the renewable energy generations to be interlinked with the electric power networks. One of the most significant approaches to integrate the renewable energy resources to the power networks is the distributed generation systems (DGs). Additionally, the photovoltaic (PV) systems have had an increased deployment rate over the last decade; therefore, this study aims to provide a user-friendly interface that assists novice users in developing their own grid-connected PV-DG projects as efficiently as possible while making the most use of the installed panels. Unlike the commercially available design tools, the interface described in this research offers a larger degree of computational freedom and the possibility of improving the generated power quality while re-training the ease of use and quantity of inputs necessary for the tool. The proposed assessment tool helps the end-users obtain the optimal PV panels orientation based on their needs. As most of the DGs powered by renewable energy resources suffer from low power quality, due to the intermittent generated power, many studies suggested using BESS for real power compensation. However, in reality, the cost and security of the electricity system may suffer if these BESSs are integrated without first conducting adequate research, designing the system, and optimizing the planning and operating procedures. Hence, the assessment tool proposed in this work contributes to designing the attached battery energy storage system (BESS) in order to fulfill the power quality requirements for the PV-DGs with minimal costs. For the sake of simplicity, this paper proposes a user-friendly interface to obtain the optimal design of the overall system with few and visualized procedures. The estimation process was built with a mathematical model to compute the solar irradiation received by PV panels with different orientation. The assessment tool provides three possible outcomes: first is the estimation of generated power for an existing PV system, second is the optimal orientation for an intended PV system to enhance the solar fraction or to maximize the ultimate produced power. For example, in Riyadh, where the study was conducted, the optimal tilt angle for PV panels throughout the year is 24.37 degrees, whereas the azimuth angle is 0 degrees toward the south. The assessment tool also provides the optimal orientation on a daily, monthly and seasonal time basis. In addition, it was found that the solar panels’ efficiency is affected by the ambient temperature, and the power output decreases by approximately 7% in Riyadh. This finding highlights the importance of including the temperature-dependent efficiency in the assessment procedure. Additionally, the proposed assessment tool has the option of suggesting the optimal size of the attached BESS to a residential PV-DG system for enhanced power quality and stability at the point of common coupling (PCC). The BESS integration principle in this study relies on two main constrains, meeting the grid-connected codes, such as IEEE 519, with minimal size and cost. For a 1 MW PV system, in order for the installed BESS to enhance the output power quality by 20%, it needs a size of 300 kWh.
Author Contributions
Conceptualization, F.E.A. and F.A.; methodology, F.E.A. and F.A.; software, F.E.A. and F.A.; formal analysis, F.E.A. and F.A.; investigation, F.E.A. and F.A.; data curation, F.E.A. and F.A.; writing—F.A.; writing—review and editing, F.E.A.; visualization, F.A.; supervision, F.E.A.; project administration, F.E.A.; funding acquisition, F.E.A. All authors have read and agreed to the published version of the manuscript.
Funding
This work was supported by the Researchers Supporting Project number (RSPD2024R578), King Saud University, Riyadh, Saudi Arabia.
Institutional Review Board Statement
Not applicable.
Informed Consent Statement
Not applicable.
Data Availability Statement
The data presented in this study are available on request from the corresponding author.
Acknowledgments
The authors would like to express their profound gratitude to King Abdullah City for Atomic and Renewable Energy (K.A.CARE) for their financial support in accomplishing this work.
Conflicts of Interest
The authors declare no conflicts of interest.
Abbreviations
The following abbreviations are used in this manuscript:
| PV-DG: | Photovoltaic-Based Distributed Generation |
| IEA: | International Energy Agency |
| MBE: | Mean Bias Error |
| RMSE: | Root Mean Square Error |
| BESS: | Battery Energy Storage System |
| AM: | Air-Mass Coefficient |
| SOC: | Battery State of Charge |
| DSTATCOM: | Distribution Static Synchronous Compensator |
| MSDC: | Modular Static Distribution Controller |
| POI: | Point of Interconnection |
| PCC: | Point of Common Coupling |
| THD: | Total Harmonic Distortion |
| GCR: | Ground Cover Ratio |
| STC: | Standard Test Condition |
| PCS: | Power Conditioning System |
References
- International Energy Agency (IEA) Annual Report. World Energy Outlook. Available online: https://www.iea.org/reports/world-energy-outlook-2023 (accessed on 10 December 2023).
- Vinod, K.S.; Akash, K.B.; Anurag, S.; Ahmed, F.; Sandeep, B. Renewable Energy and Economic Dispatch Integration within the Honduras Electricity Market. In Renewable Energy and Future Power Systems, 1st ed.; Springer: Singapore; New York, NY, USA, 2021; pp. 1–34. [Google Scholar] [CrossRef]
- International Energy Agency (IEA), Renewables. Available online: https://www.iea.org/energy-system/renewables (accessed on 10 December 2023).
- Karasmanaki, E.; Galatsidas, S.; Ioannou, K.; Tsantopoulos, G. Investigating Willingness to Invest in Renewable Energy to Achieve Energy Targets and Lower Carbon Emissions. Atmosphere 2023, 14, 1471. [Google Scholar] [CrossRef]
- Rajvikram, M.; Shafiullah, G.M.; Sanjeevikumar, P.; Nallapaneni, M.; Annapurna, A.; Ajayragavan, M.; Lucian, M.; Jens, B.H. A Comprehensive Review on Renewable Energy Development, Challenges, and Policies of Leading Indian States With an International Perspective. IEEE Access 2020, 8, 74432–74457. [Google Scholar] [CrossRef]
- Rajagopalan, A.; Swaminathan, D.; Alharbi, M.; Sengan, S.; Montoya, O.D.; El-Shafai, W.; Fouda, M.M.; Aly, M.H. Modernized Planning of Smart Grid Based on Distributed Power Generations and Energy Storage Systems Using Soft Computing Methods. Energies 2022, 15, 8889. [Google Scholar] [CrossRef]
- Neelofar, S.; Rabiul, I.; Moktadir, R.; Bilal, K.; Basharat, U.; Sahibzada, M.; Afef, F. Decentralized, Democratized, and Decarbonized Future Electric Power Distribution Grids: A Survey on the Paradigm Shift From the Conventional Power System to Micro Grid Structures. IEEE Access 2023, 11, 60957–60987. [Google Scholar] [CrossRef]
- Chabla-Auqui, L.; Ochoa-Correa, D.; Villa-Ávila, E.; Astudillo-Salinas, P. Distributed Generation Applied to Residential Self-Supply in South America in the Decade 2013–2023: A Literature Review. Energies 2023, 16, 6207. [Google Scholar] [CrossRef]
- Kuang, W.Y.; Illankoon, C.; Vithanage, S.C. Grid-Connected Solar Photovoltaic (PV) System for Covered Linkways. Buildings 2022, 12, 2131. [Google Scholar] [CrossRef]
- Ashour, M.A.; Selvin, P.T.; Yusuf, A.; Kamaruzzaman, S.; Adnan, I.; Taib, I.M.; Azeem, S.; Kamaruzzaman, B.S. Deployment of Rooftop Solar Photovoltaic Electrification for Residential Buildings in an Industrial City: A Study on Public Perception and Acceptance. Int. J. Renew. Energy Res. 2021, 11, 945–951. [Google Scholar]
- Rehman, H.U.; Hussain, A.; Haider, W.; Ali, S.A.; Kazmi, S.A.A.; Huzaifa, M. Optimal Planning of Solar Photovoltaic (PV) and Wind-Based DGs for Achieving Techno-Economic Objectives across Various Load Models. Energies 2023, 16, 2444. [Google Scholar] [CrossRef]
- Khenissi, I.; Guesmi, T.; Marouani, I.; Alshammari, B.M.; Alqunun, K.; Albadran, S.; Rahmani, S.; Neji, R. Energy Management Strategy for Optimal Sizing and Siting of PVDG-BES Systems under Fixed and Intermittent Load Consumption Profile. Sustainability 2023, 15, 1004. [Google Scholar] [CrossRef]
- Norgaard, J.B.; Kerekes, T.; Séra, D. Case Study of Residential PV Power and Battery Storage with the Danish Flexible Pricing Scheme. Energies 2019, 12, 799. [Google Scholar] [CrossRef]
- Majeed, A.A.; Altaie, A.S.; Abderrahim, M.; Alkhazraji, A. A Review of Protection Schemes for Electrical Distribution Networks with Green Distributed Generation. Energies 2023, 16, 7587. [Google Scholar] [CrossRef]
- Tamoor, M.; Bhatti, A.R.; Farhan, M.; Miran, S. Design of On-Grid Photovoltaic System Considering Optimized Sizing of Photovoltaic Modules for Enhancing Output Energy. Eng. Proc. 2022, 19, 2. [Google Scholar] [CrossRef]
- Naraghi, M.H.; Atefi, E. Optimum Solar Panel Orientation and Performance: A Climatic Data-Driven Metaheuristic Approach. Energies 2022, 15, 624. [Google Scholar] [CrossRef]
- Guo, M.; Zang, H.; Gao, S.; Chen, T.; Xiao, J.; Cheng, L.; Wei, Z.; Sun, G. Optimal Tilt Angle and Orientation of Photovoltaic Modules Using HS Algorithm in Different Climates of China. Appl. Sci. 2017, 7, 1028. [Google Scholar] [CrossRef]
- Yoon, S.; Park, J.; Lee, C.; Kim, S.; Choi, Y.; Kwak, S.; Kim, H.; Kim, J. Optimal Orientation of Solar Panels for Multi-Apartment Buildings. Mathematics 2023, 11, 938. [Google Scholar] [CrossRef]
- Azaioud, H.; Desmet, J.; Vandevelde, L. Benefit Evaluation of PV Orientation for Individual Residential Consumers. Energies 2020, 13, 5122. [Google Scholar] [CrossRef]
- Mohammadreza, A. Modeling of Solar Radiation for Photovoltaic Applications. In Solar Radiation: Measurement, Modeling and Forecasting Techniques for Photovoltaic Solar Energy Applications, 1st ed.; IntechOpen: London, UK, 2022; pp. 43–55. [Google Scholar] [CrossRef]
- PVsyst 7 User Manual, Grid System with Storage. Available online: https://www.pvsyst.com/help/index.html?gridstorage_self_cons.htm (accessed on 25 January 2024).
- Cyrus, M.; Fazel, M. Design and Analysis of a Stand-Alone Photovoltaic System for Footbridge Lighting. J. Sol. Energy Res. (JSER) 2019, 4, 2. [Google Scholar] [CrossRef]
- Hernández-Mayoral, E.; Madrigal-Martínez, M.; Mina-Antonio, J.D.; Iracheta-Cortez, R.; Enríquez-Santiago, J.A.; Rodríguez-Rivera, O.; Martínez-Reyes, G.; Mendoza-Santos, E. A Comprehensive Review on Power-Quality Issues, Optimization Techniques, and Control Strategies of Microgrid Based on Renewable Energy Sources. Sustainability 2023, 15, 9847. [Google Scholar] [CrossRef]
- Poras, K.; Madan, M.T. A critical and comprehensive review on power quality disturbance detection and classification. Sustain. Comput. Inform. Syst. 2020, 28, 100417. [Google Scholar] [CrossRef]
- Beleiu, H.G.; Beleiu, I.N.; Pavel, S.G.; Darab, C.P. Management of Power Quality Issues from an Economic Point of View. Sustainability 2018, 10, 2326. [Google Scholar] [CrossRef]
- Das, S.; Singh, B. Mitigating Impact of High Power Ramp Rates in Utility Grid Integrated Wind–Solar System Using an RLMAT Adaptive Control Strategy. IEEE Trans. Energy Convers. 2023, 38, 343–354. [Google Scholar] [CrossRef]
- Gakhar, P.; Gupta, M. Harmonic Mitigation in a Transformer Less Grid Connected Solar PV System Using Modified LCL Filter. In Proceedings of the 3rd International Conference and Workshops on Recent Advances and Innovations in Engineering (ICRAIE), Jaipur, India, 22 November 2018. [Google Scholar] [CrossRef]
- Joannes, I.L.; Dimitar, B.; Greet, V.; Lieven, V. Impact of Solar Panel Orientation on the Integration of Solar Energy in Low-Voltage Distribution Grids. Int. J. Photoenergy 2020, 2020, 2412780. [Google Scholar] [CrossRef]
- Tamer, A.D.; Ibrahem, A.R.; Salman, M.; Muhammad, Z. The Effect of Tilting a PV Array by Monthly or Seasonal Optimal Tilt Angles on Energy Yield of a Solar PV System. In Proceedings of the International Conference on Electric Power Engineering-Palestine (ICEPE-P), Gaza, Palestine, 23 March 2021. [Google Scholar] [CrossRef]
- Diaz, V.S.; Cantane, D.A.; Santos, A.Q.O.; Ando Junior, O.H. Comparative Analysis of Degradation Assessment of Battery Energy Storage Systems in PV Smoothing Application. Energies 2021, 14, 3600. [Google Scholar] [CrossRef]
- Barchi, G.; Pierro, M.; Moser, D. Predictive Energy Control Strategy for Peak Shaving and Shifting Using BESS and PV Generation Applied to the Retail Sector. Electronics 2019, 8, 526. [Google Scholar] [CrossRef]
- Tejero-Gómez, J.A.; Bayod-Rújula, Á.A. Analysis of Photovoltaic Plants with Battery Energy Storage Systems (PV-BESS) for Monthly Constant Power Operation. Energies 2023, 16, 4909. [Google Scholar] [CrossRef]
- Cha, J.-W.; Joo, S.-K. Probabilistic Short-Term Load Forecasting Incorporating Behind-the-Meter (BTM) Photovoltaic (PV) Generation and Battery Energy Storage Systems (BESSs). Energies 2021, 14, 7067. [Google Scholar] [CrossRef]
- IEEE Std 519-2022 (Revision of IEEE Std 519-2014); IEEE Standard for Harmonic Control in Electric Power Systems. IEEE: Piscataway Township, NJ, USA, 2022; Volume 1, pp. 1–31. [CrossRef]
- Popavath, L.N.; Kaliannan, P. Photovoltaic-STATCOM with Low Voltage Ride through Strategy and Power Quality Enhancement in a Grid Integrated Wind-PV System. Electronics 2018, 7, 51. [Google Scholar] [CrossRef]
- Shafiullah, M.; Shakir, D.A.; Fahad, A.A. Grid Integration Challenges and Solution Strategies for Solar PV Systems: A Review. IEEE Access 2022, 10, 52233–52257. [Google Scholar] [CrossRef]
- Faris, E.; Nima, Y.; Subhashish, B. Modular Static Distribution Controller for Distributed Energy Resource Generation Applications. In Proceedings of the IEEE Energy Conversion Congress and Exposition (ECCE), Portland, OR, USA, 23 September 2018. [Google Scholar] [CrossRef]
- Sanjenbam, C.; Priyank, S.; Sachin, D.; Bhim, S. Solar PV Array Integrated UPQC for Power Quality Improvement Based on Modified GI. In Proceedings of the IEEE 9th Power India International Conference (PIICON), Sonepat, India, 28 February 2020. [Google Scholar] [CrossRef]
- Lowczowski, K.; Nadolny, Z. Voltage Fluctuations and Flicker in Prosumer PV Installation. Energies 2022, 15, 2075. [Google Scholar] [CrossRef]
- Roger, A.; Amir, A. Photovoltaic Systems Engineering, 4th ed.; CRC Press: New York, NY, USA, 2017; pp. 133–356. [Google Scholar] [CrossRef]
- Saeed, F.; Zohaib, A. Quantification of Losses in a Photovoltaic System: A Review. Eng. Proc. 2021, 11, 35. [Google Scholar] [CrossRef]
- Bošnjaković, M.; Stojkov, M.; Katinić, M.; Lacković, I. Effects of Extreme Weather Conditions on PV Systems. Sustainability 2023, 15, 16044. [Google Scholar] [CrossRef]
- Iheanetu, K.J. Solar Photovoltaic Power Forecasting: A Review. Sustainability 2022, 14, 17005. [Google Scholar] [CrossRef]
- Rekioua, D. Energy Storage Systems for Photovoltaic and Wind Systems: A Review. Energies 2023, 16, 3893. [Google Scholar] [CrossRef]
- Kandari, R.; Neeraj, N.; Micallef, A. Review on Recent Strategies for Integrating Energy Storage Systems in Microgrids. Energies 2023, 16, 317. [Google Scholar] [CrossRef]
- Zhang, J.; Zhu, L.; Zhao, S.; Yan, J.; Lv, L. Optimal Configuration of Energy Storage Systems in High PV Penetrating Distribution Network. Energies 2023, 16, 2168. [Google Scholar] [CrossRef]
- Riyadh Saudi Arabia Weather 2022 Climate and Weather in Riyadh. Available online: http://hikersbay.com/climate/saudiarabia/riyadh?lang=en (accessed on 12 August 2023).
Disclaimer/Publisher’s Note: The statements, opinions and data contained in all publications are solely those of the individual author(s) and contributor(s) and not of MDPI and/or the editor(s). MDPI and/or the editor(s) disclaim responsibility for any injury to people or property resulting from any ideas, methods, instructions or products referred to in the content. |
© 2024 by the authors. Licensee MDPI, Basel, Switzerland. This article is an open access article distributed under the terms and conditions of the Creative Commons Attribution (CC BY) license (https://creativecommons.org/licenses/by/4.0/).





















